Next Article in Journal
Centroidous Method for Determining Objective Weights
Previous Article in Journal
Building an Analog Circuit Synapse for Deep Learning Neuromorphic Processing
 
 
Font Type:
Arial Georgia Verdana
Font Size:
Aa Aa Aa
Line Spacing:
Column Width:
Background:
Article

Dynamic Mean–Variance Portfolio Optimization with Value-at-Risk Constraint in Continuous Time

by
Tongyao Wang
1,
Qitong Pan
2,*,
Weiping Wu
2,
Jianjun Gao
3 and
Ke Zhou
4
1
Department of Automation, Shanghai Jiao Tong University, Shanghai 200240, China
2
School of Economics and Management, Fuzhou University, Fuzhou 350108, China
3
School of Information Management and Engineering, Shanghai University of Finance and Economics, Shanghai 200433, China
4
Business School, Hunan University, Changsha 410082, China
*
Author to whom correspondence should be addressed.
Mathematics 2024, 12(14), 2268; https://doi.org/10.3390/math12142268
Submission received: 11 June 2024 / Revised: 10 July 2024 / Accepted: 15 July 2024 / Published: 20 July 2024
(This article belongs to the Section E5: Financial Mathematics)

Abstract

Recognizing the importance of incorporating different risk measures in the portfolio management model, this paper examines the dynamic mean-risk portfolio optimization problem using both variance and value at risk (VaR) as risk measures. By employing the martingale approach and integrating the quantile optimization technique, we provide a solution framework for this problem. We demonstrate that, under a general market setting, the optimal terminal wealth may exhibit different patterns. When the market parameters are deterministic, we derive the closed-form solution for this problem. Examples are provided to illustrate the solution procedure of our method and demonstrate the benefits of our dynamic portfolio model compared to its static counterpart.

1. Introduction

The mean–variance (MV) formulation pioneered by [1] is undeniably the foundation of modern investment theory. The fundamental idea behind the MV formulation is to strike a balance between investment risk and return. Since the dynamic trading model is better suited for problems with longer investment horizons, dynamic mean–variance portfolio optimization has garnered significant attention, as evidenced by studies such as [2,3,4,5]. However, a limitation of the MV formulation is its symmetric nature, which treats gains and losses equally. To overcome this issue, several alternative risk measures, such as value at risk (VaR) [6,7] and conditional value at risk (CVaR) [8,9], have been incorporated into the portfolio optimization framework.
Motivated by the multiple risk measures-based portfolio management model (see, e.g., [10,11,12]), this work investigates the dynamic mean–variance–VaR (MVV) portfolio optimization problem. As different risk measures emphasize various aspects of random loss (the variance emphasizes the average deviation around the expected value, while VaR focuses on the maximum possible loss at a given confidence level), it is advantageous to diversify not only the portfolio but also the choice of risk measures, especially when different risk factors are significant in evaluating investment performance. Note that variance emphasizes the magnitude of deviations from the mean. Relying solely on variance can leave investors vulnerable to significant losses during extreme events. VaR, on the other hand, measures potential losses during extreme events, but focusing exclusively on VaR can potentially reduce the Sharpe ratio. From this perspective, it is essential to consider both variance and VaR. However, to our knowledge, variance and VaR have not been simultaneously applied as risk measures for portfolio selection in a dynamic trading environment. In addition, our work is the first to offer a comprehensive analysis of the MVV portfolio optimization model. It is worth mentioning that the inclusion of variance alongside downside risk naturally constrains wealth from reaching infinity, thereby enhancing the applicability of the MVV model. By employing the martingale approach and integrating the quantile optimization technique (see details in [13]), we demonstrate that the optimal wealth could manifest in three distinct patterns, dictated by the investor’s selection of risk parameters. When all market parameters are deterministic (also known as the Black–Scholes market), we derive the analytical portfolio policy for the MVV model. Our numerical examples demonstrate that incorporating the VaR term into the MV model can significantly alter the classical MV portfolio policy. Specifically, the MVV investor tends to increase risky holdings when the market condition is below or above certain thresholds. Compared to the static portfolio model with both variance and VaR, our dynamic trading model appears promising in reducing both of these risks.
The remainder of this paper is organized as follows. We introduce the market model and the MMV formulation in Section 2. The general solution scheme for this model is provided in Section 3, and we consider the special market setting in Section 4. We present some examples in Section 5 and conclude the paper in Section 6. Throughout the paper, we use 1 A to denote the indicator function, i.e., 1 A = 1 if the condition A holds, and 1 A = 0 otherwise. The notation A represents the transpose of matrix (vector) A. The probability density function and cumulative distribution function (CDF) of a standard normal variable are denoted as ϕ ( · ) and Φ ( · ) , respectively.

Related Literature

The classical static mean–variance (MV) portfolio optimization model has been extended to the dynamic setting by [2,3], who employ the embedding method to overcome the challenge posed by the non-separability of the variance. Following these works, the dynamic mean–variance (MV) formulation has been extensively studied in various directions (see, e.g., [4,5,14,15,16,17,18]). However, since the variance penalizes both gains and losses symmetrically, several downside risk measures have been developed following the mean–variance (MV) formulation (see, e.g., [19]).
Among these risk measures, value at risk (VaR), which quantifies the maximum quantile of the random loss at a certain confidence level, has become one of the most widely used risk measures in the financial industry (see, e.g., [20,21,22]). Compared to certain “symmetric” risk measures (e.g., variance and absolute deviation), VaR is a more attractive risk measure, particularly when the underlying return (loss) distribution is asymmetric or heavy tailed. Although VaR also possesses some unattractive properties, such as measuring only the quantile without considering the average loss below the quantile and not being a coherent risk measure (see [23]), recent research indicates that VaR remains a practically useful risk measure in the financial industry. For instance, Ref. [24] argues that nonparametric VaR is more robust compared to expected shortfall and the Sharpe ratio. Ref. [25] analyzes the static mean-VaR portfolio selection model from the perspective of asymmetric volatility of stock returns and investors’ risk aversion. Ref. [26] explored the portfolio optimization problem using entropic value at risk (EVaR) in a single-period setting and found that the EVaR method could identify portfolios with favorable expected values and VaR values at a high confidence level. Additionally, Refs. [22,27] demonstrate that conditional value at risk (CVaR), often considered a remedy for VaR, lacks robustness in out-of-sample tests. Moreover, Ref. [22] illustrates that VaR is a more suitable risk measure for imposing trading book capital requirements. Refs. [28,29] employ weighted VaR as risk measures, while [9] uses CVaR in a continuous-time framework to analyze portfolio selection. Their results highlighted that the continuous-time mean-risk portfolio models, such as weighted VaR and CVaR, may suffer from ill-posedness due to the unbounded nature of terminal wealth.
Another closely related strand of research combines classical utility maximization with downside risk measures (see, e.g., [30,31,32]). Recently, Refs. [33,34] have further extended these models to markets with state-dependent environments.
In addition to single risk measures, many studies have demonstrated the comparative advantages of considering multiple risk measures simultaneously in portfolio management. Ref. [10] takes the first step to show that combining CVaR and variance may enhance the performance of the static portfolio optimization model. Ref. [35] further extends these findings to a dynamic setting and derives the semi-analytical portfolio policy. In the case where the distribution of the returns of the underlying asset belongs to a normal mean–variance mixture (NMVM), Ref. [36] explores the problem of portfolio selection using both CVaR and skewness as simultaneous risk measures, and proposes an investment strategy with an approximate closed form. A recent study by [37] assesses a static portfolio optimization model that integrates both VaR and MV formulations. Their findings indicate that the static model performs well in out-of-sample tests, surpassing the pure MV formulation and the MV model that incorporates CVaR for additional risk control. Additionally, our work represents a further and more practical extension of their research by extending it to a dynamic trading environment.

2. Market Model and Problem Formulation

We consider a continuous-time financial market with one risk-free asset and n risky assets that can be traded continuously over the time horizon [ 0 , T ] . All randomness is modeled by a complete filtrated probability space ( Ω , F , P , { F t } t 0 ) , on which an F t -adapted n-dimensional independent Brownian motion W ( t ) = ( W 1 ( t ) , , W n ( t ) ) is defined. We use the notation F t to denote the augmented σ -algebra generated by W ( t ) , which represents the information set available at time t, where t [ 0 , T ] . The price process S 0 ( t ) of the risk-free asset satisfies the equation d S 0 ( t ) = r ( t ) S 0 ( t ) d t for t [ 0 , T ] , with S 0 ( 0 ) = s 0 > 0 , where r ( · ) is the risk-free return rate. The price process S i ( t ) of the i-th risky asset is governed by the stochastic differential equation (SDE):
d S i ( t ) = S i ( t ) μ i ( t ) d t + j = 1 n σ i j ( t ) d W j ( t ) ,
with S i ( 0 ) = s i > 0 for i = 1 , 2 , , n , where μ i ( · ) and σ i j ( · ) denote the appreciation rate and volatility, respectively. We assume that the volatility matrix σ ( t ) { σ i j ( t ) } i , j = 1 n satisfies the nondegeneracy condition, meaning σ ( t ) σ ( t ) is positive definite almost surely for t [ 0 , T ] . Furthermore, we assume that all parameters r ( t ) , μ i ( t ) , and σ i j ( t ) are scalar-valued F t -measurable and uniformly bounded stochastic processes for any t [ 0 , T ] . Let x ( t ) represent the investor’s total wealth level at time t with a given initial wealth x ( 0 ) = x 0 > 0 , and let u ( t ) : = ( u 1 ( t ) , , u n ( t ) ) denote the portfolio policy at time t, where u i ( t ) represents the dollar amount allocated to the i-th risky asset (we require that u ( · ) L F 2 ( 0 , T ; R n ) , where L F 2 ( 0 , T ; R n ) denotes the set of R n -valued, F t -adapted, and square-integrable stochastic processes). The wealth process x ( t ) satisfies the following stochastic differential equation (SDE):
d x ( t ) = r ( t ) x ( t ) + b ( t ) u ( t ) d t + u ( t ) σ ( t ) d W ( t ) , t [ 0 , T ] ,
where b ( t ) : = μ ( t ) r ( t ) = ( μ 1 ( t ) r ( t ) , , μ n ( t ) r ( t ) ) represents the excess return rate at time t for t [ 0 , T ] .
Following a similar definition provided by [38], we define the VaR of the investment loss as follows. In the literature, VaR is typically defined concerning the loss of the portfolio value, where the loss function can be expressed as L x 0 x ( T ) or L x 0 E [ e 0 T r ( s ) d s ] x ( T ) . We can omit the constant term in the VaR formulation, thanks to the property of translation invariance for VaR (see, for instance, [23]):
VaR γ [ x ( T ) ] inf y R | P ( x ( T ) y ) 1 γ ,
where γ is a given confidence level (e.g., γ = 1 % or 5 % ). This definition of VaR indicates that, with a probability of 1 γ , the loss of the investment is less than VaR γ [ x ( T ) ] . On the other hand, we use V [ x ( T ) ] E [ ( x ( T ) E [ x ( T ) ] ) 2 ] to denote the variance of the terminal wealth x ( T ) . In the spirit of multiple risk measures (see, e.g., [10,35]), we consider the following MV portfolio optimization problem with a VaR constraint (MVV). The entropic value at risk (EVaR) and the weighted VaR are novel consistent risk measures, and including them in portfolio selection problems is very meaningful. However, it should be noted that in portfolio selection problems, different risk measures typically result in different properties of the model. Therefore, we will further analyze portfolio optimization problems using these measures in the near future:
P mvv ( ω ) : min u ( t ) , t [ 0 , T ] ω V [ x ( T ) ] E [ x ( T ) ] ( s . t . ) VaR γ [ x ( T ) ] β , ( x ( · ) , π ( · ) ) satisfies ( 1 ) , x ( T ) 0 ,
where ω > 0 denotes a weighting coefficient that balances the expected profit and the variance. The parameter β represents the upper bound of VaR γ [ x ( T ) ] . According to the definition of VaR and the bankruptcy constraint x ( T ) 0 , we have VaR γ [ x ( T ) ] 0 , implying that we only need to consider the case where β < 0 . This is consistent with Zhou et al. [7] (see Assumption 2.1 in [7]).
Problem P mvv ( ω ) can be viewed as an extension of the dynamic mean-VaR portfolio model studied in [7], in which only the VaR is involved as the risk. It is worth mentioning that the continuous-time mean-VaR portfolio optimization problem may encounter the issue of ill-posedness (see, e.g., [7,39]). To address this concern, Ref. [7] imposes an upper bound on the terminal wealth. However, in formulation P mvv ( ω ) , this artificial bound is no longer necessary as the variance term may mitigate the behavior of the terminal wealth.
Note that the formulation of problem P mvv ( ω ) is essentially a three objectives optimization problem (it includes expected value, variance, and VaR). Thus, it has an alternative formulation, i.e., we may directly incorporate VaR into the objective function as follows:
P ^ mvv ( ω , ω ^ ) : min u ( t ) , t [ 0 , T ] ω V [ x ( T ) ] + ω ^ VaR γ [ x ( T ) ] E [ x ( T ) ] , ( s . t . ) ( x ( · ) , π ( · ) ) satisfies ( 1 ) , x ( T ) 0 ,
where ω ^ > 0 is the weighting parameter for the VaR. Remark 1 discusses the relationship between this weighted summation formulation and problem P mvv ( ω ) .

3. Optimal Solution for Problem P mvv ( ω )

The combination of the no-bankruptcy constraint with the VaR formulation makes problem P mvv ( ω ) challenging to solve directly using classical stochastic control methods. To tackle this challenge, we employ the martingale approach (see, e.g., [40]) combined with the quantile formulation (see, e.g., [13,41]) to solve this problem. We first rewrite the model using the quantile method to transform it into a concise form, and then solve the simplified model using the martingale method. In the martingale method, the solution scheme comprises two steps: (i) identifying the optimal terminal wealth x ( T ) and (ii) developing the optimal portfolio policy to replicate such optimal terminal wealth x ( T ) .
Let the risk premium process be θ ( t ) = σ ( t ) 1 b ( t ) for t [ 0 , T ] . Given that the market is complete, we may define a deflator process as
z ( t ) = exp 0 t ( r ( s ) + 1 2 θ ( s ) 2 ) d s 0 t θ ( s ) d W ( s ) .
The deflator process z ( t ) can transform the wealth process into a martingale under the risk-neutral probability measure, i.e., it satisfies
z ( t ) x ( t ) = E [ z ( s ) x ( s ) | F t ]
for any 0 t < s T , assuming the following assumption holds true.
Assumption 1.
The random variable z ( T ) has no atoms, i.e., P ( z ( T ) = a ) = 0 for any a ( 0 , ] .
This assumption implies that the distribution function of z ( T ) is continuous. By utilizing the martingale property, we can identify the optimal terminal wealth x ( T ) from the following auxiliary problem A mvv ( ω ) (notation L F T 2 ( Ω ; R ) denotes the set of all R -valued F T -measurable random variables):
A mvv ( ω ) : min x ( T ) L F T 2 ( Ω ; R ) ω V [ x ( T ) ] E [ x ( T ) ]
( s . t . ) VaR γ [ x ( T ) ] β ,
E [ z ( T ) x ( T ) ] = x 0 ,
x ( T ) 0 .
To simplify the notation, when there is no ambiguity, we use X and Z to denote x ( T ) and z ( T ) , respectively. Then, we introduce two partial-moment functions with respect to Z as
K 0 ( y ) E [ 1 Z y ] and K 1 ( y ) E [ Z 1 Z y ] .
Clearly, K 0 ( · ) represents the distribution function of Z, and K 1 ( · ) denotes the first-order partial moment. Under Assumption 1, we can define the inverse function of K 0 ( · ) as
K 0 1 ( s ) inf { z R | K 0 ( z ) > s } ,
which is the quantile function of Z. Similarly, the inverse function of K 1 ( · ) is defined as
K 1 1 ( s ) inf { z R | K 1 ( z ) > s } .
Before proceeding, it is worth noting that in problem P mvv ( ω ) , the parameter β naturally has a lower bound.
Proposition 1.
The problem P mvv ( ω ) is feasible only if β > β ̲ , with
β ̲ x 0 K 1 ( K 0 1 ( 1 γ ) ) .
The proof of this result is similar to the one in Proposition 3.2 of [7]. This finding implies that the parameter β should be appropriately set such that β > β ̲ . Otherwise, problem P mvv ( ω ) may have no feasible solution.
In problem A mvv ( ω ) , the variance term remains challenging to handle directly. Therefore, we adopt the embedding method (see, e.g., [2,3]) to rewrite the objective function of this problem in a quadratic form, leading to the following problem:
A mvv ( ω , ρ ) : min X L F T 2 ( Ω ; R ) E [ ω X 2 ρ X ] ( s . t . ) X   satisfies   ( 5 ) ( 7 ) ,
where ρ is a parameter. Note that the solution of problem A mvv ( ω , ρ ) is parameterized by ρ . The following result shows that there is a particular ρ which solves problem A mvv ( ω ) (see, e.g., Theorem 3.1 in [2]).
Proposition 2.
The optimal solution u ( t ; ρ ) , t [ 0 , T ] for problem A mvv ( ω , ρ ) solves problem A mvv ( ω ) when ρ = 1 + 2 ω E [ x ( T ; ρ ) ] , where x ( t ; ρ ) represents the optimal wealth process of problem A mvv ( ω , ρ ) .
We now concentrate on solving problem A mvv ( ω , ρ ) . Due to the nonconvexity of VaR γ [ X ] , we employ the quantile method (see, e.g., [13,41]) to address this problem. We denote the distribution function of X as F ( x ) P ( X x ) and its upper quantile function as G ( s ) inf { x R | F ( x ) > s } . From this definition of the quantile function, we observe that G ( · ) is a right continuous function. The main idea of the quantile method is to utilize the quantile function G ( · ) to replace the random variable X as the decision variable in problem A mvv ( ω , ρ ) .
From the definition of VaR, we have VaR γ [ X ] = G ( γ ) (see, e.g., [38]). Similarly, we can also express the expected value E [ X ] and the second-order moment E [ X 2 ] as functionals of G ( · ) as follows:
E [ X ] = x d F ( x ) = 0 1 G ( s ) d s , E [ X 2 ] = x 2 d F ( x ) = 0 1 ( G ( s ) ) 2 d s .
For any 0 s 1 , the no-bankruptcy constraint X 0 is equivalent to G ( s ) 0 for all s [ 0 , 1 ] . The remaining task is to reformulate the constraint (6) as a functional of G ( · ) . Based on Theorem B.1 in [13] (under Assumption 1), we can rewrite the constraint (6) as E [ X Z ] = E [ G ( 1 K 0 ( Z ) ) Z ] . Note that Z can be expressed as Z = K 0 1 ( 1 s ) with s = 1 K 0 ( Z ) ; we can further obtain E [ X Z ] = E [ G ( s ) K 0 1 ( 1 s ) ] where the expectation is taken over the random variable s = 1 K 0 ( Z ) . Since K 0 ( · ) is the distribution function of Z, we know that s = 1 K 0 ( Z ) follows the uniform distribution in [ 0 , 1 ] , which further yields
E [ X Z ] = E [ G ( s ) K 0 1 ( 1 s ) ] = 0 1 G ( s ) K 0 1 ( 1 s ) d s .
As a summary, we can reformulate problem A mvv ( ω , ρ ) as the following functional optimization problem with G ( · ) as the decision function:
G mvv ( ω , ρ ) : min G ( · ) G ω 0 1 G 2 ( s ) d s ρ 0 1 G ( s ) d s
( s . t . ) 0 1 G ( s ) K 0 1 ( 1 s ) d s = x 0 ,
G ( γ ) β ,
G ( s ) 0 , 0 s 1 ,
where the feasible set G is defined as
G : = { G ( · ) : [ 0 , 1 ] [ 0 , ] | G ( · ) is nondecreasing and a right continuous function } .
Once we solve the optimal quantile G ( · ) in problem G mvv ( ω , ρ ) , the optimal terminal wealth x ( T ) can be obtained using Theorem B1 in [13], which is
x ( T ) = G ( 1 K 0 ( z ( T ) ) ) .
Theorem 1.
The optimal terminal wealth of problem A mvv ( ω ) can be characterized as follows in three different cases:
(i) If γ 1 K 0 ( ρ η ) , it has
x ( T ) = 0 i f z ( T ) > K 0 1 ( 1 γ ) , β i f ρ + 2 ω β η < z ( T ) K 0 1 ( 1 γ ) , ρ η z ( T ) 2 ω i f z ( T ) ρ + 2 ω β η ,
where ρ and η > 0 are the solution of the following system of two equations:
x 0 = E β z ( T ) 1 z ( T ) K 0 1 ( 1 γ ) + E ρ η z ( T ) 2 ω + β z ( T ) 1 z ( T ) ρ + 2 ω β η , ρ = 1 E 2 ω β 1 z ( T ) K 0 1 ( 1 γ ) + E ρ η z ( T ) + 2 ω β 1 z ( T ) ρ + 2 ω β η .
(ii) If 1 K 0 ( ρ η ) < γ 1 K 0 ( ρ + 2 ω β η ) , it has
x ( T ) = 0 i f z ( T ) > ρ η , ρ η z ( T ) 2 ω i f K 0 1 ( 1 γ ) < z ( T ) ρ η , β i f ρ + 2 ω β η < z ( T ) K 0 1 ( 1 γ ) , ρ η z ( T ) 2 ω i f z ( T ) ρ + 2 ω β η ,
where ρ and η > 0 are the solution of the following two equations:
x 0 = E ρ η z ( T ) 2 ω z ( T ) 1 z ( T ) ρ η E ρ η z ( T ) 2 ω + β z ( T ) 1 z ( T ) K 0 1 ( 1 γ ) + E ρ η z ( T ) 2 ω + β z ( T ) 1 z ( T ) ρ + 2 ω β η , ρ = 1 + E ( ρ η z ( T ) ) 1 z ( T ) ρ η E ρ η z ( T ) + 2 ω β 1 z ( T ) K 0 1 ( 1 γ ) + E ρ η z ( T ) + 2 ω β 1 z ( T ) ρ + 2 ω β η .
(iii) If γ > 1 K 0 ( ρ + 2 ω β η ) , it has
x ( T ) = 0 i f z ( T ) > ρ η , ρ η z ( T ) 2 ω i f z ( T ) ρ η ,
where ρ and η > 0 are obtained by solving the following system of two equations:
x 0 = E ρ η z ( T ) 2 ω z ( T ) 1 z ( T ) ρ η , ρ = 1 + E ρ η z ( T ) 1 z ( T ) ρ η .
Proof. 
We utilize the quantile formulation G mvv ( ω , ρ ) to solve problem A mvv ( ω , ρ ) . Introducing the Lagrange multiplier η R for the constraint (9) yields the following Lagrangian relaxation problem:
G mvv ( ω , ρ , η ) : min G ( · ) G ω 0 1 G 2 ( s ) d s ρ 0 1 G ( s ) d s + η 0 1 G ( s ) K 0 1 ( 1 s ) d s ( s . t . ) G ( γ ) β , G ( s ) 0 for all 0 s 1 .
Notice that G ( · ) is a right continuous and nondecreasing function, which implies that G ( s ) < G ( γ ) for 0 s < γ and G ( γ ) G ( s ) for γ s 1 . This property motivates us to develop the optimal solution of problem G mvv ( ω , ρ , η ) by solving the following two subproblems:
G mvv 1 ( ω , ρ , η ) : min G ( · ) G ω 0 γ G 2 ( s ) d s 0 γ G ( s ) × ρ η K 0 1 ( 1 s ) d s ( s . t . ) G ( γ ) β , G ( s ) 0 , for all 0 s < γ ,
and
G mvv 2 ( ω , ρ , η ) : min G ( · ) G ω γ 1 G 2 ( s ) d s γ 1 G ( s ) × ρ η K 0 1 ( 1 s ) d s ( s . t . ) G ( γ ) β , G ( s ) β , for all γ s 1 .
Note that if there are no constraints in problem G mvv ( ω , ρ ) , the optimal solution is G ( s ) = ρ η K 0 1 ( 1 s ) 2 ω for all s [ 0 , 1 ] . When constraints exist, we may obtain the optimal solution G ( s ) of these two subproblems by comparing G ( s ) with the upper and lower bounds of G ( s ) , i.e., 0 and β . We first consider the case η > 0 . Note that G ( 1 K 0 ( ρ η ) ) = 0 and G ( 1 K 0 ( ρ + 2 ω β η ) ) = β , which implies that 1 K 0 ρ η and 1 K 0 ( ρ + 2 ω β η ) are two threshold points when comparing G ( s ) with 0 and β (since ω > 0 and β < 0 , it always has 1 K 0 ( ρ η ) 1 K 0 ( ρ + 2 ω β η ) ). We then consider the following three different cases:
(i)
If γ 1 K 0 ( ρ η ) , then G ( s ) < 0 for any s [ 0 , γ ) , implying that the optimal solution of problem G mvv 1 ( ω , ρ , η ) is G ( s ) = 0 for any s [ 0 , γ ) . As for problem G mvv 2 ( ω , ρ , η ) , since G ( s ) < β when s [ γ , 1 K 0 ( ρ + 2 ω β η ) ) and G ( s ) β when s [ 1 K 0 ( ρ + 2 ω β η ) , 1 ] , we can obtain its optimal solution as G ( s ) = β when s [ γ , 1 K 0 ( ρ + 2 ω β η ) ) and G ( s ) = G ( s ) when s [ 1 K 0 ( ρ + 2 ω β η ) , 1 ] .
(ii)
If 1 K 0 ( ρ η ) γ 1 K 0 ( ρ + 2 ω β η ) , then G ( s ) < 0 when s [ 0 , 1 K 0 ( ρ η ) ) and G ( s ) 0 when s [ 1 K 0 ( ρ η ) , γ ) . For problem G mvv 1 ( ω , ρ , η ) , the optimal solution is G ( s ) = 0 for any s [ 0 , 1 K 0 ( ρ η ) ) and G ( s ) = G ( s ) for any s [ 1 K 0 ( ρ η ) , γ ) . As for problem G mvv 2 ( ω , ρ , η ) , it has G ( s ) < β if s [ γ , 1 K 0 ( ρ + 2 ω β η ) ) and G ( s ) β if s [ 1 K 0 ( ρ + 2 ω β η ) , 1 ] . This yields G ( s ) = β when s [ γ , 1 K 0 ( ρ + 2 ω β η ) ) and G ( s ) = G ( s ) when s [ 1 K 0 ( ρ + 2 ω β η ) , 1 ] .
(iii)
If γ 1 K 0 ( ρ + 2 ω β η ) , then G ( s ) < 0 when s [ 0 , 1 K 0 ( ρ η ) ) and G ( s ) 0 when s [ 1 K 0 ρ η , γ ) , implying that the optimal solution of problem G mvv 1 ( ω , ρ , η ) is G ( s ) = 0 for any s [ 0 , 1 K 0 ρ η ) and G ( s ) = G ( s ) for any s [ 1 K 0 ρ η , γ ) . Furthermore, since G ( s ) β for any s [ γ , 1 ] , we can conclude that G ( s ) = G ( s ) solves problem G mvv 2 ( ω , ρ , η ) .
In the above three cases, once we have the optimal G ( · ) , we may use the relationship (12) to obtain the optimal wealth X . As for the parameters η and ρ , substituting X into the equations E [ Z X ] = x 0 and ρ = 1 + 2 ω E [ X ] (see Proposition 2) gives the two equations for η and ρ in each of the above three cases.
Finally, we demonstrate that the original problem yields no solution when η 0 . Since ρ = 1 + 2 ω E [ X ] = 1 + 2 ω 0 1 G ( s ) d s , it follows that
G ( s ) = ρ η K 0 1 ( 1 s ) 2 ω = 1 η K 0 1 ( 1 s ) 2 ω + 0 1 G ( s ) d s > β
for all s [ 0 , 1 ] , where the last inequality stems from the fact that G ( γ ) β and G ( s ) 0 for all s [ 0 , 1 ] . The inequality (14) implies that the optimal solution of problem G mvv ( ω , ρ , η ) is G ( s ) = G ( s ) when ρ = ρ . Substituting this solution into the equation ρ = 1 + 2 ω 0 1 G ( s ) d s gives ρ = 1 + ρ η 0 1 K 0 1 ( 1 s ) d s . However, this equation can never be satisfied in the case of η 0 , which completes the proof. □
Note that, due to nonconvexity, the equations defined for η and ρ may not have solutions in all three cases given in Theorem 1. Failure to find the solution also occurs in the utility maximization model with a VaR constraint, for instance, see [30]. As it is beyond the focus of the paper, we do not provide the general condition on the existence of solutions for these equations. However, our numerical tests show that when the model parameters are set at a reasonable level, problem A mvv ( ω ) always has a solution. Once we know the optimal terminal wealth x ( T ) , theoretically speaking, we can solve the backward stochastic differential equation (BSDE) to identify the optimal wealth process x ( t ) and optimal portfolio policy u ( t ) . Specifically, the optimal wealth process x ( t ) and optimal portfolio policy u ( t ) are the solution to the following BSDE:
d x ( t ) = r ( t ) x ( t ) + ( μ ( t ) r ( t ) ) u ( t ) d t + u ( t ) σ ( t ) d W ( t ) , t [ 0 , T ]
with the terminal random variable being x ( T ) = x ( T ) . However, there is no analytical solution for this BSDE under a general market setting where the market parameters are stochastic processes. When the market parameters are deterministic, we can obtain the analytical optimal wealth process and optimal portfolio policy, as demonstrated in Section 4.
Remark 1.
The solution scheme developed for problem P mvv ( ω ) can be applied to solve the weighted summation formulation (2). Initially, we fix V a R γ [ x ( T ) ] = β in problem P mvv ( ω ) , where β is regarded as some undetermined parameter. Then, the solution u ( t ; β ) for t [ 0 , T ] is parameterized by η. For each β, it is possible to compute the objective value (2). Subsequently, a line search can be performed to identify the optimal β that minimizes the objective function (2) in problem P ^ m v v ( ω , ω ^ ) . It is evident that u ( t , β ) for t [ 0 , T ] represents the optimal policy for problem P ^ m v v ( ω , ω ^ ) .

4. Optimal Portfolio Policy under the Black–Scholes Market

In this section, we consider a deterministic set of investment opportunities, often referred to as a Black–Scholes-type market model (e.g., see [29]).
Assumption 2.
For all t [ 0 , T ] , the risk-free return rate r ( t ) , the appreciation rate { μ i ( t ) } i = 1 n , and volatility { σ i j ( t ) } i = 1 , j = 1 n , n of the risky asset are assumed to be deterministic functions of t.
Under Assumption 2, the definition (3) implies that ln ( z ( T ) / z ( t ) ) follows a normal distribution, where the mean m ( t ) and the variance v 2 ( t ) are given as
m ( t ) = t T r ( τ ) + 1 2 | | θ ( τ ) | | 2 d τ ,
v 2 ( t ) = t T | | θ ( τ ) | | 2 d τ
for t [ 0 , T ] ; given that z ( 0 ) = 1 at time t = 0 , we can deduce that the mean and variance of ln ( z ( T ) ) at this initial time are denoted by m ( 0 ) and v 2 ( 0 ) , respectively. Additionally, we can compute E [ z ( T ) ] = e 0 T r ( s ) d s . Under this assumption, the lower bound of β , as defined in Proposition 1, can be explicitly computed as follows:
β ̲ = x 0 e 0 T r ( τ ) d τ Φ Φ 1 ( 1 γ ) v ( 0 ) .
Assumption 2 facilitates the development of an analytical solution for problem P mvv ( ω ) .
Theorem 2.
Under Assumption 2, the optimal wealth process x ( t ) and portfolio policy u ( t ) of problem P mvv ( ω ) can be characterized as follows:
(i) If γ 1 K 0 ( ρ η ) , it has
x ( t ) = A ( t ) ρ 2 ω + β Φ ( h 1 ( t ) ) β Φ ( h 2 ( t ) ) η z ( t ) B ( t ) 2 ω Φ ( h 1 ( t ) v ( t ) ) , u ( t ) = ( σ ( t ) σ ( t ) ) 1 b ( t ) { A ( t ) v ( t ) ρ 2 ω + β ϕ ( h 1 ( t ) ) β ϕ ( h 2 ( t ) )
+ η z ( t ) B ( t ) 2 ω Φ ( h 1 ( t ) v ( t ) ) 1 v ( t ) ϕ ( h 1 ( t ) v ( t ) ) } ,
where ρ and η > 0 are the solution of the following equations:
ρ = 1 2 ω β Φ ( h 2 ( 0 ) + v ( 0 ) ) + ρ + 2 ω β Φ ( h 1 ( 0 ) + v ( 0 ) ) η A ( 0 ) Φ ( h 1 ( 0 ) ) , x 0 = A ( 0 ) ρ 2 ω + β Φ ( h 1 ( 0 ) ) β Φ ( h 2 ( 0 ) ) η B ( 0 ) 2 ω Φ ( h 1 ( 0 ) v ( 0 ) ) .
(ii) If 1 K 0 ( ρ η ) < γ 1 K 0 ( ρ + 2 ω β η ) , we obtain
x ( t ) = A ( t ) ρ 2 ω Φ ( h 3 ( t ) ) ρ 2 ω + β Φ ( h 2 ( t ) ) Φ ( h 1 ( t ) ) η z ( t ) B ( t ) 2 ω Φ ( h 3 ( t ) v ( t ) ) Φ ( h 2 ( t ) v ( t ) ) + Φ ( h 1 ( t ) v ( t ) ) , u ( t ) = ( σ ( t ) σ ( t ) ) 1 b ( t ) { A ( t ) v ( t ) ρ 2 ω ϕ ( h 3 ( t ) ) ρ 2 ω + β ϕ ( h 2 ( t ) ) ϕ ( h 1 ( t ) ) + η z ( t ) B ( t ) 2 ω × ( Φ ( h 3 ( t ) v ( t ) ) Φ ( h 2 ( t ) v ( t ) ) + Φ ( h 1 ( t ) v ( t ) ) 1 v ( t ) ϕ ( h 3 ( t ) v ( t ) ) ϕ ( h 2 ( t ) v ( t ) ) + ϕ ( h 1 ( t ) v ( t ) ) ) } ,
where the parameters ρ and η > 0 are the solution of the following equations:
ρ = 1 + ρ Φ ( h 3 ( 0 ) + v ( 0 ) ) ( ρ + 2 ω β ) ( Φ ( h 2 ( 0 ) + v ( 0 ) ) Φ ( h 1 ( 0 ) + v ( 0 ) ) ) η A ( 0 ) Φ ( h 3 ( 0 ) ) Φ ( h 2 ( 0 ) ) + Φ ( h 1 ( 0 ) ) , x 0 = A ( 0 ) ρ 2 ω Φ ( h 3 ( 0 ) ) ρ 2 ω + β Φ ( h 2 ( 0 ) ) Φ ( h 1 ( 0 ) ) η B ( 0 ) 2 ω Φ ( h 3 ( 0 ) v ( 0 ) ) Φ ( h 2 ( 0 ) v ( 0 ) ) + Φ ( h 1 ( 0 ) v ( 0 ) ) .
(iii) If γ > 1 K 0 ( ρ + 2 ω β η ) , it has
x ( t ) = ρ A ( t ) 2 ω Φ ( h 3 ( t ) ) η z ( t ) B ( t ) 2 ω Φ ( h 3 ( t ) v ( t ) ) , u ( t ) = ( σ ( t ) σ ( t ) ) 1 b ( t ) { A ( t ) v ( t ) ρ 2 ω Φ ( h 3 ( t ) ) + η z ( t ) B ( t ) 2 ω × Φ ( h 3 ( t ) v ( t ) ) 1 v ( t ) ϕ ( h 3 ( t ) v ( t ) ) } ,
where the parameter ρ and Lagrangian multiplier η > 0 are characterized by
ρ = 1 + ρ Φ ( h 3 ( 0 ) + v ( 0 ) ) η A ( 0 ) Φ ( h 3 ( 0 ) ) , x 0 = ρ A ( 0 ) 2 ω Φ ( h 3 ( 0 ) ) η B ( 0 ) 2 ω Φ ( h 3 ( 0 ) v ( 0 ) ) ,
where A ( t ) e m ( t ) + v ( t ) 2 2 , B ( t ) e 2 m ( t ) + 2 v ( t ) 2 , and h 1 ( t ) , h 2 ( t ) and h 3 ( t ) are defined, respectively, as follows:
h 1 ( t ) = ln ( ρ + 2 ω β η ) + ln z ( t ) m ( t ) v ( t ) v ( t ) , h 2 ( t ) = Φ 1 ( 1 γ ) v ( 0 ) m ( 0 ) ln z ( t ) m ( t ) v ( t ) v ( t ) , h 3 ( t ) = ln ( ρ η ) + ln z ( t ) m ( t ) v ( t ) v ( t ) .
Proof. 
By utilizing Lemma 1 in [9], we compute K 0 ( z ) and K 1 ( z ) for any z 0 as follows:
K 0 ( z ) = E [ 1 z ( T ) z ] = E [ 1 ln z ( T ) ln z ] = Φ ln z m ( 0 ) v ( 0 ) ,
K 1 ( z ) = E [ Z 1 z ( T ) z ] = e ( m ( 0 ) + v 2 ( 0 ) 2 ) Φ ln z m ( 0 ) v ( 0 ) v ( 0 ) .
From (20) and (21), we can easily derive the expression for β ̲ as (17). To compute the optimal wealth process x ( t ) , we can utilize the martingale property, i.e., x ( t ) = E [ z ( T ) z ( t ) x ( T ) | F t ] . Without loss of generality, we will detail the verification for case (i), while a similar method can be applied to prove the other cases. Based on the expression (13), it follows that
x ( t ) = E z ( T ) z ( t ) ( β ) 1 ρ + 2 ω β η < z ( T ) K 0 1 ( 1 γ ) | F t + E z ( T ) z ( t ) ρ η z ( T ) 2 ω 1 z ( T ) ρ + 2 ω β η | F t .
Applying Lemma A1 (in Appendix A) to each term of the above expression yields the optimal wealth process (18). Once we obtain the analytical form of x ( t ) , the optimal portfolio policy u ( t ) can be computed as (19) using the formula u ( t ) = ( σ ( t ) σ ( t ) ) 1 b ( t ) z ( t ) x ( t ) z ( t ) (for example, see [40]). □
Remark 2.
In the above theorem, the optimal wealth process x ( t ) and portfolio policy u ( t ) are represented in terms of the market state density z ( t ) . However, it is more advantageous to have the feedback form of the portfolio policy u ( t ) with respect to x ( t ) . This can be achieved numerically, meaning for each z ( t ) , there exists a { u ( t ) , x ( t ) } pair associated with it. By screening the realization of z ( t ) , we can obtain the desired feedback form of u ( t ) .

5. Illustrative Example

Example 1.
We consider an example of the model P mvv ( ω ) where the parameters are set using the calibrations provided in [42] and their associated calculation methods, such as r = 0.0014 , μ = 0.00484 , and σ = 0.0436 . Let x 0 = 1 million and T = 12 months. The weighting parameter ω is set at different levels: ω = 0.2 , ω = 0.7 , or ω = 1.2 and the confidence level is set as γ = 1 % or γ = 5 % , respectively. The parameter ω reflects investors’ risk aversion. The larger the ω, the more averse investors are to returns volatility. Table 1 summarizes the solutions of η, ρ , and the two threshold points defined in Theorem 1 for different parameter settings. According to Proposition 1 and β < 0 , we have 0 < β / β ̲ < 1 . This result demonstrates that all three cases outlined in Theorem 1 are possible occurrences as we vary the weighting coefficient ω.
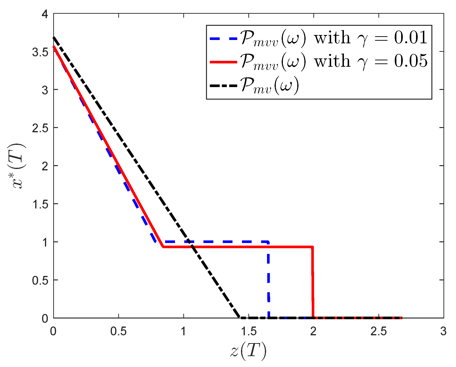
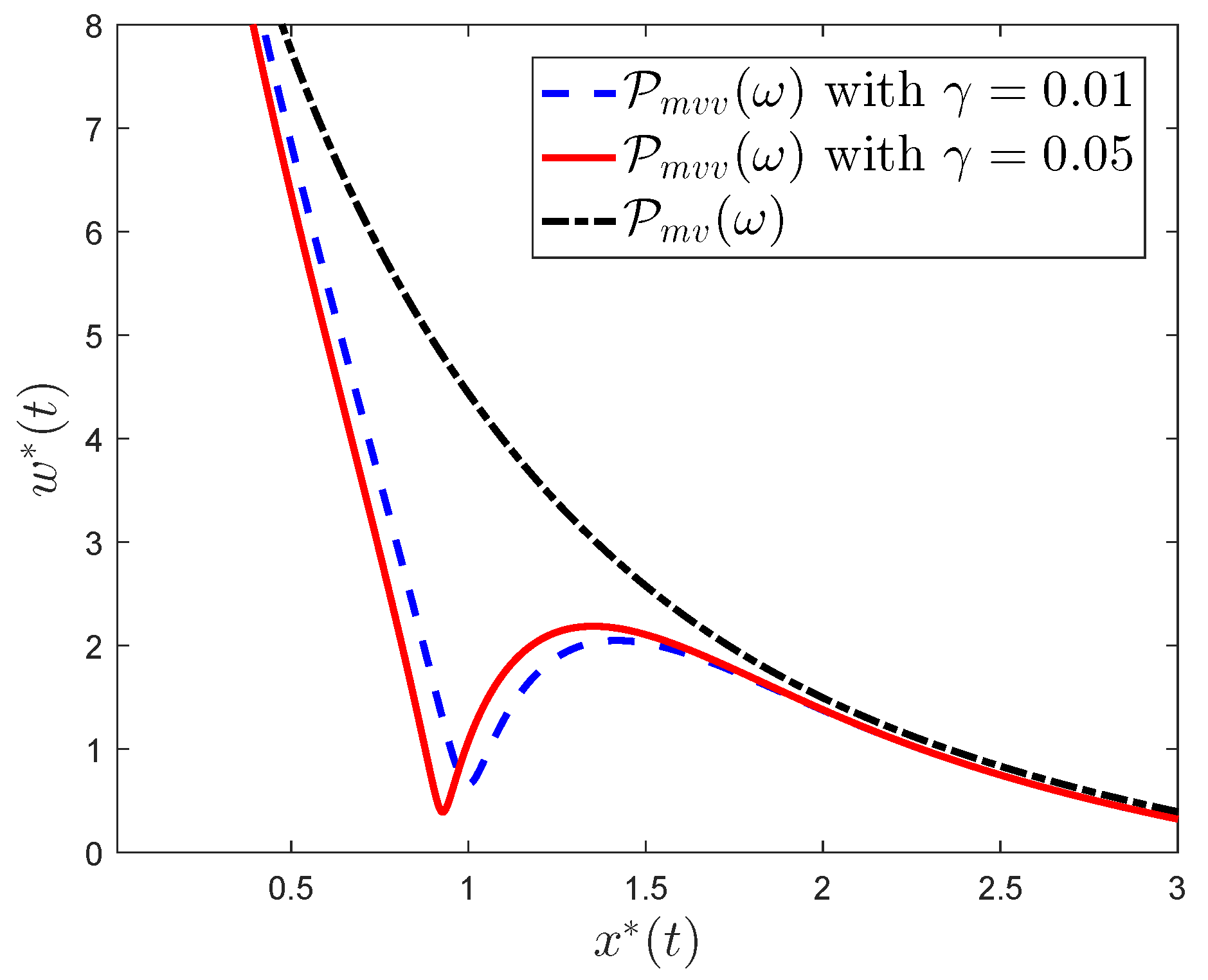
We denote the pure dynamic MV portfolio optimization problem studied in [4] as P mv ( ω ) , which serves as the benchmark model. We set ω = 0.2 and obtain β = 0.9340 for the case of γ = 1 % , and we set β = 1.0004 for the case of γ = 5 % . We plot the optimal terminal wealth in Figure 1. We observe that, owing to the VaR constraint, the terminal wealth of our model P mvv ( ω ) exhibits a clear pattern resembling an insured portfolio (see Proposition 1 in [30]). Specifically, when the market conditions are in intermediate states (with z ( T ) around 1), the wealth remains constant (fully insured). Only when the market state is in a “bad state” (with large z ( T ) ) does the wealth decrease to 0. This pattern is starkly different from the dynamic MV model P mv ( ω ) , where the terminal wealth decreases monotonically. Regarding the portfolio policy, Figure 2 illustrates that at t = T 2 , the portfolio policy generated by our model P mvv ( ω ) displays a V-shaped pattern. Specifically, at time t = T 2 , when the market conditions are in a “good state” ( z ( t ) < 1 ) or a “bad state” ( z ( t ) > 1 ) (Since ln ( z ( T ) ) follows a log-normal distribution, its probability mass is primarily concentrated in the interval [ 0.5 , 2 ] .), the MVV investor tends to increase the risky holding. Obviously, the returns on risk-free assets are often lower than those on risky assets. When market conditions are in a “good state”, investors will hold more risky assets to achieve higher returns. On the other hand, when market conditions are in a “bad state”, investors may increase their holdings of risky assets in an attempt to recover potential losses, a behavior also known as the gambling effect. When market conditions are in a “bad state”, investors seek to mitigate potential losses primarily because our model emphasizes VaR, a risk measure that quantifies potential losses. Therefore, the inclination towards the gambling effect—where investors increase their holdings of risky assets—is understandable as they aim to manage and limit these potential losses. Let w ( t ) : = u ( t ) / x ( t ) denote the optimal weight of the portfolio (the proportion invested in each risky asset). Using the method outlined in Remark 2, we can derive the feedback form of the portfolio weight w ( t ) with respect to wealth x ( t ) at time t = T 2 . This relationship is plotted in Figure 3. Once more, this figure underscores that the MVV portfolio weight w ( t ) exhibits a V-shaped pattern, where the MV portfolio weight decreases monotonically with respect to current wealth.
Example 2.
In this example, we compare our dynamic portfolio optimization model P mvv ( ω ) with the static counterpart developed in [11] to illustrate the benefits of our dynamic model. We utilize financial data similar to that provided in [43], where the risky assets include the Standard and Poor’s 500 index (S&P 500), long-term US government bonds (Bonds), and the US small-cap index (S&P 600). We assume r = 0.016 and that the price processes follow a Black–Scholes-type model, i.e., μ ( t ) = μ ¯ and σ ( t ) = σ ¯ for t [ 0 , T ] . Utilizing the data provided in [43] (Tables 1 and 2 in [43] present monthly statistics. We rescale these data to obtain the annual expected return and covariance matrix), we calibrate the market parameters as μ ¯ = ( 0.1346 , 0.0530 , 0.1722 ) and
σ ¯ = 0.1428 0.0094 0.1002 0.0094 0.0728 0.0031 0.1002 0.0031 0.2353 .
Let x 0 = 1 million and T = 1 year. Regarding the static model, we assume the investor adopts a buy-and-hold strategy, meaning the portfolio is computed at time 0 and held until the end of the horizon (This is equivalent to treating the problem as a one-period portfolio optimization problem). By formulating the problem according to [11,44], we can express it as a mixed integer programming problem (Integer variables are introduced to handle the VaR constraint. Refer to [44] for details of this model). This problem can be solved numerically using commercial mixed integer programming solvers (We utilize CPLEX 12.8 to solve this problem). Table 2 presents the comparison results between our dynamic problem P mvv ( ω ) and the static model (denoted as P smvv ( ω ) ) for different values of β and ω. We observe that the optimal objective value generated by our model P mvv ( ω ) outperforms that generated by the static model P smvv ( ω ) across all cases. This implies that trading dynamically may enhance the expected return and reduce the variance of the terminal wealth when VaR is constrained.
We further analyze the investment performance of the models P mvv ( ω ) and P smvv ( ω ) . We employ several standard metrics for this evaluation. Specifically, the mean terminal wealth assesses the return, the standard deviation of terminal wealth and the 10% VaR measure symmetric and downside risk, respectively. Furthermore, the Sharpe ratio and Sortino ratio gauge the risk-adjusted return. Our results are presented in Table 3. We observe that both returns, and risk-adjusted returns show significant improvement in the dynamic case compared to the static case. While the symmetric risk is notably lower in the static case, the dynamic case may exhibit better downside risk. Thus, overall, our dynamic model exhibits relatively superior performance compared to the static model.

6. Conclusions

This paper investigates dynamic mean–variance portfolio selection with a value at risk (VaR) constraint (MVV) in continuous time. Such a model enables control over both symmetric central risk measures and asymmetric catastrophic downside risk.
Numerical examples demonstrate that the optimal wealth in our MVV model exhibits three distinct patterns. Interestingly, we find that under moderate market conditions, our terminal wealth tends to remains a stable positive constant value, unlike the complete decline observed in the pure MV model. This stability in wealth is particularly attractive to investors, as it implies they can achieve satisfactory returns even when the market is neither exceptionally strong nor weak. Unlike the pure mean–variance model, the portfolio policy of our model displays a V-shaped pattern. This indicates that, in both good and poor market conditions, our strategy tends to increase holdings of risky assets, thereby enhancing gains or mitigating losses.
However, it must be acknowledged that our current results have room for further development in several areas. First, given the discrete nature of real-world trading, it is crucial to translate our continuous-time strategy into a feasible discrete-time strategy. Secondly, for practical applications of our model, careful calibration of its parameters using a large amount of real-world data is essential. Calibration of these parameters will be the focus of further discussion. Since machine learning methods can effectively handle massive amounts of data, analyzing portfolio selection with the hybrid risk measures using this method is an interesting topic in the era of information explosion.

Author Contributions

Conceptualization, methodology and formal analysis, J.G. and K.Z.; software and data curation, T.W. and Q.P.; validation, W.W.; writing—original draft preparation, T.W.; writing—review and editing, Q.P. All authors have read and agreed to the published version of the manuscript.

Funding

This work was supported by the National Natural Science Foundation of China under grants 71971132 and 72201067.

Data Availability Statement

Data are contained within the article.

Acknowledgments

All authors thank anonymous reviewers and editors for their support and help in our work.

Conflicts of Interest

The authors declare no conflicts of interest.

Appendix A. Proofs

Lemma A1.
Under Assumption 2, for given real numbers a, b, q, and η > 0 , we have
E [ ( a + b z ( T ) ) 1 η z ( T ) q ] = a Φ ( k ( 0 ) ) + b A ( 0 ) Φ ( k ( 0 ) v ( 0 ) ) , E z ( T ) z ( t ) ( a + b z ( T ) ) 1 η z ( T ) q | F t = a A ( t ) Φ ( k ( t )
v ( t ) ) + b z ( t ) B ( t ) Φ ( k ( t ) 2 v ( t ) ) ,
where A ( t ) e m ( t ) + v ( t ) 2 2 , B ( t ) e 2 m ( t ) + 2 v ( t ) 2 , and
k ( t ) ln ( ( q / η ) 1 q / η 0 ) ln ( z ( t ) ) m ( t ) v ( t ) ,
with m ( t ) and v ( t ) defined in (15) and (16), respectively.
Proof. 
From Assumption 2 and the definition (3) of z ( t ) , we ascertain that z ( T ) / z ( t ) follows a log-normal distribution. The mean and variance of ln ( z ( T ) / z ( t ) ) are m ( t ) and v 2 ( t ) , as given in (15) and (16), respectively. Moreover, at time t = 0 , with z ( 0 ) = 1 , the mean and variance of ln ( z ( T ) ) are m ( 0 ) and v 2 ( 0 ) , respectively. To derive (A1) and (A2), we need to consider the following two cases of q, respectively.
(i) When q 0 , since z ( T ) 0 , it has
E [ ( a + b z ( T ) ) 1 η z ( T ) q ] = 0 and E z ( T ) z ( t ) ( a + b z ( T ) ) 1 η z ( T ) q | F t = 0 .
(ii) When q > 0 , it has
E [ ( a + b z ( T ) ) 1 η z ( T ) q ] = a E [ 1 z ( T ) ( q / η ) ] + b E [ e ln z ( T ) 1 z ( T ) ( q / η ) ] , and E z ( T ) z ( t ) ( a + b z ( T ) ) 1 η z ( T ) q | F t
= a E e ln ( z ( T ) z ( t ) ) 1 ln ( z ( T ) z ( t ) ) ln ( q η z ( t ) ) + z ( t ) b E e 2 ln ( z ( T ) z ( t ) ) 1 ln ( z ( T ) z ( t ) ) ln ( q η z ( t ) ) .
By applying Lemma 1 from [9] to (A3) and (A4), and then combining both cases of (i) and (ii), we can derive the results (A1) and (A2), thereby completing the proof. □

References

  1. Markowitz, H.M. Portfolio Selection. J. Financ. 1952, 7, 1063–1070. [Google Scholar]
  2. Zhou, X.Y.; Li, D. Continuous-time mean-variance Portfolio Selection: A stochastic LQ Framework. Appl. Math. Optim. 2000, 42, 19–33. [Google Scholar] [CrossRef]
  3. Li, D.; Ng, W.L. Optimial dynamic portfolio selection: Multiperiod mean-variance formulation. Math. Financ. 2000, 10, 387–406. [Google Scholar] [CrossRef]
  4. Bielecki, T.; Jin, H.Q.; Pliska, S.R.; Zhou, X.Y. Continuous-time mean-variance portolio selection with bankrupcy prohibition. Math. Financ. 2005, 15, 213–244. [Google Scholar] [CrossRef]
  5. Li, X.; Zhou, X.Y.; Lim, A.E.B. Dynamic mean-variance portfolio selection with no shorting constraints. SIAM J. Control Optim. 2002, 40, 1540–1555. [Google Scholar] [CrossRef]
  6. Lwin, K.T.; Qu, R.; MacCarthy, B.L. Mean-VaR portfolio optimization: A nonparametric approach. Eur. J. Oper. Res. 2017, 260, 751–766. [Google Scholar] [CrossRef]
  7. Zhou, K.; Gao, J.J.; Li, D.; Cui, X.Y. Dynamic mean-VaR portfolio selection in continuous time. Quant. Financ. 2017, 17, 1631–1643. [Google Scholar] [CrossRef]
  8. Rockafellar, R.T.; Uryasev, S. Conditional Value-at-Risk for general loss distributions. J. Bank. Financ. 2002, 26, 1443–1471. [Google Scholar] [CrossRef]
  9. Gao, J.J.; Zhou, K.; Li, D.; Cao, X.R. Dynamic mean-LPM and mean-CVaR portfolio optimization in continuous-time. SIAM J. Control Optim. 2017, 55, 1377–1397. [Google Scholar] [CrossRef]
  10. Roman, D.; Darby-Dowman, K.; Mitra, G. Mean-risk models using two risk measures: A multi-objective approach. Quant. Financ. 2007, 7, 443–458. [Google Scholar] [CrossRef]
  11. Alexander, G.J.; Baptista, A.M. A Comparison of VaR and CVaR Constraints on Portfolio Selection with the Mean-Variance Model. Manag. Sci. 2004, 50, 1261–1273. [Google Scholar] [CrossRef]
  12. Sentana, E. Mean-variance portfolio allocation with a value at risk constraint. Rev. Econ. Financ. 2003, 1, 4–14. [Google Scholar] [CrossRef]
  13. Jin, H.Q.; Zhou, X.Y. Behavioral Portfolio Selection in Continuous Time. Math. Financ. 2008, 18, 385–426. [Google Scholar] [CrossRef]
  14. Hu, Y.; Zhou, X.Y. Constrained stochastic LQ control with random coefficients, and application to portfolio selection. SIAM J. Control Optim. 2005, 44, 444–466. [Google Scholar] [CrossRef]
  15. Lim, A.E.B.; Zhou, X.Y. Mean-variance portfolio selection with random parameters in a complete market. Math. Oper. Res. 2002, 27, 101–120. [Google Scholar] [CrossRef]
  16. Cui, X.Y.; Li, D.; Li, X. Mean-variance policy for discrete-time cone constrained markets: The consistency in efficiency and minimum-variance signed supermartingale measure. Math. Financ. 2017, 27, 471–504. [Google Scholar] [CrossRef]
  17. Costa, O.L.V.; Araujo, M.V. A generalized multi-period mean-variance portfolio with markov switching parameters. Automatica 2008, 44, 2487–2497. [Google Scholar] [CrossRef]
  18. Wu, W.P.; Gao, J.J.; Li, D.; Shi, Y. Explicit solution for constrained scalar-state stochastic linear-quadratic control with multiplicative noise. IEEE Trans. Autom. Control 2019, 64, 1999–2012. [Google Scholar] [CrossRef]
  19. Krokhmal, P.; Zabarankin, M. Modeling and optimization of risk. Surv. Oper. Res. Manag. Sci. 2011, 16, 49–66. [Google Scholar] [CrossRef]
  20. Jorion, P. Value at Risk: The New Benchmark for Managing Financial Risk; McGraw-Hill: New York, NY, USA, 2007. [Google Scholar]
  21. Basle Committee on Banking Supervision. Revisions to the Basel II Market Risk Framework; Bank for International Settlements: Basel, Switzerland, 2011. [Google Scholar]
  22. Kou, S.G.; Peng, X.H.; Heyde, C.C. External risk measures and basel accords. Math. Oper. Res. 2013, 38, 393–417. [Google Scholar] [CrossRef]
  23. Artzner, P.; Delbaen, F.; Eber, J.M.; Heath, D. Coherent measure of risk. Math. Financ. 1999, 9, 203–228. [Google Scholar] [CrossRef]
  24. Cont, R.; Deguest, R.; Scandolo, G. Robustness and sensitivity analysis of risk measurement procedures. Quant. Financ. 2010, 10, 593–606. [Google Scholar] [CrossRef]
  25. Hidayat, Y.; Purwandari, T.; Sukono; Prihanto, I.G.; Hidayana, R.A.; Ibrahim, R.A. Mean-Value-at-Risk Portfolio Optimization Based on Risk Tolerance Preferences and Asymmetric Volatility. Mathematics 2023, 11, 4761. [Google Scholar] [CrossRef]
  26. Ahmadi-Javid, A.; Fallah-Tafti, M. Portfolio optimization with entropic value-at-risk. Eur. J. Oper. Res. 2019, 279, 225–241. [Google Scholar] [CrossRef]
  27. Lim, A.E.B.; Shanthikumar, J.G.; Vahn, G.Y. Conditional valueat-risk in portfolio optimization: Coherent but fragile. Oper. Res. Lett. 2011, 39, 163–171. [Google Scholar] [CrossRef]
  28. He, X.D.; Jin, H.; Zhou, X.Y. Dynamic portfolio choice when risk is measured by weighted VaR. Math. Oper. Res. 2015, 40, 773–796. [Google Scholar] [CrossRef]
  29. Wei, P. Risk management with weighted VaR. Math. Financ. 2018, 28, 1020–1060. [Google Scholar] [CrossRef]
  30. Basak, S.; Shapiro, A. Value-at-risk-based risk management: Optimal policies and asset prices. Rev. Financ. Stud. 2001, 14, 371–405. [Google Scholar] [CrossRef]
  31. Yiu, K.F.C. Optimal portfolios under a value-at-risk constraint. J. Econ. Dyn. Control 2004, 28, 1317–1334. [Google Scholar] [CrossRef]
  32. Cuoco, D.; He, H.; Isaenko, S. Optimal dynamic trading strategy with risk limits. Oper. Res. 2008, 56, 358–368. [Google Scholar] [CrossRef]
  33. Yiu, K.F.C.; Liu, J.Z.; Siu, T.K.; Ching, W.K. Optimal portfolios with regime switching and value-at-risk constraint. Automatica 2010, 46, 979–989. [Google Scholar] [CrossRef]
  34. Zhu, D.M.; Xie, Y.; Ching, W.K.; Siu, T.K. Optimal portfolios with maximum Value-at-Risk constraint under a hidden Markovian regime-switching model. Automatica 2016, 74, 194–205. [Google Scholar] [CrossRef]
  35. Gao, J.J.; Xiong, Y.; Li, D. Dynamic mean-risk portfolio selection with multiple risk measures in continuous-Time. Eur. J. Oper. Res. 2016, 249, 647–656. [Google Scholar] [CrossRef]
  36. Abudurexiti, N.; He, K.; Hu, D.; Rachev, S.T.; Sayit, H.; Sun, R. Portfolio analysis with mean-CVaR and mean-CVaR-skewness criteria based on mean—Variance mixture models. Ann. Oper. Res. 2024, 336, 945–966. [Google Scholar] [CrossRef]
  37. Cesarone, F.; Martino, M.L.; Tardella, F. Mean-Variance-VaR portfolios: MIQP formulation and performance analysis. OR Spectrum 2023, 45, 1043–1069. [Google Scholar] [CrossRef]
  38. Föllmer, H.; Schied, A. Stochastic Finance: An Introduction in Discrete Time; De Gruyter Studies in Mathematics; Walter De Gruyter: Berlin, Germany, 2004. [Google Scholar]
  39. Jin, H.Q.; Yan, J.A.; Zhou, X.Y. Continuous-time mean-risk portfolio selection. Ann. Henri Poincaré 2005, 41, 559–580. [Google Scholar] [CrossRef]
  40. Karatzas, I.; Shreve, S.E. Methods of Mathematical Finance; Springer: New York, NY, USA, 1998. [Google Scholar]
  41. He, X.D.; Zhou, X.Y. Portfolio Choice Under Cumulative Prospect Theory: An Analytical Treatment. Manag. Sci. 2011, 57, 315–331. [Google Scholar] [CrossRef]
  42. Wachter, J.A. Portfolio and consumption decisions under mean-reverting returns: An exact solution for complete market. J. Financ. Quant. Anal. 2002, 37, 63–91. [Google Scholar] [CrossRef]
  43. Rockafellar, R.T.; Uryasev, S. Optimization of conditional value-at-risk. J. Risk 2000, 2, 21–41. [Google Scholar] [CrossRef]
  44. Benati, S.; Rizzi, R. A mixed integer linear programming formulation of the optimal mean/value-at-risk portfolio problem. Eur. J. Oper. Res. 2007, 176, 423–434. [Google Scholar] [CrossRef]
Figure 1. Terminal wealth in Example 1.
Figure 1. Terminal wealth in Example 1.
Mathematics 12 02268 g001
Figure 2. Portfolio policy in Example 1.
Figure 2. Portfolio policy in Example 1.
Mathematics 12 02268 g002
Figure 3. Portfolio weight in Example 1.
Figure 3. Portfolio weight in Example 1.
Mathematics 12 02268 g003
Table 1. Parameters of problem P mvv ( ω ) in Example 1.
Table 1. Parameters of problem P mvv ( ω ) in Example 1.
γ β ̲ β / β ̲ ω ρ η 1 K 0 ( ρ η ) 1 K 0 ( ρ + 2 ω β η ) Case
1 % 1.0377 0.5 0.21.4601.0650.0880.214i
0.72.5001.01800.013ii
1.23.5181.01700.001iii
5 % 1.1115 0.7 0.21.4511.1120.1210.387i
0.72.4981.02500.087ii
1.23.5181.01700.024iii
Table 2. Comparison of objective value between P mvv ( ω ) and P smvv ( ω ) in Example 2.
Table 2. Comparison of objective value between P mvv ( ω ) and P smvv ( ω ) in Example 2.
β / β ̲ ω γ = 5 % γ = 1 %
( P smvv ( ω ) ) ( P mvv ( ω ) ) ( P smvv ( ω ) ) ( P mvv ( ω ) )
0.4 0.2−1.321−1.493−1.286−1.498
0.7−1.165−1.244−1.165−1.238
1.2−1.103−1.179−1.103−1.166
0.6 0.2−1.251−1.386−1.205−1.408
0.7−1.163−1.212−1.151−1.210
1.2−1.103−1.155−1.103−1.151
0.8 0.2−1.110−1.181−1.111−1.269
0.7−1.098−1.125−1.098−1.155
1.2−1.086−1.104−1.086−1.119
Table 3. Comparison of investment performance between P mvv ( ω ) and P smvv ( ω ) in Example 2.
Table 3. Comparison of investment performance between P mvv ( ω ) and P smvv ( ω ) in Example 2.
γ ω β / β ̲ ModelMeanStandard
Deviation
VaR Value
(10%)
Sharpe
Ratio
Sortino
Ratio
0.011.20.4 P smvv ( ω ) 1.20370.2824−0.85710.66421.2313
P mvv ( ω ) 1.53300.3918−0.97481.31921.3965
0.6 P smvv ( ω ) 1.18750.2650−0.86100.64681.1927
P mvv ( ω ) 1.48760.3712−0.90381.27021.4525
0.8 P smvv ( ω ) 1.09660.1225−0.94600.65701.2213
P mvv ( ω ) 1.37940.3359−0.86671.08151.4960
Disclaimer/Publisher’s Note: The statements, opinions and data contained in all publications are solely those of the individual author(s) and contributor(s) and not of MDPI and/or the editor(s). MDPI and/or the editor(s) disclaim responsibility for any injury to people or property resulting from any ideas, methods, instructions or products referred to in the content.

Share and Cite

MDPI and ACS Style

Wang, T.; Pan, Q.; Wu, W.; Gao, J.; Zhou, K. Dynamic Mean–Variance Portfolio Optimization with Value-at-Risk Constraint in Continuous Time. Mathematics 2024, 12, 2268. https://doi.org/10.3390/math12142268

AMA Style

Wang T, Pan Q, Wu W, Gao J, Zhou K. Dynamic Mean–Variance Portfolio Optimization with Value-at-Risk Constraint in Continuous Time. Mathematics. 2024; 12(14):2268. https://doi.org/10.3390/math12142268

Chicago/Turabian Style

Wang, Tongyao, Qitong Pan, Weiping Wu, Jianjun Gao, and Ke Zhou. 2024. "Dynamic Mean–Variance Portfolio Optimization with Value-at-Risk Constraint in Continuous Time" Mathematics 12, no. 14: 2268. https://doi.org/10.3390/math12142268

APA Style

Wang, T., Pan, Q., Wu, W., Gao, J., & Zhou, K. (2024). Dynamic Mean–Variance Portfolio Optimization with Value-at-Risk Constraint in Continuous Time. Mathematics, 12(14), 2268. https://doi.org/10.3390/math12142268

Note that from the first issue of 2016, this journal uses article numbers instead of page numbers. See further details here.

Article Metrics

Back to TopTop