Next Article in Journal
Variable Selection in Semi-Functional Partially Linear Regression Models with Time Series Data
Next Article in Special Issue
A Rectified Linear Unit-Based Memristor-Enhanced Morris–Lecar Neuron Model
Previous Article in Journal
An Improved YOLOv5 Model for Concrete Bubble Detection Based on Area K-Means and ECANet
Previous Article in Special Issue
Design and Analysis of a Novel Fractional-Order System with Hidden Dynamics, Hyperchaotic Behavior and Multi-Scroll Attractors
 
 
Font Type:
Arial Georgia Verdana
Font Size:
Aa Aa Aa
Line Spacing:
Column Width:
Background:
Article

Synchronization of Bidirectionally Coupled Fractional-Order Chaotic Systems with Unknown Time-Varying Parameter Disturbance in Different Dimensions

Shaanxi Key Laboratory of Complex System Control and Intelligent Information Processing, Xi’an University of Technology, Xi’an 710048, China
*
Author to whom correspondence should be addressed.
Mathematics 2024, 12(17), 2775; https://doi.org/10.3390/math12172775
Submission received: 16 July 2024 / Revised: 28 August 2024 / Accepted: 5 September 2024 / Published: 8 September 2024
(This article belongs to the Special Issue Chaotic Systems and Their Applications, 2nd Edition)

Abstract

In this article, the synchronization of bidirectionally coupled fractional-order chaotic systems with unknown time-varying parameter disturbance in different dimensions is investigated. The scale matrices are designed to address the problem of the synchronization for fractional-order chaotic systems across two different dimensions. Congelation of variables is used to deal with the unknown time-varying parameter disturbance. Based on Lyapunov’s stability theorem, the synchronization controllers in different dimensions are obtained. At the same time, adaptive laws of the unknown disturbance can be designed. Benefiting from the proposed methods, we verify all the synchronization errors can converge to zero as time approaches infinity, regardless of whether in n-D or m-D synchronization, simultaneously ensuring that both control and estimation signals are bounded. Finally, simulation studies based on fractional-order financial systems are carried out to validate the effectiveness of the proposed synchronization method.

1. Introduction

Fractional calculus is a branch of mathematical analysis dating back to the late 17th century. The foundations of fractional calculus were first proposed in 1695, making it nearly as old as classical integral and differential calculus. Over the last few centuries, fractional differential equations have emerged as a powerful tool for modeling a diverse range of real-world dynamic systems. These equations have found successful applications in the analysis and description of electrical circuits [1], nonholonomic systems [2], chaotic systems [3], diffusion processes [4], and so on. The ability of fractional-order models to capture the intricate, non-integer-order dynamics inherent in many real-world problems has contributed to the rapid development and growing prominence of fractional calculus. Fractional-order systems, an important branch of the mathematical framework of fractional calculus, play a crucial role in numerous applications, including communication, electrical systems, and nonlinear dynamic systems, among others. The remarkable capacity of fractional-order models to represent the complex characteristics of real-world systems has made them invaluable tools for researchers and engineers working in these diverse domains.
Chaos is a distinctive type of nonlinear dynamical phenomenon characterized by high sensitivity to variations in system parameters and starting conditions. Since the emergence of chaos synchronization problem in 1990 [5], synchronizing chaotic dynamic systems has been a subject of considerable research interest, primarily in light of its potential applications in massive fields such as communication, image encryption [6], financial systems, information science, and neural networks [7,8]. Recently, based on the studies of integer-order chaotic systems, researchers have focused more on developing fractional-order chaotic system models based on the structure of well-known integer-order chaotic systems, e.g., Lorenz [9], Chen [10], and Rössler, [11], etc. Over time, the concept of chaos synchronization has evolved in many fields: see [12,13,14] and the references therein. However, numerous challenges and unresolved issues remain to be addressed in this domain. The intrinsic complexity and heightened sensitivity of fractional-order chaotic systems pose significant challenges in terms of accurate modeling and effective control. Bridging the gap between theoretical developments and practical real-world applications remains a significant challenge for the research community in this area.
Chaotic systems are known to be highly sensitive to various disturbances. Therefore, chaotic synchronization with time-varying disturbance [15,16,17,18,19] is always hard to realize. At the same time, we find that scholars always focus on realizing chaotic synchronization in the same dimensions, but neglect the synchronization in different dimensions. Meanwhile, real systems are often complex and variable, and the state variables from one system may act in another system. The synchronization of chaotic systems across different dimensions holds immense potential for a broader range of secure communication applications, underscoring the importance of addressing the challenge of synchronizing bidirectionally coupled fractional-order chaotic systems subject to unknown, time-varying parameter disturbances.
Leveraging the established applications of fractional-order systems, this article investigates the challenge of synchronizing bidirectionally coupled fractional-order chaotic systems that span across different dimensions and face unknown time-varying parameter disturbances. We design a new controller to fulfill synchronization in different dimensions by utilizing the congelation of variables and scale matrices [20].
The highlights of this paper are as follows. (1) We firstly employ “congelation of variables” methods [21] to handle the challenges posed by unknown time-varying parameter disturbance of bidirectionally coupled fractional-order chaotic systems. (2) This article successfully synchronizes two bidirectionally coupled fractional-order chaotic systems experiencing unknown time-varying parameter disturbances across different dimensions. Compared to the work presented in [22], the controller designed in this paper not only adapts the scaling matrices to address the synchronization challenge of fractional-order chaotic systems operating across two different dimensions but also leverages the “congelation method” to mitigate the influence of the bidirectional coupling term and the unknown time-varying parameter disturbances. By incorporating these additional techniques beyond the prior work, the current study aims to provide a more comprehensive solution to the complex synchronization problem involving fractional-order chaotic systems of varying dimensionality and subjected to uncertain parametric fluctuations.
This article is structed as follows. Section 2 provides the preliminaries and system description, then clearly defines the control objectives. In Section 3, we employ scale matrices and congelation methods to address the problem of synchronization in two fractional-order chaotic systems with unknown time-varying parameter disturbance in two different dimensions. Then we propose two different synchronization controllers in n-D space and m-D space, respectively. In order to assess the viability of the proposed synchronization approach, Section 4 includes two numerical case studies. Section 5 concludes the article by highlighting the core findings and outlining the study’s key contributions.

2. Preliminaries and System Description

This section begins by covering the basic definitions and characteristics of fractional calculus, and then proceeds to introduce fractional-order chaotic systems, which form the foundation for the forthcoming controller design.

2.1. Prerequisite

Definition 1 ([23]). 
The α t h -order Riemann–Liouville derivation of function f ( t ) is specified as:
D t α t 0 R L f ( t ) = 1 Γ ( n α ) d n d t n t 0 t f ( τ ) ( t τ ) 1 + α n d τ
where n is the first integer number, which is bigger than  α , n 1 < α n .
Definition 2 ([24]). 
The α t h -order Caputo derivation of function f ( t ) is specified as:
D t 0 C   t α f ( t ) = 1 Γ ( m α ) t 0 t f ( m ) ( τ ) ( t τ ) 1 + α m d τ
where m is the first integer number, which is bigger than  α .
Remark 1.
In the definition of Riemann–Liouville fractional calculus, the integration is performed first, followed by the derivation. In the Caputo definition, it is the opposite. This means that if the function f ( t ) is a constant, the fractional derivation specified by RL definition is not zero. On the contrary, it is zero in the Caputo definition.
Remark 2.
Since the Caputo definition is good at describing a fractional derivation of f ( t ) where the initial point is not zero, the calculations presented in this article are based on the Caputo definition of fractional calculus.
Property 1 ([25]).
The Caputo fractional-order calculus is a linear operator, satisfying:
D C   α ( λ f ( t ) + μ y ( t ) ) = D C   α λ f ( t ) + D C   α μ y ( t )
where  λ ,   μ  is a real constant.
Property 2 ([26]). 
If f ( t ) is continuously differentiable and 0 < α < 1 , then:
1 2 D C   α f 2 ( t ) f ( t ) D C   α f ( t ) , t 0
The Mittag-Leffler stability theory has become the predominant approach for analyzing the stability of fractional-order nonlinear systems. This is due to the theory’s ability to effectively capture the unique stability characteristics of these complex dynamical systems, offering greater accuracy and nuance compared to other available analytical frameworks. Ongoing research continues to expand and refine the Mittag-Leffler stability theory, reflecting its prominence and the sustained scholarly interest in this active area of study.
Lemma 1 ([27]).
Assume x = 0 is the equilibrium point and D R n is the region containing the origin. Let V ( x ) : [ 0 , ) × D R be a continuously differentiable function that satisfies the local Lipschitz condition with respect to:
β 1 ( · ) V ( x ) β 2 ( · ) D t α V ( x ) β 3 ( · )
where  t 0 ,   x D ,   0 < α < 1 ,   β 1 ( · ) ,   β 2 ( · ) ,   β 3 ( · )  are the K-class functions.
Analysis reveals that the fractional-order nonlinear system is asymptotically stable with the equilibrium point situated at x = 0 .

2.2. Systems Description

The subject of this article is a pair of bidirectionally coupled fractional-order chaotic systems, existing across different dimensions, that are further influenced by unknown time-varying parameter disturbances. The master fractional-order chaotic system is determined as:
D C   q x = A x + f ( x ) + D 1 ( M 2 y M 1 x ) + d 1 ( t )
where A is a square matrix of order n , x = ( x 1 , x 2 , , x n ) T R n is the state vector of the master system (1), f ( x ) defines a vector with n dimensions and valued continuous functions in n -dimensional space, D 1 = d i a g ( d 11 , d 12 , , d 1 n ) is a coupled coefficient matrix with n dimensions, M 2 R n × m , M 1 R n × n are scaling matrices guaranteeing that the coupling part has the same dimension with state vector x , and d 1 ( t ) = ( d 11 , d 12 , , d 1 n ) T is an unknown time-varying disturbance vectors of order n .
Correspondingly, the slave system has the form:
D C   q y = B y + g ( y ) + D 2 ( N 1 x N 2 y ) + d 2 ( t ) + U
where B is a square matrix of order m , y = ( y 1 , y 2 , , y m ) T R m is the state vector of the slave system (2), g ( y ) defines an m -dimensional vector with valued continuous functions in m-dimensional space, D 2 = d i a g ( d 21 , d 22 , , d 2 m ) is an m -dimension coupled coefficient matrix, N 2 R m × m and N 1 R m × n are scale matrices guaranteeing that the coupling part has the same dimension with state vector y , d 2 ( t ) = ( d 21 , d 22 , , d 2 m ) T are unknown time-varying disturbance vectors of order m , and U R m is the control input vector.
Assumption 1.
The unknown time-varying d 1 ( t ) and d 2 ( t ) in the master system and the slave system, respectively, are bounded by:
Δ d 1 q ( t ) Ξ d 1 q , q = 1 , 2 , , n Δ d 2 r ( t ) Ξ d 2 r , r = 1 , 2 , , m
where  Ξ d 1 q ( i = 1 , 2 , , n )  and  Ξ d 2 r ( j = 1 , 2 , , m )  are two positive constants.
Assumption 2.
Here, we consider the case of n < m, which means the goal is to achieve synchronization between the n-dimensional master fractional-order chaotic system and the m-dimensional slave fractional-order chaotic system.
Considering the n-dimensional master fractional-order chaotic system (1) and the m-dimensional slave fractional-order chaotic system (2), the synchronization error system is defined as follows:
e = Φ y θ x
where Φ R d × m and θ R d × n .
Definition 3.
If there is a controller U R d and scaling matrices Φ R d × m and θ R d × n such that the error system e = Φ y θ x satisfies lim t e ( t ) = 0 , meaning every e q ( e r ) converges to zero, then the master system (1) and slave system (2) are considered synchronized in dimension n with respect to the scaling matrices Φ and θ .
This article aims to design a controller that synchronizes two bidirectionally coupled fractional-order chaotic systems with unknown time-varying parameter disturbance across different dimensions. It means that the synchronization error e = Φ y θ x converges to zero and all the parameters would be bounded under the action of the controller designed in this article.

3. Design of Synchronization Controller

This section presents the synchronization analysis for bidirectionally coupled fractional-order chaotic systems with unknown time-varying parameter disturbance in the n-D and m-D space cases.
To simplify the calculation process, we reformulate the master system as follows:
D C   q x 1 = F 1 ( x ) + z 11 ( y , x ) + d 11 ( t ) D C   q x 2 = F 2 ( x ) + z 12 ( y , x ) + d 12 ( t ) D C   q x n = F n ( x ) + z 1 n ( y , x ) + d 1 n ( t )
where F ( x ) = A x + f ( x ) = ( F 1 ( x ) , F 2 ( x ) , , F n ( x ) ) T , Z 1 ( y , x ) = D 1 ( M 2 y + M 1 x ) = ( z 11 ( y , x ) , z 12 ( y , x ) , , z 1 n ( y , x ) ) T .
And reformulate the slave system as follows:
D C   q y 1 = G 1 ( y ) + z 21 ( y , x ) + d 21 ( t ) + u 1   D C   q y 2 = G 2 ( y ) + z 22 ( y , x ) + d 22 ( t ) + u 2 D C   q y m = G m ( y ) + z 2 m ( y , x ) + d 2 m ( t ) + u m
where G ( y ) = B y + g ( y ) = ( G 1 ( y ) , G 2 ( y ) , , G m ( y ) ) T , Z 2 ( y , x ) = D 2 ( N 1 x + N 2 y ) = ( z 21 ( y , x ) , z 22 ( y , x ) , , z 2 m ( y , x ) ) T .

3.1. Synchronization between n-D Master System and m-D Slave System in n-D

In this section, a controller is structured to synchronize two bidirectionally coupled fractional-order chaotic systems with unknown time-varying parameter disturbance in n-dimensional space, with a stability analysis provided.

3.1.1. n-D Controller Design

To study the chaotic synchronization between the n-dimensional master fractional-order system (1) and m-dimensional slave fractional-order system (2), the synchronization error system is defined as follows:
e 1 ( t ) = Φ 1 y θ 1 x = ( e 11 , e 12 , , e 1 n ) T
where Φ 1 R n × m = Φ 11             Φ 12                         Φ 1 n Φ 1 m , Φ 1 n + 1 = Φ 1 n + 2 = = Φ 1 m = 0 , θ 1 R n × n = θ 11         θ 12                 θ 1 n .
The fractional-order derivation of the synchronization error system for chaotic system (7) can be represented in the following form:
D C   q e 1 q ( t ) = Φ 1 q D C   q y q θ 1 q D C   q x q = Φ 1 q [ G q ( y ) + z 2 q ( y , x ) + d 2 q ( t ) + u q ] θ 1 q [ F q ( x ) + z 1 q ( y , x ) + d 1 q ( t ) ] = Φ 1 q [ G q ( y ) + z 2 q ( y , x ) + d ^ 2 q ( t ) + ( l d 2 q d ^ 2 q ( t ) ) + Δ d 2 q + u 1 q ]       θ 1 q [ F q ( x ) + z 1 q ( y , x ) + d ^ 1 q ( t ) + ( l d 1 q d ^ 1 q ( t ) ) + Δ d 1 q ] ( q = 1 , 2 , , n )
where d ^ 1 q ( t ) and d ^ 2 q ( t ) are the “estimations” of the unknown time-varying disturbance d 1 q ( t ) and d 2 q ( t ) , respectively. The l d 1 q and l d 2 q are constants that are relative to the disturbance d 1 q ( t ) and d 2 q ( t ) respectively.
In order to synchronize the two fractional-order chaotic systems that are subject to disturbance, as represented by Equations (5) and (6), we choose the controller U 1 = ( u 11 , u 12 , , u 1 q ) T ( q = 1 , 2 , , n ) in the following manner:
u 1 q = k 1 q Φ 1 q e 1 q G q ( y ) + θ 1 q Φ 1 q F q ( x ) z 2 q + θ 1 q Φ 1 q z 1 q Ξ d 2 q θ 1 q Φ 1 q Ξ d 1 q d ^ 2 q + θ 1 q Φ 1 q d ^ 1 q , ( q = 1 , 2 , , n )
and the adaptive updating laws of d ^ 2 = ( d ^ 21 , d ^ 22 , , d ^ 2 q ) T and d ^ 1 = ( d ^ 11 , d ^ 12 , , d ^ 1 q ) T are as follows:
D C   q d ^ 2 q = Γ 2 q e 1 q Φ 1 q , ( q = 1 , 2 , , n )
D C   q d ^ 1 q = Γ 1 q e 1 q θ 1 q , ( q = 1 , 2 , , n )
where Γ 1 q and Γ 2 q are the gain coefficients of the adaptive updating laws of d 1 q and d 2 q , respectively.

3.1.2. Stability Analysis

Based on the above controller design, we can obtain the following results, then analyze synchronization stability in n-D.
Theorem 1.
For synchronization of the fractional-order chaotic systems in n-D, if there exists a positive real number k 1 q ( q = 1 , 2 , , n ) , then the synchronization error e 1 ( t ) converges to zero under the given scale matrices Φ 1 and θ 1 . With any initial points x ( 0 ) and y ( 0 ) , the control law (9) and parameter updating laws (10) and (11) warrant that all signals in the fractional-order chaotic system are bounded such that the systems (1) and (2) are synchronized in n-D space.
Proof
To realize the synchronization in n-D, we choose a Lyapunov function, as follows:
V 1 = q = 1 n [ 1 2 e 1 q 2 + 1 2 Γ 1 q ( l d 1 q d ^ 1 q ) 2 + 1 2 Γ 2 q ( l d 2 q d ^ 2 q ) 2 ]
Then, through the derivation of V 1 along with (12), we obtain:
D C   q V 1 = q = 1 n [ 1 2 D C   q e 1 q 2 + 1 2 Γ 1 q D C   q ( l d 1 q d ^ 1 q ) 2 + 1 2 Γ 2 q D C   q ( l d 2 q d ^ 2 q ) 2 ] q = 1 n [ e 1 q D C   q e 1 q + 1 Γ 1 q ( l d 1 q d ^ 1 q ) D C   q ( l d 1 q d ^ 1 q ) + 1 Γ 2 q ( l d 2 q d ^ 2 q ) D C   q ( l d 2 q d ^ 2 q ) ] = q = 1 n e 1 q { Φ 1 q [ ( G q ( y ) + z 2 q ( y , x ) + d ^ 2 q ( t ) + ( l d 2 q d ^ 2 q ( t ) ) + Δ d 2 q + u q ] } q = 1 n e 1 q { θ 1 q [ F q ( x ) + z 1 q ( y , x ) + d ^ 1 q ( t ) + ( l d 1 q d ^ 1 q ( t ) ) + Δ d 1 q ] } + q = 1 n 1 Γ 1 q ( l d 1 q d ^ 1 q ) D C   q ( l d 1 q d ^ 1 q ) + q = 1 n 1 Γ 2 q ( l d 2 q d ^ 2 q ) D C   q ( l d 2 q d ^ 2 q )
By substituting (9), (10), and (11) into (13), we obtain:
D C   q V 1 = q = 1 n [ 1 2 D C   q e 1 q 2 + 1 2 Γ 1 q D C   q ( l d 1 q d ^ 1 q ) 2 + 1 2 Γ 2 q D C   q ( l d 2 q d ^ 2 q ) 2 ] q = 1 n e 1 q { Φ 1 q [ ( G q ( y ) + z 2 q ( y , x ) + d ^ 2 q ( t ) + ( l d 2 q d ^ 2 q ( t ) ) + Ξ d 2 q + u 1 q ] } q = 1 n e 1 q { θ 1 q [ F q ( x ) + z 1 q ( y , x ) + d ^ 1 q ( t ) + ( l d 1 q d ^ 1 q ( t ) ) Ξ d 1 q ] } + q = 1 n 1 Γ 1 q ( l d 1 q d ^ 1 q ) D C   q ( l d 1 q d ^ 1 q ) + q = 1 n 1 Γ 2 q ( l d 2 q d ^ 2 q ) D C   q ( l d 2 q d ^ 2 q ) = q = 1 n k 1 q e 1 q 2 0
According to Lemma 1, the synchronization error in n-D space between the master fractional-order system (1) and the slave fractional-order system (2) has converged to zero. □

3.2. Synchronization between n-D Master System and m-D Slave System in m-D

In this section, we structure a controller design to achieve the synchronization of two bidirectionally coupled fractional-order chaotic systems operating in m-D space, even in the presence of unknown parameter disturbance. Furthermore, we conduct a stability analysis of the proposed controller.

3.2.1. m-D Controller Design

In the following study, we will explore the methods to achieve synchronization between n-D and m-D bidirectionally coupled fractional-order chaotic systems in an m-D space, and we choose controller U 2 = ( u 21 , u 22 , , u 2 r ) T ( r = 1 , 2 , , m ) tagging on the system (2):
D C   q x = A x + f ( x ) + d 1 ( t ) + D 1 ( M 2 y M 1 x ) D C   q y = B y + g ( y ) + d 2 ( t ) + D 2 ( N 1 x N 2 y ) + U 2
As the previous section concluded, we obtain the system synchronization error of system (24) in m-D as e 2 = Φ 2 y θ 2 x , where Φ 2 R m × m , θ 2 R m × n . The synchronization error is as follows:
e 2 ( t ) = Φ 2 y θ 2 x = ( e 11 , e 12 , , e 1 m ) T
where Φ 2 = Φ 21           Φ 22           Φ 23                     Φ 2 m , θ 2 = θ 21         θ 22                 θ 2 n             θ 2 m .
To fulfill the synchronization between these two fractional-order chaotic systems in m-D space, the synchronization error system in m-D space is defined as follows:
D C   q e 2 r ( t ) = Φ 2 r D C   q y r θ 2 r D C   q x r , ( r = 1 , 2 , , n ) Φ 2 r D C   q y r θ 2 r D C   q x n , ( r = n + 1 , n + 2 , , m ) = Φ 2 r [ G r ( y ) + z 2 r ( y , x ) + d 2 r ( t ) + u r ] θ 2 r [ F r ( x ) + z 1 r ( y , x ) + d 1 r ( t ) ] , ( r = 1 , 2 , , n ) Φ 2 r [ G r ( y ) + z 2 r ( y , x ) + d 2 r ( t ) + u r ] θ 2 r [ F n ( x ) + z 1 n ( y , x ) + d 1 n ( t ) ] , ( r = n + 1 , n + 2 , , m ) = Φ 2 r [ G r ( y ) + z 2 r ( y , x ) + d ^ 2 r ( t ) + ( l d 2 r d ^ 2 r ( t ) ) + Δ d 2 r + u 2 r ]     θ 2 r [ F r ( x ) + z 1 r ( y , x ) + d ^ 1 r ( t ) + ( l d 1 r d ^ 1 r ( t ) ) + Δ d 1 r ] , ( r = 1 , 2 , , n ) Φ 2 r [ G r ( y ) + z 2 r ( y , x ) + d ^ 2 r ( t ) + ( l d 2 r d ^ 2 r ( t ) ) + Δ d 2 r + u 2 r ]     θ 2 r [ F n ( x ) + z 1 n ( y , x ) + d ^ 1 n ( t ) + ( l d 1 n d ^ 1 n ( t ) ) + Δ d 1 n ] , ( r = n + 1 , n + 2 , , m )
To achieve synchronization of the bidirectionally coupled system with disturbance (15) in m-D space, we choose the controller in the following manner:
u 2 r = k 2 r Φ 2 r e 2 r G r ( y ) + θ 2 r Φ 2 r F r ( x ) z 2 r + θ 2 r Φ 2 r z 1 r Ξ d 2 r θ 2 r Φ 2 r Ξ d 1 r d ^ 2 r + θ 2 r Φ 2 r d ^ 1 r , ( r = 1 , 2 , , n ) k 2 r Φ 2 r e 2 r G r ( y ) + θ 2 r Φ 2 r F n ( x ) z 2 r + θ 2 r Φ 2 r z 1 n Ξ d 2 r θ 2 r Φ 2 r Ξ d 1 r d ^ 2 r + θ 2 r Φ 2 r d ^ 1 n , ( r = n + 1 , n + 2 , , m )
and the adaptive updating laws of d ^ 2 = ( d ^ 21 , d ^ 22 , , d ^ 2 q ) T and P d ^ 1 = ( d ^ 11 , d ^ 12 , , d ^ 1 q ) T are as follows:
D C   q d ^ 2 r = Γ 2 r e 2 r Φ 2 r , ( r = 1 , 2 , , m )
D C   q d ^ 1 q = Γ 1 q e 2 q θ 2 q , ( q = 1 , 2 , , n 1 ) Γ 1 n r = n m e 2 r θ 2 r , ( q = n )

3.2.2. Stability Analysis

In this part, we conduct an analysis of synchronization stability in m-D.
Theorem 2.
Same as Theorem 1: if there exists a positive real number k 2 r ( r = 1 , 2 , , m ) , then the synchronization error e 2 ( t ) under the given scale matrices Φ 1 and θ 1 converges to zero in m-D. With any initial points x ( 0 ) and y ( 0 ) , the control law (18) and parameter updating laws (19) and (20) warrant that all signals in the fractional-order chaotic system are bounded such that system (15) is synchronized in m-D.
Proof. 
Here, we choose a Lyapunov function to realize the synchronization in m-D as follows:
V 2 = q = 1 n [ 1 2 e 2 q 2 + 1 2 Γ 1 q ( l d 1 q d ^ 1 q ) 2 + 1 2 Γ 2 q ( l d 2 q d ^ 2 q ) 2 ] + r = n + 1 m [ 1 2 e 2 r 2 + 1 2 Γ 1 n ( l d 1 n d ^ 1 n ) 2 + 1 2 Γ 2 r ( l d 2 r d ^ 2 r ) 2 ]
As per the proof of Theorem 1, we obtain the derivation of V 2 as follows:
D C   q V 2 = q = 1 n [ 1 2 D C   q e 2 q 2 + 1 2 Γ 1 q D C   q ( l d 1 q d ^ 1 q ) 2 + 1 2 Γ 2 q D C   q ( l d 2 q d ^ 2 q ) 2 ] + r = n + 1 m [ 1 2 D C   q e 2 r 2 + 1 2 Γ 1 n D C   q ( l d 1 n d ^ 1 n ) 2 + 1 2 Γ 2 r D C   q ( l d 2 r d ^ 2 r ) 2 ] q = 1 n [ e 2 q D C   q e 2 q + 1 Γ 1 q ( l d 1 q d ^ 1 q ) D C   q ( l d 1 q d ^ 1 q ) + 1 Γ 2 q ( l d 2 q d ^ 2 q ) D C   q ( l d 2 q d ^ 2 q ) ] + r = n + 1 m [ e 2 r D C   q e 2 r + 1 Γ 1 n ( l d 1 n d ^ 1 n ) D C   q ( l d 1 n d ^ 1 n ) + 1 Γ 2 r ( l d 2 r d ^ 2 r ) D C   q ( l d 2 r d ^ 2 r ) ] = q = 1 n e 2 q { Φ 2 q [ ( G q ( y ) + z 2 q ( y , x ) + d ^ 2 q ( t ) + ( l d 2 q d ^ 2 q ( t ) ) + Δ d 2 q + u 2 q ] } q = 1 n e 2 q { θ 2 q [ F q ( x ) + z 1 q ( y , x ) + d ^ 1 q ( t ) + ( l d 1 q d ^ 1 q ( t ) ) + Δ d 1 q ] } + q = 1 n 1 Γ 1 q ( l d 1 q d ^ 1 q ) D C   q ( l d 1 q d ^ 1 q ) + q = 1 n 1 Γ 2 q ( l d 2 q d ^ 2 q ) D C   q ( l d 2 q d ^ 2 q ) + r = n + 1 m e 2 r { Φ 2 r [ ( G r ( y ) + z 2 r ( y , x ) + d ^ 2 r ( t ) + ( l 2 r d ^ 2 r ( t ) ) + Δ d 2 r + u 2 r ] } r = n + 1 m e 2 r { θ 2 r [ F n ( x ) + z 1 n ( y , x ) + d ^ 1 n ( t ) + ( l d 1 n d ^ 1 n ( t ) ) + Δ d 1 n ] } + ( m + n + 1 ) ( m n ) 2 1 Γ 1 n ( l d 1 n d ^ 1 n ) D C   q ( l d 1 n d ^ 1 n ) + r = n + 1 m 1 Γ 2 r ( l d 2 r d ^ 2 r ) D C   q ( l d 2 r d ^ 2 r )
By substituting (18) and (19) into (20), we also have:
D C   q V 2 q = 1 n e 2 q { Φ 2 q [ ( G q ( y ) + z 2 q ( y , x ) + d ^ 2 q ( t ) + ( l d 2 q d ^ 2 q ( t ) ) + Ξ d 2 q + u 2 q ] } q = 1 n e 2 q { θ 2 q [ F q ( x ) + z 1 q ( y , x ) + d ^ 1 q ( t ) + ( l d 1 q d ^ 1 q ( t ) ) Ξ d 1 q ] } + q = 1 n 1 Γ 1 q ( l d 1 q d ^ 1 q ) D C   q ( l d 1 q d ^ 1 q ) + q = 1 n 1 Γ 2 q ( l d 2 q d ^ 2 q ) D C   q ( l d 2 q d ^ 2 q ) + r = n + 1 m e 2 r { Φ 2 r [ ( G r ( y ) + z 2 r ( y , x ) + d ^ 2 r ( t ) + ( l 2 r d ^ 2 r ( t ) ) + Ξ d 2 r + u 2 r ] } r = n + 1 m e 2 r { θ 2 r [ F n ( x ) + z 1 n ( y , x ) + d ^ 1 n ( t ) + ( l d 1 n d ^ 1 n ( t ) ) Ξ d 1 n ] } + ( m + n + 1 ) ( m n ) 2 1 Γ 1 n ( l d 1 n d ^ 1 n ) D C   q ( l d 1 n d ^ 1 n ) + r = n + 1 m 1 Γ 2 j ( l d 2 j d ^ 2 j ) D C   q ( l d 2 j d ^ 2 j ) = r = 1 m k 2 r e 2 r 2 0
In view of the preceding analysis, the following conclusions can be drawn. After a sufficient amount of time, the synchronization error of system (15) in m-D under the scale matrices Φ 2 and θ 2 has converged to zero. Moreover, all the unknown parameter disturbances d 1 ( t ) and d 2 ( t ) have satisfied the conditions for boundness. Consequently, it can be inferred that the bidirectionally coupled fractional-order chaotic system with unknown time-varying parameter disturbance (15) has successfully achieved synchronization in m-D space. □

4. Simulation Examples

In this section, we employ a bidirectionally coupled fractional-order chaotic system with unknown parameter disturbance to show the effectiveness of the previous proposed controller.
Consider a fractional-order financial master system characterized by three-dimensional chaotic dynamics [28], described as follows:
D C   q x 1 = x 3 + ( x 2 2.5 ) x 1 D C   q x 2 = 1 0.2 x 2 x 1 2 D C   q x 3 = x 1 1.2 x 3
When the initial state is x = ( 3 , 2 , 1 ) T and fractional order q = 0.95 is chosen, the financial system (24) exhibits a chaotic state, and the chaotic attractor is shown in Figure 1:
Similarly, we consider another financial fractional-order slave system with four-dimensional chaotic dynamics [28], described as follows:
D C   q y 1 = y 3 + ( y 2 0.9 ) y 1 + y 4 D C   q y 2 = 1 0.2 y 2 y 1 2 D C   q y 3 = y 1 1.5 y 3 D C   q y 4 = 0.2 y 1 y 2 0.17 y 4
When the initial state is y = ( 2 , 2 , 2 , 8 3 ) T and fractional order q = 0.95 is chosen, the financial system (25) exhibits a chaotic state, and the chaotic attractor is shown in Figure 2:
Now, we combine system (24) and system (25) into a group of bidirectionally coupled fractional-order chaotic systems with disturbance. To achieve synchronization, we introduce the controller U as follows:
D C   q x = A x + f ( x ) + D 1 ( M 2 y M 1 x ) + d 1 ( t ) D C   q y = B y + g ( y ) + D 2 ( N 1 x N 2 y ) + d 2 ( t ) + U
where A = 2.5 0 1 0 0.2 0 1 0 1.2 , f ( x ) = x 1 x 2 1 x 1 2 0 , M 1 R 3 × 3 is an identity matrix, B = 0.9 0 1 1 0 0.2 0 0 1 0 1.5 0 0 0 0 0.17 , g ( y ) = y 1 y 2 1 y 1 2 0 0.2 y 1 y 2 , N 2 R 4 × 4 is an identity matrix, and other matrices are as follows:
M 2 = 1 0 0 1 0 1 0 0 0 0 1 0 ,   N 1 = 1 0 0 0 1 0 0 0 1 1 0 0 ,
D 1 = 0.1 0 0 0 0.05 0 0 0 0.05 ,   D 2 = 0.1 0 0 0 0 0.3 0 0 0 0 0.5 0 0 0 0 0.33
and the uncertain disturbance vectors chosen are as follows:
d 1 ( t ) = 3 + 4 sin t 4 + 4 cos t 17 3 4 sin t ,   d 2 ( t ) = 10 + 3 cos t 7 + 3 sin t 2 3 cos t 7 4 + 3 cos t
For the convenience of calculation, the above group of these two fractional-order chaotic systems (26) is simplified as follows:
D C   q x = F ( x ) + Z 1 ( y , x ) + d 1 ( t ) D C   q y = G ( y ) + Z 2 ( y , x ) + d 2 ( t ) + U
where F ( x ) = A x + f ( x ) = ( F 1 ( x ) , F 2 ( x ) , F 3 ( x ) ) T = 2.5 x 1 + x 3 + x 1 x 2 0.2 x 2 + 1 x 1 2 x 1 1.2 x 3 , G ( y ) = B y + g ( y ) = ( G 1 ( y ) , G 2 ( y ) , G 3 ( y ) , G 4 ( y ) ) T = 0.9 y 1 + y 3 + y 4 + y 1 y 2 0.2 y 2 + 1 y 1 2 y 1 1.5 y 3 0.17 y 4 0.2 y 1 y 2 , Z 1 ( y , x ) = D 1 ( M 2 y + M 1 x ) = ( z 11 ( y , x ) , z 12 ( y , x ) , z 13 ( y , x ) ) T = 0.1 ( y 1 x 1 ) 0.05 ( y 2 x 2 ) 0.05 ( y 3 x 3 ) , Z 2 ( y , x ) = D 2 ( N 1 x + N 2 y ) = ( z 21 ( y , x ) , z 22 ( y , x ) , z 23 ( y , x ) , z 24 ( y , x ) ) T = 0.1 ( y 1 x 1 ) 0.3 ( y 2 x 2 ) 0.5 ( y 3 x 3 ) 0.33 ( y 4 x 1 )

4.1. 3-D Synchronization of Fractional-Order Financial Systems

Now, we choose U 1 = ( u 11 , u 12 , u 13 ) T to take the place of U in (36) to fulfill the synchronization of the financial systems in 3D space.
According to the analysis above, we have e 1 = Φ 1 y - θ 1 x , and we choose scale matrices Θ 1 = 1 0 0 0 0 1 0 0 0 0 1 0 , Φ 1 = 1 0 0 0 1 0 0 0 1 .
Here, D C   q d ^ 1 = D C   q d ^ 11 D C   q d ^ 12 D C   q d ^ 13 = Γ 11 e 11 Γ 12 e 12 Γ 13 e 13 with Γ 1 i = 10 ( i = 1 , 2 , 3 ) , the initial point of d ^ 1 ( t ) is given as d ^ 1 ( 0 ) = ( 0 , 0 , 0 ) T , D C   q d ^ 2 = D C   q d ^ 21 D C   q d ^ 22 D C   q d ^ 23 = Γ 21 e 11 Γ 22 e 12 Γ 23 e 13 with Γ 2 i = 10 ( i = 1 , 2 , 3 ) . The initial point of d ^ 2 ( t ) is given as d ^ 2 ( 0 ) = ( 0 , 0 , 0 ) T .
According to (9), (10), and (11), we select the controller as follows:
U 1 = u 11 u 12 u 13 = k 11 e 11 ( 0.9 y 1 + y 3 + y 4 + y 1 y 2 ) + ( 2.5 x 1 + x 3 + x 1 x 2 ) 0.1 ( y 1 x 1 ) + 0.1 ( y 1 + y 4 x 1 ) Ξ d 11 Ξ d 21 d ^ 21 + d ^ 11 k 12 e 12 ( 0.2 y 2 + 1 y 1 2 ) + ( 0.2 x 2 + 1 x 1 2 ) 0.3 ( y 2 x 2 ) + 0.05 ( y 2 x 2 ) Ξ d 12 Ξ d 22 d ^ 22 + d ^ 12 k 13 e 13 ( y 1 1.5 y 3 ) + ( x 1 1.2 x 3 ) 0.5 ( y 3 x 3 ) + 0.05 ( y 3 x 3 ) Ξ d 13 Ξ d 23 d ^ 23 + d ^ 13
where Ξ d 1 i = 8 ( i = 1 , 2 , 3 ) and Ξ d 2 i = 6 ( i = 1 , 2 , 3 ) , k 1 i = 1 ( i = 1 , 2 , 3 ) , and the initial values are x = ( 3 , 2 , 1 ) T and y = ( 2 , 2 , 2 , 8 3 ) T .
By MATLAB simulation, we can obtain the numerical curve of synchronization errors e 1 of system (27) with respect to the variables Φ 1 and θ 1 . The curves of controllers U 1 , estimated parameters d ^ 1 ( t ) and estimated parameters d ^ 2 ( t ) are shown in Figure 3, Figure 4, Figure 5 and Figure 6, respectively.
In Figure 3, Figure 4, Figure 5 and Figure 6, we observe that all the synchronization errors e 1 i ( i = 1 , 2 , 3 ) can converge to zero, and all the controllers u 1 i ( i = 1 , 2 , 3 ) and the estimated parameters d ^ 1 = ( d ^ 11 , d ^ 12 , d ^ 13 ) T and d ^ 2 = ( d ^ 21 , d ^ 22 , d ^ 23 ) T are bounded, which means that we have accomplished the synchronization of two fractional-order financial systems using the controllers and adaptive updating laws designed in this article.

4.2. 4D Synchronization of Fractional-Order Financial Systems

We consider the synchronization of bidirectionally coupled fractional-order chaotic system with unknown time-varying parameter disturbance (27) in 4D. We choose the controller U 2 = ( u 21 , u 22 , u 23 , u 24 ) T to take place of the controller U .
Calculate the synchronization error of system in 4-D as e 2 = Φ 2 y θ 2 x , then choose scale matrices Φ 2 = 1 0 0 0 0 1 0 0 0 0 1 0 0 0 0 1 and θ 2 = 1 0 0 0 1 0 0 0 1 0 0 1 .
As per the previous, we can also obtain D C   q d 2 = D C   q d 21 D C   q d 22 D C   q d 23 D C   q d 24 = Γ 21 e 21 Γ 22 e 22 Γ 23 e 23 Γ 24 e 24 with Γ 2 i = 50 ( i = 1 , 2 , 3 , 4 ) . The initial point of d ^ 2 ( t ) is chosen as d ^ 2 ( 0 ) = ( 0 , 0 , 0 , 0 ) T , D C   q d 1 = D C   q d 11 D C   q d 12 D C   q d 13 = Γ 11 e 21 Γ 12 e 22 Γ 13 ( e 23 + e 24 ) with Γ 1 i = 50 ( i = 1 , 2 , 3 ) . The initial point of d ^ 1 ( t ) is chosen as d ^ 1 ( 0 ) = ( 0 , 0 , 0 ) T .
According to (18), (19), and (20), we select the controller as follows:
U 2 = u 21 u 22 u 23 u 24 = k 21 e 21 ( 0.9 y 1 + y 3 + y 4 + y 1 y 2 ) + ( 2.5 x 1 + x 3 + x 1 x 2 ) 0.1 ( y 1 x 1 ) + 0.1 ( y 1 + y 4 x 1 ) Ξ d 11 Ξ d 21 d ^ 21 + d ^ 11 k 22 e 22 ( 0.2 y 2 + 1 y 1 2 ) + ( 0.2 x 2 + 1 x 1 2 ) 0.3 ( y 2 x 2 ) + 0.05 ( y 2 x 2 ) Ξ d 12 Ξ d 22 d ^ 22 + d ^ 12 k 23 e 23 ( y 1 1.5 y 3 ) + ( x 1 1.2 x 3 ) 0.5 ( y 3 x 3 ) + 0.05 ( y 3 x 3 ) Ξ d 13 Ξ d 23 d ^ 23 + d ^ 13 k 24 e 24 ( y 1 1.5 y 3 ) + ( x 1 1.2 x 3 ) 0.5 ( y 3 x 3 ) + 0.05 ( y 3 x 3 ) Ξ d 13 Ξ d 24 d ^ 24 + d ^ 13
where Ξ d 1 i = 8 ( i = 1 , 2 , 3 ) , Ξ d 2 i = 6 ( i = 1 , 2 , 3 , 4 ) , k 2 i = 1 ( i = 1 , 2 , 3 , 4 ) and the initial values are x = ( 3 , 2 , 1 ) T and y = ( 2 , 2 , 2 , 8 3 ) T .
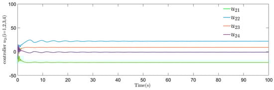
By MATLAB simulation, we can obtain the numerical curve of synchronization errors e 2 of system (27) with respect to the variables Φ 2 and θ 2 . The curves of controller U 2 , estimated parameters d ^ 1 ( t ) , and estimated parameters d ^ 2 ( t ) are shown in Figure 7, Figure 8, Figure 9 and Figure 10, respectively.
In Figure 7, Figure 8, Figure 9 and Figure 10, we observe that all the synchronization errors e 2 i ( i = 1 , 2 , 3 , 4 ) can converge to zero and all the controllers u 2 i ( i = 1 , 2 , 3 , 4 ) and the estimated parameters d ^ 1 = ( d ^ 11 , d ^ 12 , d ^ 13 ) T and d ^ 2 = ( d ^ 21 , d ^ 22 , d ^ 23 , d ^ 24 ) T are bounded, which means that we have successfully synchronized these two fractional-order chaotic systems using the controllers designed in the desired dimension. The simulation findings confirm the efficacy and correctness of the method outlined in Section 3 in tackling the synchronization problem between two bidirectionally coupled fractional-order chaotic systems that have unknown time-varying parameter disturbance across different dimensions.

5. Conclusions

The notion of synchronization for two bidirectionally coupled fractional-order chaotic systems with unknown time-varying parameter disturbance in different dimensions has been accomplished in this article. To accomplish this, a new adaptive updating controller has been structured. Two fractional-order financial systems across different dimensions have been synchronized successfully using the proposed controller in 3D and 4D. It is observed that under the scale matrices Φ and θ and the action of the controller proposed above, all the errors successfully converge to zero and other states are bounded. The problem of parameter disturbance has been solved by using the congelation of variables. Furthermore, the synchronization of the chaotic systems is widely used in the confidential communication field. Besides robustness and stability, we usually consider punctuality in the process of synchronization. Based on the above conclusions and existing research, the fixed-time synchronization of two fractional-order chaotic systems will be considered.

Author Contributions

Conceptualization, C.Z. and Y.G.; methodology, Y.G.; software, Y.G.; validation, C.Z., F.Q., J.Y. and Y.G.; project administration, C.Z. All authors have read and agreed to the published version of the manuscript.

Funding

This research was funded by the National Natural Science Foundation (NNSF) of China Natural Science Basis Research Plan in Shaanxi Province of China (2023-JC-QN-0752), Science and Technology Plan Project of Xian City (23GXFW0062), and Shaanxi Provincial Key R&D Program General Project (2024GX-YBXM-106, grants 62073259 and 61973094).

Data Availability Statement

Any data or method mentioned in this article can be used or referenced by other authors.

Acknowledgments

Thanks to the methods suggested by K. Chen and A. Astolfi, I got the inspiration to finish this article.

Conflicts of Interest

There are no conflicts of interest in this work.

References

  1. Luo, Y.; Chen, Y.Q.; Pi, Y.G. Experimental study of fractional order proportional derivative controller synthesis for fractional order systems. Mechatronics 2011, 21, 204–214. [Google Scholar] [CrossRef]
  2. Liu, D.; Xu, W.; Xu, Y. Stochastic response of an axially moving viscoelastic beam with fractional order constitutive relation and random excitations. Acta Mech. Sin. 2013, 29, 443–451. [Google Scholar] [CrossRef]
  3. Xu, Y.; Liu, Q.; Guo, G.; Xu, C.; Liu, D. Dynamical responses of airfoil models with harmonic excitation under uncertain disturbance. Nonlinear Dyn. 2017, 89, 1579–1590. [Google Scholar] [CrossRef]
  4. Deepika; Kaur, S.; Narayan, S. Fractional order uncertainty estimator based hierarchical sliding mode design for a class of fractional order non-holonomic chained system. ISA Trans. 2018, 77, 58–70. [Google Scholar] [CrossRef] [PubMed]
  5. Pecora, L.M.; Carroll, T.L. Synchronization in chaotic systems. Phys. Rev. Lett. 1990, 64, 821–824. [Google Scholar] [CrossRef] [PubMed]
  6. Kong, X.; Yu, F.; Yao, W.; Cai, S.; Zhang, J.; Lin, H. Memristor-induced hyperchaos, multiscroll and extreme multistability in fractional-order HNN: Image encryption and FPGA implementation. Neural Netw. 2024, 171, 85–103. [Google Scholar] [CrossRef]
  7. Yu, F.; Zhang, W.; Xiao, X.; Yao, W.; Cai, S.; Zhang, J.; Wang, C.; Li, Y. Dynamic Analysis and Field-Programmable Gate Array Implementation of a 5D Fraction-al-Order Memristive Hyperchaotic System with Multiple Coexisting Attractors. Fractal Fract. 2024, 8, 271. [Google Scholar] [CrossRef]
  8. Yu, F.; Kong, X.X.; Yao, W.; Zhang, J.; Cai, S.; Lin, H.; Jin, J. Dynamics analysis, synchronization and FPGA implementation of multiscroll Hopfield neural networks with non-polynomial memristor. Chaos Solitons Fractals 2024, 179, 114440. [Google Scholar] [CrossRef]
  9. Yu, Y.; Li, H.-X.; Wang, S.; Yu, J. Dynamic analysis of a fractional-order Lorenz chaotic system. Chaos Solitons Fractals 2009, 42, 1181–1189. [Google Scholar] [CrossRef]
  10. Wang, B.; Li, L.; Wang, Y. An efficient nonstandard finite difference scheme for chaotic fractional-order Chen system. IEEE Access 2020, 8, 98410–98421. [Google Scholar] [CrossRef]
  11. Oliva-Gonzalez, L.J.; Martínez-Guerra, R.; Flores-Flores, J.P. A fractional PI observer for incommensurate fractional order systems under parametric uncertainties. ISA Trans. 2023, 137, 275–287. [Google Scholar] [CrossRef]
  12. Yan, B.; He, S.; Wang, S. Multistability in a fractional-order centrifugal flywheel governor system and its adaptive control. Complexity 2020, 2020, 1–11. [Google Scholar] [CrossRef]
  13. Liu, H.; Chen, Y.; Li, G.; Xiang, W.; Xu, G. Adaptive fuzzy synchronization of fractional-order chaotic (hyperchaotic) systems with input saturation and unknown parameters. Complexity 2017, 2017, 1–16. [Google Scholar] [CrossRef]
  14. Kuntanapreeda, S. Adaptive control of fractional-order unified chaotic systems using a passivity-based control approach. Nonlinear Dyn. 2016, 84, 2505–2515. [Google Scholar] [CrossRef]
  15. Nian, F.Z.; Liu, X.M.; Zhang, Y.Q. Sliding mode synchronization of fractional-order complex chaotic system with parametric and external disturbances. Chaos Solitons Fractals 2018, 116, 22–28. [Google Scholar] [CrossRef]
  16. Sun, Z.W. Synchronization of fractional-order chaotic systems with non-identical orders, unknown parameters and disturbances via sliding mode control. Chin. J. Phys. 2018, 56, 2553–2559. [Google Scholar] [CrossRef]
  17. Hao, Y.L.; Fang, Z.M.; Liu, H. Adaptive T-S fuzzy synchronization for uncertain fractional-order chaotic systems with input saturation and disturbance. Inf. Sci. 2024, 666, 120423. [Google Scholar] [CrossRef]
  18. Sheng, Y.Z.; Gan, J.H.; Guo, X.Y. Predefined-time fractional-order time-varying sliding mode control for arbitrary order systems with uncertain disturbances. ISA Trans. 2024, 146, 236–248. [Google Scholar] [CrossRef] [PubMed]
  19. Cao, B.Q.; Nie, X.B.; Cao, J.D. Event-triggered adaptive neural networks tracking control for incommensurate fractional-order nonlinear systems with external disturbance. Neurocomputing 2023, 554, 126586. [Google Scholar] [CrossRef]
  20. Zhao, J.K.; Ren, T. Q–S synchronization between chaotic systems with double scaling functions. Nonlinear Dyn. 2010, 62, 665–672. [Google Scholar] [CrossRef]
  21. Chen, K.; Astolfi, A. Adaptive Control for Systems with Time-Varying Parameters. IEEE Trans. Autom. Control. 2021, 66, 1986–2001. [Google Scholar] [CrossRef]
  22. Ouannas, A.; Al-Sawalha, M.M. Synchronization between different dimensional chaotic systems using two scaling matrices. Optik 2016, 127, 959–963. [Google Scholar] [CrossRef]
  23. Aghababa, M.P. Finite-time chaos control and synchronization of fractional-order nonautonomous chaotic (hyperchaotic) systems using fractional nonsingular terminal sliding mode technique. Nonlinear Dyn. 2012, 69, 247–261. [Google Scholar] [CrossRef]
  24. Sweilam, N.; Khader, M.; Al-Bar, R. Numerical studies for a multi-order fractional differential equation. Phys. Lett. A 2007, 371, 26–33. [Google Scholar] [CrossRef]
  25. Gorenflo, R.; Mainardi, F. Fractional calculus: Integral and differential equations of fractional order. Mathematics 2008, 49, 277–290. [Google Scholar]
  26. Aguila-Camacho, N.; Duarte-Mermoud, M.A.; Gallegos, J.A. Lyapunov functions for fractional order systems. Commun. Nonlinear Sci. Numer. Simul. 2014, 19, 2951–2957. [Google Scholar] [CrossRef]
  27. Li, Y.; Chen, Y.; Podlubny, I. Mittag–Leffler stability of fractional order nonlinear dynamic systems. Automatica 2009, 45, 1965–1969. [Google Scholar] [CrossRef]
  28. Yu, H.B.; Zheng, J.M. Research on Synchronization of Bidirectional Coupled Chaotic Systems with Different Dimensions. In Proceedings of the 2021 33rd Chinese Control and Decision Conference (CCDC), Kunming, China, 22–24 May 2021; pp. 3721–3726. [Google Scholar]
Figure 1. The chaotic attractor of fractional-order system (24).
Figure 1. The chaotic attractor of fractional-order system (24).
Mathematics 12 02775 g001
Figure 2. The chaotic attractor of fractional-order system (25).
Figure 2. The chaotic attractor of fractional-order system (25).
Mathematics 12 02775 g002
Figure 3. Changes in synchronization errors e 1 i ( i = 1 , 2 , 3 ) .
Figure 3. Changes in synchronization errors e 1 i ( i = 1 , 2 , 3 ) .
Mathematics 12 02775 g003
Figure 4. Changes in the controllers u 1 i ( i = 1 , 2 , 3 ) .
Figure 4. Changes in the controllers u 1 i ( i = 1 , 2 , 3 ) .
Mathematics 12 02775 g004
Figure 5. Changes in estimated parameters d ^ 1 i ( i = 1 , 2 , 3 ) .
Figure 5. Changes in estimated parameters d ^ 1 i ( i = 1 , 2 , 3 ) .
Mathematics 12 02775 g005
Figure 6. Changes in estimated parameters d ^ 2 i ( i = 1 , 2 , 3 ) .
Figure 6. Changes in estimated parameters d ^ 2 i ( i = 1 , 2 , 3 ) .
Mathematics 12 02775 g006
Figure 7. Changes in synchronization errors e 2 i ( i = 1 , 2 , 3 , 4 ) .
Figure 7. Changes in synchronization errors e 2 i ( i = 1 , 2 , 3 , 4 ) .
Mathematics 12 02775 g007
Figure 8. Changes in the controllers u i ( i = 1 , 2 , 3 , 4 ) .
Figure 8. Changes in the controllers u i ( i = 1 , 2 , 3 , 4 ) .
Mathematics 12 02775 g008
Figure 9. Changes in estimated parameters d ^ 1 i ( i = 1 , 2 , 3 ) .
Figure 9. Changes in estimated parameters d ^ 1 i ( i = 1 , 2 , 3 ) .
Mathematics 12 02775 g009
Figure 10. Changes in estimated parameters d ^ 2 i ( i = 1 , 2 , 3 , 4 ) .
Figure 10. Changes in estimated parameters d ^ 2 i ( i = 1 , 2 , 3 , 4 ) .
Mathematics 12 02775 g010
Disclaimer/Publisher’s Note: The statements, opinions and data contained in all publications are solely those of the individual author(s) and contributor(s) and not of MDPI and/or the editor(s). MDPI and/or the editor(s) disclaim responsibility for any injury to people or property resulting from any ideas, methods, instructions or products referred to in the content.

Share and Cite

MDPI and ACS Style

Zhang, C.; Gao, Y.; Yao, J.; Qian, F. Synchronization of Bidirectionally Coupled Fractional-Order Chaotic Systems with Unknown Time-Varying Parameter Disturbance in Different Dimensions. Mathematics 2024, 12, 2775. https://doi.org/10.3390/math12172775

AMA Style

Zhang C, Gao Y, Yao J, Qian F. Synchronization of Bidirectionally Coupled Fractional-Order Chaotic Systems with Unknown Time-Varying Parameter Disturbance in Different Dimensions. Mathematics. 2024; 12(17):2775. https://doi.org/10.3390/math12172775

Chicago/Turabian Style

Zhang, Chunli, Yangjie Gao, Junliang Yao, and Fucai Qian. 2024. "Synchronization of Bidirectionally Coupled Fractional-Order Chaotic Systems with Unknown Time-Varying Parameter Disturbance in Different Dimensions" Mathematics 12, no. 17: 2775. https://doi.org/10.3390/math12172775

APA Style

Zhang, C., Gao, Y., Yao, J., & Qian, F. (2024). Synchronization of Bidirectionally Coupled Fractional-Order Chaotic Systems with Unknown Time-Varying Parameter Disturbance in Different Dimensions. Mathematics, 12(17), 2775. https://doi.org/10.3390/math12172775

Note that from the first issue of 2016, this journal uses article numbers instead of page numbers. See further details here.

Article Metrics

Back to TopTop