Distributed Finite-Time Cooperative Economic Dispatch Strategy for Smart Grid under DOS Attack
Abstract
1. Introduction
- 1.
- A cost function model taking coupling relationships into account, which is more complex than previous models that did not consider these relationships. The capacity or consumption of EAs with coupling relationships is included in the intersection terms of local cost functions. Furthermore, we propose an elastic optimization approach that resists the destruction of the smart grid’s distributed coupling optimization during DOS attacks;
- 2.
- We present a finite-time elasticity optimization strategy that adopts sliding mode control and eliminates the information loss incurred by DOS attacks. We analyze the convergence characteristics of the proposed algorithm by using the Lyapunov method and design a finite-time convergence algorithm that ensures the EDP solution can be reached, even after a DOS attack occurs.
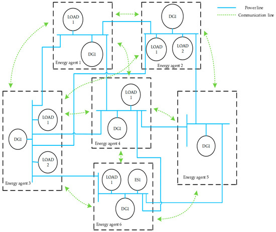
2. System Structure and Model
2.1. EA Model
- (1)
- The cost function of DRG iswhere is the index for renewable devices; and are non-negative cost coefficients; and is penalty coefficient.
- (2)
- The cost function of DFG iswhere , , represent non-negative cost coefficients; the symbol denotes fuel devices.
- (3)
- The cost function of ES iswhere and are non-negative cost coefficients, and symbol.
- (4)
- The cost function of energy loads
2.2. Problem Formulation
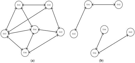
2.2.1. Graph Theory
2.2.2. Energy Management of EAs
3. Main Algorithm
3.1. DOS Attack
3.2. Notation
3.3. Useful Lemmas
3.4. Distributed Optimization Strategies to Resist DOS Attacks
3.5. Convergence Analysis
4. Simulation Test
4.1. Convergence and Optimality Analysis
4.2. Comparative Analysis
5. Conclusions
Author Contributions
Funding
Data Availability Statement
Conflicts of Interest
References
- Huang, A.Q.; Crow, M.L.; Heydt, G.T.; Zheng, J.P.; Dale, S.J. The future renewable electric energy delivery and management (FREEDM) system: The energy Internet. Proc. IEEE 2011, 99, 133–148. [Google Scholar] [CrossRef]
- Li, T.; Huang, R.; Chen, L.; Jensen, C.S.; Pedersen, T.B. Compression of uncertain trajectories in road networks. Proc. VLDB Endow. 2020, 13, 1050–1063. [Google Scholar] [CrossRef]
- Zhou, J.; Xu, Y.; Sun, H.; Li, Y.; Chow, M.-Y. Distributed power management for networked AC–DC microgrids with unbalanced microgrids. IEEE Trans. Ind. Inform. 2020, 16, 1655–1667. [Google Scholar] [CrossRef]
- Li, T.; Chen, L.; Jensen, C.S.; Pedersen, T.B.; Gao, Y.; Hu, J. Evolutionary Clustering of Moving Objects. In Proceedings of the 2022 IEEE 38th International Conference on Data Engineering (ICDE), Kuala Lumpur, Malaysia, 9–12 May 2022; pp. 2399–2411. [Google Scholar] [CrossRef]
- Li, Y.; Gao, D.W.; Gao, W.; Zhang, H.; Zhou, J. A distributed doublenewton descent algorithm for cooperative energy management of multiple energy bodies in energy internet. IEEE Trans. Ind. Inform. 2021, 17, 5993–6003. [Google Scholar] [CrossRef]
- Attarha, A.; Scott, P.; Thibaux, S. Affifinely adjustable robust ADMM for residential DER coordination in distribution networks. IEEE Trans. Smart Grid 2020, 11, 1620–1629. [Google Scholar] [CrossRef]
- Li, Y.; Zhang, H.; Liang, X.; Huang, B. Event-triggered based distributed cooperative energy management for multi-energy systems. IEEE Trans. Ind. Inform. 2019, 15, 2008–2022. [Google Scholar] [CrossRef]
- Salih, M.; Koch, M.; Baumeister, D.; Wazifehdust, M.; Steinbusch, P.; Zdrallek, M. Adapted Newton-Raphson Power Flow Method for a DC Traction Network including Non-receptive Power Sources and Photovoltaic Systems. In Proceedings of the 2019 IEEE PES Innovative Smart Grid Technologies Europe (ISGT-Europe), Bucharest, Romania, 29 September–2 October 2019; pp. 1–5. [Google Scholar] [CrossRef]
- Hesaroor, K.; Das, D. Improved Modified Newton Raphson Load Flow Method for Islanded Microgrids. In Proceedings of the 2020 IEEE 17th India Council International Conference (INDICON), New Delhi, India, 10–13 December 2020; pp. 1–6. [Google Scholar] [CrossRef]
- Li, Y.; Gao, D.W.; Gao, W.; Zhang, H.; Zhou, J. Double-Mode Energy Management for Multi-Energy System via Distributed Dynamic Event-Triggered Newton-Raphson Algorithm. IEEE Trans. Smart Grid 2020, 11, 5339–5356. [Google Scholar] [CrossRef]
- Le, X.; Chen, S.; Li, F.; Yan, Z.; Xi, J. Distributed neurodynamic optimization for energy internet management. IEEE Trans. Syst. Man Cybern. Syst. 2019, 49, 1624–1633. [Google Scholar] [CrossRef]
- Liu, Q.; Yang, S.; Wang, J. A collective neurodynamic approach to distributed constrained optimization. IEEE Trans. Neural Netw. Learn. Syst. 2017, 28, 1747–1758. [Google Scholar] [CrossRef] [PubMed]
- Knudsen, T.; Bak, T.; Svenstrup, M. Survey of wind farm control—Power and fatigue optimization. Wind Energy 2015, 18, 1333–1351. [Google Scholar] [CrossRef]
- Firouzbahrami, M.; Nobakhti, A. Finite-Time Distributed Economic Dispatch Over Network Systems with Coupled Local Costs. IEEE Control Syst. Lett. 2023, 7, 325–330. [Google Scholar] [CrossRef]
- Utkarsh, K.; Trivedi, A.; Srinivasan, D.; Reindl, T. A Consensus-Based Distributed Computational Intelligence Technique for Real-Time Optimal Control in Smart Distribution Grids. IEEE Trans. Emerg. Top. Comput. Intell. 2017, 1, 51–60. [Google Scholar] [CrossRef]
- Yun, H.; Shim, H.; Ahn, H.-S. Initialization-free privacy-guaranteed distributed algorithm for economic dispatch problem. Automatica 2019, 102, 86–93. [Google Scholar] [CrossRef]
- Zhao, T.; Li, Z.; Ding, Z. Consensus-based distributed optimal energy management with less communication in a microgrid. IEEE Trans. Ind. Inform. 2019, 15, 3356–3367. [Google Scholar] [CrossRef]
- Dai, H.; Jia, J.; Yan, L.; Fang, X.; Chen, W. Distributed Fixed-Time Optimization in Economic Dispatch Over Directed Networks. IEEE Trans. Ind. Inform. 2021, 17, 3011–3019. [Google Scholar] [CrossRef]
- Firouzbahrami, M.; Nobakhti, A. Cooperative fixed-time/finite-time distributed robust optimization of multi-agent systems. Automatica 2022, 142, 110358. [Google Scholar] [CrossRef]
- Acarali, D.; Rajarajan, M.; Chema, D.; Ginzburg, M. Modelling DoS Attacks & Interoperability in the Smart Grid. In Proceedings of the 2020 29th International Conference on Computer Communications and Networks (ICCCN), Honolulu, HI, USA, 3–6 August 2020; pp. 1–6. [Google Scholar] [CrossRef]
- Abdelwahab, A.; Lucia, W.; Youssef, A. A DoS-resilient Set-Theoretic Controller for Smart Grid Applications. In Proceedings of the 2020 IEEE Power & Energy Society General Meeting (PESGM), Montreal, QC, Canada, 2–6 August 2020; pp. 1–5. [Google Scholar] [CrossRef]
- Zhang, Z.; Yue, D.; Dou, C. A robust consensus-based economic dispatch strategy under DoS attack. In Proceedings of the 2019 IEEE ICPS, Taipei, Taiwan, 6–9 May 2019; pp. 127–132. [Google Scholar]
- Çakır, S.; Sertbaş, A.; Aydın, M.A. Machine Learning-Based Security Test Model and Evaluation for SIP-Based DoS Attacks. In Proceedings of the 2022 International Conference on INnovations in Intelligent SysTems and Applications (INISTA), Biarritz, France, 8–12 August 2022; pp. 1–5. [Google Scholar] [CrossRef]
- Huang, B.; Li, Y.; Zhan, F.; Sun, Q.; Zhang, H. A Distributed Robust Economic Dispatch Strategy for Integrated Energy System Considering Cyber-Attacks. IEEE Trans. Ind. Inform. 2022, 18, 880–890. [Google Scholar] [CrossRef]
- Li, Y.; Li, T.; Zhang, H.; Xie, X.; Sun, Q. Distributed Resilient Double-Gradient-Descent Based Energy Management Strategy for Multi-Energy System Under DoS Attacks. IEEE Trans. Netw. Sci. Eng. 2022, 9, 2301–2316. [Google Scholar] [CrossRef]
- Boyd, S.; Vandenberghe, L. Convex Optimization; Cambridge University Press: Cambridge, UK, 2004. [Google Scholar]
- Zuo, Z.; Tie, L. A new class of finite-time nonlinear consensus protocols for multi-agent systems. Int. J. Control 2014, 87, 363–370. [Google Scholar] [CrossRef]
- Olfati-Saber, R.; Murray, R.M. Consensus problems in networks of agents with switching topology and time-delays. IEEE Trans. Autom. Control 2004, 49, 1520–1533. [Google Scholar] [CrossRef]





| Reference | Finite-Time Convergence or Not | Resistant to DOS Attack or Not | Coupled Cost Function Is Considered | Features of Paper |
|---|---|---|---|---|
| [14] | Yes | No | Yes | Proposed a finite time convergence algorithm considering coupled agents |
| [18] | Yes | No | No | Popularized finite-time stability theory analyzed by Lyapunov function technique |
| [25] | No | Yes | No | Proposed a strategy that can resist DOS attacks |
| Notations | Description |
|---|---|
| Index for EA and time | |
| Electricity power | |
| Index for DRG, DFG | |
| Index for DES |
| 0.041 | 7.88 | 170 | 0 | 0.09 | 0.08 | 0.12 | 0 | 0 | |
| 0.0431 | 7.85 | 120 | 0.2 | 0 | 0.19 | 0.12 | 0.21 | 0 | |
| 0.052 | 7.82 | 160 | 0.08 | 0.23 | 0 | 0.31 | 0 | 0.13 | |
| 0.0421 | 7.8 | 130 | 0.02 | 0.11 | 0.15 | 0 | 0.24 | 0.17 | |
| 0.055 | 7.62 | 90 | 0 | 0.03 | 0 | 0.07 | 0 | 0.13 | |
| 0.049 | 7.82 | 110 | 0 | 0 | 0.13 | 0.17 | 0.21 | 0 |
| 6-EA System | Lowest Cost | 10-EA System | Lowest Cost |
|---|---|---|---|
| The centralized strategy | 779.4 | The centralized strategy | 1325.5 |
| The distributed strategy proposed in this paper under DOS attack | 782 | The distributed strategy proposed in this paper under DOS attack | 1329.4 |
| Normal distributed strategy under DOS attacks | 803.3 | Normal distributed strategy under DOS attacks | 1382.7 |
Disclaimer/Publisher’s Note: The statements, opinions and data contained in all publications are solely those of the individual author(s) and contributor(s) and not of MDPI and/or the editor(s). MDPI and/or the editor(s) disclaim responsibility for any injury to people or property resulting from any ideas, methods, instructions or products referred to in the content. |
© 2023 by the authors. Licensee MDPI, Basel, Switzerland. This article is an open access article distributed under the terms and conditions of the Creative Commons Attribution (CC BY) license (https://creativecommons.org/licenses/by/4.0/).
Share and Cite
Song, Z.; Wang, X.; Wei, B.; Shan, Z.; Guan, P. Distributed Finite-Time Cooperative Economic Dispatch Strategy for Smart Grid under DOS Attack. Mathematics 2023, 11, 2103. https://doi.org/10.3390/math11092103
Song Z, Wang X, Wei B, Shan Z, Guan P. Distributed Finite-Time Cooperative Economic Dispatch Strategy for Smart Grid under DOS Attack. Mathematics. 2023; 11(9):2103. https://doi.org/10.3390/math11092103
Chicago/Turabian StyleSong, Zhenghang, Xiang Wang, Baoze Wei, Zhengyu Shan, and Peiyuan Guan. 2023. "Distributed Finite-Time Cooperative Economic Dispatch Strategy for Smart Grid under DOS Attack" Mathematics 11, no. 9: 2103. https://doi.org/10.3390/math11092103
APA StyleSong, Z., Wang, X., Wei, B., Shan, Z., & Guan, P. (2023). Distributed Finite-Time Cooperative Economic Dispatch Strategy for Smart Grid under DOS Attack. Mathematics, 11(9), 2103. https://doi.org/10.3390/math11092103

