Prediction of Sea Level Using Double Data Decomposition and Hybrid Deep Learning Model for Northern Territory, Australia
Abstract
1. Introduction
- To employ the double data decomposition method (MVMD-SVMD) for sea level signal to extract intrinsic mode functions (IMFs).
- To reduce input data dimensionality by applying PCA analysis.
- To predict sea level using a hybrid deep learning CNN-BiGRU model.
- To benchmark the CNN-BiGRU model with SVR, AdaBoost, and MLP models.
- To provide an estimate of future sea levels for both study sites.
2. Materials and Methods
2.1. Study Area and Dataset
2.2. Data Preprocessing and Input Selection
2.3. Data Normalization
2.4. Double Data Decomposition by Multi-Variational and Successive Variational Mode Decomposition (MVMD-SVMD)
- (i)
- The data matrix X with dimensions N × T is defined. N and T are the number of variables and time points, respectively.
- (ii)
- The data matrix is normalized.
- (iii)
- The objective function is defined as follows and is minimized to decompose the data into and modes:where represents the n-th channel of , is the mode of the n-th channel, is the common mode across all channels, and is a regularization parameter that balances the sparsity of .
- (iv)
- The optimization problem is solved iteratively using the alternating direction method of the multiplier (ADMM).
- (v)
- The modes are updated iteratively until the convergence criteria are met.
- (vi)
- The modes are reconstructed () for each channel n.
- (i)
- Original signal and residual are set up.
- (ii)
- The residual is decomposed into modes and updated in the next step. The decomposed modes are computed by the following function:where is the regularization parameter for sparsity.
- (iii)
- The residual is updated for the next iteration, as follows:
- (iv)
- The process of decomposition is iterated until the residual attains convergence.
- (v)
- After iterations are completed, the original signal is reconstructed using the extracted modes, as follows:
2.5. Input Feature Selection Using Principal Component Analysis (PCA)
- (i)
- Each IMF of sea level data was standardized by subtracting the mean and divided by standard deviation.
- (ii)
- Matrix A is formulated where each row corresponds to the IMF and each column to a sample point.
- (iii)
- The covariance is performed on matrix A to obtain covariance matrix B.
- (iv)
- Eigenvalue decomposition of matrix B is computed to obtain eigenvectors and eigenvalues of matrix B.
- (v)
- The eigenvectors are sorted in descending order.
- (vi)
- Matrix W is obtained from the selection of the top two eigenvectors.
- (vii)
- The original matrix A of IMF data is projected on the selected components to obtain the dimensionality reduction in the IMFs, as follows:where is the transformed data matrix, is the standardized data matrix, and is the matrix of selected principal components.
2.6. Data Partition
2.7. Model Theoretical Background
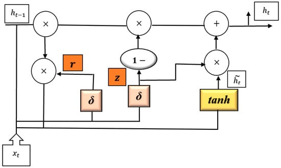
2.7.1. Convolutional Bidirectional Gated Recurrent Unit (CNN-BiGRU)
- ×—Elementwise multiplication;
- +—Vector addition;
- δ—Sigmoid function;
- tanh—Hyper tangent function.
2.7.2. Multilayer Perceptron (MLP)
2.7.3. Adaptive Boosting Regressor (AdaBoost)
2.7.4. Support Vector Regression (SVR)
2.8. Summary of Selected Model Parameters in Python
- (i)
- CNN-BiGRU Modelling Parameters
- (ii)
- MLP Modelling Parameters
- (iii)
- AdaBoost Modelling Parameters
- (iv)
- SVR Model Parameters
2.9. Performance Evaluation Metrics for AI Models
- Pearson’s correlation coefficient (r):
- 2.
- Willmott’s index of agreement (d):
- 3.
- Nash–Sutcliffe coefficient (NS):
- 4.
- Legates and McCabe’s index (LM):
- 5.
- Root-mean-squared error (RMSE):
- 6.
- Mean absolute error (MABE):
- 7.
- Relative root-mean-squared error (RRMSE):
- 8.
- Mean absolute percentage error (MAPE):
3. Results
3.1. Efficiency Performance Metrics
3.2. Error Metrics
4. Discussion
4.1. Result Evaluation
4.2. Mean Sea Level Trend Evaluation with MVMD-SVMD-CNN-BiGRU Model Mean Predictions
4.3. Limitations, Challenges, and Model Interpretability
5. Conclusions
Author Contributions
Funding
Data Availability Statement
Acknowledgments
Conflicts of Interest
References
- Church, J.A.; Clark, P.U.; Cazenave, A.; Gregory, J.M.; Jevrejeva, S.; Levermann, A.; Merrifield, M.A.; Milne, G.A.; Nerem, R.S.; Nunn, P.D. Sea Level Change; Cambridge University Press: Cambridge, UK, 2013. [Google Scholar]
- Allan, R.P.; Hawkins, E.; Bellouin, N.; Collins, B. IPCC, 2021: Summary for Policymakers; IPCC: Geneva, Switzerland, 2021. [Google Scholar]
- Masson-Delmotte, V.; Zhai, P.; Pörtner, H.-O.; Roberts, D.; Skea, J.; Shukla, P.R. Global Warming of 1.5 C: IPCC Special Report on Impacts of Global Warming of 1.5 °C above Pre-Industrial Levels in Context of Strengthening Response to Climate Change, Sustainable Development, and Efforts to Eradicate Poverty; Cambridge University Press: Cambridge, UK, 2022. [Google Scholar]
- Pörtner, H.-O.; Roberts, D.C.; Masson-Delmotte, V.; Zhai, P.; Tignor, M.; Poloczanska, E.; Weyer, N. The ocean and cryosphere in a changing climate. In IPCC Special Report on the Ocean and Cryosphere in a Changing Climate; Cambridge University Press: Cambridge, UK, 2019; Volume 1155. [Google Scholar]
- Schneider, D. The rising seas. Sci. Am. 1997, 276, 112–117. [Google Scholar] [CrossRef]
- Laffoley, D.; Baxter, J.M. Ocean Deoxygenation: Everyone’s Problem: Causes, Impacts, Consequences and Solutions: Summary for Policy Makers; International Union for Conservation of Nature (IUCN): Gland, Switzerland, 2019. [Google Scholar]
- Sweet, W.V.; Kopp, R.E.; Weaver, C.P.; Obeysekera, J.; Horton, R.M.; Thieler, E.R.; Zervas, C. Global and Regional Sea Level Rise Scenarios for the United States; NASA: Washington, DC, USA, 2017. [Google Scholar]
- Williams, S.J. Sea-level rise implications for coastal regions. J. Coast. Res. 2013, 63, 184–196. [Google Scholar] [CrossRef]
- Neumann, J.E.; Price, J.; Chinowsky, P.; Wright, L.; Ludwig, L.; Streeter, R.; Jones, R.; Smith, J.B.; Perkins, W.; Jantarasami, L. Climate change risks to US infrastructure: Impacts on roads, bridges, coastal development, and urban drainage. Clim. Chang. 2015, 131, 97–109. [Google Scholar] [CrossRef]
- Werner, A.D.; Bakker, M.; Post, V.E.; Vandenbohede, A.; Lu, C.; Ataie-Ashtiani, B.; Simmons, C.T.; Barry, D.A. Seawater intrusion processes, investigation and management: Recent advances and future challenges. Adv. Water Resour. 2013, 51, 3–26. [Google Scholar] [CrossRef]
- Hennessy, K.; Page, C.; McInnes, K.; Walsh, K.; Pittock, B.; Bathols, J.; Suppiah, R. Climate change in the Northern Territory. Consult. Rep. North. Territ. Dep. Infrastruct. Plan. Environ. 2004, 64, 1–64. [Google Scholar]
- Zander, K.K.; Petheram, L.; Garnett, S.T. Stay or leave? Potential climate change adaptation strategies among Aboriginal people in coastal communities in northern Australia. Nat. Hazards 2013, 67, 591–609. [Google Scholar] [CrossRef]
- Miloshis, M.; Valentine, E. Sea Level rise and potential mitigation of saline intrusion in Northern Australia. In 2013 IAHR Congress; Tsinghua University Press: Beijing, China, 2013; pp. 9158–9167. [Google Scholar]
- Tsietso, D.; Yahya, A.; Samikannu, R.; Tariq, M.U.; Babar, M.; Qureshi, B.; Koubaa, A. Multi-Input deep learning approach for breast cancer screening using thermal infrared imaging and clinical data. IEEE Access 2023, 11, 52101–52116. [Google Scholar] [CrossRef]
- Nosratabadi, S.; Mosavi, A.; Duan, P.; Ghamisi, P.; Filip, F.; Band, S.S.; Reuter, U.; Gama, J.; Gandomi, A.H. Data science in economics: Comprehensive review of advanced machine learning and deep learning methods. Mathematics 2020, 8, 1799. [Google Scholar] [CrossRef]
- Gavrishchaka, V.; Yang, Z.; Miao, R.; Senyukova, O. Advantages of hybrid deep learning frameworks in applications with limited data. Int. J. Mach. Learn. Comput. 2018, 8, 549–558. [Google Scholar]
- Braakmann-Folgmann, A.; Roscher, R.; Wenzel, S.; Uebbing, B.; Kusche, J. Sea level anomaly prediction using recurrent neural networks. arXiv 2017, arXiv:1710.07099. [Google Scholar]
- Gudelek, M.U.; Boluk, S.A.; Ozbayoglu, A.M. A deep learning based stock trading model with 2-D CNN trend detection. In Proceedings of the 2017 IEEE Symposium Series on Computational Intelligence (SSCI), Honolulu, HI, USA, 27 November–1 December 2017. [Google Scholar]
- Salau, A.O.; Jain, S. Feature extraction: A survey of the types, techniques, applications. In Proceedings of the 2019 International Conference on Signal Processing and Communication (ICSC), Noida, India, 7–9 March 2019. [Google Scholar]
- Luo, W.; Yu, Z.-Y.; Xiao, S.-J.; Zhu, A.-X.; Yuan, L.-W. Exploratory method for spatio-temporal feature extraction and clustering: An integrated multi-scale framework. ISPRS Int. J. Geo-Inf. 2015, 4, 1870–1893. [Google Scholar] [CrossRef]
- Raj, N. Prediction of sea level with vertical land movement correction using deep learning. Mathematics 2022, 10, 4533. [Google Scholar] [CrossRef]
- Raj, N.; Gharineiat, Z.; Ahmed, A.A.M.; Stepanyants, Y. Assessment and prediction of sea level trend in the South Pacific Region. Remote Sens. 2022, 14, 986. [Google Scholar] [CrossRef]
- Balogun, A.-L.; Adebisi, N. Sea level prediction using ARIMA, SVR and LSTM neural network: Assessing the impact of ensemble Ocean-Atmospheric processes on models’ accuracy. Geomat. Nat. Hazards Risk 2021, 12, 653–674. [Google Scholar] [CrossRef]
- Nieves, V.; Radin, C.; Camps-Valls, G. Predicting regional coastal sea level changes with machine learning. Sci. Rep. 2021, 11, 7650. [Google Scholar] [CrossRef] [PubMed]
- Sithara, S.; Pramada, S.; Thampi, S.G. Sea level prediction using climatic variables: A comparative study of SVM and hybrid wavelet SVM approaches. Acta Geophys. 2020, 68, 1779–1790. [Google Scholar] [CrossRef]
- Hsieh, C.-M.; Chou, D.; Hsu, T.-W. Using modified harmonic analysis to estimate the trend of sea-level rise around Taiwan. Sustainability 2022, 14, 7291. [Google Scholar] [CrossRef]
- Antunes, C.; Taborda, R. Sea level at Cascais tide gauge: Data, analysis and results. J. Coast. Res. 2009, I, 218–222. [Google Scholar]
- García, S.; Luengo, J.; Herrera, F. Data Preprocessing in Data Mining; Springer: Berlin/Heidelberg, Germany, 2015; Volume 72. [Google Scholar]
- Alasadi, S.A.; Bhaya, W.S. Review of data preprocessing techniques in data mining. J. Eng. Appl. Sci. 2017, 12, 4102–4107. [Google Scholar]
- ur Rehman, N.; Aftab, H. Multivariate variational mode decomposition. IEEE Trans. Signal Process. 2019, 67, 6039–6052. [Google Scholar] [CrossRef]
- Nazari, M.; Sakhaei, S.M. Successive variational mode decomposition. Signal Process. 2020, 174, 107610. [Google Scholar] [CrossRef]
- Pang, B.; Nazari, M.; Tang, G. Recursive variational mode extraction and its application in rolling bearing fault diagnosis. Mech. Syst. Signal Process. 2022, 165, 108321. [Google Scholar] [CrossRef]
- Chen, X.; Zhang, X.; Church, J.A.; Watson, C.S.; King, M.A.; Monselesan, D.; Legresy, B.; Harig, C. The increasing rate of global mean sea-level rise during 1993–2014. Nat. Clim. Chang. 2017, 7, 492–495. [Google Scholar] [CrossRef]
- Dragomiretskiy, K.; Zosso, D. Variational mode decomposition. IEEE Trans. Signal Process. 2013, 62, 531–544. [Google Scholar] [CrossRef]
- Greenacre, M.; Groenen, P.J.; Hastie, T.; d’Enza, A.I.; Markos, A.; Tuzhilina, E. Principal component analysis. Nat. Rev. Methods Primers 2022, 2, 100. [Google Scholar] [CrossRef]
- Zhang, Y.X. Artificial neural networks based on principal component analysis input selection for clinical pattern recognition analysis. Talanta 2007, 73, 68–75. [Google Scholar] [CrossRef] [PubMed]
- Maćkiewicz, A.; Ratajczak, W. Principal components analysis (PCA). Comput. Geosci. 1993, 19, 303–342. [Google Scholar] [CrossRef]
- Kurita, T. Principal component analysis (PCA). In Computer Vision: A Reference Guide; Springer: Berlin/Heidelberg, Germany, 2019; pp. 1–4. [Google Scholar]
- Goyal, D.; Mongia, C.; Sehgal, S. Applications of digital signal processing in monitoring machining processes and rotary components: A review. IEEE Sens. J. 2021, 21, 8780–8804. [Google Scholar] [CrossRef]
- Raj, N.; Prakash, R. Assessment and prediction of significant wave height using hybrid CNN-BiLSTM deep learning model for sustainable wave energy in Australia. Sustain. Horiz. 2024, 11, 100098. [Google Scholar] [CrossRef]
- Raj, N.; Pasfield-Neofitou, S. Assessment and Prediction of Sea Level and Coastal Wetland Changes in Small Islands Using Remote Sensing and Artificial Intelligence. Remote Sens. 2024, 16, 551. [Google Scholar] [CrossRef]
- Alzubaidi, L.; Zhang, J.; Humaidi, A.J.; Al-Dujaili, A.; Duan, Y.; Al-Shamma, O.; Santamaría, J.; Fadhel, M.A.; Al-Amidie, M.; Farhan, L. Review of deep learning: Concepts, CNN architectures, challenges, applications, future directions. J. Big Data 2021, 8, 53. [Google Scholar] [CrossRef] [PubMed]
- Panahi, M.; Sadhasivam, N.; Pourghasemi, H.R.; Rezaie, F.; Lee, S. Spatial prediction of groundwater potential mapping based on convolutional neural network (CNN) and support vector regression (SVR). J. Hydrol. 2020, 588, 125033. [Google Scholar] [CrossRef]
- Bhatt, D.; Patel, C.; Talsania, H.; Patel, J.; Vaghela, R.; Pandya, S.; Modi, K.; Ghayvat, H. CNN variants for computer vision: History, architecture, application, challenges and future scope. Electronics 2021, 10, 2470. [Google Scholar] [CrossRef]
- Mahajan, R.; Mansotra, V. Predicting geolocation of tweets: Using combination of CNN and BiLSTM. Data Sci. Eng. 2021, 6, 402–410. [Google Scholar] [CrossRef] [PubMed]
- Raj, N.; Brown, J. Prediction of Mean Sea Level with GNSS-VLM Correction Using a Hybrid Deep Learning Model in Australia. Remote Sens. 2023, 15, 2881. [Google Scholar] [CrossRef]
- Dey, R.; Salem, F.M. Gate-variants of gated recurrent unit (GRU) neural networks. In Proceedings of the 2017 IEEE 60th International Midwest Symposium on Circuits and Systems (MWSCAS), Boston, MA, USA, 6–9 August 2017. [Google Scholar]
- Zulqarnain, M.; Ghazali, R.; Aamir, M.; Hassim, Y.M.M. An efficient two-state GRU based on feature attention mechanism for sentiment analysis. Multimed. Tools Appl. 2024, 83, 3085–3110. [Google Scholar] [CrossRef]
- Taud, H.; Mas, J.-F. Multilayer perceptron (MLP). In Geomatic Approaches for Modeling Land Change Scenarios; Springer: Berlin/Heidelberg, Germany, 2018; pp. 451–455. [Google Scholar]
- Desai, M.; Shah, M. An anatomization on breast cancer detection and diagnosis employing multi-layer perceptron neural network (MLP) and Convolutional neural network (CNN). Clin. eHealth 2021, 4, 1–11. [Google Scholar] [CrossRef]
- Delashmit, W.H.; Manry, M.T. Recent developments in multilayer perceptron neural networks. In Proceedings of the Seventh Annual Memphis Area Engineering and Science Conference, MAESC, Memphis, TN, USA, 11 May 2005. [Google Scholar]
- Freund, Y.; Schapire, R.E. A decision-theoretic generalization of on-line learning and an application to boosting. J. Comput. Syst. Sci. 1997, 55, 119–139. [Google Scholar] [CrossRef]
- Feng, D.-C.; Wang, W.-J.; Mangalathu, S.; Hu, G.; Wu, T. Implementing ensemble learning methods to predict the shear strength of RC deep beams with/without web reinforcements. Eng. Struct. 2021, 235, 111979. [Google Scholar] [CrossRef]
- Montesinos López, O.A.; Montesinos López, A.; Crossa, J. Support vector machines and support vector regression. In Multivariate Statistical Machine Learning Methods for Genomic Prediction; Springer: Berlin/Heidelberg, Germany, 2022; pp. 337–378. [Google Scholar]
- Müller, K.-R.; Smola, A.J.; Rätsch, G.; Schölkopf, B.; Kohlmorgen, J.; Vapnik, V. Predicting time series with support vector machines. In International Conference on Artificial Neural Networks; Springer: Berlin/Heidelberg, Germany, 1997; pp. 999–1004. [Google Scholar]
- Vapnik, V.; Golowich, S.E.; Smola, A.J. Support vector method for function approximation, regression estimation and signal processing. In Advances in Neural Information Processing Systems; MIT Press: Cambridge, MA, USA, 1997; pp. 281–287. [Google Scholar]
- Zhang, F.; O’Donnell, L.J. Support vector regression. In Machine Learning; Elsevier: Amsterdam, The Netherlands, 2020; pp. 123–140. [Google Scholar]
- Awad, M.; Khanna, R.; Awad, M.; Khanna, R. Support vector regression. In Efficient Learning Machines: Theories, Concepts, and Applications for Engineers and System Designers; Springer Nature: Berlin/Heidelberg, Germany, 2015; pp. 67–80. [Google Scholar]
- Basak, D.; Pal, S.; Patranabis, D.C. Support vector regression. Neural Inf. Process.-Lett. Rev. 2007, 11, 203–224. [Google Scholar]
- Kartini, D.; Nugrahadi, D.T.; Farmadi, A. Hyperparameter tuning using GridsearchCV on the comparison of the activation function of the ELM method to the classification of pneumonia in toddlers. In Proceedings of the 2021 4th International Conference of Computer and Informatics Engineering (IC2IE), Depok, Indonesia, 14–15 September 2021. [Google Scholar]
- Ravindiran, G.; Rajamanickam, S.; Kanagarathinam, K.; Hayder, G.; Janardhan, G.; Arunkumar, P.; Arunachalam, S.; AlObaid, A.A.; Warad, I.; Muniasamy, S.K. Impact of air pollutants on climate change and prediction of air quality index using machine learning models. Environ. Res. 2023, 239, 117354. [Google Scholar] [CrossRef] [PubMed]
- Kim, M.; Jang, J.; Jeon, S.; Youm, S. A Study on Customized Prediction of Daily Illness Risk Using Medical and Meteorological Data. Appl. Sci. 2022, 12, 6060. [Google Scholar] [CrossRef]
- Alhakeem, Z.M.; Jebur, Y.M.; Henedy, S.N.; Imran, H.; Bernardo, L.F.; Hussein, H.M. Prediction of ecofriendly concrete compressive strength using gradient boosting regression tree combined with GridSearchCV hyperparameter-optimization techniques. Materials 2022, 15, 7432. [Google Scholar] [CrossRef] [PubMed]
- Herdian, C.; Widianto, S.; Ginting, J.A.; Geasela, Y.M.; Sutrisno, J. The Use of Feature Engineering and Hyperparameter Tuning for Machine Learning Accuracy Optimization: A Case Study on Heart Disease Prediction. In Engineering Applications of Artificial Intelligence; Springer: Berlin/Heidelberg, Germany, 2024; pp. 193–218. [Google Scholar]
- Raj, N.; Brown, J. An EEMD-BiLSTM algorithm integrated with Boruta random forest optimiser for significant wave height forecasting along coastal areas of Queensland, Australia. Remote Sens. 2021, 13, 1456. [Google Scholar] [CrossRef]
- Waldmann, P. On the use of the Pearson correlation coefficient for model evaluation in genome-wide prediction. Front. Genet. 2019, 10, 899. [Google Scholar] [CrossRef] [PubMed]
- Schober, P.; Boer, C.; Schwarte, L.A. Correlation coefficients: Appropriate use and interpretation. Anesth. Analg. 2018, 126, 1763–1768. [Google Scholar] [CrossRef] [PubMed]
- Sedgwick, P. Pearson’s correlation coefficient. BMJ 2012, 345, e4483. [Google Scholar] [CrossRef]
- Willmott, C.J.; Robeson, S.M.; Matsuura, K. A refined index of model performance. Int. J. Climatol. 2012, 32, 2088–2094. [Google Scholar] [CrossRef]
- Deo, R.C.; Şahin, M. Application of the artificial neural network model for prediction of monthly standardized precipitation and evapotranspiration index using hydrometeorological parameters and climate indices in eastern Australia. Atmos. Res. 2015, 161, 65–81. [Google Scholar] [CrossRef]
- Dhaoui, O.; Antunes, I.M.; Benhenda, I.; Agoubi, B.; Kharroubi, A. Groundwater salinization risk assessment using combined artificial intelligence models. Environ. Sci. Pollut. Res. 2024, 31, 33398–33413. [Google Scholar] [CrossRef]
- Nash, J.E.; Sutcliffe, J.V. River flow forecasting through conceptual models part I—A discussion of principles. J. Hydrol. 1970, 10, 282–290. [Google Scholar] [CrossRef]
- Duc, L.; Sawada, Y. A signal-processing-based interpretation of the Nash–Sutcliffe efficiency. Hydrol. Earth Syst. Sci. 2023, 27, 1827–1839. [Google Scholar] [CrossRef]
- Lin, F.; Chen, X.; Yao, H. Evaluating the use of Nash-Sutcliffe efficiency coefficient in goodness-of-fit measures for daily runoff simulation with SWAT. J. Hydrol. Eng. 2017, 22, 05017023. [Google Scholar] [CrossRef]
- Coffey, M.E.; Workman, S.R.; Taraba, J.L.; Fogle, A.W. Statistical procedures for evaluating daily and monthly hydrologic model predictions. Trans. ASAE 2004, 47, 59–68. [Google Scholar] [CrossRef]
- Legates, D.R.; McCabe, G.J. A refined index of model performance: A rejoinder. Int. J. Climatol. 2013, 33, 1053–1056. [Google Scholar] [CrossRef]
- Legates, D.R.; McCabe, G.J., Jr. Evaluating the use of “goodness-of-fit” measures in hydrologic and hydroclimatic model validation. Water Resour. Res. 1999, 35, 233–241. [Google Scholar] [CrossRef]
- Chicco, D.; Warrens, M.J.; Jurman, G. The coefficient of determination R-squared is more informative than SMAPE, MAE, MAPE, MSE and RMSE in regression analysis evaluation. Peerj Comput. Sci. 2021, 7, e623. [Google Scholar] [CrossRef] [PubMed]
- Willmott, C.J.; Matsuura, K. Advantages of the mean absolute error (MAE) over the root mean square error (RMSE) in assessing average model performance. Clim. Res. 2005, 30, 79–82. [Google Scholar] [CrossRef]
- Jayasinghe, W.L.P.; Deo, R.C.; Ghahramani, A.; Ghimire, S.; Raj, N. Deep multi-stage reference evapotranspiration forecasting model: Multivariate empirical mode decomposition integrated with the boruta-random forest algorithm. IEEE Access 2021, 9, 166695–166708. [Google Scholar] [CrossRef]
- Asuero, A.G.; Sayago, A.; González, A. The correlation coefficient: An overview. Crit. Rev. Anal. Chem. 2006, 36, 41–59. [Google Scholar] [CrossRef]
- Bennett, N.D.; Croke, B.F.; Guariso, G.; Guillaume, J.H.; Hamilton, S.H.; Jakeman, A.J.; Marsili-Libelli, S.; Newham, L.T.; Norton, J.P.; Perrin, C. Characterising performance of environmental models. Environ. Model. Softw. 2013, 40, 1–20. [Google Scholar] [CrossRef]
- Clark, G.F.; Hunter, C. Coasta: Climate change. In Australian State of Environment; Australian Government Department of Agriculture, Water and the Environment: Canberra, ACT, Australia, 2021. [Google Scholar]
- Zhou, L.; Pan, S.; Wang, J.; Vasilakos, A.V. Machine learning on big data: Opportunities and challenges. Neurocomputing 2017, 237, 350–361. [Google Scholar] [CrossRef]
- L’heureux, A.; Grolinger, K.; Elyamany, H.F.; Capretz, M.A. Machine learning with big data: Challenges and approaches. IEEE Access 2017, 5, 7776–7797. [Google Scholar] [CrossRef]
- Dargan, S.; Kumar, M.; Ayyagari, M.R.; Kumar, G. A survey of deep learning and its applications: A new paradigm to machine learning. Arch. Comput. Methods Eng. 2020, 27, 1071–1092. [Google Scholar] [CrossRef]
- Shah, V.; Konda, S.R. Neural Networks and Explainable AI: Bridging the Gap between Models and Interpretability. Int. J. Comput. Sci. Technol. 2021, 5, 163–176. [Google Scholar]
- Ribeiro, M.T.; Singh, S.; Guestrin, C. Model-agnostic interpretability of machine learning. arXiv 2016, arXiv:1606.05386. [Google Scholar]
- Zafar, M.R.; Khan, N. Deterministic local interpretable model-agnostic explanations for stable explainability. Mach. Learn. Knowl. Extr. 2021, 3, 525–541. [Google Scholar] [CrossRef]
- Linardatos, P.; Papastefanopoulos, V.; Kotsiantis, S. Explainable ai: A review of machine learning interpretability methods. Entropy 2020, 23, 18. [Google Scholar] [CrossRef]



















| Input Oceanic Features |
|---|
| Air Temperature (°C) |
| Water Temperature (°C) |
| Wind Direction (in degrees True) |
| Wind Gust (m/s) |
| Wind Speed (m/s) |
| Barometric Pressure (hPa) |
| Sea Level Lags (t − 1, t − 2, t − 3, t − 4) (m) |
| Decomposed Intrinsic Mode Functions (IMFs) (m) |
| L1 | L2 | L3 | L4 | IMF1 | IMF2 | IMF3 | Sea Level | |
|---|---|---|---|---|---|---|---|---|
| L1 | 1.0000 | 0.8809 | 0.5559 | 0.1093 | 0.0869 | 0.8263 | 0.0362 | 0.8809 |
| L2 | 0.8809 | 1.0000 | 0.8809 | 0.5559 | 0.0853 | 0.4960 | −0.0116 | 0.5559 |
| L3 | 0.5559 | 0.8809 | 1.0000 | 0.8809 | 0.0835 | 0.0399 | −0.0443 | 0.1093 |
| L4 | 0.1093 | 0.5559 | 0.8809 | 1.0000 | 0.0820 | −0.4261 | −0.0385 | −0.3489 |
| Sea Level | 0.8809 | 0.5559 | 0.1093 | −0.3489 | 0.0875 | 0.9466 | 0.0588 | 1.0000 |
| Water Temp. | Air Temp. | Pressure | Wind Direction | Wind Gust | Wind Speed | Sea Level | |
|---|---|---|---|---|---|---|---|
| Water Temp. | 1.0000 | 0.5471 | −0.5596 | 0.1819 | 0.0483 | −0.0053 | 0.0410 |
| Air Temp. | 0.5471 | 1.0000 | −0.4722 | 0.2535 | 0.0599 | 0.0187 | −0.0362 |
| Pressure | −0.5596 | −0.4722 | 1.0000 | −0.2906 | −0.1957 | −0.1244 | −0.0451 |
| Wind Direction | 0.1819 | 0.2535 | −0.2906 | 1.0000 | 0.0533 | 0.0730 | −0.0501 |
| Wind Gust | 0.0483 | 0.0599 | −0.1957 | 0.0533 | 1.0000 | 0.7858 | 0.0176 |
| Wind Speed | −0.0053 | 0.0187 | −0.1244 | 0.0730 | 0.7858 | 1.0000 | 0.0094 |
| Sea Level | 0.0410 | −0.0362 | −0.0451 | −0.0501 | 0.0176 | 0.0094 | 1.0000 |
| Partition | Training Set (60%) | Validation Set (20%) | Testing Set (20%) |
|---|---|---|---|
| Sea Level Dataset | January 1990–February 2011 | March 2011–February 2017 | March 2017–December 2022 |
| Symbol | Quantity |
|---|---|
| Observed Data | |
| Mean Observed Data | |
| Simulated Data | |
| Mean Simulated Data |
| Model | Correlation Coefficient (r) | Willmott’s Index of Agreement (d) | Nash–Sutcliffe’ Coefficient (NS) | Legates and McCabes’ Index (L) |
|---|---|---|---|---|
| MVMD-SVMD-SVR | 0.9406 | 0.9362 | 0.8800 | 0.6509 |
| MVMD-SVMD-AdaBoost | 0.9571 | 0.9439 | 0.9074 | 0.6891 |
| MVMD-SVMD-MLP | 0.9974 | 0.9970 | 0.9943 | 0.9280 |
| MVMD-SVMD-CNN-BiGRU | 0.9980 | 0.9979 | 0.9960 | 0.9409 |
| Model | Correlation Coefficient (r) | Willmott’s Index of Agreement (d) | Nash–Sutcliffe’ Coefficient (NS) | Legates and McCabes’ Index (L) |
|---|---|---|---|---|
| MVMD-SVMD-SVR | 0.9878 | 0.9856 | 0.9687 | 0.8263 |
| MVMD-SVMD-AdaBoost | 0.9881 | 0.9869 | 0.9730 | 0.8453 |
| MVMD-SVMD-MLP | 0.9963 | 0.9952 | 0.9900 | 0.9046 |
| MVMD-SVMD-CNN-BiGRU | 0.9984 | 0.9980 | 0.9959 | 0.9413 |
| Model | RMSE | MABE | RRMSE | MAPE |
|---|---|---|---|---|
| MVMD-SVMD-SVR | 0.1362 | 0.1120 | 10.9161 | 10.7201 |
| MVMD-SVMD-AdaBoost | 0.1197 | 0.0997 | 9.5904 | 9.5417 |
| MVMD-SVMD-MLP | 0.0297 | 0.0231 | 2.3814 | 2.1551 |
| MVMD-SVMD-CNN-BiGRU | 0.0248 | 0.0189 | 1.9901 | 1.7486 |
| Model | RMSE | MABE | RRMSE | MAPE |
|---|---|---|---|---|
| MVMD-SVMD-SVR | 0.2813 | 0.2312 | 6.5577 | 6.8155 |
| MVMD-SVMD-AdaBoost | 0.2613 | 0.2058 | 6.0926 | 5.9953 |
| MVMD-SVMD-MLP | 0.1589 | 0.1269 | 3.7050 | 3.7037 |
| MVMD-SVMD-CNN-BiGRU | 0.1016 | 0.0782 | 2.3699 | 2.4123 |
Disclaimer/Publisher’s Note: The statements, opinions and data contained in all publications are solely those of the individual author(s) and contributor(s) and not of MDPI and/or the editor(s). MDPI and/or the editor(s) disclaim responsibility for any injury to people or property resulting from any ideas, methods, instructions or products referred to in the content. |
© 2024 by the authors. Licensee MDPI, Basel, Switzerland. This article is an open access article distributed under the terms and conditions of the Creative Commons Attribution (CC BY) license (https://creativecommons.org/licenses/by/4.0/).
Share and Cite
Raj, N.; Murali, J.; Singh-Peterson, L.; Downs, N. Prediction of Sea Level Using Double Data Decomposition and Hybrid Deep Learning Model for Northern Territory, Australia. Mathematics 2024, 12, 2376. https://doi.org/10.3390/math12152376
Raj N, Murali J, Singh-Peterson L, Downs N. Prediction of Sea Level Using Double Data Decomposition and Hybrid Deep Learning Model for Northern Territory, Australia. Mathematics. 2024; 12(15):2376. https://doi.org/10.3390/math12152376
Chicago/Turabian StyleRaj, Nawin, Jaishukh Murali, Lila Singh-Peterson, and Nathan Downs. 2024. "Prediction of Sea Level Using Double Data Decomposition and Hybrid Deep Learning Model for Northern Territory, Australia" Mathematics 12, no. 15: 2376. https://doi.org/10.3390/math12152376
APA StyleRaj, N., Murali, J., Singh-Peterson, L., & Downs, N. (2024). Prediction of Sea Level Using Double Data Decomposition and Hybrid Deep Learning Model for Northern Territory, Australia. Mathematics, 12(15), 2376. https://doi.org/10.3390/math12152376

