Application of Weighting Algorithm for Enhanced Broadband Vector Network Analyzer Measurements
Abstract
1. Introduction
2. VNA Calibration
2.1. The TRL Calibration Algorithm
2.2. TRL Line Standards
2.2.1. Weighting Equation
2.2.2. Length and Phase Determination
2.3. Precision Airline Calibration Standard
3. Results
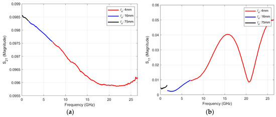
3.1. Length Extraction
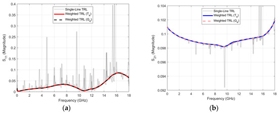
3.2. 3.5 mm Results
3.3. Type-N Results
4. Limitations
5. Discussion and Conclusions
Author Contributions
Funding
Data Availability Statement
Conflicts of Interest
References
- Stanley, M.; Shang, X.; Celep, M.; Salter, M.; de Graaf, S.; Lindstrom, T.; Shin, S.-H.; Skinner, J.; Singh, S.; Stokes, S.; et al. RF and microwave metrology for quantum computing—Recent developments at the UK’s National Physical Laboratory. Int. J. Microw. Wirel. Technol. 2024, 1–9. [Google Scholar] [CrossRef]
- Horibe, M.; Kato, Y.; Sakamaki, R. Electromagnetic Measurement Techniques for Materials and Device Used in 6G Wireless Communications. In Proceedings of the 2020 2nd 6G Wireless Summit (6G SUMMIT), Levi, Finland, 18–19 March 2020; pp. 1–5. [Google Scholar]
- Stănculescu, M.; Iordache, L.; Iordache, M.; Niculae, D.; Bucată, V. Using S parameters in wireless power transfer analysis. In Proceedings of the 2017 10th International Symposium on Advanced Topics in Electrical Engineering (ATEE), Bucharest, Romania, 23–25 March 2017; pp. 107–112. [Google Scholar]
- Estrada, A. The vector network analyzer—An essential tool in modern ATE measurements. IEEE Instrum. Meas. Mag. 2012, 15, 22–26. [Google Scholar] [CrossRef]
- Rumiantsev, A.; Ridler, N. VNA calibration. IEEE Microw. Mag. 2008, 9, 86–99. [Google Scholar] [CrossRef]
- Rytting, D. Advances in microwave error correction techniques. In Proceedings of the Hewlett-Packard RF and Microwave Measurement Symposium and Exhibition, Santa Clara, CA, USA, 10–11 June 1987; pp. 6201–6302. [Google Scholar]
- Fitzpatrick, J. Error models for systems measurement. Microw. J. 1978, 21, 63–66. [Google Scholar]
- Eul, H.-J.; Schiek, B. A generalized theory and new calibration procedures for network analyzer self-calibration. IEEE Trans. Microw. Theory Tech. 1991, 39, 724–731. [Google Scholar] [CrossRef]
- Engen, G.F.; Hoer, C.A. Thru-reflect-line: An improved technique for calibrating the dual six-port automatic network analyzer. IEEE Trans. Microw. Theory Tech. 1979, 27, 987–993. [Google Scholar] [CrossRef]
- EA. Guidelines on the Evaluation of Vector Network Analysers (VNA): Calibration Guide No. 12, version 3.0; EURAMET: Braunschweig, Germany, 2018. [Google Scholar]
- Stokes, D.; Gellersen, F.; Allal, D.; Skinner, J.; Phung, G.N.; Kuhlmann, K. Traceable S-parameter measurements up to 90 GHz in 1.35 mm coaxial. Meas. Sci. Technol. 2023, 34, 064006. [Google Scholar] [CrossRef]
- Koo, H.; Cho, C.; Kang, T.-W.; Kwon, J.Y. Pin-Gap Correction of Coaxial Calibration Standards for TRL or LRL Calibration. IEEE Access 2022, 10, 34779–34788. [Google Scholar] [CrossRef]
- Gellersen, F.; Kuhlmann, K.; Rausche, F. VNA Calibration using Coaxial Air Lines with Two Plug Connectors. In Proceedings of the 2023 53rd European Microwave Conference (EuMC), Berlin, Germany, 19–21 September 2023; pp. 608–611. [Google Scholar] [CrossRef]
- Jargon, J.A.; Williams, D.F.; Long, C.J.; Hagerstrom, A.M.; Stelson, A.C.; Ren, W. Physical Models and Dimensional Traceability of 2.4 mm Coaxial Airline Standards for Determining Systematic Uncertainties of Calibrated Scattering-Parameters; NIST Technical Note TN225; US Department of Commerce, National Institute of Standards and Technology: Gaithersburg, MD, USA, 2023.
- Ridler, N.M.; Clarke, R.G.; Li, C.; Salter, M.J. Strategies for traceable submillimeter-wave vector network analyzer measurements. IEEE Trans. Terahertz Sci. Technol. 2019, 9, 392–398. [Google Scholar] [CrossRef]
- Shin, S.-H.; Stanley, M.; Skinner, J.; de Graaf, S.E.; Ridler, N.M. Broadband Coaxial S-Parameter Measurements for Cryogenic Quantum Technologies. IEEE Trans. Microw. Theory Tech. 2024, 72, 2193–2201. [Google Scholar] [CrossRef]
- Stanley, M.; Shin, S.-H.; Skinner, J.; Urbonas, J.; Ridler, N. Characterising Scattering Parameters of Coaxial Microwave Devices at Milli-kelvin Temperatures for Quantum Computing Technologies. In Proceedings of the 2023 53rd European Microwave Conference (EuMC), Berlin, Germany, 19–21 September 2023; pp. 150–153. [Google Scholar]
- Eiø, C.P.; Protheroe, S.J.; Ridler, N.M. Characterising beadless air lines as reference artefacts for S-parameter measurements at R.F. and microwave frequencies. Proc. Inst. Elect. Eng. Sci. Meas. Technol. 2006, 153, 229–234. [Google Scholar] [CrossRef][Green Version]
- Harris, I.A.; Spinney, R.E. The realization of high-frequency impedance standards using air-spaced coaxial lines. IEEE Trans. Instrum. Meas. 1964, 13, 265–272. [Google Scholar] [CrossRef]
- Daywitt, W.C. First-order symmetric modes for a slightly lossy coaxial transmission line. IEEE Trans. Microw. Theory Tech. 1990, 38, 1644–1651. [Google Scholar] [CrossRef]
- Hoer, C.A. Choosing line lengths for calibrating network analyzers. IEEE Trans. Microw. Theory Tech. 1983, 31, 76–78. [Google Scholar] [CrossRef]
- Marks, R.B. A Multiline Method of Network Analyzer Calibration. IEEE Trans. Microw. Theory Tech. 1991, 39, 1205–1215. [Google Scholar] [CrossRef]
- IEEE Std 287.1-2021; IEEE Standard for Precision Coaxial Connectors at RF, Microwave, and Millimeter-Wave Frequencies—Part 1: General Requirements, Definitions, and Detailed Specifications. IEEE: Piscataway, NJ, USA, 2022; pp. 1–136.
- Juroshek, J.R.; Free, G.M. Measurements of the characteristic impedance of coaxial air line standards. IEEE Trans. Microw. Theory Tech. 1994, 42, 186–191. [Google Scholar] [CrossRef]
- Mubarak, F.; Hoffmann, J. Effects of connectors and improper mounting of air lines in TRL calibration. In Proceedings of the 2016 Conference on Precision Electromagnetic Measurements (CPEM 2016), Ottawa, ON, Canada, 10–15 July 2016; pp. 1–2. [Google Scholar]
- Schumann, U.; Jöstingmeier, A.; Omar, A. Analytical Considerations of the TRL Calibration Procedure for General De-Embedding Purposes. In Proceedings of the 2019 42nd International Spring Seminar on Electronics Technology (ISSE), Wroclaw, Poland, 14–17 May 2019; pp. 1–4. [Google Scholar]
- Kuhlmann, K. A study of the reference impedance influence on a TRL calibration. In Proceedings of the 2016 87th ARFTG Microwave Measurement Conference (ARFTG), San Francisco, CA, USA; 2016; pp. 1–4. [Google Scholar]
- Mubarak, F.A.; Rietveld, G. Uncertainty evaluation of calibrated vector network analyzers. IEEE Trans. Microw. Theory Tech. 2018, 66, 1108–1120. [Google Scholar] [CrossRef]
- Horibe, M.; Kishikawa, R. Precision Offset Short Calibration Standards for 1.35 mm Coaxial Line Sizes. In Proceedings of the 2021 97th ARFTG Microwave Measurement Conference (ARFTG), Atlanta, GA, USA; 2021; pp. 1–4. [Google Scholar] [CrossRef]










| TRL Failure Area Coverage ) | TRL Acceptable Area Coverage ) | |||
|---|---|---|---|---|
| 8.7% | 5.5% | 71% | 72% | |
| 1.3% | 2.7% | 56% | 74% | |
| 0.2% | 1.5% | 47% | 74% | |
| 0.05% | 0.9% | 41% | 75% | |
| 0.01% | 0.6% | 37% | 75% | |
| 0.02% | 0.4% | 34% | 75% | |
Disclaimer/Publisher’s Note: The statements, opinions and data contained in all publications are solely those of the individual author(s) and contributor(s) and not of MDPI and/or the editor(s). MDPI and/or the editor(s) disclaim responsibility for any injury to people or property resulting from any ideas, methods, instructions or products referred to in the content. |
© 2024 by the authors. Licensee MDPI, Basel, Switzerland. This article is an open access article distributed under the terms and conditions of the Creative Commons Attribution (CC BY) license (https://creativecommons.org/licenses/by/4.0/).
Share and Cite
Shin, S.-h.; Skinner, J. Application of Weighting Algorithm for Enhanced Broadband Vector Network Analyzer Measurements. Mathematics 2024, 12, 2871. https://doi.org/10.3390/math12182871
Shin S-h, Skinner J. Application of Weighting Algorithm for Enhanced Broadband Vector Network Analyzer Measurements. Mathematics. 2024; 12(18):2871. https://doi.org/10.3390/math12182871
Chicago/Turabian StyleShin, Sang-hee, and James Skinner. 2024. "Application of Weighting Algorithm for Enhanced Broadband Vector Network Analyzer Measurements" Mathematics 12, no. 18: 2871. https://doi.org/10.3390/math12182871
APA StyleShin, S.-h., & Skinner, J. (2024). Application of Weighting Algorithm for Enhanced Broadband Vector Network Analyzer Measurements. Mathematics, 12(18), 2871. https://doi.org/10.3390/math12182871

