Blockchain Adoption and Organic Subsidy in an Agricultural Supply Chain Considering Market Segmentation
Abstract
:1. Introduction
- (1)
- Whether subsidy policies always benefit the producer and retailer in the case of in-store competition between organic and conventional agricultural products?
- (2)
- Whether the market segmentation of agricultural consumers has an impact on the decisions of supply chain members?
- (3)
- Under different subsidy strategies, how the attitude of supply chain members toward blockchain traceability platforms has changed?
2. Literature Review
2.1. Organic and Non-Organic Products in the Agricultural Supply Chain
2.2. Subsidy Strategies in Agricultural Supply Chains
2.3. Blockchain in Agricultural Supply Chains
2.4. Research Gaps and Innovations
- (1)
- Market segmentation of UCCs and OCCs types: By dividing consumers into two types, organic-oriented consumers (OCCs) and undifferentiated-conscious consumers (UCCs) from the perspective of consumer utility, this study provides a more comprehensive marketing strategy for organic and conventional agricultural products. This approach allows decision-makers to pay more attention to consumers’ market preferences and make optimal sales decisions.
- (2)
- Application of blockchain technology in organic products: Recognizing the importance of blockchain technology in agricultural traceability applications, this study explores the market impact of blockchain technology on organic products from the perspective of consumer utility. This idea provides a valuable reference for the study of organic products in the agricultural market.
- (3)
- Interaction effect between organic subsidies and blockchain: Organic product subsidies reduce the organic cost of producers, which in turn helps to promote the sustainable development of organic agriculture. Blockchain traceability of organic products improves the quality and reliability of organic products, which in turn helps to increase consumer trust in organic products. The interaction between the two studies provides valuable insights into organic production in the agricultural supply chain.
3. Problem Description and Assumptions
3.1. Notations
3.2. Problem Description
3.3. Assumptions
- (a)
- The agricultural producer provides organic agricultural products (OPs) and conventional agricultural products (CPs) and sells these products monopoly.
- (b)
- Organic-oriented consumers (OCCs) are very concerned about the OPs’ quality authenticity. In other words, traceability of the quality of OPs can improve OCCs’ organic preferences.
- (c)
- The agricultural producer and retailer are risk-neutral and completely rational.
- (d)
- In this study, we assume , which represents the coefficient of increase in the consumer’s valuation of OPs. represents that consumers have the same valuation for OPs and CPs. At this time, OPs do not have any additional advantage over CPs. In this paper, we assume that OPs have a higher nutritional value and valuation than CPs.
- (e)
- To make the outcomes meaningful, we assume that (1) , which means the unit production cost of OPs is not large enough; (2) , which denotes the increase coefficient of the valuation for OPs with blockchain is big enough. Here, .
3.4. Model Formulation
- (1)
- Case NN: no blockchain and no subsidy
- (2)
- Case NS: no blockchain and organic subsidy
- (3)
- Case BN: blockchain and no subsidy
- (4)
- Case BS: blockchain and organic subsidy
4. Results Analysis
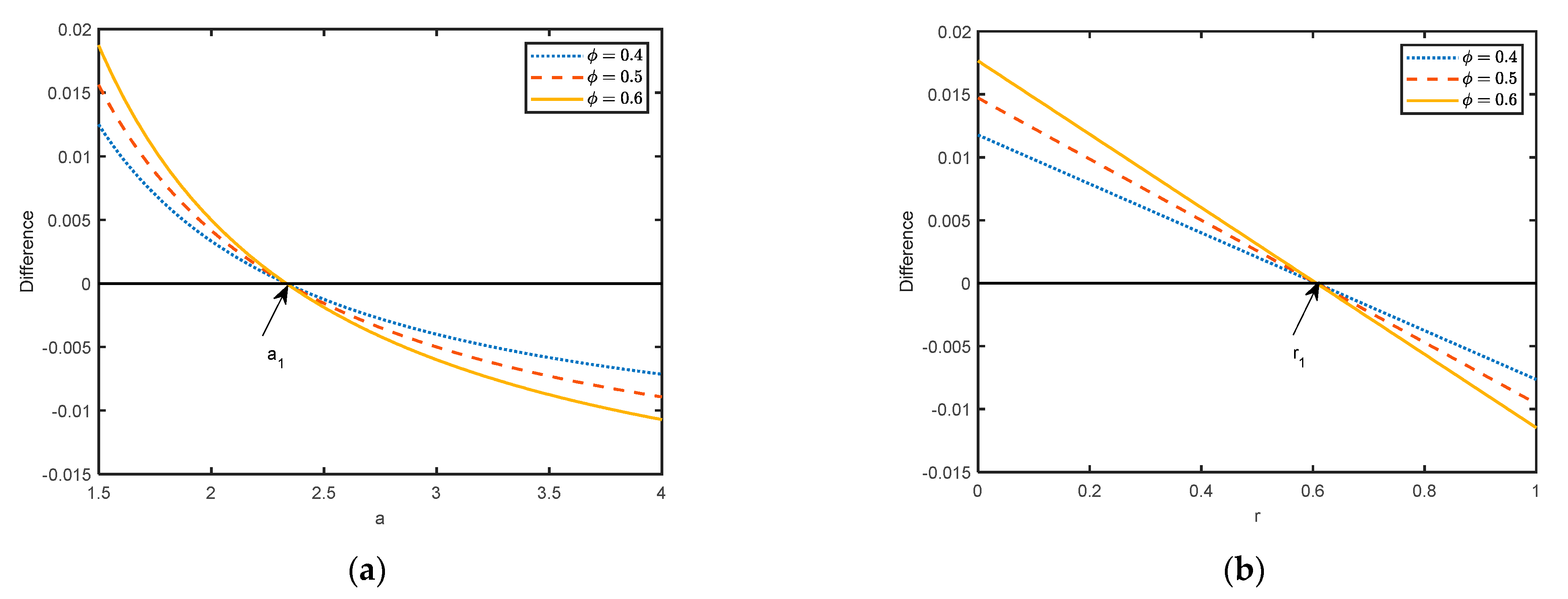
4.1. Sensitivity Analysis
4.2. Comparative Analysis
5. Conclusions
Author Contributions
Funding
Data Availability Statement
Conflicts of Interest
Appendix A
References
- Ostapenko, R.; Herasymenko, Y.; Nitsenko, V.; Koliadenko, S.; Balezentis, T.; Streimikiene, D. Analysis of Production and Sales of Organic Products in Ukrainian Agricultural Enterprises. Sustainability 2020, 12, 3416. [Google Scholar] [CrossRef]
- Chou, F.-S.; Wang, C.-C.; Lai, M.-C.; Tung, C.-H.; Yang, Y.-J.; Tsai, K.-H. Persuasiveness of organic agricultural products Argument strength, health consciousness, self-reference, health risk, and perceived fear. Br. Food J. 2020, 122, 1289–1304. [Google Scholar] [CrossRef]
- Kohler, S.; Pizzol, M. Technology assessment of blockchain-based technologies in the food supply chain. J. Clean. Prod. 2020, 269, 122193. [Google Scholar] [CrossRef]
- Fake Rice (2023-3). Available online: https://baijiahao.baidu.com/s?id=1760514592508123331&wfr=spider&for=pc (accessed on 20 September 2023).
- Saurabh, S.; Dey, K. Blockchain technology adoption, architecture, and sustainable agri-food supply chains. J. Clean. Prod. 2021, 284, 124731. [Google Scholar] [CrossRef]
- Caro, M.P.; Ali, M.S.; Vecchio, M.; Giaffreda, R. Blockchain-based traceability in Agri-Food supply chain management: A practical implementation. In Proceedings of the 2018 IoT Vertical and Topical Summit on Agriculture—Tuscany (IOT Tuscany), Tuscany, Italy, 8–9 May 2018. [Google Scholar] [CrossRef]
- Zarpelo, B.B.; Junior, S.B.; Badaró, A.T.; Barbin, D.F. On the Use of Blockchain for Agrifood Traceability; Academic Press: Cambridge, MA, USA, 2021. [Google Scholar] [CrossRef]
- Olsen, P.; Borit, M. The components of a food traceability system. Trends Food Sci. Technol. 2018, 77, 143–149. [Google Scholar] [CrossRef]
- Turhan, S. Sustainable Consumption and Organic Farming: The Case of Bursa, Turkey. Fresenius Environ. Bull. 2019, 28, 3805–3810. [Google Scholar]
- Astill, J.; Dara, R.A.; Campbell, M.; Farber, J.M.; Fraser, E.D.G.; Sharif, S.; Yada, R.Y. Transparency in food supply chains: A review of enabling technology solutions. Trends Food Sci. Technol. 2019, 91, 240–247. [Google Scholar] [CrossRef]
- Dickinson, D.; Bailey, D.V. Meat traceability: Are US consumers willing to pay for it? DeeVon Bailey 2002, 27, 348–364. [Google Scholar] [CrossRef]
- Yang, L. The Use of ICT Can Improve Food Safety (2016-10). Available online: https://laoyaoba.com/n/616432 (accessed on 20 September 2023).
- Chinnasamy, P.; Geetha, R.; Geetha, S.; Balakannan, S.P.; Ramprathap, K.; Praveena, V. Secure Smart Green House Farming using Blockchain Technology. Turk. J. Comput. Math. Educ. 2021, 12, 2858–2865. [Google Scholar] [CrossRef]
- Tianmu Fruit Shoots. Available online: https://baijiahao.baidu.com/s?id=1707152353956028114&wfr=spider&for=pc (accessed on 20 September 2023).
- Application of Blockchain Technology in the Field of Food Safety. Available online: https://baijiahao.baidu.com/s?id=1759964240063048067&wfr=spider&for=pc (accessed on 20 September 2023).
- Alibaba Released the World’s First Authentic Traceability Function. Available online: https://www.sohu.com/a/228278654_100035093 (accessed on 20 September 2023).
- Hu, S.; Huang, S.; Qin, X. Exploring blockchain-supported authentication based on online and offline business in organic agricultural supply chain. Comput. Ind. Eng. 2022, 173, 108738. [Google Scholar] [CrossRef]
- Dionne, K.Y.; Horowitz, J. The Political Effects of Agricultural Subsidies in Africa: Evidence from Malawi. World Dev. 2016, 87, 215–226. [Google Scholar] [CrossRef] [PubMed]
- Papadopoulos, S.; Zafeiriou, E.; Karelakis, C.; Koutroumanidis, T. Organics or not? Prospects for uptaking organic farming. New Medit. 2018, 17, 13–22. [Google Scholar] [CrossRef]
- Dou, C.; Cui, L.; Li, C. Can Information Intervention Enhance Consumers’ Purchase Intentions of Organic Agricultural Products? A Choice Experiment Based on Organic Milk. J. Healthc. Eng. 2022, 2022, 1256796. [Google Scholar] [CrossRef] [PubMed]
- Liang, A.R.-D.; Lim, W.-M. Why do consumers buy organic food? Results from an S-O-R model. Asia Pac. J. Mark. Logist. 2021, 33, 396–417. [Google Scholar] [CrossRef]
- Perlman, Y.; Ozinci, Y.; Westrich, S. Pricing decisions in a dual supply chain of organic and conventional agricultural products. Ann. Oper. Res. 2022, 314, 601–616. [Google Scholar] [CrossRef]
- Pu, X.; Xu, Z.; Huang, R. Entry mode selection and its impact on the competition between organic and conventional agricultural products. J. Clean. Prod. 2020, 274, 122716. [Google Scholar] [CrossRef]
- Ozinci, Y.; Perlman, Y.; Westrich, S. Competition between organic and conventional products with different utilities and shelf lives. Int. J. Prod. Econ. 2017, 191, 74–84. [Google Scholar] [CrossRef]
- Liu, K.; Lan, Y.; Li, W.; Cao, E. Behavior-Based Pricing of Organic and Conventional Agricultural Products Based on Green Subsidies. Sustainability 2019, 11, 1151. [Google Scholar] [CrossRef]
- Liu, P.; Zhang, Z.; Dong, F.-Y. Subsidy and pricing strategies of an agri-food supply chain considering the application of Big Data and blockchain. Rairo-Oper. Res. 2022, 56, 1995–2014. [Google Scholar] [CrossRef]
- Liu, P.; Cui, X.; Li, Y. Subsidy policies of a fresh supply chain considering the inputs of blockchain traceability service system. Sci. Public Policy 2023, 50, 72–86. [Google Scholar] [CrossRef]
- Ye, F.; Liu, S.; Li, Y.; Zhan, Y.; Cai, Z.; Kumar, A. Early Adopter or Follower? The Strategic Equilibrium of Blockchain Technology Adoption Strategy for Competing Agri-Food Supply Chains. IEEE Trans. Eng. Manag. 2022, 1–15. [Google Scholar] [CrossRef]
- Xu, J.; Cai, J.; Yao, G.; Dai, P. Strategy Optimization of Quality Improvement and Price Subsidy of Agri-Foods Supply Chain. Foods 2022, 11, 1761. [Google Scholar] [CrossRef] [PubMed]
- Cao, B.-B.; Zhu, M.-F.; Tian, Q. Optimal Operation Policies in a Cross-Regional Fresh Product Supply Chain with Regional Government Subsidy Heterogeneity to Blockchain-Driven Traceability. Mathematics 2022, 10, 4592. [Google Scholar] [CrossRef]
- Du, H.; Lu, K. Visualization service investment strategies for a self-operated fresh agricultural product e-tailer. J. Retail. Consum. Serv. 2023, 75, 103455. [Google Scholar] [CrossRef]
- Wang, M.; Zhao, L. Disposable or reusable? Packaging strategy and pricing decision for fresh food considering environmental policies. Int. Trans. Oper. Res. 2022, 31, 1149–1177. [Google Scholar] [CrossRef]
- Tan, C.; Zeng, Y.; Ip, W.H.; Wu, C.H. B2C or O2O? The strategic implications for the fresh produce supply chain based on blockchain technology. Comput. Ind. Eng. 2023, 183, 109499. [Google Scholar] [CrossRef]
- Liu, P.; Wang, S. Logistics Outsourcing of Fresh Enterprises Considering Fresh-Keeping Efforts Based on Evolutionary Game Analysis. IEEE Access 2021, 9, 25659–25670. [Google Scholar] [CrossRef]
- Guo, F.; Zhang, T.; Huang, X.; Zhong, Y. Government Subsidy Strategies Considering Greenness on Agricultural Product E-Commerce Supply Chain. Mathematics 2023, 11, 1662. [Google Scholar] [CrossRef]
- Peng, H.; Pang, T. Optimal strategies for a three-level contract-farming supply chain with subsidy. Int. J. Prod. Econ. 2019, 216, 274–286. [Google Scholar] [CrossRef]
- Liu, P.; Zhang, Z.; Li, Y. Investment Decision of Blockchain-Based Traceability Service Input for a Competitive Agri-Food Supply Chain. Foods 2022, 11, 2981. [Google Scholar] [CrossRef]
- Zheng, Y.; Xu, Y.Q.; Qiu, Z.G. Blockchain Traceability Adoption in Agricultural Supply Chain Coordination: An Evolutionary Game Analysis. Agriculture 2023, 13, 184. [Google Scholar] [CrossRef]
- Liu, S.; Hua, G.; Kang, Y.; Cheng, T.C.E.; Xu, Y. What value does blockchain bring to the imported fresh food supply chain? Transport. Res. E-Logist. Transport. Rev. 2022, 165, 102859. [Google Scholar] [CrossRef]
- Li, Y.; Tan, C.; Ip, W.H.; Wu, C.H. Dynamic blockchain adoption for freshness-keeping in the fresh agricultural product supply chain. Expert Syst. Appl. 2023, 217, 119494. [Google Scholar] [CrossRef]
- Chu, L. Optimization method of fresh agricultural products cross-border e-commerce supply chain based on blockchain technology. Pak. J. Agric. Sci. 2023, 60, 415–423. [Google Scholar] [CrossRef]
- Wu, X.Y.; Fan, Z.P.; Cao, B.B. An analysis of strategies for adopting blockchain technology in the fresh product supply chain. Int. J. Prod. Res. 2021, 61, 3717–3734. [Google Scholar] [CrossRef]
- Li, C.; Yang, T.; Bian, Z. Does Environmental Education Always Contribute to Remanufacturing Supply Chain Development? Int. J. Environ. Res. Public Health 2023, 20, 4725. [Google Scholar] [CrossRef]
- Gong, B.; Zhang, H.; Gao, Y.; Liu, Z. Blockchain adoption and channel selection strategies in a competitive remanufacturing supply chain. Comput. Ind. Eng. 2023, 175, 108829. [Google Scholar] [CrossRef]






| Symbols | Definitions |
|---|---|
Disclaimer/Publisher’s Note: The statements, opinions and data contained in all publications are solely those of the individual author(s) and contributor(s) and not of MDPI and/or the editor(s). MDPI and/or the editor(s) disclaim responsibility for any injury to people or property resulting from any ideas, methods, instructions or products referred to in the content. |
© 2023 by the authors. Licensee MDPI, Basel, Switzerland. This article is an open access article distributed under the terms and conditions of the Creative Commons Attribution (CC BY) license (https://creativecommons.org/licenses/by/4.0/).
Share and Cite
Li, C.; Yang, T.; Shi, Y. Blockchain Adoption and Organic Subsidy in an Agricultural Supply Chain Considering Market Segmentation. Mathematics 2024, 12, 106. https://doi.org/10.3390/math12010106
Li C, Yang T, Shi Y. Blockchain Adoption and Organic Subsidy in an Agricultural Supply Chain Considering Market Segmentation. Mathematics. 2024; 12(1):106. https://doi.org/10.3390/math12010106
Chicago/Turabian StyleLi, Chunmei, Tianjian Yang, and Ying Shi. 2024. "Blockchain Adoption and Organic Subsidy in an Agricultural Supply Chain Considering Market Segmentation" Mathematics 12, no. 1: 106. https://doi.org/10.3390/math12010106
APA StyleLi, C., Yang, T., & Shi, Y. (2024). Blockchain Adoption and Organic Subsidy in an Agricultural Supply Chain Considering Market Segmentation. Mathematics, 12(1), 106. https://doi.org/10.3390/math12010106

