Next Article in Journal
“Differential Equations of Mathematical Physics and Related Problems of Mechanics”—Editorial 2021–2023
Next Article in Special Issue
Paraconsistent Labeling Semantics for Abstract Argumentation
Previous Article in Journal
Influence of Homo- and Hetero-Junctions on the Propagation Characteristics of Radially Propagated Cylindrical Surface Acoustic Waves in a Piezoelectric Semiconductor Semi-Infinite Medium
 
 
Font Type:
Arial Georgia Verdana
Font Size:
Aa Aa Aa
Line Spacing:
Column Width:
Background:
Article

Merging Intuitionistic and De Morgan Logics

Institute of Logic and Cognition, Sun Yat-sen University, Guangzhou 510275, China
*
Author to whom correspondence should be addressed.
Authors contributed equally to this work.
Mathematics 2024, 12(1), 146; https://doi.org/10.3390/math12010146
Submission received: 5 November 2023 / Revised: 27 December 2023 / Accepted: 28 December 2023 / Published: 2 January 2024
(This article belongs to the Special Issue Algebraic Modal Logic and Proof Theory)

Abstract

We introduce De Morgan Heyting logic for Heyting algebras with De Morgan negation (DH-algebras). The variety DH of all DH-algebras is congruence distributive. The lattice of all subvarieties of DH is distributive. We show the discrete dualities between De Morgan frames and DH-algebras. The Kripke completeness and finite approximability of some DH-logics are proven. Some conservativity of DH expansion of a Kripke complete superintuitionistic logic is shown by the construction of frame expansion. Finally, a cut-free terminating Gentzen sequent calculus for the DH-logic of De Morgan Boolean algebras is developed.
MSC:
03B20; 03B62; 06D20; 06D30

1. Introduction

Intuitionistic logic provides a basis for the study of foundations of constructive sciences. When the constructive reasoning is concerned in many scenarios, merging intuitionistic logic and other logical operators becomes useful. An interesting direction is the study of intuitionistic modal logic (cf., e.g., [1,2,3,4]). From the algebraic perspective, algebras for an intuitionistic modal logic are Heyting algebras with modal operators. This approach emphasizes the interaction between intuitionistic and modal operators. Thus, it differs from various ways of combining logics like fibring, fusion or product (cf., e.g., [5,6,7]).
The aim of the present work is merging the intuitionistic and De Morgan logics. Sankappanavar [8] proposed Heyting algebras with a dual homomorphism, and the variety of De Morgan Heyting algebras (DH-algebras) was investigated. A DH-algebra is a Heyting algebra ( A , , , , 0 ) with a De Morgan negation ∼. It is well known that quasi-Boolean algebras (or De Morgan algebras) are bounded distributive lattices with De Morgan negation (cf., e.g., [9]). The logic of De Morgan algebras is just the Belnap–Dunn four-valued logic (cf., e.g., [10,11,12,13]). In this paper, we study the logic of DH-algebras which is the combination of intuitionistic and De Morgan logics.
In the present article, we show some results on the variety DH of all DH-algebras. First, we show that DH is congruence distributive and hence it has the congruence extension property. Then, we show that the lattice Λ ( DH ) of all subvarieties of DH is distributive. This lattice Λ ( DH ) is dually isomorphic to the lattice of all DH-logics. Then, we present discrete dualities between DH-algebras and De Morgan frames. A De Morgan frame (cf., e.g., [14,15]) is an intuitionistic frame with an antitone involution. We note that an involution on a nonempty set W is function g : W W such that g ( g ( w ) ) = w for all w W . The involution was used for the representation of quasi-Boolean algebras in [16].
Using De Morgan frames, we offer relational semantics for syntactically defined De Morgan Heyting logics. The method of canonical model is applied to prove Kripke completeness. We modify the Lemmon filtration method to show the finite approximability which yields the decidability of some DH-logics. Furthermore, the conservativity of the DH expansion of a Kripke complete superintuitionistic logic which preserves expansion is proven by the construction of expanding rooted intuitionistic frames. Using this construction and the conservativity result, we show that the unique Post-complete DH-logic C is embedded into the minimal DH-logic J via an extended Glivenko-style translation.
Finally, in the last part of this article, the proof-theoretic aspect of the DH-logic B for De Morgan Boolean algebras is investigated. We introduce a structural rule-free Gentzen sequent calculus GB and show that the cut rule is admissible. Then, we show the sequent calculus GB is sound and complete with respect to the class of all De Morgan frames for B . Moreover, GB is terminating in the sense that the proof search of a given sequent terminates. It follows that the derivability of a sequent in GB is decidable.

2. De Morgan Heyting Algebras

A Heyting algebra is algebra ( A , , , , 0 ) such that ( A , , , 0 ) is a lattice with zero and for all x , y , z A the following law of residuation holds:
(Res) xyz if and only if yxz.
Here, ≤ is the lattice order. We use abbreviations ¬ x : = x 0 (intuitionistic negation), 1 : = ¬ 0 and x y : = ( x y ) ( y x ) . We let HA be the variety of all Heyting algebras. It is well known that the lattice reduct of a Heyting algebra is bounded distributive.
Definition 1. 
Algebra A = ( A , , , , , 0 ) is called a De Morgan Heyting algebra (‘DH-algebra’ for short) if ( A , , , , 0 ) is a Heyting algebra and ∼ is a De Morgan negation, i.e., for all x , y A , the following conditions hold:
(D1)
0 = 1 .
(D2)
x = x .
(D3)
( x y ) = x y .
(D4)
( x y ) = x y .
We write ( A , ) for a DH-algebra where A is supposed to be a Heyting algebra. We let DH be the variety of all DH-algebras.
Lemma 1. 
We let A = ( A , ) be a DH-algebra. The following hold for all x , y A :
(1)
x y if and only if y x .
(2)
x y if and only if x y = 1 .
(3)
x ( x y ) = x y .
(4)
y ( x y ) = y .
(5)
( x y ) x y .
Proof. 
For (1), we assume x y . Then, y x = ( y x ) = y and so y x . We assume y x . Then, x = x y = y . Items (2) – (4) hold in Heyting algebras. For (5), clearly, y x y . Then, y x ( x y ) . By (1), ( x ( x y ) ) y . By (D4), x ( x y ) y . By (D2), x ( x y ) y . By (Res), ( x y ) x y . □
We let A = ( A , ) be a DH-algebra. For every x A , we define x = ¬ x . For every n 0 and unary operator ⊙ on A, we let n x be defined inductively by 0 x = x and n + 1 = n x . For every x A and n 0 , we let t n ( x ) = k n k x .
Filter F in a DH-algebra A = ( A , ) is regular if x F for every x F . We let F ( A ) be the set of all regular filters in A . Clearly, Δ F = { 1 } is a regular filter which is called the trivial one. The regular filter generated by subset X A is denoted by [ X ) A . The set F ( A ) is closed under arbitrary intersection and hence F ( A ) , forms a complete lattice where S = S and S = [ S ) A for every S F ( A ) . If X = { x } , we write [ x ) A for [ { x } ) A . For every X A and x A , elements in regular filters [ X ) A and [ x ) A are characterized in [8] as follows:
( 1 )
y [ X ) A if and only if 1 i k t n i ( x i ) y for some n 1 , , n k ω and x 1 , , x k X .
( 2 )
y [ x ) A if and only if t n ( x ) y for some n ω .
These characterizing conditions are used in our following proofs.
Fact 1. 
We let ( A , ) be a DH-algebra. For all G F ( A ) and n 0 , if x G , then t n ( x ) G .
Lemma 2. 
For every DH-algebra A , F ( A ) , is a distributive lattice.
Proof. 
We let F , G and H F ( A ) . We assume x F ( G H ) . Then, x [ G H ) A . Then, there are y 1 , , y k G H and n 1 , , n k ω such that t n 1 ( y 1 ) t n k ( y k ) x . Since G , H F ( A ) , we have t n i ( y i ) G H for 1 i k . Then, x t n i ( y i ) ( F G ) ( F H ) . Hence, x = x 1 i k t n i ( y i ) = 1 i k ( x t n i ( y i ) ) [ ( F G ) ( F H ) ) A = ( F G ) ( F H ) . Therefore, F ( A ) , is distributive. □
We let C o n ( A ) be the set of all congruence relations in a DH-algebra A = ( A , ) . The least and largest members of C o n ( A ) are denoted by Δ A (identity) and A (totality), respectively. For every θ C o n ( A ) and x A , we let [ x ] θ be the equivalence class of x. We let A / θ be the quotient algebra of A modulo θ . For every F F ( A ) , we let θ F A × A be defined by
x,yθF if and only if xz = yz for some z F.
Clearly, θ F is an equivalence relation on A. Conversely, for each θ C o n ( A ) , we let F θ = [ 1 ] θ . The following lemma is derived from Lemma 3.2 [8], and here we offer details of proof.
Lemma 3. 
For every DH-algebra A = ( A , ) and F F ( A ) , θ F C o n ( A ) and [ 1 ] θ F = F .
Proof. 
It suffices to show that θ F is compatible with respect to operators in A . The intuitionistic cases are shown regularly. We assume x , y θ F . Then, x z = y z for some z F . Clearly, ¬ z F . We have x x z = ( x z ) = ( y z ) = y z . Obviously, y ¬ z y and z ¬ z y . Hence, x ¬ z y , and so x ¬ z y . Similarly, y ¬ z x . Then, x ¬ z = y ¬ z . Hence, x , y θ F . We assume x F . Then, x , 1 θ F and so x [ 1 ] θ F . We assume x [ 1 ] θ F . Then, x , 1 θ F and so x z = 1 z = z for some z F . Then, z x and so x F . Hence, [ 1 ] θ F = F . □
Lemma 4. 
For every DH-algebra A = ( A , ) and θ C o n ( A ) , F θ F ( A ) .
Proof. 
We let x , y F θ . Then, x , 1 θ and y , 1 θ . Then, x y , 1 θ and so x y F θ . We let x F θ and x y . Then, x , 1 θ and x = x y . Then, x y , y θ and so x , y θ . Hence, y , 1 θ and so y F θ . We let x F θ . Then, x , 1 θ and so x , 1 θ . Clearly, 1 = 1 and so x F θ . Then, F θ F ( A ) . □
Theorem 1. 
For every DH-algebra A , C o n ( A ) , is lattice-isomorphic to F ( A ) , .
Proof. 
Function f : F ( A ) C o n ( A ) is defined by setting f ( F ) = θ F for each F F ( A ) . By Lemma 3 (1), θ F C o n ( A ) . Function g : C o n ( A ) F ( A ) is defined by setting g ( θ ) = F θ for each θ C o n ( A ) . By Lemma 4, F θ F ( A ) . We assume F F ( A ) . By Lemma 3 (2), F = [ 1 ] θ F and so F = F θ F . Hence, g f is the identity on F ( A ) . We assume θ C o n ( A ) . We suppose x , y θ . Then, x y F θ . Clearly, x ( x y ) = y ( x y ) and so x , y θ F θ . We suppose x , y θ F θ . Then, there exists z F θ = [ 1 ] θ such that x z = y z . By z , 1 θ , we have x z , x θ and y z , y θ . Then, x , y θ . Hence, f g is the identity on C o n ( A ) . Clearly, f and g are order preserving. Hence, f is a lattice isomorphism. □
Corollary 1. 
DH is congruence distributive.
Proof. 
By Theorem 1 and Lemma 2. □
Algebra A is a subdirect product of family { A i : i I } if there exists an injective homomorphism f : A i I A i such that π i f : A A i is surjective for every i I and projection π i : i I A i A i . Algebra A is subdirectly irreducible if for every subdirect embedding f : A i I A i there exists i I such that π i f is an isomorphism.
Theorem 2. 
A DH-algebra A = ( A , ) is subdirectly irreducible if and only if the set of all nontrivial regular filters F ( A ) { Δ F } has a least member.
Proof. 
By the characterization of subdirectly irreducibles in universal algebra (cf., e.g., [17]), A is subdirectly irreducible if and only if C o n ( A ) { Δ A } has a least member. Then, the characterization follows from Lemma 1. □
For a class of DH-algebras K , we let H ( K ) , S ( K ) and P ( K ) denote the classes of homomorphic images, subalgebras and direct products of members of K , respectively. The variety generated by K is exactly V ( K ) = HSP ( K ) . If K is a variety, we let Λ ( K ) be the lattice of all subvarieties of K with respect to the meet ∩ and join ⊕. The bottom T in Λ ( K ) is the variety of trivial algebras, which consists of algebraic structures with only one element. We note that K 1 K 2 is the smallest variety containing K 1 K 2 . The lattice of all subvarieties of DH corresponds to the set of all intuitionistic De Morgan logics.
Now, we offer more observations on lattice Λ ( DH ) using the above results. Similar results for modal algebras are given by Blok [18]. We let S = { A i : i I } be a nonempty family of DH-algebras and U an ultrafilter on I. Then, F = { a i I A i : { i I a ( i ) = 1 } U } is a regular filter in the direct product i I A i . Aalgebra i I A i / θ F is called an ultraproduct of S . For a class of DH-algebras K , we let P U ( K ) be the class of all ultraproducts of nonempty families of algebras in K . We let K SI be the class of all subdirectly irreducibles in K .
Lemma 5. 
We let K be a class of DH-algebras. Then, the following hold:
( 1 )
V ( K ) SI HSP U ( K ) .
( 2 )
if K is a finite set of finite DH-algebras; then, V ( K ) SI HS ( K ) .
( 3 )
if A and B are subdirectly irreducible; then, V ( A ) = V ( B ) if and only if A is isomorphic to B .
( 4 )
for all J , K Λ ( DH ) , ( J K ) SI = J SI K SI .
Proof. 
By Corollary 1, V ( K ) is congruence distributive. By Jónsson Corollary 3.2 [19], V ( K ) SI HSP U ( K ) . By Corollary 3.4 [19], for a finite set of finite DH-algebras K , V ( K ) SI HS ( K ) . By Corollary 3.5 [19], we obtain (3). By the definition of ⊕ and (3), subdirectly irreducible algebras in J K are exactly those in J or K . Thus, (4) holds (cf., e.g., Corollary 3.5 [18]). □
Every variety is generated by its subdirectly irreducible members. We let S DH be the set of all finitely generated subdirectly irreducible DH-algebras up to isomorphism. As in [18], we define the preorder ⪯ on S DH as follows:
A B   if   and   only   if   A HSP U ( B ) .
Subset K S DH is a downset in S DH , if A B and B K implies A K . We let O ( S DH ) be the set of all downsets. Clearly, O ( S DH ) , , is a distributive lattice.
Theorem 3. 
Lattice Λ ( DH ) is embedded into O ( S DH ) .
Proof. 
Map f : Λ ( DH ) O ( S DH ) is defined by setting f ( K ) = K S DH for every K DH . We assume J K Λ ( DH ) . Then, J = V ( J S DH ) and K = V ( K S DH ) . Then, f ( J ) f ( K ) . Hence, f is injective. Clearly, f ( J K ) = f ( J ) f ( K ) . By Lemma 5 (4), f ( J K ) = ( J K ) S DH = ( J K ) SI S DH = ( J SI K SI ) S DH = ( J SI S DH ) ( K SI S DH ) = f ( J ) f ( K ) . Hence, f is a lattice embedding. □
Corollary 2. 
Lattice Λ ( DH ) is distributive.
We note that Λ ( DH ) is a complete distributive lattice. Next, we can start the investigation of logics. In what follows, we first make some observations on the discrete dualities between De Morgan frames and DH-algebras.

3. De Morgan Frame and Discrete Duality

An intuitionistic frame (“I-frame” for short) is a pair F = ( W , ) where W and ≤ is a partial order on W. For interpreting ∼, an involution is added into I-frames and so De Morgan frames (cf., e.g., [14,15]) are available.
Definition 2. 
A De Morgan frame (“DM-frame” for short) is a triple F = ( W , , g ) where ≤ is a partial order on W and g : W W is a function such that the following conditions hold:
(G1)
g is an involution, i.e., g ( g ( w ) ) = w for all w W .
(G2)
for all w , u W , if w u , then g ( u ) g ( w ) .
We write w < u if w u and w u . For every w W and X W , we let w = { u W : w u } and X = w X w . A subset X W is an upset in F if X = X . We let U p ( W ) be the sets of all upsets in F . Operations g and R on the powerset P ( W ) are defined by setting
g X = g ( X ) ¯ and X R Y = { w W : w X Y } .
We use the set operations ∩, ∪ and ( . ) ¯ (complementation) on P ( W ) .
We let F = ( W , , g ) be a DM-frame. By (G1), map g is bijective. Condition (G2) means that g is antitone. Some I-frames can be expanded to a DM-frame by adding an antitone involution but this does not hold in general.
Example 1. 
We consider the following posets and try to expand them with an antitone involution:
Mathematics 12 00146 i001
Here, thick arrows stand for the order and dotted arrows for the involution. There is a unique antitone involution on P 1 , i.e., g 1 ( w 0 ) = w 1 and g 1 ( w 1 ) = w 0 . We suppose g 1 ( w 0 ) = w 0 . Then, g 1 ( w 1 ) = w 1 , which contradicts w 0 w 1 . The unique antitone involution on P 2 is map g 2 where g 2 ( u 0 ) = u 2 , g 2 ( u 1 ) = u 1 and g 2 ( u 2 ) = u 0 . There is no antitone involution on P 3 .
Lemma 6. 
We let F = ( W , , g ) be a DM-frame. For all w W and X , Y W , the following hold:
(1)
w u if and only if g ( u ) g ( w ) .
(2)
w g ( X ) if and only if g ( w ) X .
(3)
g ( g ( X ) ) = X , g ( X ¯ ) = g X and g ( g X ) = X ¯ .
(4)
g ( X Y ) = g ( X ) g ( Y ) and g ( X Y ) = g ( X ) g ( Y ) .
(5)
g ( g ( w ) ) = w .
(6)
X Y if and only if g ( X ) g ( Y ) .
(7)
w g ( X R Y ) if and only if w g ( X ) g ( Y ) .
Proof. 
By (G1) and (G2), we obain (1). For (2), we assume w g ( X ) . Then, w = g ( u ) for some u X . Then, g ( w ) = g ( g ( u ) ) = u X . If g ( w ) X , then w = g ( g ( w ) ) g ( X ) . Clearly, (3) and (4) follow from (2). For (5), we assume u g ( g ( w ) ) . By (2), g ( w ) g ( u ) . By (1), u w . The other direction is similar. For (6), we assume X Y and w g ( X ) . By (2), g ( w ) X and so w g ( Y ) . We assume g ( X ) g ( Y ) and w X . Then, g ( w ) g ( X ) and so g ( w ) g ( Y ) . Then, g ( w ) = g ( u ) for some u Y . Then, w = g ( g ( w ) ) = g ( g ( u ) ) = u Y . For (7), we assume w g ( X R Y ) . By (2), g ( w ) X R Y . Then, g ( w ) X Y . By (4) and (6), g ( g ( w ) ) g ( X ) g ( Y ) . By (5), w g ( X ) g ( Y ) . The other direction is similar. □
Lemma 7. 
We let F = ( W , , g ) and X , Y U p ( W ) . Then, X R Y , g X U p ( W ) .
Proof. 
We assume X , Y U p ( W ) . Clearly, X R Y U p ( W ) (cf., e.g., [20]). We let w g X and w u . Then, w g ( X ) and g ( u ) g ( w ) . By w u and (G2), g ( u ) g ( w ) . Since X U p ( W ) , we have g ( u ) X . By Lemma 6 (2), u g ( X ) ¯ = g X . Hence, g X U p ( W ) . □
Clearly, , W U p ( W ) . We note that U p ( W ) is closed under ∩ and ∪. By Lemma 7, U p ( W ) is closed under g and R . The dual of a DM-frame F = ( W , , g ) is defined as F + = ( U p ( W ) , , , g , R , , W ) .
Proposition 1. 
For every DM-frame F = ( W , , g ) , the dual F + is a DH-algebra.
Proof. 
Clearly, g = g ( ) ¯ = W and g W = g ( W ) ¯ = . Obviously, ( U p ( W ) , , , R , ) is a Heyting algebra. Moreover, for all X , Y U p ( W ) , the following hold:
g g ( X ) = g ( g ( X ) ) ¯ = X ¯ ¯ = X ( using Lemma 6 ( 3 ) ) , g ( X Y ) = g ( X Y ) ¯ = g ( X ) g ( Y ) ¯ = g ( X ) ¯ g ( Y ) ¯ = g X g Y , g ( X Y ) = g ( X Y ) ¯ = g ( X ) g ( Y ) ¯ = g ( X ) ¯ g ( Y ) ¯ = g X g Y .
Hence, F + is a DH-algebra. □
We let A = ( A , ) be a DH-algebra. The sets of all filters and ideals in A are denoted by F ( A ) and I ( A ) , respectively. A filter (or ideal) K A is proper in A if K A . A proper filter F A is prime if x y F implies x A or y A . A proper ideal F A is prime if x y F implies x A or y A . We let F p ( A ) and I p ( A ) be sets of all prime filters and prime ideals in A , respectively. A nonempty subset K A has the finite meet property if x 1 x n 0 for all x 1 , , x n K . The filter (resp. ideal) in A generated by a subset K A is denoted by [ K ) (resp. ( K ] ). If K = { x } , we write [ x ) for [ { x } ) , and ( x ] for ( { x } ] .
Lemma 8. 
We let A = ( A , ) be a DH-algebra, F F ( A ) and I I ( A ) . Then, the following hold:
(1)
if x y , then there exists G F p ( A ) such that x G and y G .
(2)
F F p ( A ) if and only if F ¯ I p ( A ) .
(3)
F F p ( A ) if and only if F I p ( A ) .
(4)
if F F p ( A ) and x y F , there exists G F p ( A ) such that F G , x G and y G .
Proof. 
For (1), we assume x y . Then, y [ x ) . We let Z = { H F ( A ) : x H & y H } . By Zorn’s lemma, there exists a ⊆-maximal element G Z . Then, G F p ( A ) , x G and y G . Item (2) is obtained by definition. For (3), assume F F p ( A ) . We suppose x , y F . Then, x y F and so x y = ( x y ) F . We suppose x F and y x where y A . Then, x = x y . Then, y F and so y = y F . We suppose x y F . Then, x y = ( x y ) F and so x F or y F . Then, x F or y F . Hence, F I p ( A ) . We assume F I p ( A ) . We suppose x , y F . Then, ( x y ) = x y F and so x y F . We suppose x F and x y . Then, y x F and so y F . Then, y F . We suppose x y F . Then, x y = ( x y ) F and so x F or y F . Then, x F or y F . Hence, F F p ( A ) . For (4), we assume x y F . We let K = F { x } and X = { G F ( A ) : K G & y G } . We suppose y [ K ) . Then, there exists z F such that x z y . By (Res), z x y . Then, x y F which contradicts the assumption. Hence, y [ K ) and so [ K ) X . By Zorn’s lemma, we let G X be a ⊆-maximal element in X . Then, G is prime. Clearly, F G , x G and y G . □
Definition 3. 
We let A = ( A , ) be a DH-algebra. The dual of A is defined as algebra A + = ( F p ( A ) , , g A ) where g A : F p ( A ) F p ( A ) is map F F ¯ for every F F p ( A ) .
Lemma 9. 
For every F F p ( A ) , x g A ( F ) if and only if x F .
Proof. 
We assume x g A ( F ) . Then, x F . Since x = x , we obtain x F . Conversely, we assume x F . Then, x = x F and so x g A ( F ) . □
Proposition 2. 
For every DH-algebra A = ( A , ) , the dual A + is a DM-frame.
Proof. 
By Lemma 8, g A ( F ) F p ( A ) for all F F p ( A ) . We let F F p ( A ) . By Lemma 9, x g A ( g A ( F ) ) if and only if x g A ( F ) if and only if x F . Hence, g A ( g A ( F ) ) = F and so g A is an involution. We assume F G F p ( A ) and x g A ( G ) . By Lemma 9, x G and so x F . By Lemma 9, x g A ( F ) . Then, g A ( G ) g A ( F ) . Hence, A + = ( F p ( A ) , , g A ) is a DM-frame. □
We let F = ( W , , g ) and G = ( T , , h ) be DM-frames. Map π : W T is an embedding from F to G if (i) π is injective; (ii) π ( g ( w ) ) = h ( π ( w ) ) ; (iii) w u if and only if π ( w ) π ( u ) . We say F is embedded into G if there is an embedding from F to G . A DH-algebra A is embedded into B if there is an injective DH-homomorphism from A to B .
Theorem 4. 
We let F = ( W , , g ) be a DM-frame and A = ( A , ) be a DH-algebra. Then, ( 1 ) F is embedded into ( F + ) + ; and ( 2 ) A is embedded into ( A + ) + .
Proof. 
(1) Map π : W F p ( F + ) is defined by π ( w ) = { X U p ( W ) : w X } for every w W . Clearly, π ( w ) F p ( F + ) . We assume w u . Then, w w and u w . Then, π ( w ) π ( u ) . Hence, π is injective. For every F F p ( F + ) , g F + ( F ) = g F ¯ = g ( F ) . We assume X π ( g ( w ) ) . Then, g ( w ) X and so w g ( X ) . Then, g ( X ) π ( w ) and so X g ( π ( w ) ) = g F + ( π ( w ) ) . We assume X g F + ( π ( w ) ) . Then, X g ( π ( w ) ) and so g ( X ) π ( w ) . Then, w g ( X ) and so X π ( g ( w ) ) . Hence, π ( g ( w ) ) = g F + ( π ( w ) ) . We assume w u . If X π ( w ) , then w X and so u X , i.e., X π ( u ) . Hence, π ( w ) π ( u ) . We assume π ( w ) π ( u ) . Clearly, w π ( w ) and so w π ( u ) . Then, u w and so w u . Hence, π is an embedding.
(2) Map ρ : A U p ( F p ( A ) ) is defined by setting ρ ( x ) = { F F p ( A ) : x F } for every x A . Clearly, ρ ( x ) U p ( F p ( A ) ) for each x A . We assume x y . By Lemma 18 (1), there exists F F p ( A ) such that x F and y F . Then, F ρ ( x ) and F ρ ( y ) . Then, ρ ( x ) ρ ( y ) . Hence, ρ is injective. Clearly, ρ ( 0 ) = and ρ ( x y ) = ρ ( x ) ρ ( y ) and ρ ( x y ) = ρ ( x ) ρ ( y ) . We assume F ρ ( x y ) . We suppose G F ρ ( x ) . Then, x y F G and x G . By x ( x y ) y and x ( x y ) G , we obtain y G . Then, G ρ ( y ) . Then, F ρ ( x ) R ρ ( y ) . Conversely, we assume F ρ ( x y ) . Then, x y F . By Lemma 18 (4), there exists G F p ( A ) such that F G , x G and y G . Then, F ρ ( x ) ρ ( y ) and so F ρ ( x ) R ρ ( y ) . Hence, ρ ( x y ) = ρ ( x ) R ρ ( y ) . We assume F ρ ( x ) . Then, x F . By Lemma 9, x g A ( F ) . Then, g A ( F ) ρ ( x ) and so F g A ( ρ ( x ) ) . Then, ρ ( x ) g A ( ρ ( x ) ) . Similarly, g A ( ρ ( x ) ) ρ ( x ) . Hence, ρ ( x ) = g A ( ρ ( x ) ) . Therefore, ρ is an injective DH-homomorphism. □

4. De Morgan Heyting Logics

We let V a r = { p i : i < ω } be a denumerable set of variables. The language of De Morgan Heyting logic is the intuitionistic propositional language with De Morgan negation ∼.
Definition 4. 
The DH-formula algebra L DH is defined inductively as follows:
L DH φ : : = p φ ( φ 1 φ 2 ) ( φ 1 φ 2 ) ( φ 1 φ 2 ) , where p V a r .
Formulas in V a r { } are called atomic. We let ¬ φ : = φ (intuitionistic negation), : = ¬ and φ ψ : = ( φ ψ ) ( ψ φ ) (equivalence).
The complexity of a DH-formula φ , denoted by c ( φ ) , is defined as the number of occurrences of unary or binary operators in φ . We let Sf ( φ ) be the set of all subformulas of φ . For a set of formulas Σ , we let Sf ( Σ ) = φ Σ Sf ( φ ) . We let v a r ( φ ) be the set of all variables appearing in φ . We let φ ( p 1 , , p n ) be the DH-formula φ such that v a r ( φ ) { p 1 , , p n } . A substitution is a homomorphism s : L DH L DH on the DH-formula algebra. We let φ s be the DH-formula by applying the substitution s to φ . We let φ ( ψ 1 / p 1 , , ψ n / p n ) be the DH-formula obtained from φ by substituting ψ i for p i (with 1 i n ) in φ . We let φ ( ψ / χ ) be the DH-formula obtained by replacing one or more occurrences of χ Sf ( φ ) with ψ .
Definition 5. 
A De Morgan Heyting logic (“DH-logic” for short) is a set of DH-formulas L satisfying the following conditions:
( Int ) every instance of intuitionistic propositional logic belongs to L.
( M 1 ) L .
( M 2 ) p p L .
( M 3 ) ( p q ) p q L .
( M 4 ) ( p q ) p q L .
( MP ) if  φ L and φ ψ L , then ψ L .
( CP ) if  φ ψ L , then ψ φ L .
( Sub ) if  φ L , then φ s L for every substitution s.
A DH formula φ is a theorem of a DH-logic L (notation: L φ ) if φ L . A DH formula φ is L-derivable from a set of DH formulas Γ (notation: Γ L φ ) if there exists a finite subset Δ Γ with L Δ φ . We note that Δ is the conjunction of all DH formulas in Δ . In particular, we let = . A set of DH formulas Γ is L-consistent if Γ L . A DH logic L 1 is a sublogic of L 2 (or L 2 is an extension of L 1 ) if L 1 L 2 .
Lemma 10. 
For every DH-logic L, the following hold:
(1)
φ , Γ L ψ if and only if Γ L φ ψ .
(2)
L φ ψ if and only if L ψ φ .
(3)
if L ψ χ , then L φ φ ( ψ / χ ) .
(4)
L ( φ ψ ) ( φ ψ ) .
(5)
L φ ( ψ χ ) if and only if L φ ψ χ .
Proof. 
Clearly, (1) holds by the definition. By (CP) and (M2), we obtain (2). For (3), we assume L ψ χ . The case φ = ψ is trivial. We suppose ψ Sf ( φ ) { φ } . The proof proceeds by induction on c ( φ ) . We suppose φ = δ . By induction hypothesis, L δ δ ( ψ / χ ) . By (CP), L δ δ ( ψ / χ ) . We suppose φ = φ 1 φ 2 for { , , } . We obtain L φ φ ( ψ / χ ) by induction hypothesis and (Int). For (4), by (Int), L ψ φ ( φ ψ ) . By (CP), L ( φ ( φ ψ ) ) ψ . By (M4), (M2) and (3), L φ ( φ ψ ) ψ . By (Int), L ( φ ψ ) ( φ ψ ) . Item (5) holds by (Int). □
We let { L i : i I } be a family of DH-logics. Intersection i I L i is a DH-logic. We let Γ be a set of DH formulas and L a DH-logic. The DH-logic generated by Γ over L is defined as L Γ = { L : L is a DH - logic and L Γ L } . If Γ = { φ 1 , , φ n } , we write L φ 1 φ n for L Γ . The minimal DH-logic is denoted by J . We note that J is axiomatized by axioms (Int), (M1), all instances of (M2)– M4) and rules (MP) and (CP) in Definition 5. For every DH-logic L, the set of all extensions of L is denoted by Ext ( L ) . Clearly, Ext ( L ) , , forms a complete lattice.
Definition 6. 
We let A = ( A , ) be a DH-algebra. A valuation in A is a homomorphism σ : F A . A DH formula φ is valid in A (notation: A φ ) if σ ( φ ) = 1 for every valuation σ in A . We let K be a class of DH-algebras. A DH formula φ is valid in K (notation: K φ ) if A φ for every A K . The logic of K is defined as the set of DH formulas Log ( K ) = { φ F : K φ } . For a set of DH formulas Σ, we let Alg ( Σ ) be the variety of DH-algebras validating all DH formulas in Σ.
For every DH-logic L, relation θ L = { φ , ψ : L φ ψ } is a congruence on DH formula algebra F . Quotient algebra A L = ( F / θ L , , , , , 0 ) is called the Tarski–Lindenbaum algebra for L. Clearly, A L Alg ( L ) . We let [ φ ] L be the equivalence class of φ module θ L . Clearly, [ φ ] L [ ψ ] L if and only if L φ ψ .
Lemma 11. 
For every DH-logic L, L φ if and only if Alg ( L ) φ .
Proof. 
All axioms of J are valid and all rules of J preserve validity in DH . Then, L Log ( Alg ( L ) ) . We assume L φ . Then, [ φ ] L [ ] L . We let σ be the valuation in A L such that σ ( p ) = [ p ] L for all p V a r . Then, σ ( χ ) = [ χ ] L for all χ F . Then, σ ( φ ) [ ] L . Hence, A L φ . By A L Alg ( L ) , we have Alg ( L ) φ . □
A model is a tuple M = ( F , V ) where F is a DM frame and V is a valuation in F + . A DH formula φ is true at w in a model M (notation: M , w φ ) if w V ( φ ) . We write w φ if no confusion arises from the context. A DH formula φ is true in M (notation: M φ ) if V ( φ ) = W . A DH formula φ is valid in a DM frame F (notation: F φ ) if F + φ . For a set of DH-formulas Γ , we let F Γ denote that F φ for all φ Γ . We let Fr ( Γ ) = { F : F Γ } . We note that Fr ( J ) is the class of all DM-frames. For a class of DM-frames C , we let C + = { F + : F C } . DH formula φ is valid in C (notation: C φ ) if C + φ . We let Th ( C ) = { φ F : C φ } be the DH theory of C . DH-logic L is Kripke complete if L = Th ( Fr ( L ) ) .
Theorem 5. 
For every DH formula φ, J φ if and only if Fr ( J ) φ . Hence, J = Log ( DH ) .
Proof. 
Clearly, F φ for all φ Int and DM frame F . We assume J φ . By Lemma 11, A φ for some DH-algebra A . By Theorem 4 (2), ( A + ) + φ . Hence, Fr ( J ) φ . □
For proving the Kripke completeness of some DH-logics, it is useful to define the canonical model for a DH-logic. We let L be a DH-logic. A set of DHcformulas Γ is an L theory if Γ is closed under L , i.e., if Γ L φ , then φ Γ . We let T ( L ) be the set of all L-theories. A consistent L-theory Γ is prime if φ ψ Γ implies φ Γ or ψ Γ . We let T p ( L ) be the set of all prime L theories. A set of DH formulas Σ is a counter L theory if φ L ψ 1 ψ n for some ψ 1 , , ψ n Σ implies φ Σ . We let T c ( L ) be the set of all counter-L theories. A consistent counter-L theory Σ is prime if φ ψ Σ implies φ Σ or ψ Σ . We let T p c ( L ) be the set of all prime counter L-theories. For a set of DH-formulas Θ , the L theory and the counter-L theory generated by Θ are denoted by [ Θ ) L and ( Θ ] L , respectively. If Θ = { φ } , we write [ φ ) L and ( φ ] L for [ { φ } ) L and ( { φ } ] L , respectively.
Fact 2. 
We let Γ T p ( L ) and Σ T p c ( L ) . The following hold for all φ , ψ F :
(1)
φ ψ Γ if and only if φ Γ and ψ Γ .
(2)
φ ψ Γ if and only if φ Γ or ψ Γ .
(3)
φ ψ Σ if and only if φ Σ or ψ Σ .
(4)
φ ψ Σ if and only if φ Σ and ψ Σ .
(5)
φ Γ if and only if φ Γ .
(6)
φ Δ if and only if φ Δ .
Proof. 
These biconditions are obtained by the definition of prime L theory and counter-L theory. Details of proof are omitted. □
Lemma 12. 
We let Γ T ( L ) and Σ T c ( L ) . Then, the following hold:
(1)
if Ξ L ψ , then there exists Δ T p ( L ) such that Ξ Δ and ψ Δ .
(2)
Σ T p c ( L ) if and only if Σ ¯ T p ( L ) .
(3)
φ ( Γ ] L if and only if φ Γ .
(4)
Γ T p ( L ) if and only if ( Γ ] L T p c ( L ) .
Proof. 
For (1), we assume Ξ L ψ . Then, [ Ξ ) L is a consistent L theory and ψ [ Ξ ) L . We let X = { Θ T ( L ) : Ξ Θ & ψ Θ } . Then, [ Ξ ) L X . By Zorn’s lemma, there exists a ⊆-maximal element Δ X . Clearly, Δ is prime. For (2), we assume Σ T p c ( L ) . Then, Σ and so Σ ¯ . We suppose φ 1 φ n L ψ and φ 1 , , φ n Σ ¯ . Then, φ 1 φ n Σ and so ψ Σ ¯ . We suppose φ ψ Σ ¯ . Then, φ Σ ¯ or ψ Σ ¯ . Hence, Σ ¯ T p ( L ) . The other direction is shown similarly. For (3), we assume φ ( Γ ] L . Then, there exist ψ 1 , , ψ n Γ such that φ L ψ 1 ψ n . Then, ψ 1 ψ n L φ . Hence, φ Γ . We assume φ Γ . Then, φ Γ . By φ L φ , we have φ ( Γ ] L . For (4), we assume Γ T p ( L ) . We suppose ( Γ ] L . Then, Γ and so Γ which contradicts the assumption. Hence, ( Γ ] L . We suppose φ L ψ 1 ψ n and ψ 1 , , ψ n ( Γ ] L . By (3), ψ 1 , , ψ n Γ and so ( ψ 1 ψ n ) = ψ 1 ψ n Γ . Clearly, ( ψ 1 ψ n ) L φ . Then, φ Γ . By (3), φ ( Γ ] L . We suppose χ 1 χ 2 ( Γ ] L . By (3), χ 1 χ 2 = ( χ 1 χ 2 ) Γ . Then, χ 1 Γ or χ 2 Γ . By (3), χ 1 ( Γ ] L or χ 2 ( Γ ] L . Hence, ( Γ ] L T p c ( L ) . We assume ( Γ ] L T p c ( L ) . We suppose χ 1 χ 2 Γ . Then ( χ 1 χ 2 ) Γ . By χ 1 χ 2 L ( χ 1 χ 2 ) , we have χ 1 χ 2 ( Γ ] L . Then, χ 1 ( Γ ] L or χ 2 ( Γ ] L . By (3), χ 1 Γ or χ 2 Γ . Since Γ T ( L ) , we have χ 1 Γ or χ 2 Γ . Hence, Γ T p ( L ) . □
Definition 7. 
We let L be a DH-logic. The canonical frame for L is defined as F L = ( T p ( L ) , , g L ) , where g L is the map given by setting g L ( Γ ) = ( Γ ] ¯ L for every Γ T p ( L ) . We let V L be the valuation in F L such that V L ( p ) = { Γ T p ( L ) : p Γ } for each p V a r . We call M L = ( F L , V L ) the canonical model for L. A DH-logic L is called canonical if F L L .
We let L be a DH-logic. By Lemma 12 (2) and (4), g L ( Γ ) T p ( L ) for every Γ T p ( L ) . It follows that g L is a function. The following lemma proves that g L is an antitone involution.
Lemma 13. 
For all Γ , Δ T p ( L ) , the following hold:
(1)
φ g L ( Γ ) if and only if φ Γ .
(2)
g L ( g L ( Γ ) ) = Γ .
(3)
if Γ Δ , then g L ( Δ ) g L ( Γ ) .
Proof. 
Clearly, (1) follows from Lemma 12 (3). For (2), by (1), φ g L ( g L ( Γ ) ) if and only if φ g L ( Γ ) if and only if φ Γ . For (3), we assume Γ Δ . Then, ( Γ ] L ( Δ ] L and so g L ( Δ ) g L ( Γ ) . □
Lemma 14. 
For every DH-logic L, M L , Γ φ if and only if φ Γ .
Proof. 
The proof proceeds by induction on c ( φ ) . Case φ V a r { } is trivial. We assume φ = ψ . We suppose M L , Γ ψ . Then, M L , g L ( Γ ) ψ . By induction hypothesis, ψ g L ( Γ ) . By Lemma 13 (1), ψ Γ . We suppose ψ Γ . By Lemma 13 (1), ψ g L ( Γ ) . By induction hypothesis, M L , g L ( Γ ) ψ . Hence, M L , Γ ψ . Cases φ = φ 1 φ 2 and φ = φ 1 φ 2 are shown easily by induction hypothesis. We assume φ = φ 1 φ 2 . We suppose φ 1 φ 2 Γ , Γ Δ and M L , Δ φ 1 . By induction hypothesis, φ 1 Δ . By φ 1 , φ 1 φ 2 L φ 2 , we obtain φ 2 Δ . By induction hypothesis, M L , Δ φ 2 . Hence, M L , Γ φ 1 φ 2 . We suppose φ 1 φ 2 Γ . Then, Γ L φ 1 φ 2 and so φ 1 , Γ L φ 2 . By Lemma 12 (1), there exists Δ T p ( L ) such that φ 1 Δ , Γ Δ and φ 2 Δ . By induction hypothesis, M L , Δ φ 1 and M L , Δ φ 2 . Hence, M L , Γ φ 1 φ 2 . □
Theorem 6. 
Every canonical DH-logic is Kripke complete.
Proof. 
We let L be a DH-logic and F L L . We assume L φ . Then, L φ . By Lemma 12 (1), there exists Γ T p ( L ) with φ Γ . By Lemma 14, M L , Γ φ . Then, F L φ . □
We consider the following DH-logics: B = J p ¬ p , D = J ¬ p p and C = J p p . These characteristic DH-formulas have their corresponding frame conditions.
Lemma 15. 
For every DM-frame F = ( W , , g ) , the following hold:
(1)
F p ¬ p if and only if w = { w } for all w W .
(2)
F p p if and only if g ( w ) = w for all w W .
(3)
F ¬ p p if and only if w g ( w ) for all w W .
Proof. 
Item (1) holds in intuitionistic logic (cf., e.g., [20]). For (2), we assume g ( w ) = w for all w W . We let V be a valuation in F and w W . We suppose w p . Then, g ( w ) p . Hence, F p p . We assume g ( w ) w for some w W . We suppose g ( w ) w . We let V 1 be a valuation in F with V 1 ( p ) = g ( w ) . Then, w p , g ( w ) p and so w p . Hence, w p p . We suppose w g ( w ) . We let V 2 be a valuation in F with V 2 ( p ) = w . Then, w p and g ( w ) p . Then, g ( w ) p and so g ( w ) p p . Hence, F p p . For (3), we assume w g ( w ) for all w W . We let V be a valuation in F and w W . We suppose w ¬ p . By assumption, we let w u and g ( w ) u . Then, u p . By g ( w ) u , we obtain g ( w ) p and so w p . Hence, w ¬ p p . Conversely, we assume F ¬ p p . We let w W and U be a valuation in F such that U ( p ) = g ( w ) . Then, g ( w ) p and so w p . Then, w ¬ p and so w u and u p . Clearly, g ( w ) u . Hence, w g ( w ) . □
Example 2. 
We consider DM frames F 1 , F 2 and G where the domain of points, partial order and involution are given in the following diagrams:
Mathematics 12 00146 i002
By Lemma 15, F 1 Fr ( B ) Fr ( C ) and G Fr ( C ) . Clearly, F 1 Fr ( D ) and F 2 Fr ( B ) . We show F 2 Fr ( D ) Fr ( C ) . Clearly, F 2 Fr ( C ) . We have u 3 u 0 g 2 ( u 0 ) and u 3 u 3 g 2 ( u 3 ) . By u 1 u 3 and g ( u 1 ) = u 2 u 3 , we obtain u 3 u 1 g 2 ( u 1 ) . Similarly, u 3 u 2 g 2 ( u 2 ) . Thus, F 2 Fr ( D ) .
A DH-logic L 1 is a proper sublogic of L 2 (or L 2 is a proper extension of L 1 ) (notation: L 1 L 2 ) if L 1 L 2 and L 1 L 2 . We say that L 1 is incomparable with L 2 (notation: L 1 L 2 ) if L 1 L 2 and L 2 L 1 . We use the interval [ L 1 , L 2 ] for the set of DH-logics { L : L 1 L L 2 } . Similarly, we let ( L 1 , L 2 ) = { L : L 1 L L 2 } .
Lemma 16. 
C = J p ¬ p .
Proof. 
We let L = J p ¬ p . Clearly, C p p . By (CP), C ( p p ) . By (M2) and (M4), C p p . Then, C p ¬ p . Combined with C p p , we obtain C p ¬ p . By (Int), we obtain C φ ψ ( ¬ φ ψ ) since the excluded middle law p ¬ p holds in C . By C p p , we obtain C ¬ p p . Hence, C p ¬ p . Now, by J ¬ ( p ¬ p ) and Lemma 10 (3) and (Sub), L ( p p ) . By (M2) and (M3), L p p . □
Proposition 3. 
The DH-logics B , D ( J , C ) and B D (Figure 1).
Proof. 
By the proof of Lemma 16, B , D [ J , C ] . Clearly, Fr ( J ) Fr ( B ) and Fr ( J ) Fr ( D ) . Hence, J B and J D . By DM frames in Example 2, we have B C and D C . Hence, B , D ( J , C ) . Moreover, F 1 Fr ( D ) and F 2 Fr ( B ) . Hence, B D . □
Theorem 7. 
The DH-logics B , D and C are Kripke complete.
Proof. 
By Theorem 6, it suffices to show that canonical frames for these DH-logics belong to their DM frames, respectively. For B , by Lemma 15 (1), it suffices to show Γ = { Γ } for every Γ in F B . We assume Γ Δ . We suppose φ Δ Γ . By B φ ¬ φ , we have φ ¬ φ Γ . Then, ¬ φ Γ and so ¬ φ Δ . Then, φ ¬ φ Δ and so Δ , which contradicts the consistency of Δ . Hence, Δ Γ and so Δ = Γ . For D , by Lemma 15 (1), it suffices to show Γ g D ( Γ ) for every Γ in F D . We consider the D theory Σ = [ Γ g D ( Γ ) ) D . We note that Γ and g D ( Γ ) are closed under taking ∧. We suppose Σ . Then, there exist φ Γ and ψ g D ( Γ ) such that D φ ψ . Then, D φ ¬ ψ . By D ¬ ψ ψ , we have D φ ψ . By ψ g D ( Γ ) and Lemma 13 (1), ψ Γ . Then, φ Γ , which contradicts φ Γ . Hence, Σ . Then, there exists G T p ( D ) with Σ G . Then, G Γ g D ( Γ ) . For C , by Lemma 15 (2), it suffices to show g C ( Γ ) = Γ for every Γ in F C . Clearly, g C ( Γ ) = ( Γ ] ¯ C . We assume φ g C ( Γ ) . By Lemma 13 (1), φ Γ . Since φ φ Γ , we have φ Γ . We assume φ g C ( Γ ) . Then, φ ( Γ ] C . By Lemma 12 (3), φ Γ . By Lemma 16, ¬ φ Γ . We suppose φ Γ . Then, φ ¬ φ Γ . Clearly, φ ¬ φ C . Then, Γ which contradicts Γ T p ( C ) . Hence, φ Γ . It follows that g C ( Γ ) = Γ . □
A DH-logic L is finitely approximable if for every φ L there exists a finite DM frame F such that F L and F ¬ φ . Thus, a DH-logic L is finitely approximable if and only if L = Th ( Fr < ω ( L ) ) where Fr < ω ( L ) is the set of all finite members in Fr ( L ) . Now, we extend the Lemmon-filtration method to show the finite approximability of some DH-logics.
A set of DH formulas Σ is DH-closed if Σ = { n φ : φ Sf ( Σ ) & n 0 } . For every set of DH-formulas Θ , we let Θ c be the minimal DH-closed set of formulas containing Θ . We note that Θ c is obtained from Θ by taking subformulas and operation ∼.
Definition 8. 
We let Σ be a DH-closed set of DH formulas and M = ( W , , g , V ) a DM model. The equivalence relation Σ on W is defined as follows:
w Σ u   if   and   only   if   φ Σ ( w V ( φ ) u V ( φ ) ) .
We let [ w ] Σ = { u W : w Σ u } for each w W . We let W Σ = { [ w ] Σ : w W } . The filtration of M through Σ is defined as structure M Σ = ( W Σ , Σ , g Σ , V Σ ) where
( C 1 )
g Σ ( [ w ] Σ ) = [ g ( w ) ] Σ for each w W .
( C 2 )
[ w ] Σ Σ [ u ] Σ if and only if φ Σ ( w V ( φ ) u V ( φ ) ) .
( C 3 )
V Σ ( p ) = { [ w ] Σ W Σ : w V ( p ) } for each p V a r .
We let F Σ = ( W Σ , Σ , g Σ ) which is the underlying frame of M Σ .
We note that g Σ is a function on W Σ . We assume u [ w ] Σ , i.e., w Σ u . We suppose φ Σ and g ( w ) V ( φ ) . Then, w V ( φ ) . Since Σ is closed under ∼, we have φ Σ . By assumption, u V ( φ ) . Then, g ( u ) V ( φ ) . Similarly, g ( u ) V ( φ ) implies g ( w ) V ( φ ) . Then, g ( w ) Σ g ( u ) and so [ g ( w ) ] Σ = [ g ( u ) ] Σ . Hence, g Σ is a function. Moreover, if w u , then clearly [ w ] Σ Σ [ u ] Σ .
Lemma 17. 
Filtration M Σ = ( W Σ , Σ , g Σ , V Σ ) is a DM model.
Proof. 
Clearly, Σ is a partial order on W Σ . For every w W , g Σ ( g Σ ( [ w ] Σ ) ) = [ g ( g ( w ) ) ] Σ = [ w ] Σ . Hence, g Σ is an involution. We assume [ w ] Σ Σ [ u ] Σ . We suppose φ Σ and g ( u ) V ( φ ) . Then, u V ( φ ) . Clearly, φ Σ . By assumption, w V ( φ ) and so g ( w ) V ( φ ) . Then, [ g ( u ) ] Σ Σ [ g ( w ) ] Σ . Hence, g Σ is antitone. We assume [ w ] Σ V Σ ( p ) and [ w ] Σ Σ [ u ] Σ . Then, w V ( p ) . By (C2), u V ( p ) , and so [ u ] Σ V Σ ( p ) . Hence, V Σ is a valuation in F Σ . □
We say that Σ is finitely based in M if there exists a finite subset Δ Σ such that for every φ Σ there exists ψ Δ with V ( φ ) = V ( ψ ) . Such subset Δ is called a finite base for Σ in M . We note that, in this case, | W Σ | 2 | Δ | , and so M Σ is finite.
Lemma 18. 
We let Σ be a DH-closed set of DH formulas and M = ( W , , g , V ) a DM model. For every φ Σ and w W , w V ( φ ) if and only if [ w ] Σ V Σ ( φ ) .
Proof. 
The proof proceeds by induction on c ( φ ) . The case of atomic formulas is trivial. We assume φ = ψ . We suppose w V ( ψ ) . Then, g ( w ) V ( ψ ) . By induction hypothesis, [ g ( w ) ] Σ V Σ ( ψ ) and so g Σ ( [ w ] Σ ) V Σ ( ψ ) . Then, [ w ] Σ V Σ ( ψ ) . The other direction is shown similarly. We let φ = φ 1 φ 2 . We assume w V ( φ 1 φ 2 ) . We suppose [ w ] Σ [ u ] Σ and [ u ] Σ V Σ ( φ 1 ) . By induction hypothesis, u V ( φ 1 ) . By [ w ] Σ [ u ] Σ , w V ( φ 1 φ 2 ) and (C2), we obtain u V ( φ 1 φ 2 ) . Then, u V ( φ 2 ) . By induction hypothesis, [ u ] Σ V Σ ( φ 2 ) . Hence, [ w ] Σ V Σ ( φ 1 φ 2 ) . We assume [ w ] Σ V Σ ( φ 1 φ 2 ) . We suppose w u and u V ( φ 1 ) . Then, [ w ] Σ Σ [ u ] Σ . By induction hypothesis, [ u ] Σ V Σ ( φ 1 ) . Then, [ u ] Σ V Σ ( φ 2 ) . By induction hypothesis, u V ( φ 2 ) . Hence, w V ( φ 1 φ 2 ) . The case φ = φ 1 φ 2 or φ 1 φ 2 is shown easily by induction hypothesis. □
Theorem 8. 
The DH-logics J , B and C are finitely approximable.
Proof. 
(1) We sssume φ J . Since J is Kripke complete, there is a DM model M = ( W , , g , V ) such that w V ( φ ) for some w W . We let Σ = { n ψ : ψ Sf ( φ ) & n 0 } . By Lemma 18, [ w ] Σ V Σ ( φ ) . Hence, F Σ φ . Clearly, Δ = Sf ( φ ) { ψ : ψ Sf ( φ ) } is a finite base for Σ in M . Then, F Σ is a finite DM-frame. Clearly, F Σ J . Hence, J is finitely approximable.
(2) We assume φ B . Since B is Kripke complete, there exists a DM frame F = ( W , , g ) such that F B and F φ . We let M = ( F , V ) be a DM model and w V ( φ ) . We consider Θ = Sf ( φ ) { ¬ ψ : ψ Sf ( φ ) } and Σ = Θ c . Then, Θ { χ : χ Θ } is a finite base for Σ in M . By Lemma 18, [ w ] Σ V Σ ( φ ) . Hence, F Σ φ . Now, we show F Σ B . By Lemma 15, it suffices to show [ u ] Σ = { [ u ] Σ } . We suppose [ u ] Σ Σ [ v ] Σ . We suppose ξ Σ and u V ( ξ ) . By F B , we obtain F ξ ¬ ξ . Then, u V ( ¬ ξ ) . Since ¬ ξ Σ , by [ u ] Σ Σ [ v ] Σ , we obtain v V ( ¬ ξ ) . By v v , we obtain v V ( ξ ) . Hence, [ v ] Σ Σ [ u ] . It follows that [ u ] Σ = [ v ] Σ . Then, F Σ B . Hence, B is finitely approximable.
(3) We assume φ C . Since C is Kripke complete, there is a DM frame F = ( W , , g ) such that F C and F φ . We let M = ( F , V ) be a DM model and w V ( φ ) . We let Σ = { n ψ : ψ Sf ( φ ) & n 0 } . By Lemma 18, [ w ] Σ V Σ ( φ ) . Hence, F Σ φ . We let ψ Σ and w V ( ψ ) . Clearly, ψ ψ C . Then, w V ( ψ ) . Then, g ( w ) V ( ψ ) . Then, [ g ( w ) ] Σ Σ [ w ] Σ . We suppose g ( w ) V ( ψ ) . Then, g ( w ) V ( ψ ) and so w V ( ψ ) . Then, [ w ] Σ Σ [ g ( w ) ] Σ . Hence, [ g ( w ) ] Σ = [ w ] Σ . Then, F Σ C and so C is finitely approximable. □
Corollary 3. 
The DH-logics J , B and C are decidable.

5. Conservativity and the Lattice Ext ( J )

We let L I be the set of intuitionistic formulas (“I-formulas” for short) built from V a r by using , , and →. We let F = ( W , ) be an I-frame. We say that (i) a point w W is a root of F if w = W ; and (ii) F is rooted if F has a root. An intuitionistic model (“I-model” for short) is a triple M = ( W , , V ) where ( W , ) is an I-frame and V : V a r U p ( W ) . We write M , w φ if w V ( φ ) . An I-formula φ is valid at w in F (notation: F , w φ ) if F , V , w φ for every valuation V in F . An I-formula φ is valid in F (notation: F φ ) if F , w φ for every w W . We let IF ( Σ ) be the class of all I-frames validating all formulas in Σ . We let IF ρ ( Σ ) be the set of all rooted members in IF ( Σ ) . The I-theory Th ( K ) of a class of I-frames K is the set of all I-formulas valid in every I-frame in K . The intuitionistic logic is defined as Int = { φ L I : F φ for every I - frame F } .
Definition 9. 
A superintuitionistic logic is a set of I-formulas S such that Int S and S is closed under (MP) and (Sub). We let S be a superintuitionistic logic and Σ a set of formulas. The superintuitionistic logic generated by Σ over S is denoted by S Σ . We write Ext ( S ) for the lattice of s.i. logics extending S. We say that S is Kripke complete if S = Th ( IF ( S ) ) . The DH expansion of S, denoted by S δ , is defined as the smallest DH-logic containing S.
We let F = ( W , ) be an I-frame and X W . The subframe of F generated by X is defined as F X = ( X , X ) where X = X 2 . We let M = ( F , V ) be an I-model. The submodel of M generated by X is M X = ( F X , V X ) , where V X ( p ) = V ( p ) X for each p V a r . If X = { w } , we write F w for F { w } , and M w for M { w } . For every u X , the following hold:
M , u φ M X , u φ .
F , u φ F X , u φ .
F φ F X φ .
These preservation results (1)–(3) can be found in, e.g., [20].
Lemma 19. 
A superintuitionistic logic S is Kripke complete if and only if S = Th ( IF ρ ( S ) ) .
Proof. 
The right-to-left direction holds, obviously. We assume S is Kripke complete. Clearly, S Th ( IF ρ ( S ) ) . We suppose φ S . Then, F φ for some I-frame F = ( W , ) . Then, F , w φ for some w W . Then, F w φ . Clearly, F w IF ρ ( S ) . Hence, φ Th ( IF ρ ( S ) ) . □
DH-logic L is a conservative extension of a superintuitionistic logic S (or S is the I-fragment of L) if S = L L I . Next, we prove DH-expansion S δ of a Kripke complete superintuitionistic logic S which preserves expansion is a conservative extension of S.
Definition 10. 
We let W = { w i : i < λ } ( λ > 0 ) and F = ( W , ) be an I-frame with root w 0 W . The expansion of F is defined as the structure F * = ( W W * , * , g ) where
( 1 )
W * = { w i * : 0 < i < λ } ;
( 2 )
* = { w i * , w j * : w i w j & 0 < j i < λ } { w i * , w j : 0 < i < λ & j < λ } ;
( 3 )
function g : W W * W W * is defined as follows:
g ( w i ) = w 0 , if i = 0 . w i * , if i > 0 . g ( w i * ) = w i .
For an I-model M = ( F , V ) , we let M * = ( F * , V ) be the expansion of M .
Expansion F * is obtained from the rooted I-frame F by putting it over the order dual of F such that the root of F coincides the top of its order dual. The resulting involution g links each point in F with its mirror point in the order dual.
Lemma 20. 
If F is a rooted I-frame, then the expansion F * is a DM-frame.
Proof. 
We let W = { w i : i < κ } and F = ( W , ) be an I-frame with root w 0 . Clearly, * is a partial order. If i < κ , then g ( g ( w i ) ) = w i . If 0 < i < κ , then g ( g ( w i * ) ) = w i * . Hence, g is an involution on W W * . If w i w j , then g ( w j ) * g ( w i ) . If w i * * w j * , then w j w i and so g ( w i * ) * g ( w j * ) . We suppose w i * * w j . Then, g ( w j * ) = w j . If j = 0 , then g ( w 0 ) = w 0 and so w 0 * w j . If j > 0 , then g ( w j ) = w j * and so w j * * w 0 * w j . Hence, g is antitone. □
Example 3. 
We let W = { w i : i < 7 } and F = ( W , ) be the I-frame where = { w i , w i , w i , w j : i j < 7 } . The expansion of F is the DM frame given in Figure 2.
Lemma 21. 
We let F = ( W , ) be a rooted I-frame and M = ( F , V ) an I-model. For every I-formula φ L I and w W , the following hold:
( 1 )
M , w φ if and only if M * , w φ .
( 2 )
F , w φ if and only if F * , w φ .
Proof. 
Item (1) is shown regularly by induction on c ( φ ) . We note that the truth of an I-formula at w in M and M * is determined only by w . Moreover, (2) follows from (1). □
A superintuitionistic logic Spreserves expansion if for every roooted I-frame F , F S implies F * S δ . Then, we obtain the following theorem:
Theorem 9. 
We let S be a Kripke complete superintuitionistic logic. If S preserves expansion, then DH expansion S δ is a conservative extension of S.
Proof. 
We assume S preserves expansion. By Lemma 19, S = Th ( Fr ρ ( S ) ) . Clearly, S S δ L I . We suppose φ L I S . Then, there exists a rooted I-frame F = ( W , ) such that F S and F φ . By Lemma 21, F * φ . By F S and assumpton, F * S δ . Then, φ S δ . Hence, S δ is a conservative extension of S. □
Corollary 4. 
J is a conservative extension of Int .
Proof. 
By Lemma 20, the intuitionistic propositional logic Int preserves expansion. By Theorem 9, J is a conservative extension of Int . □
Let us consider DH-logic C = J p p = J p ¬ p . The classical propositional logic is defined as K = Int p ¬ p .
Lemma 22. 
For every I-formula φ L I , φ C if and only if φ K .
Proof. 
We assume φ K . Clearly, K δ = B and so K B C . Hence, φ C . We assume φ K . Then, there exists substitution s : V a r L I such that φ s K and so ¬ φ s K . Then, ¬ φ s C . We suppose φ C . By (Sub), φ s C which contradicts ¬ φ s C . Hence, φ C . □
Lemma 23. 
For every DH-formula φ, there exists a unique I-formula φ such that C φ φ .
Proof. 
We let φ be a DH formula. By Lemma 10 (3), we replace each subformula ψ Sf ( φ ) with ¬ ψ , and so obtain a unique I-formula φ such that C φ φ . □
DH-logic L is consistent if L . We note that L DH is the only inconsistent DH-logic. Next, we show that every consistent DH-logic belongs to [ J , C ] and hence C is the second largest DH-logic in the lattice Ext ( J ) .
Theorem 10. 
If L is a consistent DH-logic, then L [ J , C ] .
Proof. 
We let L be consistent DH-logics. We suppose C L . Then, there exists ψ such that φ L and φ C . By Lemma 23, we have φ C . By Lemma 22, we obtain φ K . Then, there exists substitution s : V a r L I such that ( φ ) s K . Then, ¬ ( φ ) s K . Then, ¬ ( φ ) s C . By Lemma 23, ¬ φ s C . Then, ¬ φ s L , which contradicts φ L . □
An immediate consequence of Theorem 10 is that C is the unique DH-logic which is post complete, i.e., ⊆-maximal consistent. Let us continue the study on the link between C and J . It is well known ( Glivenko’s theorem [20]) that K is embedded into intuitionistic logic Int via the double negation translation:
( GT ) for   every   φ L I , φ K   if   and   and   if   ¬ ¬ φ Int .
Now, we can extend Glivenko’s theorem to DH-logics C and J . By Lemma 23, there exists a function G : L DH L I where G ( φ ) = ¬ ¬ φ for each φ L DH .
Theorem 11 
(Embedding). For every φ L DH , φ C if and only if G ( φ ) J .
Proof. 
We asume ¬ ¬ φ J . Then ¬ ¬ φ C . Clearly, ¬ ¬ ψ ψ C for every ψ L DH . Hence, φ C . By Lemma 23, φ C . We assume φ C . By Lemma 23, φ C . Since φ L I , by Lemma 22, φ K . By (GT), ¬ ¬ φ Int . By Corollary 4, ¬ ¬ φ J . □

6. A Gentzen Sequent Calculus for B

In this section, we study the proof theory of the DH-logic B = J p ¬ p . This logic can be viewed as a logic merging classical and De Morgan logics. It is Kripke complete but not post complete. We note that DH-algebra ( B , ) is an algebra for B if and only if x ¬ x = 1 . Such a DH-algebra is clearly a Boolean algebra with a De Morgan negation, and we call it a De Morgan Boolean algebra (“DB-algebra” for short).
Lemma 24. 
We let B = ( B , ) be a DB-algebra. Then, ¬ x = ¬ x for all x B .
Proof. 
We let x B . Then, ( x ¬ x ) = 1 = 0 . Then, x ¬ x = 0 . By (Res), ¬ x ¬ x . We assume y ¬ x . By (Res), y x = 0 . Then, ( y x ) = y x = y x = 1 . Then, ¬ x = ¬ x ( y x ) = ( ¬ x y ) ( ¬ x x ) = ¬ x y y . Then, y = y ¬ x . Hence, ¬ x ¬ x . It follows that ¬ x = ¬ x . □
Corollary 5. 
B ¬ φ ¬ φ .
Now, we establish a Gentzen sequent calculus for DH-logic B . The basics of Gentzen sequent calculus for classical and intuitionistic logics can be found in, e.g., [21]. For the simplicity of formulation, we consider the set of DH formulas built from variables in V a r using the connectives , ¬ , , and ∼. Thus, we use abbreviation φ ψ : = ¬ φ ψ . A sequent is expression Γ Δ where Γ and Δ are a finite (possibly empty) multiset of formulas. We use s , t , etc., for sequents. Sequent rule ( R ) is expression
s 1 s n s 0 ( R ) ,
where s 1 , , s n are the premisses and s 0 is the conclusion of ( R ) .
Definition 11. 
Sequent calculus GB consists of the following initial sequents and rules:
( 1 )
Initial sequents:
( Id 1 ) p , Γ Δ , p ( Id 2 ) p , Γ Δ , p ( ) , Γ Δ ( ) Γ Δ , .
( 2 )
Logical rules:
Γ Δ , φ ¬ φ , Γ Δ ( ¬ ) φ , Γ Δ Γ Δ , ¬ φ ( ¬ )
Γ Δ , φ ¬ φ , Γ Δ ( ¬ ) φ , Γ Δ Γ Δ , ¬ φ ( ¬ )
φ , ψ , Γ Δ φ ψ , Γ Δ ( ) Γ Δ , φ Γ Δ , ψ Γ Δ , φ ψ ( )
φ , Γ Δ ψ , Γ Δ ( φ ψ ) , Γ Δ ( ) Γ Δ , φ , ψ Γ Δ , ( φ ψ ) ( )
φ , Γ Δ ψ , Γ Δ φ ψ , Γ Δ ( ) Γ Δ , φ , ψ Γ Δ , φ ψ ( )
φ , ψ , Γ Δ ( φ ψ ) , Γ Δ ( ) Γ Δ , φ Γ Δ , ψ Γ Δ , ( φ ψ ) ( )
φ , Γ Δ φ , Γ Δ ( ) Γ Δ , φ Γ Δ , φ ( )
The formula with connectives in the below sequent of a logical rule is called principal. A derivation in GB is a finite tree of sequents in which each node is either an initial sequent or derived from child node(s) by a rule. We use D , E , etc., for derivations. The height of derivation D , denoted by | D | , is the maximal length of branches in D . A single node derivation has height 0. Sequent s is derivable in GB (notation: GB s ) if there exists a derivation in GB with root node s. For every n 0 , we use GB n s for s that has a derivation in GB with a height of at most n. Sequent rule ( R ) with premisses s 1 , , s n and conclusion s 0 is admissible in GB if GB s 0 whenever GB s i for each 1 i n . Sequent rule ( R ) with premisses s 1 , , s n and conclusion s 0 is height-preserving admissible in GB if for every k 0 , GB k s 0 whenever GB k s i for each 1 i n . Prefix GB is omitted if no confusion arises from the context.
Lemma 25. 
For every formula φ, GB φ , Γ Δ , φ .
Proof. 
The proof proceeds by induction on c ( φ ) . Case φ V a r { } is trivial. Cases φ = φ 1 φ 2 for { , } are easily shown by induction hypothesis. We suppose φ = ¬ ψ . We obtain ¬ ψ , Γ Δ , ¬ ψ by induction hypothesis and rules ( ¬ ) and ( ¬ ) . We let φ = ψ . The proof proceeds by subinduction on c ( ψ ) . Case ψ V a r { } is trivial. We suppose ψ = ¬ χ . By induction hypothesis, χ , Γ Δ , χ . By ( ¬ ) and ( ¬ ) , ¬ χ , Γ Δ , ¬ χ . We suppose ψ = χ . By induction hypothesis, χ , Γ Δ , χ . By ( ) and ( ) , χ , Γ Δ , χ . We suppose ψ = ψ 1 ψ 2 . By induction hypothesis, ψ i , Γ Δ , ψ i for i = 1 , 2 . By ( ) and ( ) , ( ψ 1 ψ 2 ) , Γ Δ , ( ψ 1 ψ 2 ) . Case ψ = ψ 1 ψ 2 is shown similarly. □
Lemma 26. 
The following rules of weakening are height-preserving admissible in GB :
Γ Δ φ , Γ Δ ( Wk ) Γ Δ Γ Δ , φ ( Wk )
Proof. 
We assume k Γ Δ . We show k φ , Γ Δ and k Γ Δ , φ simultaneously by induction on k 0 . We suppose k = 0 . Then, Γ Δ is an initial sequent and so both φ , Γ Δ and Γ Δ , φ are initial sequents. We let k > 0 and Γ Δ be derived by a rule ( R ) . We obtain k φ , Γ Δ and k Γ Δ , φ by induction hypothesis and the rule ( R ) . For example, we let ( R ) be ( ¬ ) . We let the premise and conclusion of ( R ) be k 1 Γ Δ , χ and k ¬ χ , Γ Δ . By induction hypothesis, k 1 φ , Γ Δ , χ and k 1 Γ Δ , χ , φ . By ( ¬ ) , k φ , ¬ χ , Γ Δ and k ¬ χ , Γ Δ , φ . □
Lemma 27. 
For every k 0 , the following hold in GB :
( 1 )
if k ¬ φ , Γ Δ , then k Γ Δ , φ .
( 2 )
if k Γ Δ , ¬ φ , then k φ , Γ Δ .
( 3 )
if k ¬ φ , Γ Δ , then k Γ Δ , φ .
( 4 )
if k Γ Δ , ¬ φ , then k φ , Γ Δ .
( 5 )
if k φ ψ , Γ Δ , then k φ , ψ , Γ Δ .
( 6 )
if k Γ Δ , φ ψ , then k Γ Δ , φ and k Γ Δ , ψ .
( 7 )
if k ( φ ψ ) , Γ Δ , then k φ , Γ Δ and k ψ , Γ Δ .
( 8 )
if k Γ Δ , ( φ ψ ) , then k Γ Δ , φ , ψ .
( 9 )
if k φ ψ , Γ Δ , then k φ , Γ Δ and k ψ , Γ Δ .
( 10 )
if k Γ Δ , φ ψ , then k Γ Δ , φ , ψ .
( 11 )
if k ( φ ψ ) , Γ Δ , then k φ , ψ , Γ Δ .
( 12 )
if k Γ Δ , ( φ ψ ) , then k Γ Δ , φ and k Γ Δ , ψ .
( 13 )
if k φ , Γ Δ , then k φ , Γ Δ .
( 14 )
if k Γ Δ , φ , then k Γ Δ , φ .
Proof. 
The proof proceeds by induction on k 0 . Here, we prove only (3), and other items are shown similarly. Case k = 0 is trivial. We let k > 0 and ¬ φ , Γ Δ be derived by rule ( R ) . If ¬ φ is principal in ( R ) , then k 1 Γ Δ , φ and so k Γ Δ , φ . We suppose ¬ φ is not principal in ( R ) . We obtain k Γ Δ , φ by induction hypothesis and rule ( R ) . For example, we let ( R ) be ( ) with premisses k 1 ψ 1 , ¬ φ , Γ Δ and k 1 ψ 2 , ¬ φ , Γ Δ , and conclusion k ( ψ 1 ψ 2 ) , ¬ φ , Γ Δ . By induction hypothesis, k 1 ψ 1 , Γ Δ , φ and k 1 ψ 2 , Γ Δ , φ . By ( ) , k ( ψ 1 ψ 2 ) , Γ Δ , φ . Other cases are shown similarly. □
Lemma 28. 
The following rules of contraction are height-preserving admissible in GB :
φ , φ , Γ Δ φ , Γ Δ ( Ctr ) Γ Δ , φ , φ Γ Δ , φ ( Ctr )
Proof. 
We assume k φ , φ , Γ Δ and k Γ Δ , φ , φ . We show k φ , Γ Δ and k Γ Δ , φ simultaneously by induction on k 0 . Case k = 0 is trivial. We let k > 0 and the premisses be obtained by rule ( R ) . If φ is not principal in ( R ) , we obtain k φ , Γ Δ and k Γ Δ , φ by induction hypothesis and rule ( R ) . We suppose φ is principal in ( R ) . The proof proceeds by induction on c ( φ ) . We have the following cases:
(1) φ = ¬ ψ . Then, k 1 ¬ ψ , Γ Δ , ψ and k 1 ψ , Γ Δ , ¬ ψ . By Lemma 27 (1) and (2), k 1 Γ Δ , ψ , ψ and k 1 ψ , ψ , Γ Δ . By induction hypothesis, k Γ Δ , ψ and k ψ , Γ Δ . By ( ¬ ) and ( ¬ ) , k ¬ ψ , Γ Δ and k Γ Δ , ¬ ψ .
(2) φ = φ 1 φ 2 . Then, (i) k 1 φ 1 , φ 2 , φ 1 φ 2 , Γ Δ ; (ii) k 1 Γ Δ , φ 1 φ 2 , φ 1 ; and (iii) k 1 Γ Δ , φ 1 φ 2 , φ 2 . By (i) and Lemma 27 (5), k 1 φ 1 , φ 2 , φ 1 , φ 2 , Γ Δ . By induction hypothesis, k 1 φ 1 , φ 2 , Γ Δ . By ( ) , k φ 1 φ 2 , Γ Δ . By (ii), (iii) and Lemma 27 (6), k 1 Γ Δ , φ 1 , φ 1 and k 1 Γ Δ , φ 2 , φ 2 . By induction hypothesis, k 1 Γ Δ , φ 1 and k 1 Γ Δ , φ 2 . By ( ) , k Γ Δ , φ 1 φ 2 .
(3) φ = φ 1 φ 2 . Then, (i) k 1 φ 1 , φ 1 φ 2 , Γ Δ ; (ii) k 1 φ 2 , φ 1 φ 2 , Γ Δ ; and (iii) k 1 Γ Δ , φ 1 φ 2 , φ 1 , φ 2 . By (i), (ii) and Lemma 27 (9), k 1 φ 1 , φ 1 , Γ Δ and k 1 φ 2 , φ 2 , Γ Δ . By induction hypothesis, k 1 φ 1 , Γ Δ and k 1 φ 2 , Γ Δ . By ( ) , k φ 1 φ 2 , Γ Δ . By (iii) and Lemma 27 (10), k 1 Γ Δ , φ 1 , φ 2 , φ 1 , φ 2 . By induction hypothesis, k 1 Γ Δ , φ 1 , φ 2 . By ( ) , k Γ Δ , φ 1 φ 2 .
(4) φ = ψ . The proof proceeds by subinduction on c ( ψ ) . We suppose ψ = ¬ χ . Then, k 1 ¬ χ , Γ Δ , χ and k 1 χ , Γ Δ , ¬ χ . By Lemma 27 (3) and (4), k 1 Γ Δ , χ , χ and k 1 χ , χ , Γ Δ . By induction hypothesis, k 1 Γ Δ , χ and k 1 χ , Γ Δ . By ( ¬ ) and ( ¬ ) , k ¬ χ , Γ Δ and k Γ Δ , ¬ χ . We suppose ψ = ψ 1 ψ 2 . Then (i) k 1 ψ 1 , ( ψ 1 ψ 2 ) , Γ Δ ; (ii) k 1 ψ 2 , ( ψ 1 ψ 2 ) , Γ Δ ; and (iii) k 1 Γ Δ , ( ψ 1 ψ 2 ) , ψ 1 , ψ 2 . By (i), (ii) and Lemma 27 (3) and (4), k 1 ψ 1 , ψ 1 , Γ Δ and k 1 ψ 2 , ψ 2 , Γ Δ . By induction hypothesis, k 1 ψ 1 , Γ Δ and k 1 ψ 2 , Γ Δ . By ( ) , k ( ψ 1 ψ 2 ) , Γ Δ . By (iii) and Lemma 27 (8), k 1 Γ Δ , ψ 1 , ψ 2 , ψ 1 , ψ 2 . By induction hypothesis, k 1 Γ Δ , ψ 1 , ψ 2 . By ( ) , k Γ Δ , ( ψ 1 ψ 2 ) . Case ψ = ψ 1 ψ 2 is shown similarly. We suppose ψ = χ . Then, k 1 χ , χ , Γ Δ and k 1 Γ Δ , χ , χ . By Lemma 27 (13) and (14), k 1 χ , χ , Γ Δ and k 1 Γ Δ , χ , χ . By induction hypothesis, k 1 χ , Γ Δ and k 1 Γ Δ , χ . By ( ) and ( ) , k χ , Γ Δ and k Γ Δ , χ . □
Lemma 29. 
The following hold in GB :
( 1 )
if Γ Δ , , then Γ Δ , Σ .
( 2 )
if , Γ Δ , then Σ , Γ Δ .
Proof. 
For (1), we assume k Γ Δ , . We prove Γ Δ , Σ by induction on k 0 . Case k = 0 is trivial. We let k > 0 and Γ Δ , be derived by rule ( R ) . We obtain Γ Δ , Σ by induction hypothesis and rule ( R ) . For example, we let ( R ) be ( ¬ ) with premise k 1 Γ Δ , , φ and conclusion k ¬ φ , Γ Δ , . By induction hypothesis, k 1 Γ Δ , Σ , φ . By ( ¬ ) , ¬ φ , Γ Δ , Σ . Other cases are shown similarly. We note that the proof of (2) is similar. □
Theorem 12. 
The following rule (Cut) is admissible in GB :
Γ Δ , α α , Σ Θ Γ , Σ Δ , Θ ( Cut )
Proof. 
We assume m Γ Δ , α and n α , Σ Θ . We prove Γ , Σ Δ , Θ by induction on the cut height m + n and subinduction on c ( α ) .
We assume m = 0 or n = 0 . We suppose m = 0 . Then, Γ Δ , α is an initial sequent. If Γ Δ is an initial sequent, so is the conclusion of (Cut). We suppose α Γ . Then, we obtain Γ , Σ Δ , Θ from the right premiss of (Cut) by ( Wk ) . We suppose α = . By the right premiss of (Cut) and Lemma 29 (2), we obtain Γ , Σ Δ , Θ . We suppose n = 0 . Then, α , Σ Θ is an initial sequent. If Σ Θ is an initial sequent, so is the conclusion of (Cut). If α Θ , then we obtain Γ , Σ Δ , Θ from the left premiss of (Cut) by ( Wk ) . We suppose α = . By the left premiss of (Cut) and Lemma 29 (1), we obtain Γ , Σ Δ , Θ .
We assume m > 0 and n > 0 . We let the left and right premisses of (Cut) be obtained by rules ( R 1 ) and ( R 2 ) , respectively. We have the following cases:
  • α is not principal in ( R 1 ) . We apply (Cut) to the premiss(es) of ( R 1 ) and n α , Σ Θ , and then apply ( R 1 ) . For example, we let ( R 1 ) be ( ) and the derivation ends with
    φ , Γ Δ , α ψ , Γ Δ , α ( φ ψ ) , Γ Δ , α ( )
    By induction hypothesis, we have the following derivation:
    Mathematics 12 00146 i003
    Other cases are shown similarly.
  • α is principal only in ( R 1 ) . We apply (Cut) to m Γ Δ , α and the premis(es) of ( R 2 ) , and then apply ( R 2 ) . For example, we let ( R 2 ) be ( ) and the derivation ends with
    φ , α , Σ Θ ψ , α , Σ Θ ( φ ψ ) , α , Σ Θ ( )
    By induction hypothesis, we have the following derivation:
    Mathematics 12 00146 i004
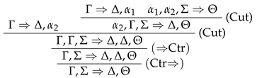
    Other cases are shown similarly.
  • α is principal in both ( R 1 ) and ( R 2 ) . The proof proceeds by induction on c ( α ) . We have the following cases:
    (a)
    α = α 1 α 2 and the derivations end with
    Γ Δ , α 1 Γ Δ , α 2 Γ Δ , α 1 α 2 ( ) α 1 , α 2 , Σ Θ α 1 α 2 , Σ Θ ( )
    By induction hypothesis, we have the following derivation:
    Mathematics 12 00146 i005
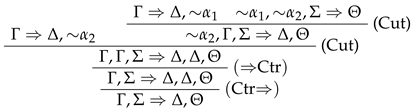
    (b)
    α = α 1 α 2 and the derivations end with
    Γ Δ , α 1 , α 2 Γ Δ , α 1 α 2 ( ) α 1 , Σ Θ α 2 , Σ Θ α 1 α 2 , Σ Θ ( )
    By induction hypothesis, we have the following derivation:
    Mathematics 12 00146 i006
    (c)
    α = ¬ β and the derivations end with
    β , Γ Δ Γ Δ , ¬ β ( ¬ ) Σ Θ , β ¬ β , Σ Θ ( ¬ )
    By induction hypothesis, we have the following derivation:
    Σ Θ , β β , Γ Δ Γ , Σ Δ , Θ ( Cut )
    (d)
    α = ¬ β and the derivations end with
    β , Γ Δ Γ Δ , ¬ β ( ¬ ) Σ Θ , β ¬ β , Σ Θ ( ¬ )
    By induction hypothesis, we have the following derivation:
    Σ Θ , β β , Γ Δ Γ , Σ Δ , Θ ( Cut )
    (e)
    α = ( α 1 α 2 ) and the derivations end with
    Γ Δ , α 1 , α 2 Γ Δ , ( α 1 α 2 ) ( ) α 1 , Σ Θ α 2 , Σ Θ ( α 1 α 2 ) , Σ Θ ( )
    By induction hypothesis, we have the following derivation:
    Mathematics 12 00146 i007
    (f)
    α = ( α 1 α 2 ) and the derivations end with
    Γ Δ , α 1 Γ Δ , α 2 Γ Δ , ( α 1 α 2 ) ( ) α 1 , α 2 , Σ Θ ( α 1 α 2 ) , Σ Θ ( )
    By induction hypothesis, we have the following derivation:
    Mathematics 12 00146 i008
    (g)
    α = β and the derivations end with
    Γ Δ , β Γ Δ , β ( ) β , Σ Θ β , Σ Θ ( )
    By induction hypothesis, we have the following derivation:
    Σ Θ , β β , Γ Δ Γ , Σ Δ , Θ ( Cut )
This completes the proof. □
For every finite multiset Γ = φ 1 , , φ n , we let Γ = φ 1 , , φ n . Then, we have the following result on the admissibility of the contraposition rule.
Lemma 30. 
The following rule of contraposition is admissible in GB :
Γ Δ Δ Γ ( CPs )
Proof. 
We assume k Γ Δ . We prove Δ Γ by induction on k 0 . We assume k = 0 . If Γ Δ is an instance of ( Id 1 ) , then Δ Γ is an instance of ( Id 2 ) . We suppose Γ = p , Γ and Δ = Δ , p . Clearly, p , Δ Γ , p . By ( ) and ( ) , we obtain p , Δ Γ , p . If Γ , then Δ Γ is an instance of ( ) . We suppose Δ . Then, Δ . By ( ) and ( ) , we obtain Δ Γ . Now, we assume k > 0 and Γ Δ is derived by rule ( R ) .
  • ( R ) is ( ¬ ) . We let the premise and conclusion of ( R ) be k 1 Γ Δ , φ and k ¬ φ , Γ Δ , respectively. By induction hypothesis, φ , Δ Γ . By ( ¬ ) , Δ Γ , ¬ φ .
  • ( R ) is ( ¬ ) . We let the premiss and conclusion of ( R ) be k 1 φ , Γ Δ and k Γ Δ , ¬ φ , respectively. By induction hypothesis, Δ Γ , φ . By ( ¬ ) , ¬ φ , Δ Γ .
  • ( R ) is ( ¬ ) . We let the premise and conclusion of ( R ) be k 1 Γ Δ , φ and k ¬ φ , Γ Δ , respectively. By induction hypothesis, Δ , φ Γ . Clearly, φ φ . By (Cut), Δ , φ Γ . By ( ¬ ) , Δ Γ , ¬ φ . By ( ) , Δ Γ , ¬ φ .
  • ( R ) is ( ¬ ) . We let the premise and conclusion of ( R ) be k 1 φ , Γ Δ and k Γ Δ , ¬ φ , respectively. By induction hypothesis, Δ Γ , φ . Clearly, φ φ . By (Cut), Δ Γ , φ . By ( ¬ ) , ¬ φ , Δ Γ . By ( ) , ¬ φ , Δ Γ .
  • ( R ) is ( ) . We let the premise and conclusion of ( R ) be k 1 φ , ψ , Γ Δ and k φ ψ , Γ Δ , respectively. By induction hypothesis, Δ Γ , φ , ψ . By ( ) , we obtain Δ Γ , ( φ ψ ) .
  • ( R ) is ( ) . We let the premises of ( R ) be k 1 Γ Δ , φ and k 1 Γ Δ , ψ , and the conclusion of ( R ) be k Γ Δ , φ ψ . By induction hypothesis, φ , Δ Γ and ψ , Δ Γ . By ( ) , ( φ ψ ) , Δ Γ .
  • ( R ) is ( ) . We let the premises of ( R ) be k 1 φ , Γ Δ and k 1 ψ , Γ Δ , and the conclusion of ( R ) be k ( φ ψ ) , Γ Δ , respectively. By induction hypothesis, Δ Γ , φ and Δ Γ , ψ . By φ φ and ψ ψ and (Cut), Δ Γ , φ and Δ Γ , ψ . By ( ) , Δ Γ , φ ψ . By ( ) , Δ Γ , ( φ ψ ) .
  • ( R ) is ( ) . We let the premise and conclusion of ( R ) be k 1 Γ Δ , φ , ψ and k Γ Δ , ( φ ψ ) , respectively. By induction hypothesis, φ , ψ , Δ Γ . By φ φ and ψ ψ and (Cut), φ , ψ , Δ Γ . By ( ) , φ ψ , Δ Γ . By ( ) , ( φ ψ ) , Δ Γ .
  • ( R ) is ( ) . We let the premises of ( R ) be k 1 φ , Γ Δ and k 1 ψ , Γ Δ , and the conclusion of ( R ) be k φ ψ , Γ Δ , respectively. By induction hypothesis, Δ Γ , φ and Δ Γ , ψ . By ( ) , Δ Γ , ( φ ψ ) .
  • ( R ) is ( ) . We let the premises and conclusion of ( R ) be k 1 Γ Δ , φ , ψ and k Γ Δ , φ ψ . By induction hypothesis, φ , ψ , Δ Γ . By ( ) , ( φ ψ ) , Δ Γ .
  • ( R ) is ( ) . We let the premise and conclusion of ( R ) be k 1 φ , ψ , Γ Δ and k ( φ ψ ) , Γ Δ , respectively. By induction hypothesis, Δ Γ , φ , ψ . By φ φ and ψ ψ and (Cut), Δ Γ , φ , ψ . By ( ) , we obtain Δ Γ , φ ψ . By ( ) , we obtain Δ Γ , ( φ ψ ) .
  • ( R ) is ( ) . We let the premises of ( R ) be k 1 Γ Δ , φ and k 1 Γ Δ , ψ , and the conclusion of ( R ) be k Γ Δ , ( φ ψ ) . By induction hypothesis, φ , Δ Γ and ψ , Δ Γ . By φ φ and ψ ψ and (Cut), φ , Δ Γ and ψ , Δ Γ . By ( ) , φ ψ , Δ Γ . By ( ) , ( φ ψ ) , Δ Γ .
  • ( R ) is ( ) . We let the premise and conclusion of ( R ) be k 1 φ , Γ Δ and k φ , Γ Δ , respectively. By induction hypothesis, Δ Γ , φ . By ( ) , Δ Γ , φ .
  • ( R ) is ( ) . We let the premise and conclusion of ( R ) be k 1 Γ Δ , φ and k Γ Δ , φ , respectively. By induction hypothesis, φ , Δ Γ . By ( ) , φ , Δ Γ .
This completes the proof. □
A DM frame F = ( W , , g ) is called a DB frame if w = { w } for every w W . Sequent Γ Δ is valid in a DB frame F (notation: F Γ Δ ) if F Γ Δ . Here, Γ is the conjunction of formulas in Γ , and Δ is the disjunction of formulas in Δ . In particular, we let = and = . We write Fr ( B ) Γ Δ if F Γ Δ for all DB-frames F .
Lemma 31. 
GB φ ψ if and only if GB φ ψ .
Proof. 
We assume φ ψ . We have the following derivation:
Mathematics 12 00146 i009
We assume φ ψ . By ( ¬ ) , ¬ φ , ψ . By ( ) , ¬ φ ψ . □
Lemma 32. 
If B φ , then GB φ .
Proof. 
We assume B φ . We note that, if φ is an axiom of B , then GB φ . For example, we have the following derivation of the sequent ( ψ χ ) ψ χ :
Mathematics 12 00146 i010
We suppose φ is obtained from ψ φ and ψ by (MP). By induction hypothesis, we have GB ψ φ and GB ψ . By Lemma 31, GB ψ φ . By (Cut), GB φ . We suppose φ = ψ χ is obtained from χ ψ by (CP). By induction hypothesis, GB χ ψ . By Lemma 31, GB χ ψ . By (CPs), GB ψ χ . By Lemma 31, GB ψ χ . It follows that GB φ . □
Lemma 33. 
GB Γ Δ if and only if GB Γ Δ .
Theorem 13. 
For every sequent Γ Δ , GB Γ Δ if and only if Fr ( B ) Γ Δ .
Proof. 
We assume GB k Γ Δ . We prove Fr ( B ) Γ Δ by induction on k 0 . Case k = 0 is trivial. All rules in GB preserve validity in Fr ( B ) . We note that, by Corollary 5, Fr ( B ) ¬ φ ¬ φ , and so the rules ( ¬ ) and ( ¬ ) preserve validity in Fr ( B ) . We assume Fr ( B ) Γ Δ . Then, Fr ( B ) Γ Δ . By the Kripke completeness of B , we have B Γ Δ . By Lemma 32, GB Γ Δ . By Lemma 33, GB Γ Δ . □
Finally, we return to sequent calculus GB . It is a structural rule-free and cut-free system for DH-logic B . We let s be sequent Γ Δ . The weight of s is defined as the sum w t ( s ) = { c ( φ ) : φ Γ Δ } . Clearly, in each logical rule in GB , the weight of each premise is strictly less than that of the conclusion. The proof search space of a given sequent in GB must be finite. This means that GB is terminating. It yields a proof search procedure and thus the decidability of derivability in GB .
Fact 3. 
The derivability of a sequent in GB is decidable.

7. Concluding Remarks

De Morgan Heyting logics as combinations of intuitionistic and De Morgan logics are developed in this paper. We show some properties of variety DH . DM frames are introduced and dualities between DM frames and DH-algebras are developed. The Kripke completeness, finite approximability and the conservativity in lattice Ext ( J ) are investigated. A cut-free terminating Gentzen sequent calculus is given for the logic of De Morgan Boolean algebras. A glimpse on these results offers hints at some interesting problems for further study.
  • First, the finite approximability and finite model property under the Kripke semantics should be analyzed deeply. It is still unknown whether DH-logic C = J ¬ p p is finite approximable or not. Moreover, the finite approximability in lattice Ext ( J ) needs further explanation. For example, it is not known whether all extensions of the Gödelian DH-logic J ( p q ) ( q p ) are finitely approximable or not.
  • Second, the modal companions of DH-logics have not yet been studied. The intuitionistic part of J should have, e.g., the standard modal logic S 4 as its counterpart (cf., e.g., [22]), and the De Morgan negation should be translated into a (negative) modal logic. Thus, the basic modal companion of DH-logics should be the product of S 4 and a modal logic which represents the De Morgan part.
  • Third, if we enrich the cut-free Gentzen sequent calculus for classical propositional logic with rules corresponding to axiom ¬ p p , we obtain a cut-free and terminating sequent calculus for DH-logic C = J p p . However, cut-free Gentzen sequent calculi for J and other DH-logics are not known yet.
Furthermore, the properties like disjunction property, tabularity, pretabularity, interpolation in sublattices of Ext ( J ) are interesting problems.

Author Contributions

Conceptualization, M.M. and J.G.; investigation, M.M. and J.G.; writing—review and editing, M.M. and J.G.; funding acquisition, M.M. All authors have read and agreed to the published version of the manuscript.

Funding

The first author of this work was funded by CHINA FUNDING OF SOCIAL SCIENCES grant number 18ZDA033.

Conflicts of Interest

The authors declare no conflict of interest.

References

  1. Bull, R.A. MIPC as the formalization of an intuitionistic concept of modality. J. Symb. Log. 1966, 31, 609–616. [Google Scholar] [CrossRef]
  2. Fischer Servi, G. On modal logics with an intuitionistic base. Stud. Log. 1977, 36, 141–149. [Google Scholar] [CrossRef]
  3. Fischer Servi, G. Axiomatizations for some intuitionistic modal logics. Rend. Del Semin. Mat. 1984, 42, 179–194. [Google Scholar]
  4. Simpson, A.K. The Proof Theory and Semantics of Intuitionistic Modal Logic. Ph.D. Thesis, University of Edinburgh, Edinburgh, UK, 1994. [Google Scholar]
  5. del Cerro, L.F.; Herzig, A. Combining classical and intuitionistic logic. In Frontiers of Combining Systems; Applied Logic Series Vol. 3; Springer: Dordrecht, The Netherlands, 1996; pp. 93–102. [Google Scholar]
  6. Kurucz, A. Combining modal logics. In Handbook of Modal Logic; Studies in Logic and Practical Reasoning Vol. 3; Elsevier: Amsterdam, The Netherlands, 2007; pp. 869–924. [Google Scholar]
  7. Liang, C.; Miller, D. Kripke semantics and proof systems for combining intuitionistic logic and classical logic. Ann. Pure Appl. Log. 2013, 164, 86–111. [Google Scholar] [CrossRef]
  8. Sankappanavar, H.P. Heyting algebras with a dual lattice endomorphism. Z. FÜR Math. Log. Und Grund. Der Math. 1987, 33, 565–573. [Google Scholar] [CrossRef]
  9. Rasiowa, H. An Algebraic Approach to Non-Classical Logics; North-Holland Publishing Company: Amsterdam, The Netherlands, 1974. [Google Scholar]
  10. Belnap, N.D. A useful four-valued logic. In Modern Uses of Multiple-Valued Logic; Springer: Dordrecht, The Netherlands, 1977; Volume 3, pp. 5–37. [Google Scholar]
  11. Dunn, M. The Algebra of Intensional Logics. Ph.D. Thesis, University of Pittsburg, Pittsburg, PA, USA, 1967. [Google Scholar]
  12. Dunn, M. Polarity and its dual. Stud. Log. 2000, 65, 5–40. [Google Scholar] [CrossRef]
  13. Ma, M.; Lin, Y. Countably many weakenings of Belnap-Dunn logic. Stud. Log. 2020, 108, 163–198. [Google Scholar] [CrossRef]
  14. Dzik, W.; Orlowska, E.; van Alten, C. Relational representation theorems for general lattices with negations. In Relations and Kleene Algebra in Computer Science; LNCS 4136; Springer: Berlin/Heidelberg, Germany, 2006; pp. 162–176. [Google Scholar]
  15. Figallo, A.; Pelaitay, G. Tense operators on De Morgan algebras. Log. J. Igpl 2014, 22, 255–267. [Google Scholar] [CrossRef]
  16. Białynicki-Birula, A.; Rasiowa, H. On the representation of quasi-Boolean algebras. J. Symb. Log. 1957, 22, 259–261. [Google Scholar]
  17. Grätzer, G. Universal Algebra, 2nd ed.; Springer: New York, NY, USA, 2008. [Google Scholar]
  18. Blok, W.J. The lattice of modal logics: An algebraic investigation. J. Symb. Log. 1980, 45, 221–236. [Google Scholar] [CrossRef]
  19. Jónsson, B. Algebras whose congruence lattices are distributive. Math. Scand. 1967, 21, 110–121. [Google Scholar] [CrossRef]
  20. Chagrov, A.; Zakharyaschev, M. Modal Logic; Clarendon Press: Oxford, UK, 1997. [Google Scholar]
  21. Negri, S.; von Plato, J. Structural Proof Theory; Cambridge University Press: Cambridge, UK, 2001. [Google Scholar]
  22. Chagrov, A.; Zakharyaschev, M. Modal companions of intermediate propositional logics. Stud. Log. 1992, 51, 49–82. [Google Scholar] [CrossRef]
Figure 1. The relation between some DH-logics.
Figure 1. The relation between some DH-logics.
Mathematics 12 00146 g001
Figure 2. Expansion of the I-frame F .
Figure 2. Expansion of the I-frame F .
Mathematics 12 00146 g002
Disclaimer/Publisher’s Note: The statements, opinions and data contained in all publications are solely those of the individual author(s) and contributor(s) and not of MDPI and/or the editor(s). MDPI and/or the editor(s) disclaim responsibility for any injury to people or property resulting from any ideas, methods, instructions or products referred to in the content.

Share and Cite

MDPI and ACS Style

Ma, M.; Guo, J. Merging Intuitionistic and De Morgan Logics. Mathematics 2024, 12, 146. https://doi.org/10.3390/math12010146

AMA Style

Ma M, Guo J. Merging Intuitionistic and De Morgan Logics. Mathematics. 2024; 12(1):146. https://doi.org/10.3390/math12010146

Chicago/Turabian Style

Ma, Minghui, and Juntong Guo. 2024. "Merging Intuitionistic and De Morgan Logics" Mathematics 12, no. 1: 146. https://doi.org/10.3390/math12010146

APA Style

Ma, M., & Guo, J. (2024). Merging Intuitionistic and De Morgan Logics. Mathematics, 12(1), 146. https://doi.org/10.3390/math12010146

Note that from the first issue of 2016, this journal uses article numbers instead of page numbers. See further details here.

Article Metrics

Back to TopTop