Task-Importance-Oriented Task Selection and Allocation Scheme for Mobile Crowdsensing
Abstract
1. Introduction
- A task queue is established, and the Lyapunov optimization method is introduced to propose the task selection and allocation scheme (TSAS) in the MCS system. When there are many tasks but not enough participants, participants mainly perform tasks of high importance and stabilize the task queue by controlling the number of tasks entering the queue; when the number of tasks is small but participants are sufficient, participants can perform the backlog tasks in the queue. So, tasks of lower importance can also be executed, which not only improves the completion of tasks but also improves the utilization of resources. Therefore, the TSAS is a long-term and online scheme that can dynamically balance the relationship between the execution ability of participants, the stability of the task queue, and the importance of tasks.
- According to different system states, namely, the length of the task queue, the number of participants, and the number of tasks arriving at the platform, the TSAS is dynamically determined. This scheme has certain predictive power and foresight on the influence of future states.
- The traditional solution of the Lyapunov optimization problem is improved, the DDQN method is introduced, and action mask, iterative training, and other methods are proposed to accelerate the training process and improve the training effect.
2. System Model and Problem Formulation
2.1. System Model
2.2. System Utility
2.3. Importance Level of the Tasks Being Executed
2.4. Problem Formulation
3. Task Selection and Allocation Scheme
3.1. Lyapunov Optimization
- 1.
- In the task selection stage, the goal is mainly to solve the problem below:
- 2.
- In the task allocation stage, the goal is mainly to solve the problem below:
3.2. Task Selection Stage
3.2.1. State
3.2.2. Action
3.2.3. Reward
3.2.4. Action-Value Network Training and Parameter-Updating Mechanism
3.2.5. Iterative Training
3.2.6. Priority Experience Replay and Importance Sampling Weight
3.2.7. Action Mask
3.3. Task Allocation Stage
| Algorithm 1. TSAS based on Lyapunov optimization and DDQN | |
| 1 | Initialize the evaluation network with random network parameters . |
| 2 | Copy the same parameters to initialize the target network . |
| 3 | Initialize . |
| 4 | Input: environment state : the number of tasks reaching the platform , the length of the task queue , and the number of participants . |
| 5 | Output: the number of tasks entering the task queue and task allocation scheme . |
| 6 | Set . |
| 7 | for episode do: |
| 8 | Obtain environment state . |
| 9 | Input into the evaluation network, output the action value , and select action with the -greedy policy. |
| 10 | Execute in , and determine the tasks to enter the task queue according to . |
| 11 | Determine the task allocation and execution scheme according to : . |
| 12 | After the tasks are completed, obtain the next state and reward . |
| 13 | Store the experience data tuple in the . |
| 14 | If : |
| 15 | Execute Algorithm 2: train the evaluation network, and update the parameters . |
| 16 | If : |
| 17 | Update target network parameters : . |
| 18 | end |
| Algorithm 2. Training and parameter update of action-value network | |
| 1 | Sample groups of data from the replay buffer: |
| 2 | for do: |
| 3 | Input into the evaluation network to calculate the action value: ; |
| 4 | Input into the target network to calculate the action value: ; |
| 5 | Calculate the error: . |
| 6 | end |
| 7 | Update the parameters of the evaluation network to minimize the : . |
| 18 | end |
4. Experimental Validation and Performance Evaluation
4.1. Training Performance
4.2. Comparison Experiment of Different Algorithms
- refers to the number of tasks waiting to be performed in the task queue.The size of depends on the number of and . Maintaining the stability of the task queue is an important goal of the online and long-term task allocation problem of the MCS system. By observing the change in , we can intuitively judge whether the task queue has reached a stable state. The result of the comparison experiment on is shown in Figure 8.
- refers to the number of tasks entering the queue. is an important part of the task selection and allocation method, which directly determines the queue length and its stability, system efficiency, and the importance of the tasks performed. When there are few participants, the system should reduce in order to maintain the stability of the queue. When there are many participants, the system should increase while maintaining queue stability in order to maximize the system utility and the performed task importance. Therefore, by observing , we can evaluate the advantages and disadvantages of different algorithms. The result of the comparison experiment on is shown in Figure 9.
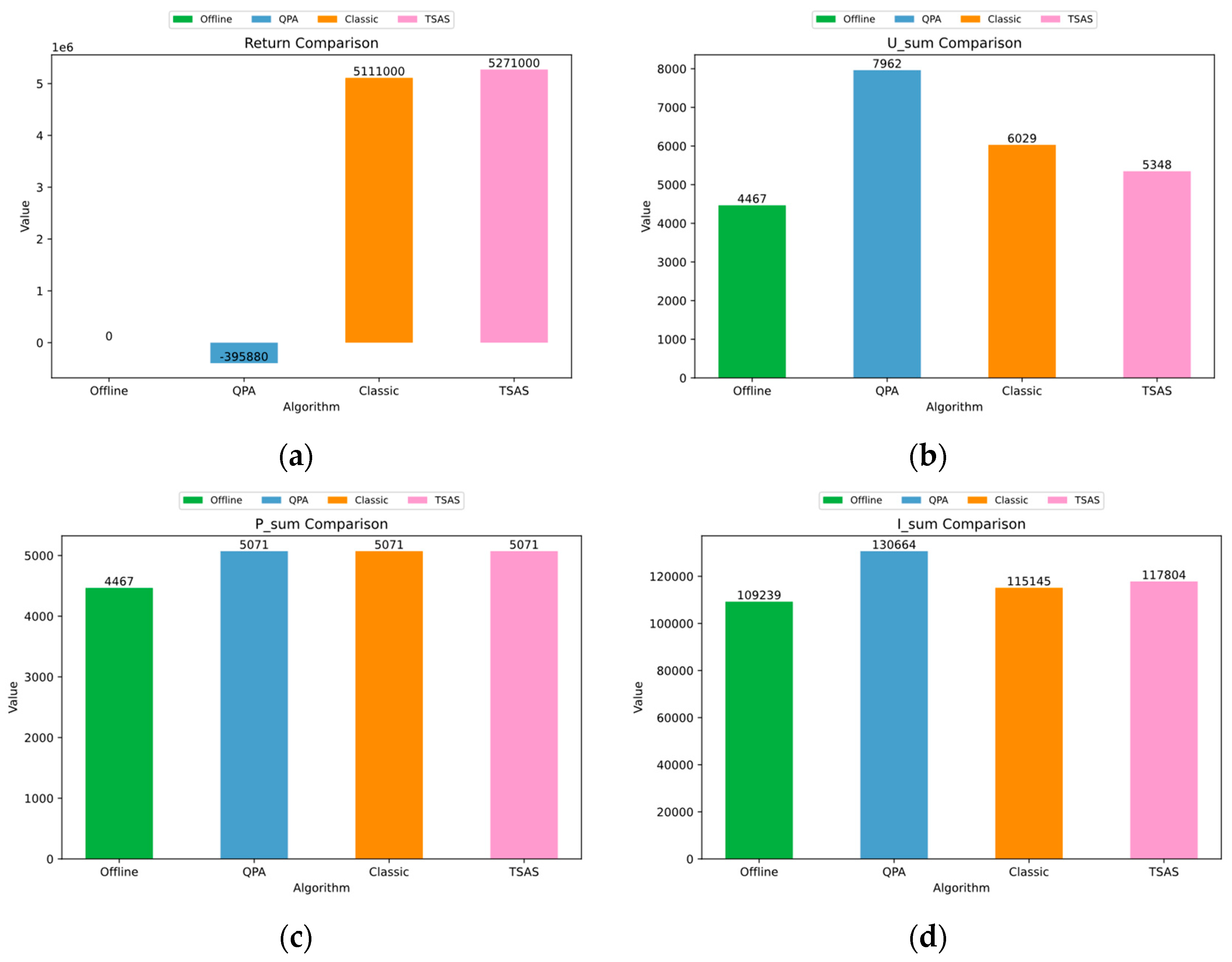
- The represents the total rewards:The larger the , the smaller the drift-plus-penalty function, and the closer to the optimization goal. The result of the comparison experiment on the is shown in Figure 10a.
- represents the total utility of the system. The more tasks that entered the queue, the greater the total utility.is not “the bigger, the better”. Due to the limited number of participants and ability to execute tasks, when there are too many tasks in the queue, although is large, the queue congestion is serious, resulting in a large delay before the task is executed. The result of the comparison experiment on is shown in Figure 10b.
- represents the total number of tasks actually executed:When the number of participants and their ability to perform tasks are limited, is largely constrained by their ability to perform tasks. The result of the comparison experiment on is shown in Figure 10c.
- indicates the total importance of the tasks performed.The larger is, the more important the tasks performed are. The result of the comparison experiment on is shown in Figure 10d.
- The offline task selection and allocation algorithm makes decisions based on and in order to maximize the number of tasks to be executed. There is no backlog of queued tasks, so the queue length is always 0. It is precisely for this reason that some participants will be idle when the number of tasks decreases, but the number of participants increases, so the number of tasks executed by the offline task selection and allocation algorithm is lower than that executed by other online task selection and allocation algorithms, as shown in Figure 10.
- When , follows a Poisson distribution of , meaning that is greater than , resulting in a backlog of queued tasks. The QPA algorithm seeks to maximize greedily without limiting the queue length, so continues to grow and cannot stabilize. of the Classical Lyapunov optimization algorithm tends to stabilize at around 1000, while TSAS tends to stabilize at around 500. of the TSAS is significantly smaller than that of the Classical Lyapunov optimization algorithm. This is because the TSAS and the Classical Lyapunov optimization algorithm are both based on the Lyapunov optimization algorithm to maintain the stability of the task queue and pursue utility. The difference between the two algorithms lies in their solution. The Classical Lyapunov optimization algorithm approximates the unknown variable, minimizes an upper bound of the drift-plus-penalty function, and obtains an approximate optimal solution, thus causing high queue congestion. The TSAS can directly obtain the optimal solution of the drift-plus-penalty function, improving the defects of the Classical Lyapunov optimization algorithm. It can be seen that the TSAS can control the queue backlog and reduce the delay in task execution, which has important practical significance.
- When , follows a Poisson distribution of . The QPA algorithm greedily pursues the maximization of ; therefore, of QPA is equal to the average value of . At this point, the queue tends to stabilize. In fact, once increases, will continue to grow, so the QPA algorithm cannot maintain the stability of the task queue. Due to the decrease in , the of the Classical Lyapunov optimization algorithm and TSAS is reduced. The number of tasks executed is greater than the number of new tasks added to the queue, and the backlog of tasks in the queue is constantly being executed, so begins to decrease. Tasks that have not been executed are stored in the task queue instead of being directly discarded. Therefore, when participants have free time, the backlog of tasks in the queue will be executed. This increases the execution rate of tasks while also increasing the system’s utility and improving the utilization of idle participants.
- (1)
- The offline task selection and allocation algorithm does not consider the long-term utility of the system. As the set in the experiment is greater than or equivalent to the number of participants, in order to maximize the number of tasks performed, is consistent with the number of participants subject to the task execution capability of the system.
- (2)
- The QPA algorithm pursues the maximization of system benefits greedily without considering the stability of task queues. All tasks arriving at the platform enter the task queue. Therefore, its is consistent with . When , is large, and is also large, which is greater than in other algorithms; when , it is consistent with the TSAS and the Classical Lyapunov optimization algorithm. decreases, and also decreases.
- (3)
- When , is relatively large. In order to maintain the stability of the queue, the TSAS and the Classical Lyapunov optimization algorithm both choose to enter the platform with some tasks instead of all tasks. In addition, the of the Classical Lyapunov optimization algorithm is obtained by solving the drift-plus-penalty function based on the classic solution, as mentioned before, which mainly depends on the current state , so fluctuates greatly; the TSAS is based on the DDQN to solve Formula (14), so it not only depends on the current state but also takes into account the future states in advance, so the fluctuation range of is relatively small. In Figure 10, it can be seen that the fluctuation of causes a difference in the total importance of tasks being performed, as detailed in the following analysis.
- (4)
- When , is equal to the number of participants. In order to maximize the system utility and the importance of performed tasks, the TSAS and the Classical Lyapunov optimization algorithm put all arriving tasks into the task queue, so their is consistent with .
4.3. Impact of on TSAS
5. Conclusions
Author Contributions
Funding
Data Availability Statement
Conflicts of Interest
References
- Nguyen, T.N.; Zeadally, S. Mobile crowd-sensing applications: Data redundancies, challenges, and solutions. ACM Trans. Internet Technol. 2021, 22, 1–15. [Google Scholar] [CrossRef]
- Minkman, E.; van Overloop, P.J.; van der Sanden, M.C. Citizen science in water quality monitoring: Mobile crowd sensing for water management in the Netherlands. In Proceedings of the World Environmental and Water Resources Congress, Austin, TX, USA, 17–21 May 2015. [Google Scholar]
- Foschini, L.; Martuscelli, G.; Montanari, R.; Solimando, M. Edge-enabled mobile crowdsensing to support effective rewarding for data collection in pandemic events. J. Grid Comput. 2021, 19, 28. [Google Scholar] [CrossRef] [PubMed]
- Zappatore, M.; Longo, A.; Bochicchio, M.A. Using mobile crowd sensing for noise monitoring in Smart Cities. In Proceedings of the International Multidisciplinary Conference on Computer and Energy Science (SpliTech), Split, Croatia, 13–15 July 2016. [Google Scholar]
- Habibzadeh, H.; Qin, Z.; Soyata, T.; Kantarci, B. Large-scale distributed dedicated- and non-dedicated Smart City Sensing Systems. IEEE Sens. J. 2017, 17, 7649–7658. [Google Scholar] [CrossRef]
- Khan, F.; Ur Rehman, A.; Zheng, J.; Jan, M.A.; Alam, M. Mobile Crowdsensing: A survey on privacy-preservation, task management, assignment models, and Incentives Mechanisms. Future Gener. Comput. Syst. 2019, 100, 456–472. [Google Scholar] [CrossRef]
- Zhang, J.; Zhang, Y.; Wu, H.; Li, W. An ordered submodularity-based budget-feasible mechanism for opportunistic mobile crowdsensing task allocation and pricing. IEEE Trans. Mob. Comput. 2024, 23, 1278–1294. [Google Scholar] [CrossRef]
- Kang, Y.; Liu, C.; Zhang, H.; Han, Z.; Osher, S.; Poor, H.V. Task selection and route planning for mobile crowd sensing using multi-population mean-field game. In Proceedings of the IEEE International Conference on Communications (ICC), Electr Network, Virtual, 14–23 June 2021. [Google Scholar]
- Stoeckel, B.; Kloker, S.; Weinhardt, C.; Dann, D. Quantity over quality ?—A framework for combining mobile crowd sensing and high quality sensing. In Proceedings of the 16th International Conference on Business and Information Systems Engineering (WI), Univ Duisburg Essen, Duisburg, Germany, 9–11 March 2021. [Google Scholar]
- Ullah, N.; Khan, F.; Khan, A.A.; Khan, S.; Tareen, A.W.; Saeed, M.; Khan, A. Optimal real-time static and Dynamic Air Quality Monitoring System. Indian J. Sci. Technol. 2020, 13, 1–12. [Google Scholar] [CrossRef]
- Huang, Y.; Chen, H.; Ma, G.; Lin, K.; Ni, Z.; Yan, N.; Wang, Z. OPAT: Optimized allocation of time-dependent tasks for mobile crowdsensing. IEEE Trans. Ind. Inform. 2022, 18, 2476–2485. [Google Scholar] [CrossRef]
- Mourtzis, D.; Angelopoulos, J.; Panopoulos, N. UAVs for industrial applications: Identifying challenges and opportunities from the implementation point of View. Procedia Manuf. 2021, 55, 183–190. [Google Scholar] [CrossRef]
- Wang, Y.; Dai, Z.; Zhang, W.; Zhang, S.; Xu, Y.; Chen, Q. Urgent task-aware Cloud Manufacturing Service composition using two-stage biogeography-based optimization. Int. J. Comput. Integr. Manuf. 2018, 31, 1034–1047. [Google Scholar] [CrossRef]
- Qu, Z.; Ding, Z.; Moo, P. A machine learning task selection method for radar resource management (poster). In Proceedings of the 22th International Conference on Information Fusion (FUSION), Ottawa, ON, Canada, 2–5 July 2019. [Google Scholar]
- Ouyang, W.; Obaidat, M.S.; Liu, X.; Long, X.; Xu, W.; Liu, T. Importance-different charging scheduling based on matroid theory for wireless rechargeable sensor networks. IEEE Trans. Wirel. Commun. 2021, 20, 3284–3294. [Google Scholar] [CrossRef]
- Wang, L. Maintenance task scheduling of wind turbines based on Task Priority. In Proceedings of the 2020 Asia-Pacific International Symposium on Advanced Reliability and Maintenance Modeling (APARM), Vancouver, BC, Canada, 20–23 August 2020. [Google Scholar]
- Tchinda, Y.M.; Choquet-Geniet, A.; Largeteau-Skapin, G. Importance-Based Scheduling to Manage Multiple Core Defection in Real-Time Systems. Lecture Notes in Computer Science; Springer: Berlin/Heidelberg, Germany, 2019. [Google Scholar]
- Yang, L.; Xia, Y.; Ye, L. Heuristic scheduling method with the importance of earlier tasks for deadline constrained workflows in clouds. In Proceedings of the 2021 40th Chinese Control Conference (CCC), Shanghai, China, 26–28 July 2021. [Google Scholar]
- Shu, Z.; Zhang, K. A mechanism for network resource allocation and task offloading in mobile edge computing and network engineering. Comput. Intell. 2024, 40, e12628. [Google Scholar] [CrossRef]
- Chen, G.; Zhang, J.; Ning, M.; Cui, W.; Ma, M. Task scheduling in real-time industrial scenarios. Comput. Ind. Eng. 2023, 182, 109372. [Google Scholar] [CrossRef]
- Xiao, M.; An, B.; Wang, J.; Gao, G.; Zhang, S.; Wu, J. CMAB-based reverse auction for unknown worker recruitment in Mobile Crowdsensing. IEEE Trans. Mob. Comput. 2022, 21, 3502–3518. [Google Scholar] [CrossRef]
- Gendy, M.E.; Al-Kabbany, A.; Badran, E.F. Maximizing clearance rate by penalizing redundant task assignment in Mobile Crowdsensing Auctions. In Proceedings of the IEEE Wireless Communications and Networking Conference (WCNC), Electr Network, Virtual, 25–28 May 2020. [Google Scholar]
- Neely, J. Stochastic Network Optimization with Application to Communication and Queueing Systems; Morgan and Claypool Publishers: San Rafael, CA, USA, 2010. [Google Scholar]
- Lyu, L.; Shen, Y.; Zhang, S. The advance of reinforcement learning and deep reinforcement learning. In Proceedings of the IEEE International Conference on Electrical Engineering, Big Data and Algorithms (EEBDA), Changchun, China, 25–27 February 2022. [Google Scholar]
- Saito, N.; Oda, T.; Hirata, A.; Nagai, Y.; Hirota, M.; Katayama, K.; Barolli, L. A Tabu list strategy based DQN for AAV Mobility in indoor single-path environment: Implementation and performance evaluation. Internet Things 2021, 14, 100394. [Google Scholar] [CrossRef]
- Zhang, X.; Shi, X.; Zhang, Z.; Wang, Z.; Zhang, L. A DDQN path planning algorithm based on experience classification and multi steps for Mobile Robots. Electronics 2022, 11, 2120. [Google Scholar] [CrossRef]
- Chen, L.; Wang, Q.; Deng, C.; Xie, B.; Tuo, X.; Jiang, G. Improved double deep Q-network algorithm applied to multi-dimensional environment path planning of Hexapod Robots. Sensors 2024, 24, 2061. [Google Scholar] [CrossRef] [PubMed]
- Huang, S.; Ontañón, S. A closer look at invalid action masking in policy gradient algorithms. In Proceedings of the International FLAIRS Conference Proceedings, Jensen Beach, FL, USA, 15–18 May 2022. [Google Scholar]
- Gong, W.; Zhang, B.; Li, C. Location-based online task assignment and path planning for mobile crowdsensing. IEEE Trans. Veh. Technol. 2018, 68, 1772–1783. [Google Scholar] [CrossRef]












Disclaimer/Publisher’s Note: The statements, opinions and data contained in all publications are solely those of the individual author(s) and contributor(s) and not of MDPI and/or the editor(s). MDPI and/or the editor(s) disclaim responsibility for any injury to people or property resulting from any ideas, methods, instructions or products referred to in the content. |
© 2024 by the authors. Licensee MDPI, Basel, Switzerland. This article is an open access article distributed under the terms and conditions of the Creative Commons Attribution (CC BY) license (https://creativecommons.org/licenses/by/4.0/).
Share and Cite
Chang, S.; Wu, Y.; Deng, S.; Ma, W.; Zhou, H. Task-Importance-Oriented Task Selection and Allocation Scheme for Mobile Crowdsensing. Mathematics 2024, 12, 2471. https://doi.org/10.3390/math12162471
Chang S, Wu Y, Deng S, Ma W, Zhou H. Task-Importance-Oriented Task Selection and Allocation Scheme for Mobile Crowdsensing. Mathematics. 2024; 12(16):2471. https://doi.org/10.3390/math12162471
Chicago/Turabian StyleChang, Sha, Yahui Wu, Su Deng, Wubin Ma, and Haohao Zhou. 2024. "Task-Importance-Oriented Task Selection and Allocation Scheme for Mobile Crowdsensing" Mathematics 12, no. 16: 2471. https://doi.org/10.3390/math12162471
APA StyleChang, S., Wu, Y., Deng, S., Ma, W., & Zhou, H. (2024). Task-Importance-Oriented Task Selection and Allocation Scheme for Mobile Crowdsensing. Mathematics, 12(16), 2471. https://doi.org/10.3390/math12162471

