Adaptive Visual Control for Robotic Manipulators with Consideration of Rigid-Body Dynamics and Joint-Motor Dynamics
Abstract
1. Introduction
- Compared with existing uncalibrated visual control schemes for robot manipulators, e.g., [23,24,25], the uncertainties in kinematics and dynamics and the influences of joint-motor dynamics are further considered in design and analysis and well addressed by our newly proposed neural network-based IBVS strategy.
- Although some attempts have been made in developing uncalibrated visual control schemes capable of accommodating motor dynamics (see [35] for examples), the implementation of the developed control algorithm requires the time derivatives of the regressor matrix and many other signals, resulting in a large computational burden. Such a drawback is removed with our scheme by making full use of the universal approximation property of neural networks.
- A robust adaptive mechanism is newly designed and added in our visual control scheme, with which good robustness of the proposed control scheme to neural network approximation errors and exogenous disturbances can be well established.
2. Problem Statement and Analysis
2.1. Kinematics
2.2. Dynamics
3. Control Design
3.1. Controller
3.2. Adaptive Update Method
4. System Stability
| Algorithm 1: Cascade adaptive visual servoing control algorithm. |
![]() |
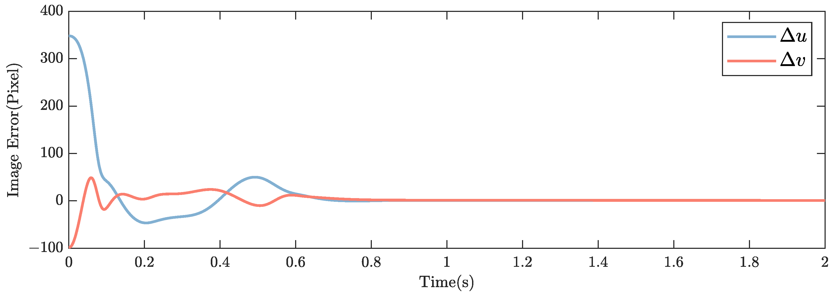
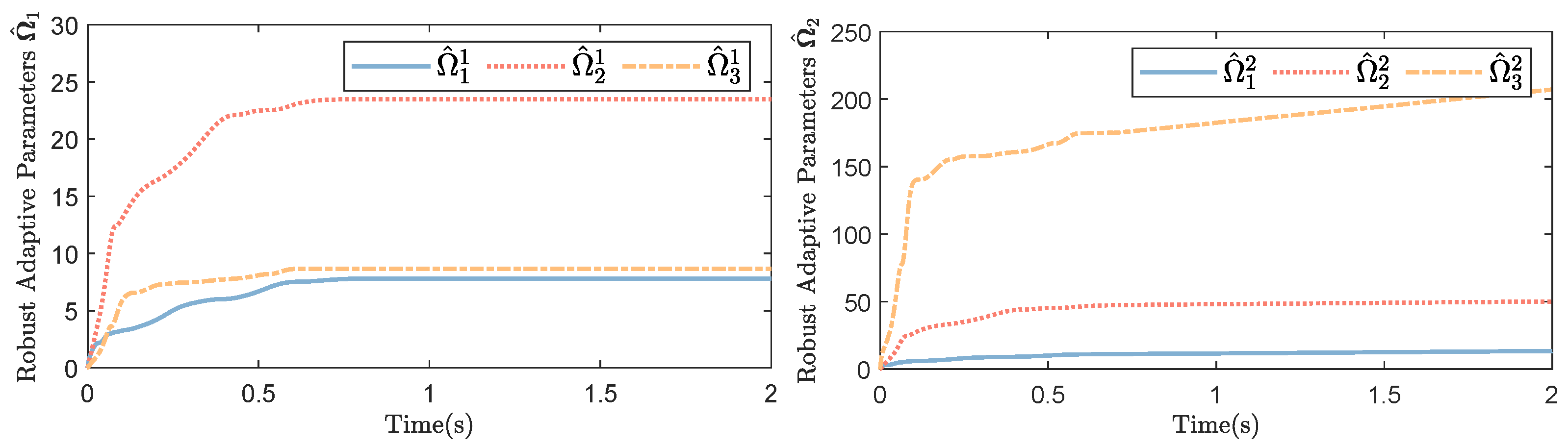
5. Simulation
6. Conclusions
Author Contributions
Funding
Data Availability Statement
Conflicts of Interest
References
- Wu, J.; Jin, Z.; Liu, A.; Yu, L.; Yang, F. A survey of learning-based control of robotic visual servoing systems. J. Frankl. Inst. 2022, 359, 556–577. [Google Scholar] [CrossRef]
- Zhang, K.; Shi, Y.; Sheng, H. Robust nonlinear model predictive control based visual servoing of quadrotor UAVs. IEEE/ASME Trans. Mechatron. 2021, 26, 700–708. [Google Scholar] [CrossRef]
- Zhou, S.; Shen, C.; Pang, F.; Chen, Z.; Gu, J.; Zhu, S. Position-based visual servoing control for multi-joint hydraulic manipulator. J. Intell. Robot. Syst. 2022, 105, 33. [Google Scholar] [CrossRef]
- Xu, F.; Zhang, Y.; Sun, J.; Wang, H. Adaptive visual servoing shape control of a soft robot manipulator using bezier curve features. IEEE/ASME Trans. Mechatron. 2022, 28, 945–955. [Google Scholar] [CrossRef]
- Chen, Y.; Wu, Y.; Zhang, Z.; Miao, Z.; Zhong, H.; Zhang, H.; Wang, Y. Image-based visual servoing of unmanned aerial manipulators for tracking and grasping a moving target. IEEE Trans. Ind. Inform. 2022, 19, 8889–8899. [Google Scholar] [CrossRef]
- Huang, H.; Bian, X.; Cai, F.; Li, J.; Jiang, T.; Zhang, Z.; Sun, C. A review on visual servoing for underwater vehicle manipulation systems automatic control and case study. Ocean Eng. 2022, 260, 112065. [Google Scholar] [CrossRef]
- Ribeiro, E.G.; Mendes, R.Q.; Terra, M.H.; Grassi, V. Second-order position-based visual servoing of a robot manipulator. IEEE Robot. Autom. Lett. 2023, 9, 207–214. [Google Scholar] [CrossRef]
- Dong, G.; Zhu, Z. Position-based visual servo control of autonomous robotic manipulators. Acta Astronaut. 2015, 115, 291–302. [Google Scholar] [CrossRef]
- Thuilot, B.; Martinet, P.; Cordesses, L.; Gallice, J. Position based visual servoing: Keeping the object in the field of vision. In Proceedings of the 2002 IEEE International Conference on Robotics and Automation (Cat. No. 02CH37292), Washington, DC, USA, 11–15 May 2002; Volume 2, pp. 1624–1629. [Google Scholar]
- Corke, P.I.; Hutchinson, S.A. A new partitioned approach to image-based visual servo control. IEEE Trans. Robot. Autom. 2001, 17, 507–515. [Google Scholar] [CrossRef]
- Chaumette, F. Image moments: A general and useful set of features for visual servoing. IEEE Trans. Robot. 2004, 20, 713–723. [Google Scholar] [CrossRef]
- Sanderson, A.C.; Weiss, L.E. Image-based visual servo control of robots. Robotics and industrial inspection. In Proceedings of the 6th Annual Technical Symposium—SPIE, San Diego, CA, USA, 24–27 August 1982; Volume 360, pp. 164–169. [Google Scholar]
- Hamel, T.; Mahony, R. Image based visual servo control for a class of aerial robotic systems. Automatica 2007, 43, 1975–1983. [Google Scholar] [CrossRef]
- Li, W.; Xiong, R. A hybrid visual servo control method for simultaneously controlling a nonholonomic mobile and a manipulator. Front. Inf. Technol. Electron. Eng. 2021, 22, 141–154. [Google Scholar] [CrossRef]
- Corke, P.; Hutchinson, S. A new hybrid image-based visual servo control scheme. In Proceedings of the 39th IEEE Conference on Decision and Control (Cat. No. 00CH37187), Sydney, NSW, Australia, 12–15 December 2000; Volume 3, pp. 2521–2526. [Google Scholar]
- Hosoda, K.; Igarashi, K.; Asada, M. Adaptive hybrid visual servoing/force control in unknown environment. In Proceedings of the IEEE/RSJ International Conference on Intelligent Robots and Systems, IROS’96, Osaka, Japan, 4–8 November 1996; IEEE: Piscataway, NJ, USA, 1996; Volume 3, pp. 1097–1103. [Google Scholar]
- Ceren, Z.; Altuğ, E. Image based and hybrid visual servo control of an unmanned aerial vehicle. J. Intell. Robot. Syst. 2012, 65, 325–344. [Google Scholar] [CrossRef]
- Bo, T.; Zeyu, G.; Han, D. Survey on uncalibrated robot visual servoing control. Chin. J. Theor. Appl. Mech. 2016, 48, 767–783. [Google Scholar]
- Malis, E.; Chaumette, F. 2 1/2 D visual servoing with respect to unknown objects through a new estimation scheme of camera displacement. Int. J. Comput. Vis. 2000, 37, 79–97. [Google Scholar] [CrossRef]
- Zhang, Z. Flexible camera calibration by viewing a plane from unknown orientations. In Proceedings of the 7th IEEE International Conference on Computer Vision, Kerkyra, Greece, 20–27 September 1999; IEEE: Piscataway, NJ, USA, 1999; Volume 1, pp. 666–673. [Google Scholar]
- Kelly, R. Robust asymptotically stable visual servoing of planar robots. IEEE Trans. Robot. Autom. 1996, 12, 759–766. [Google Scholar] [CrossRef]
- Sato, T.; Sato, J. Visual servoing from uncalibrated cameras for uncalibrated robots. Syst. Comput. Jpn. 2000, 31, 11–19. [Google Scholar] [CrossRef]
- Shen, Y.; Xiang, G.; Liu, Y.H.; Li, K. Uncalibrated visual servoing of planar robots. In Proceedings of the 2002 IEEE International Conference on Robotics and Automation (Cat. No. 02CH37292), Washington, DC, USA, 11–15 May 2002; Volume 1, pp. 580–585. [Google Scholar]
- Liu, Y.H.; Wang, H.; Wang, C.; Lam, K.K. Uncalibrated visual servoing of robots using a depth-independent interaction matrix. IEEE Trans. Robot. 2006, 22, 804–817. [Google Scholar]
- Gong, Z.; Tao, B.; Yang, H.; Yin, Z.; Ding, H. Projective Homography Based Uncalibrated Visual Servoing. In Proceedings of the 2017 IEEE 7th Annual International Conference on CYBER Technology in Automation, Control, and Intelligent Systems (CYBER), Kaiulani, HI, USA, 31 July–4 August 2017; IEEE: Piscataway, NJ, USA, 2017; pp. 364–369. [Google Scholar]
- Wu, J.; Jin, Z.; Liu, A.; Yu, L. Vision-based neural predictive tracking control for multi-manipulator systems with parametric uncertainty. ISA Trans. 2021, 110, 247–257. [Google Scholar] [CrossRef]
- Lee, J.; Dallali, H.; Jin, M.; Caldwell, D.G.; Tsagarakis, N.G. Robust and adaptive dynamic controller for fully-actuated robots in operational space under uncertainties. Auton. Robot. 2019, 43, 1023–1040. [Google Scholar] [CrossRef]
- Hu, J.; Wang, P.; Xu, C.; Zhou, H.; Yao, J. High accuracy adaptive motion control for a robotic manipulator with model uncertainties based on multilayer neural network. Asian J. Control 2022, 24, 1503–1514. [Google Scholar] [CrossRef]
- Lai, G.; Liu, A.; Yang, W.; Chen, Y.; Zhao, L. Uncalibrated Adaptive Visual Servoing of Robotic Manipulators with Uncertainties in Kinematics and Dynamics. Actuators 2023, 12, 143. [Google Scholar] [CrossRef]
- Yang, J.; Chen, W.H.; Li, S.; Guo, L.; Yan, Y. Disturbance/Uncertainty Estimation and Attenuation Techniques in PMSM Drives—A Survey. IEEE Trans. Ind. Electron. 2017, 64, 3273–3285. [Google Scholar]
- Yuan, Z.; Wang, W.; Chen, J.; Razmjooy, N. Interval linear quadratic regulator and its application for speed control of DC motor in the presence of uncertainties. ISA Trans. 2022, 125, 252–259. [Google Scholar] [PubMed]
- Izadbakhsh, A.; Khorashadizadeh, S. Robust task-space control of robot manipulators using differential equations for uncertainty estimation. Robotica 2017, 35, 1923–1938. [Google Scholar] [CrossRef]
- Léchappé, V.; Rouquet, S.; González, A.; Plestan, F.; León, J.D.; Moulay, E.; Glumineau, A. Delay Estimation and Predictive Control of Uncertain Systems With Input Delay: Application to a DC Motor. IEEE Trans. Ind. Electron. 2016, 63, 5849–5857. [Google Scholar] [CrossRef]
- Zhou, B.; Yang, L.; Wang, C.; Chen, Y.; Chen, K. Inverse jacobian adaptive tracking control of robot manipulators with kinematic, dynamic, and actuator uncertainties. Complexity 2020, 2020, 5070354. [Google Scholar]
- Liang, X.; Wang, H.; Chen, W. Uncalibrated fixed-camera visual servoing of robot manipulators by considering the motor dynamics. In Proceedings of the 2012 IEEE International Conference on Multisensor Fusion and Integration for Intelligent Systems (MFI), Hamburg, Germany, 13–15 September 2012; pp. 426–431. [Google Scholar]
- Fateh, M.M.; Khorashadizadeh, S. Robust control of electrically driven robots by adaptive fuzzy estimation of uncertainty. Nonlinear Dyn. 2012, 69, 1465–1477. [Google Scholar]
- Peng, J.; Ding, S.; Dubay, R. Adaptive composite neural network disturbance observer-based dynamic surface control for electrically driven robotic manipulators. Neural Comput. Appl. 2021, 33, 6197–6211. [Google Scholar] [CrossRef]











| Symbol | Implication |
|---|---|
| The spatial position vector | |
| The joint anngle vector | |
| The homogeneous transformation matrix | |
| The image coordinate vector | |
| The perspective projection matrix | |
| The ith row of the perspective projection matrix | |
| The Jacobian matrix | |
| The depth-independent interaction matrix | |
| The depth-independent compound matrix | |
| The depth-independent compound vector | |
| The inertia force matrix of the robotic manipulator | |
| The Coriolis force matrix of the robotic manipulator | |
| The gravitational force vector of the robotic manipulator | |
| The joint torque vector | |
| The motor armature inductance matrix | |
| The motor resistance matrix | |
| The motor electromechanical conversion coefficient matrix | |
| The RBFNN approximate term | |
| The output weight matrix of the RBFNN | |
| The RBF nodes of the neural network | |
| The unknown disturbance term | |
| The estimation error of the RBFNN | |
| The summary of the estimation error and unknown disturbance | |
| The upper bound of | |
| The compound parameter vector of the camera and manipulator | |
| The energy-like Lyapunov function | |
| z | The depth value with respect to the camera frame |
| Joint | Angle (rad) | Offset (m) | Length (m) | Twist (rad) | Mass (kg) |
|---|---|---|---|---|---|
| 1 | 0 | 0 | 0 | ||
| 2 | 0 | 0.4318 | 0 | ||
| 3 | 0.15005 | 0.0203 |
Disclaimer/Publisher’s Note: The statements, opinions and data contained in all publications are solely those of the individual author(s) and contributor(s) and not of MDPI and/or the editor(s). MDPI and/or the editor(s) disclaim responsibility for any injury to people or property resulting from any ideas, methods, instructions or products referred to in the content. |
© 2024 by the authors. Licensee MDPI, Basel, Switzerland. This article is an open access article distributed under the terms and conditions of the Creative Commons Attribution (CC BY) license (https://creativecommons.org/licenses/by/4.0/).
Share and Cite
Chen, Z.; Wen, W.; Yang, W. Adaptive Visual Control for Robotic Manipulators with Consideration of Rigid-Body Dynamics and Joint-Motor Dynamics. Mathematics 2024, 12, 2413. https://doi.org/10.3390/math12152413
Chen Z, Wen W, Yang W. Adaptive Visual Control for Robotic Manipulators with Consideration of Rigid-Body Dynamics and Joint-Motor Dynamics. Mathematics. 2024; 12(15):2413. https://doi.org/10.3390/math12152413
Chicago/Turabian StyleChen, Zhitian, Weijian Wen, and Weijun Yang. 2024. "Adaptive Visual Control for Robotic Manipulators with Consideration of Rigid-Body Dynamics and Joint-Motor Dynamics" Mathematics 12, no. 15: 2413. https://doi.org/10.3390/math12152413
APA StyleChen, Z., Wen, W., & Yang, W. (2024). Adaptive Visual Control for Robotic Manipulators with Consideration of Rigid-Body Dynamics and Joint-Motor Dynamics. Mathematics, 12(15), 2413. https://doi.org/10.3390/math12152413


