New Computer Experiment Designs with Area-Interaction Point Processes
Abstract
1. Introduction
2. Preliminaries
- (a)
- Implies for all .
- (b)
- If , then for any , the ratio depends only on and .
3. Computer Experiments Designs Using Markovian Area-Interaction Point Processes
Simulation of Point Processes Using the Markov Chain Monte Carlo (MCMC) Method and the Metropolis–Hastings Algorithm
- We make a proposal for a state change: from x to y, according to a probability law with density , called the instrumental density.
- We accept y with probability ; otherwise, we stay in state x (where ).
4. Algorithm for Constructing Computer Experiments Designs Using Markovian Area-Interaction Point Processes
![]() |
Influence of Parameters
5. Convergence of the Proposed Algorithm
- -reversibilityThe transition is -reversible if, for any sets A and B, the probability of transitioning from a state in A to a state in B is equal to the probability of transitioning from a state in B to a state in A ():Let andWithFor any Borel sets A and B in , we have:And as:And as soUsing the Fubini’s theorem, we obtain:Finally, we have:Hence, is -reversible.
- -stationarityA distribution is said to be stationary for the transition kernel if:So the chain admits as a stationary distribution.
- -irreducibilityThe transition is -irreducible if:For any Borel set A in and for , we obtain:As and , so there are four possible cases:
- -
- If and so:
- -
- if and so:
- -
- If and so:So , hence, is -irreducible.
6. Convergence Speed of the Proposed Algorithm
- For every , is a probability measure.
- For any , is a measurable function.
- For , the Markov operator is defined as follows:
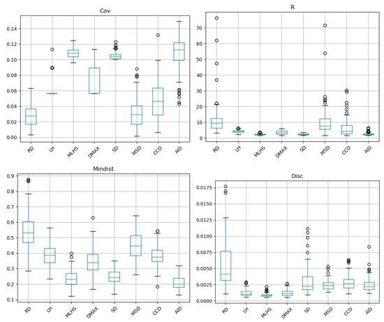
7. Numerical Results and Quality of the Proposed Disigns
- The minimum distance criterion (Mindist) [29] aims to maximize the minimum distance between two points in the design.where is the Euclidean distance between points and . A higher value of Mindist should correspond to a more regular dispersion of the points in the design.
- Discrepancy criterion (Disc) [30]: The discrepancy measures the difference between the empirical distribution function of the points on the design and that of the uniform distribution. Unlike the previous two criteria, the discrepancy is not based on the distance between points. There are different measures of discrepancy. We retain the -norm discrepancy.
- Coverage criterion (Cov) [31]: allows us to measure the difference between the points of the design and those of a regular grid. This criterion is zero for a regular grid. The objective is, therefore, to minimize it to approach a regular grid and, thus, ensure space-filling, without reaching it to respect a uniform distribution, particularly in projection onto the factorial axes:With and .
- The R criterion is the ratio between the maximum and minimum distance between the points of the experimental design. For a regular grid, . Thus, the closer R is to 1, the closer the points are to those of a regular grid.where .
- Random Designs (RD): Designs where points are generated according to a uniform distribution over the hypercube .
- Latin Hypercube Designs (LH): LH designs are experimental design techniques aimed at sampling the parameter space efficiently and uniformly [35].
- Maximin Latin Hypercube Designs (mLHS): Optimal designs based on the Maxmin criterion, which seeks to maximize the minimum distance between points in the design space [36].
- Maximum Entropy Designs (Dmax): Designs constructed to maximize the determinant of a covariance matrix. These designs are often employed in kriging to fit response surfaces, assuming an underlying model [37].
- Strauss Designs (SD): Designs developed from a Strauss process that incorporates repulsion between points to optimize the coverage of the parameter space [3].
- Marked Strauss Designs: Designs generated from a marked Strauss process, integrating point repulsion to optimize the parameter space coverage while associating each point with a specific mark aimed at minimizing the prediction error function [4].
- Connected Component Designs (CCD): Designs developed from a Markov point process with connected components, characterized by spatial distributions that are more or less regular without constraints on the parameters [6].
- Proposed Designs (AID).
8. Conclusions
Author Contributions
Funding
Data Availability Statement
Conflicts of Interest
References
- Tolk, A. Simulation and modeling as the essence of computational science. In Proceedings of the Summer Computer Simulation Conference 2018, Bordeaux, France, 9–12 July 2018; pp. 8:1–8:12. [Google Scholar]
- Sonnessa, M. Modelling and Simulation of Complex Systems. Ph.D. Thesis, University of Torino, Torino, Italy, 2004. [Google Scholar]
- Franco, J. Planification d’Expériences Numériques en Phase Exploratoire pour des Codes de Calculs Simulant des Phénomènes Complexes. Ph.D. Thesis, l’Ecole Nationale Supérieure des Mines de Saint-Etienne, Saint-Etienne, France, 2008. [Google Scholar]
- Elmossaoui, H.; Oukid, N.; Hannane, F. Construction of computer experiment desiging marked point processes. Afr. Mat. 2020, 31, 917–928. [Google Scholar] [CrossRef]
- Elmossaoui, H. Contribution à la Méthodologie de la Recherche Expérimentale. Ph.D. Thesis, University Blida 1, Blida, Algeria, 2020. [Google Scholar]
- Elmossaoui, H.; Oukid, N. New computer experiment designs using continuum random cluster point process. Int. J. Anal. Appl. 2023, 21, 51. [Google Scholar] [CrossRef]
- Moller, J.; Waagepetersen, R.P. Statistical Inference and Simulation for Spatial Point Processes; CRC Press: Boca Raton, FL, USA, 2003. [Google Scholar]
- Cressie, N. Statistics for Spatial Data; John Wiley and Sons: Hoboken, NJ, USA, 2015. [Google Scholar]
- Baddeley, A.J.; Van Lieshout, M.N. Area-interaction point processes. Ann. Inst. Stat. Math. 1995, 47, 601–619. [Google Scholar] [CrossRef]
- Kendall, W.S. Perfect simulation for the area-interaction point process. In Probability towards 2000; Springer: New York, NY, USA, 1998; pp. 218–234. [Google Scholar]
- Pedregosa, F.; Varoquaux, G.; Gramfort, A.; Michel, V.; Thirion, B.; Grisel, O.; Duchesnay, E. Scikit-learn: Machine learning in Python. J. Mach. Learn. Res. 2011, 12, 2825–2830. [Google Scholar]
- Waskom, M.L. Seaborn: Statistical data visualization. J. Open Source Softw. 2021, 6, 3021. [Google Scholar] [CrossRef]
- Baddeley, A.; Rubak, E.; Turner, R. Spatial Point Patterns: Methodology and Applications with R; CRC Press: Boca Raton, FL, USA, 2015. [Google Scholar]
- Ripley, B.D.; Kelly, F.P. Markov point processes. J. Lond. Math. Soc. 1977, 15, 188–192. [Google Scholar] [CrossRef]
- Hastings, W.K. Monte Carlo sampling methods using markov chains and their applications. Biometrika 1970, 57, 97109. [Google Scholar] [CrossRef]
- Sibson, R. The Dirichlet Tessellation as an Aid in Data Analysis. Scand. J. Stat. 1980, 7, 14–20. [Google Scholar]
- Baddeley, A.J.; Turner, R. Practical maximum pseudolikelihood for spatial point patterns. Adv. Appl. Probab. 1998, 30, 273. [Google Scholar] [CrossRef]
- Picard, N.; Bar-Hen, A.; Mortier, F.; Chadœuf, J. The multi-scale marked area-interaction point process: A model for the spatial pattern of trees. Scand. J. Stat. 2009, 36, 23–41. [Google Scholar] [CrossRef]
- Van Lieshout, M.N.M. Markov Point Processes and Their Applications; World Scientific: Singapore, 2000. [Google Scholar]
- Nightingale, G.F.; Illian, J.B.; King, R.; Nightingale, P. Area interaction point processes for bivariate point patterns in a Bayesian context. J. Environ. Stat. 2019, 9, 1–21. [Google Scholar]
- Green, P.J. Reversible jump Markov chain Monte Carlo computation and Bayesian model determination. Biometrika 1995, 82, 711–732. [Google Scholar] [CrossRef]
- Chib, S.; Greenberg, E. Understanding the Metropolis-Hastings Algorithm. Am. Stat. 1995, 49, 327–335. [Google Scholar] [CrossRef]
- Chib, S.; Greenberg, E. Markov Chain Monte Carlo Simulation Methods in Econometrics. Econom. Theory 1996, 12, 409–431. [Google Scholar] [CrossRef]
- Devroye, L.; Lugosi, G. Combinatorial Methods in Density Estimation; Springer: Cham, Switzerland, 2001. [Google Scholar]
- Winkler, G. Image Analysis Rfields and Dynamic Monte Carlo Methods; Springer: Berlin/Heidelberg, Germany, 1995; p. 320. [Google Scholar]
- Dobrushin, R.L. Central limit theorem for nonstationary Markov Chains. II. Theory Probab. Its Appl. 1956, 1, 329–383. [Google Scholar] [CrossRef]
- Robert, F. Théorèmes de perron-frobenius et stein-rosenberg booléens. Linear Algebra Its Appl. 1978, 19, 237–250. [Google Scholar] [CrossRef][Green Version]
- Pierre-Loïc Méliot, Chaînes de Markov, Théorie et Applications. Available online: https://www.imo.universite-paris-saclay.fr/~pierre-loic.meliot/markov/markov.pdf (accessed on 28 July 2024).
- Johnson, M.E.; Moore, L.M.; Ylvisaker, D. Minimax and maximin distance designs. J. Stat. Plan. 1990, 26, 131–148. [Google Scholar] [CrossRef]
- Warnock, T.T. Computational investigations of low-discrepancy point sets II. In Monte Carlo and Quasi-Monte Carlo Methods in Scientific Computing; Lecture Notes in Statistics; Niederreiter, H., Shiue, P.J.S., Eds.; Springer: New York, NY, USA, 1995; Volume 106. [Google Scholar]
- Gunzburger, M.; Burkardt, J. Uniformity Measures for Point Samples in Hypercubes. 2004. Available online: https://people.sc.fsu.edu/~jburkardt/publications/gb_2004.pdf (accessed on 28 July 2024).
- Halton, J.H. On the efficiency of certain quasi-random sequences of points inevaluating multidimensional integrals. Mathematik 1960, 2, 84–90. [Google Scholar] [CrossRef]
- Sobol, I.M. Uniformity distributed sequences with an additional uniform property. USSR Comput. Math. Math. Phys. 1976, 16, 236–242. [Google Scholar] [CrossRef]
- Faure, H. Discrepance de suites associées à un système de numération (en dimension s). Acta Arith. 1982, 41, 337–351. [Google Scholar] [CrossRef]
- Loh, W.L. On latin hypercube sampling. Ann. Stat. 1996, 24, 2058–2080. [Google Scholar]
- Morris, M.D.; Mitchell, T.J. Exploratory designs for computer experiments. J. Stat. Plan. Inference 1995, 43, 381–402. [Google Scholar] [CrossRef]
- Shewry, M.C.; Wynn, H.P. Maximum entropy sampling. J. Appl. Stat. 1987, 14, 165–170. [Google Scholar] [CrossRef]
- Yan, D.-M.; Wang, W.; Lévy, B.; Liu, Y. Efficient computation of clipped voronoi diagram for mesh generation. Comput.-Aided Des. 2013, 45, 843–852. [Google Scholar] [CrossRef]







| Number of | Number of | AID | Halton | Sobol | Faure |
|---|---|---|---|---|---|
| Factor | Points | Sequence | Sequence | Sequence | |
| 2 | 50 | 0.0005215 | 0.001076 | 0.000496 | 0.001076 |
| 3 | 100 | 0.0009192 | 0.000178 | 0.000112 | 0.000127 |
Disclaimer/Publisher’s Note: The statements, opinions and data contained in all publications are solely those of the individual author(s) and contributor(s) and not of MDPI and/or the editor(s). MDPI and/or the editor(s) disclaim responsibility for any injury to people or property resulting from any ideas, methods, instructions or products referred to in the content. |
© 2024 by the authors. Licensee MDPI, Basel, Switzerland. This article is an open access article distributed under the terms and conditions of the Creative Commons Attribution (CC BY) license (https://creativecommons.org/licenses/by/4.0/).
Share and Cite
Ait Ameur, A.; Elmossaoui, H.; Oukid, N. New Computer Experiment Designs with Area-Interaction Point Processes. Mathematics 2024, 12, 2397. https://doi.org/10.3390/math12152397
Ait Ameur A, Elmossaoui H, Oukid N. New Computer Experiment Designs with Area-Interaction Point Processes. Mathematics. 2024; 12(15):2397. https://doi.org/10.3390/math12152397
Chicago/Turabian StyleAit Ameur, Ahmed, Hichem Elmossaoui, and Nadia Oukid. 2024. "New Computer Experiment Designs with Area-Interaction Point Processes" Mathematics 12, no. 15: 2397. https://doi.org/10.3390/math12152397
APA StyleAit Ameur, A., Elmossaoui, H., & Oukid, N. (2024). New Computer Experiment Designs with Area-Interaction Point Processes. Mathematics, 12(15), 2397. https://doi.org/10.3390/math12152397


