Biogeography-Based Teaching Learning-Based Optimization Algorithm for Identifying One-Diode, Two-Diode and Three-Diode Models of Photovoltaic Cell and Module
Abstract
1. Introduction
- The biogeography-based teaching learning optimization (BB-TLBO) algorithm is proposed to efficiently identify PV model parameters.
- The identification is based on three models: 1DM, 2DM and 3DM of two cases, namely the RTC France silicon solar cell and the monocrystalline STM6-40/36 module.
- In BB-TLBO, to balance between the exploitation and exploration, the initialization process and migration step of BBO are integrated into the original form of TLBO before the teaching phase and learner phase and after these steps, an elitism process which is taken from BBO is added at the end.
- The results are compared with BBO, TLBO algorithms, and other reported state-of-the-art algorithms.
- The results show that the BB-TLBO algorithm demonstrates improved performance in determining the parameters of PV models, setting a new benchmark for optimization methods in the field.
2. Equivalent Circuit for PV Cell/Module Models and Problem Formulation
2.1. PV Cell Models
2.1.1. One-Diode Model (1DM)
2.1.2. Two-Diode Model (2DM)
2.1.3. Three-Diode Model (3DM)
2.2. PV Module Models
2.3. Problem Formulation
2.3.1. For 1DM of PV Cell
2.3.2. For 2DM of PV Cell
2.3.3. For 3DM of PV Cell
2.3.4. For 1DM of PV Module
2.3.5. For 2DM of PV Module
2.3.6. For 3DM of PV Module
3. The Proposed Hybrid BB-TLBO Algorithm
3.1. Biogeography-Based Optimization
3.1.1. Migration
3.1.2. Mutation
3.2. Teaching–Learning-Based Optimization
3.2.1. Teacher Phase
3.2.2. Learner Phase
3.3. Proposed BB-TLBO Algorithm
3.3.1. Initialization
3.3.2. Migration Process
3.3.3. Teaching Phase
3.3.4. Learning Phase
3.3.5. Elitism Phase
3.4. Pseudocode of the BB-TLBO Algorithm
| Algorithm 1: Pseudocode of the BB-TLBO Algorithm |
| 1: Define problem aspects: Fitness function f(x), Dimension D; Search space boundaries; Maximum number of iterations. 2: Set algorithm parameters: Number of populations ; Keeping rate ; Immigration rates ; emigration rate . 3: Generate a random set of habitats (learners) 4: for it = 1: It_Max do 5: for i = 1 to do 6: for k: 1 to D do 7: if rand ≤ λi then 8: Assign rate of immigration and emigration to each candidate using Equations (18) and (19) 9: end if 10: end for 11: Calculate the mean level of knowledge using Equation (24) 12: Sort the current population from the best to the worst 13: Set the best individual as a teacher 14: Update knowledge level of each learner using Equation (23) (teaching phase) 15: Update knowledge level of each learner using Equation (25) (learning phase) 16: Sort the new population from the best to the worst 17: Select the next generation population by using Equation (26) (Elitism) 18: End for 19: End for |
4. Results and Discussion
4.1. Accuracy Analysis
4.1.1. RTC France Silicon Solar Cell Identification
- ▪
- For the 1DM identification and according to the lowest RMSE value (9.860219 × 10−4), BB-TLBO, DOLADE, IMFOL and IQSODE have the best results compared to GWOCS, OLBGWO, PSO, MFO, LNMHGS, HSOA, RLDE, FLIDE, LAPSO, BBO and TLBO.
- ▪
- For the 2DM, BB-TLBO is able to reach the minimum RMSE value of 9.824848 × 10−4, which means that they allow us to obtain the best results.
- ▪
- For the 3DM, the best parameters identified were obtained by BB-TLBO (RMSE value of 9.80767 × 10−4).
4.1.2. Monocrystalline Solar Module STM6-40/36 Identification
- ▪
- As shown in Table 3, for the 1DM identification, BB-TLBO reaches the lowest RMSE value of 1.729814 × 10−3 followed by IMFOL with an RMSE value of 1.729815 × 10−3. The TLBO-ABC identification results indicate that metaheuristic hybrid optimization algorithms demonstrate better performance than algorithms without hybridization.
- ▪
- BB-TLBO obtained the lowest value of RMSE (best RMSE) which is equal to 1.693885 × 10−3 for 2DM and 1.689064 × 10−3 for 3DM compared to other algorithms mentioned in the same table.
- ▪
- The MCSWOA provides the second-best RMSE value (1.706100 × 10−3) for 2DM and SDO provides the second-best RMSE value of 1.701880 × 10−3 for 3DM.
- ▪
- RTC France solar cells based on 1DM, 2DM and 3DM are less than 0.0025(A), 0.002896(A) and 0.00310(A), respectively.
- ▪
- STM6-40/36 solar module are less than 0.00609(A), 0.005581(A) and 0.005513(A) for 1DM, 2DM and 3DM, respectively.
- RTC France solar cells based on 1DM, 2DM and 3DM are less than 0.0014583(w), 0.001413(w) and 0.001813554(w).
- STM6-40/36 solar module are less than 0.09062(w), 0.083042(w) and 0.082039(w) for 1DM, 2DM and 3DM, respectively.
4.2. Statistics Analysis
- ▪
- For 1DM identified on the basis of BB-TLBO, it is found that the lowest RMSE value is reached after 50 iterations and in 1.14 s with an STD of 8.821895 × 10−19.
- ▪
- For the France RTC cell based on 2DM, the best results are obtained by BB-TLBO which records an = 9.824848 × 10−4, = 2.686117 × 10−8, = 117 and = 10.75355 s.
- ▪
- For the identification of the 3DM of RTC France, BB-TLBO records an = 9.807670 × 10−4, = 3.034764 × 10−8, = 143 and = 11.1490 s.
- ▪
- It can be seen that BB-TLBO achieved the best results after 134 iterations and 117 iterations for 1DM and 2DM respectively. It features the lowest CPU time (0.169081s (1DM) and 5.415939s (2DM)) with the lowest STD value (STD = 1.64 × 10−15 (1DM) and STD = 9.00 × 10−6 (2DM)) and the smallest RMSE value (1.73 × 10−3 (1DM) and 1.69 × 10−3 (2-MD)).
- ▪
- From the results shown in the table, both BB-TLBO and IQSODE give the same RMSE values in terms of (, and ). However, in terms of STD the BB-TLBO algorithm obtained the second-best result with a value of 6.616421 × 10−19 following the IQSODE algorithm that obtained a value of 4.336809 × 10−19.
- ▪
- For 3DM, the best STD (STD = 1.294738 × 10−5) is obtained by BB-TLBO which reaches the minimum RMSE value of 1.689064 × 10−3 after only 110 iterations in 6.066541s Thus, the proposed BB-TLBO algorithm is stable and reliable to identify the parameters of RTC France silicon solar cell and STM6-40/36 solar module.
4.3. Convergence Analysis
5. Conclusions
- (i)
- (ii)
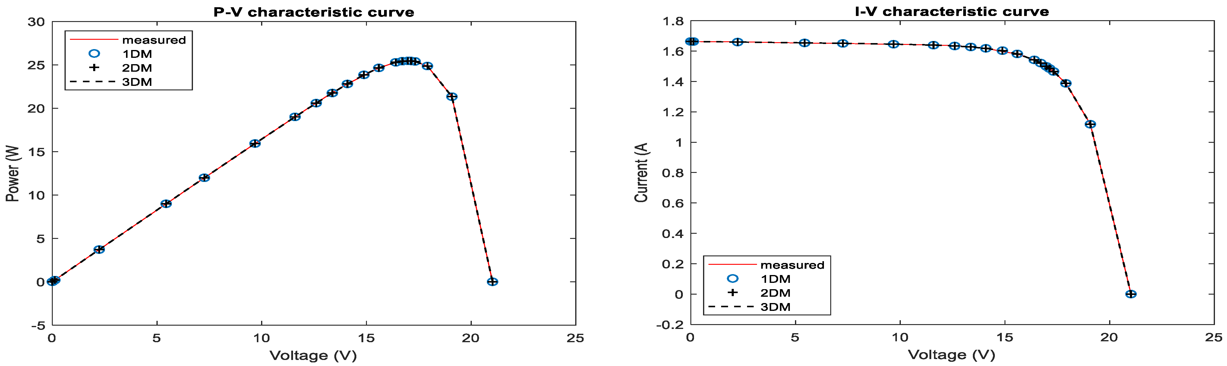
- BB-TLBO has a very high accuracy in terms of the identification of parameters according to IAE, I-V and P-V characteristics.
- (iii)
- According to the statistical results (RMSE, STD, CPU and It(s) values), BB-TLBO outperforms its own single algorithms (BBO and TLBO) as well as other newly techniques such as DOLADE, IQSODE, IMFOL, … etc. For example, BB-TLBO records the best statistical results (RMSE = 1.729814 × 10−3, STD = 6.616421 × 10−19, CPU = 0.17 s, It(s) = 134) when identifying parameters of STM6-40/36 presented on 1DM, and it records the smallest RMSE in less than 6 s, RMSE = 1.693885 × 10−3 for 2DM and RMSE = 1.689064 × 10−3 for 3DM representations.
- (iv)
- Convergence curves demonstrated that BB-TLBO has a very fast convergence speed.
- (v)
- From the results mentioned above, it is clear that the three-diode model (3DM) is the more accurate model to model the RTC France silicon solar cell and the STM6-40/36 solar module.
Author Contributions
Funding
Data Availability Statement
Acknowledgments
Conflicts of Interest
Appendix A
- For RTC France solar cell
| 0.764 | −0.2057 |
| 0.762 | −0.1291 |
| 0.7605 | −0.0588 |
| 0.7605 | 0.0057 |
| 0.76 | 0.0646 |
| 0.759 | 0.1185 |
| 0.757 | 0.1678 |
| 0.757 | 0.2132 |
| 0.7555 | 0.2545 |
| 0.754 | 0.2924 |
| 0.7505 | 0.3269 |
| 0.7465 | 0.3585 |
| 0.7385 | 0.3873 |
| 0.728 | 0.4137 |
| 0.7065 | 0.4373 |
| 0.6755 | 0.459 |
| 0.632 | 0.4784 |
| 0.573 | 0.496 |
| 0.499 | 0.5119 |
| 0.413 | 0.5265 |
| 0.3165 | 0.5398 |
| 0.212 | 0.5521 |
| 0.1035 | 0.5633 |
| −0.01 | 0.5736 |
| −0.123 | 0.5833 |
| −0.21 | 0.59 |
- For STM6-40/36 module
| 1.663 | 0 |
| 1.663 | 0.118 |
| 1.661 | 2.237 |
| 1.653 | 5.434 |
| 1.65 | 7.26 |
| 1.645 | 9.68 |
| 1.64 | 11.59 |
| 1.636 | 12.6 |
| 1.629 | 13.37 |
| 1.619 | 14.09 |
| 1.597 | 14.88 |
| 1.581 | 15.59 |
| 1.542 | 16.4 |
| 1.524 | 16.71 |
| 1.5 | 16.98 |
| 1.485 | 17.13 |
| 1.465 | 17.32 |
| 1.388 | 17.91 |
| 1.118 | 19.08 |
| 0 | 21.02 |
References
- Jordehi, A.R. Parameter estimation of solar photovoltaic (PV) cells: A review. Renew. Sustain. Energy Rev. 2016, 61, 354–371. [Google Scholar] [CrossRef]
- Li, S.; Gong, W.; Wang, L.; Yan, X.; Hu, C. A hybrid adaptive teaching–learning-based optimization and differential evolution for parameter identification of photovoltaic models. Energy Convers. Manag. 2020, 225, 113474. [Google Scholar] [CrossRef]
- Chen, X.; Yu, K.; Du, W.; Zhao, W.; Liu, G. Parameters identification of solar cell models using generalized oppositional teaching learning based optimization. Energy 2016, 99, 170–180. [Google Scholar] [CrossRef]
- Ogliari, E.; Dolara, A.; Manzolini, G.; Leva, S. Physical and hybrid methods comparison for the day ahead PV output power forecast. Renew. Energy 2017, 113, 11–21. [Google Scholar] [CrossRef]
- Orioli, A.; Di Gangi, A. A procedure to calculate the five-parameter model of crystalline silicon photovoltaic modules on the basis of the tabular performance data. Appl. Energy 2013, 102, 1160–1177. [Google Scholar] [CrossRef]
- Yang, B.; Wang, J.; Zhang, X.; Yu, T.; Yao, W.; Shu, H.; Zeng, F.; Sun, L. Comprehensive overview of meta-heuristic algorithm applications on PV cell parameter identification. Energy Convers. Manag. 2020, 208, 112595. [Google Scholar] [CrossRef]
- Li, G.; Li, G.; Zhou, M. Model and application of renewable energy accommodation capacity calculation considering utilization level of inter-provincial tie-line. Prot. Control. Mod. Power Syst. 2019, 4, 1–12. [Google Scholar] [CrossRef]
- Humada, A.M.; Hojabri, M.; Mekhilef, S.; Hamada, H.M. Solar cell parameters extraction based on single and double-diode models: A review. Renew. Sustain. Energy Rev. 2016, 56, 494–509. [Google Scholar] [CrossRef]
- Abbassi, A.; Gammoudi, R.; Ali Dami, M.; Hasnaoui, O.; Jemli, M. An improved single-diode model parameters extraction at different operating conditions with a view to modeling a photovoltaic generator: A comparative study. Sol. Energy 2017, 155, 478–489. [Google Scholar] [CrossRef]
- Abbassi, R.; Abbassi, A.; Jemli, M.; Chebbi, S. Identification of unknown parameters of solar cell models: A comprehensive overview of available approaches. Renew. Sustain. Energy Rev. 2018, 90, 453–474. [Google Scholar] [CrossRef]
- Khanna, V.; Das, B.K.; Bisht, D.; Singh, P.K. A three diode model for industrial solar cells and estimation of solar cell parameters using PSO algorithm. Renew. Energy 2015, 78, 105–113. [Google Scholar] [CrossRef]
- Allam, D.; Yousri, D.A.; Eteiba, M.B. Parameters extraction of the three diode model for the multi-crystalline solar cell/module using Moth-Flame Optimization Algorithm. Energy Convers. Manag. 2016, 123, 535–548. [Google Scholar] [CrossRef]
- Muci, J.; Conde, A.O.; Sánchez, F.G. New method to extract the model parameters of solar cells from the explicit analytic solutions of their illuminated I–V characteristics. Sol. Energy Mater. Sol. Cells 2006, 90, 352–361. [Google Scholar] [CrossRef]
- Gao, X.; Cui, Y.; Hu, J.; Xu, G.; Wang, Z.; Qu, J.; Wang, H. Parameter extraction of solar cell models using improved shu ffl ed complex evolution algorithm. Energy Convers. Manag. 2018, 157, 460–479. [Google Scholar] [CrossRef]
- Laudani, A.; Fulginei, F.R.; Salvini, A. High performing extraction procedure for the one-diode model of a photovoltaic panel from experimental I–V curves by using reduced forms. Sol. Energy 2014, 103, 316–326. [Google Scholar] [CrossRef]
- Hejri, M.; Mokhtari, H.; Azizian, M.R.; Ghandhari, M.; Söder, L. On the Parameter Extraction of a Five-Parameter Double-Diode Model of Photovoltaic Cells and Modules. IEEE J. Photovolt. 2014, 4, 915–923. [Google Scholar] [CrossRef]
- Bendib, T.; Djeffal, F. Fuzzy-Logic Based Computation for Parameters Identification of Solar Cell Models BT—Transactions on Engineering Technologies; Yang, G.-C., Ao, S.-I., Gelman, L., Eds.; Springer: Dordrecht, The Netherlands, 2014; pp. 327–338. [Google Scholar]
- Almonacid, F.; Rus, C.; Hontoria, L.; Fuentes, M.; Nofuentes, G. Characterisation of Si-crystalline PV modules by artificial neural networks. Renew. Energy 2009, 34, 941–949. [Google Scholar] [CrossRef]
- Almonacid, F.; Rus, C.; Hontoria, L.; Muñoz, F.J. Characterisation of PV CIS module by artificial neural networks. A comparative study with other methods. Renew. Energy 2010, 35, 973–980. [Google Scholar] [CrossRef]
- Pitalúa-Díaz, N.; Arellano-Valmaña, F.; Ruz-Hernandez, J.A.; Matsumoto, Y.; Alazki, H.; Herrera-López, E.J.; Hinojosa-Palafox, J.F.; García-Juárez, A.; Pérez-Enciso, R.A.; Velázquez-Contreras, E.F. An ANFIS-based modeling comparison study for photovoltaic power at different geographical places in Mexico. Energies 2019, 12, 2662. [Google Scholar] [CrossRef]
- Yousri, D.; Thanikanti, S.B.; Allam, D.; Ramachandaramurthy, V.K.; Eteiba, M.B. Fractional chaotic ensemble particle swarm optimizer for identifying the single, double, and three diode photovoltaic models’ parameters. Energy 2020, 195, 116979. [Google Scholar] [CrossRef]
- Jordehi, A.R. Time varying acceleration coefficients particle swarm optimisation (TVACPSO): A new optimisation algorithm for estimating parameters of PV cells and modules. Energy Convers. Manag. 2016, 129, 262–274. [Google Scholar] [CrossRef]
- Pillai, D.S.; Rajasekar, N. Metaheuristic algorithms for PV parameter identification: A comprehensive review with an application to threshold setting for fault detection in PV systems. Renew. Sustain. Energy Rev. 2018, 82, 3503–3525. [Google Scholar] [CrossRef]
- Ismail, M.S.; Moghavvemi, M.; Mahlia, T.M.I. Characterization of PV panel and global optimization of its model parameters using genetic algorithm. Energy Convers. Manag. 2013, 73, 10–25. [Google Scholar] [CrossRef]
- Dizqah, A.M.; Maheri, A.; Busawon, K. An accurate method for the PV model identification based on a genetic algorithm and the interior-point method. Renew. Energy 2014, 72, 212–222. [Google Scholar] [CrossRef]
- Hamid, N.; Abounacer, R.; Idali Oumhand, M.; Feddaoui, M.; Agliz, D. Parameters identification of photovoltaic solar cells and module using the genetic algorithm with convex combination crossover. Int. J. Ambient. Energy 2019, 40, 517–524. [Google Scholar] [CrossRef]
- Liao, Z.; Gu, Q.; Li, S.; Hu, Z.; Ning, B.I.N. An improved differential evolution to extract photovoltaic cell parameters. IEEE Access 2020, 8, 177838–177850. [Google Scholar] [CrossRef]
- Chellaswamy, C.; Ramesh, R. Parameter extraction of solar cell models based on adaptive differential evolution algorithm. Renew. Energy 2016, 97, 823–837. [Google Scholar] [CrossRef]
- Zhou, J.; Zhang, Y.; Zhang, Y.; Shang, W.; Yang, Z. Parameters identification of photovoltaic models using a differential evolution algorithm based on elite and obsolete dynamic learning. Appl. Energy 2022, 314, 118877. [Google Scholar] [CrossRef]
- Simon, D. Biogeography-Based Optimization. IEEE Trans. Evol. Comput. 2008, 12, 702–713. [Google Scholar] [CrossRef]
- Niu, Q.; Zhang, L.; Li, K. A biogeography-based optimization algorithm with mutation strategies for model parameter estimation of solar and fuel cells. Energy Convers. Manag. 2014, 86, 1173–1185. [Google Scholar] [CrossRef]
- Chen, X.; Yu, K. Hybridizing cuckoo search algorithm with biogeography-based optimization for estimating photovoltaic model parameters. Sol. Energy 2019, 180, 192–206. [Google Scholar] [CrossRef]
- Niccolai, A.; Dolara, A.; Ogliari, E. Hybrid PV Power Forecasting Methods: A Comparison of Different Approaches. Energies 2021, 14, 451. [Google Scholar] [CrossRef]
- Louzazni, M.; Craciunescu, A.; Aroudam, E.H.; Dumitrache, A. Identification of Solar Cell Parameters with Firefly Algorithm. In Proceedings of the 2015 Second International Conference on Mathematics and Computers in Sciences and in Industry (MCSI), Sliema, Malta, 17 August 2015; pp. 7–12. [Google Scholar] [CrossRef]
- Sudhakar Babu, T.; Prasanth Ram, J.; Sangeetha, K.; Laudani, A.; Rajasekar, N. Parameter extraction of two diode solar PV model using Fireworks algorithm. Sol. Energy 2016, 140, 265–276. [Google Scholar] [CrossRef]
- Olabi, A.G.; Rezk, H.; Abdelkareem, M.A.; Awotwe, T.; Maghrabie, H.M.; Selim, F.F.; Rahman, S.M.A.; Shah, S.K.; Zaky, A.A. Optimal Parameter Identification of Perovskite Solar Cells Using Modified Bald Eagle Search Optimization Algorithm. Energies 2023, 16, 471. [Google Scholar] [CrossRef]
- Shaheen, A.M.; El-Seheimy, R.A.; Xiong, G.; Elattar, E.; Ginidi, A.R. Parameter identification of solar photovoltaic cell and module models via supply demand optimizer. Ain Shams Eng. J. 2022, 13, 101705. [Google Scholar] [CrossRef]
- El-Dabah, M.A.; El-Sehiemy, R.A.; Hasanien, H.M.; Saad, B. Photovoltaic model parameters identification using Northern Goshawk Optimization algorithm. Energy 2023, 262, 125522. [Google Scholar] [CrossRef]
- Gao, X.; Cui, Y.; Hu, J.; Xu, G.; Yu, Y. Lambert W-function based exact representation for double diode model of solar cells: Comparison on fitness and parameter extraction. Energy Convers. Manag. 2016, 127, 443–460. [Google Scholar] [CrossRef]
- Ginidi, A.R.; Shaheen, A.M.; El-sehiemy, R.A.; Elattar, E. Supply demand optimization algorithm for parameter extraction of various solar cell models. Energy Rep. 2021, 7, 5772–5794. [Google Scholar] [CrossRef]
- Yu, K.; Chen, X.; Wang, X.; Wang, Z. Parameters identification of photovoltaic models using self-adaptive teaching-learning-based optimization. Energy Convers. Manag. 2017, 145, 233–246. [Google Scholar] [CrossRef]
- Rao, R.V.; Savsani, V.J.; Vakharia, D.P. Teaching-Learning-Based Optimization: An optimization method for continuous non-linear large scale problems. Inf. Sci. 2012, 183, 1–15. [Google Scholar] [CrossRef]
- Chen, X.; Xu, B.; Mei, C.; Ding, Y.; Li, K. Teaching–learning–based artificial bee colony for solar photovoltaic parameter estimation. Appl. Energy 2018, 212, 1578–1588. [Google Scholar] [CrossRef]
- Li, S.; Gong, W.; Yan, X.; Hu, C.; Bai, D.; Wang, L.; Gao, L. Parameter extraction of photovoltaic models using an improved teaching-learning-based optimization. Energy Convers. Manag. 2019, 186, 293–305. [Google Scholar] [CrossRef]
- Long, W.; Cai, S.; Jiao, J.; Xu, M.; Wu, T. A new hybrid algorithm based on grey wolf optimizer and cuckoo search for parameter extraction of solar photovoltaic models. Energy Convers. Manag. 2020, 203, 112243. [Google Scholar] [CrossRef]
- Naeijian, M.; Rahimnejad, A.; Ebrahimi, S.M. Parameter estimation of PV solar cells and modules using Whippy Harris Hawks Optimization Algorithm. Energy Rep. 2021, 7, 4047–4063. [Google Scholar] [CrossRef]
- Xavier, F.J.; Pradeep, A.; Premkumar, M.; Kumar, C. Orthogonal learning-based Gray Wolf Optimizer for identifying the uncertain parameters of various photovoltaic models. Optik 2021, 247, 167973. [Google Scholar] [CrossRef]
- Kumar, C.; Raj, T.D.; Premkumar, M.; Raj, T.D. A new stochastic slime mould optimization algorithm for the estimation of solar photovoltaic cell parameters. Optik 2020, 223, 165277. [Google Scholar] [CrossRef]
- Qaraad, M.; Amjad, S.; Hussein, N.K.; Badawy, M.; Mirjalili, S.; Elhosseini, M.A. Photovoltaic parameter estimation using improved moth flame algorithms with local escape operators. Comput. Electr. Eng. 2023, 106, 108603. [Google Scholar] [CrossRef]
- Yu, S.; Heidari, A.A.; He, C.; Cai, Z.; Althobaiti, M.M.; Mansour, R.F.; Liang, G.; Chen, H. Parameter estimation of static solar photovoltaic models using Laplacian Nelder-Mead hunger games search. Sol. Energy 2022, 242, 79–104. [Google Scholar] [CrossRef]
- Long, W.; Jiao, J.; Liang, X.; Xu, M.; Tang, M.; Cai, S. Parameters estimation of photovoltaic models using a novel hybrid seagull optimization algorithm. Energy 2022, 249, 123760. [Google Scholar] [CrossRef]
- El-mageed, A.A.A.; Abohany, A.A.; Saad, H.M.H.; Sallam, K.M. Parameter extraction of solar photovoltaic models using queuing search optimization and differential evolution. Appl. Soft Comput. 2023, 134, 110032. [Google Scholar] [CrossRef]
- Shaban, H.; Houssein, E.H.; Pérez-cisneros, M.; Oliva, D.; Hassan, A.Y.; Ismaeel, A.A.K.; Abdelminaam, D.S.; Deb, S.; Said, M. Identification of Parameters in Photovoltaic Models through a Runge Kutta Optimizer. Mathematics 2021, 9, 2313. [Google Scholar] [CrossRef]
- Li, Y.; Yu, K.; Liang, J.; Yue, C.; Qiao, K. A landscape-aware particle swarm optimization for parameter identification of photovoltaic models. Appl. Soft Comput. 2022, 131, 109793. [Google Scholar] [CrossRef]
- Jordehi, A.R. Enhanced leader particle swarm optimisation (ELPSO): An efficient algorithm for parameter estimation of photovoltaic (PV) cells and modules. Sol. Energy 2018, 159, 78–87. [Google Scholar] [CrossRef]
- Xiong, G.; Zhang, J.; Shi, D.; Zhu, L.; Yuan, X.; Yao, G. Modified Search Strategies Assisted Crossover Whale Optimization Algorithm with Selection Operator for Parameter Extraction of Solar Photovoltaic Models. Remote Sens. 2019, 11, 2795. [Google Scholar] [CrossRef]
- Xiong, G.; Zhang, J.; Shi, D.; Yuan, X. Application of Supply-Demand-Based Optimization for Parameter Extraction of Solar Photovoltaic Models. Complexity 2019, 2019, 3923691. [Google Scholar] [CrossRef]
- Premkumar, M.; Babu, T.S.; Umashankar, S.; Sowmya, R. A new metaphor-less algorithms for the photovoltaic cell parameter estimation. Optik 2020, 208, 164559. [Google Scholar] [CrossRef]
- Yu, K.; Liang, J.J.; Qu, B.Y.; Cheng, Z.; Wang, H. Multiple learning backtracking search algorithm for estimating parameters of photovoltaic models. Appl. Energy 2018, 226, 408–422. [Google Scholar] [CrossRef]














| RTC France Solar Cell | STM6-40/36 | ||||
|---|---|---|---|---|---|
| Parameters | LL | UL | LL | UL | |
| 1DM | 0 | 1 | 0 | 2 | |
| 0 | 1 × 10−6 | 0 | 50 × 10−6 | ||
| 0 | 0.5 | 0 | 0.36 | ||
| 0 | 100 | 0 | 1000 | ||
| 1 | 2 | 1 | 2 | ||
| 2DM | 0 | 1 | 0 | 2 | |
| 0 | 1 × 10−6 | 0 | 50 × 10−6 | ||
| 0 | 0.5 | 0 | 0.36 | ||
| 0 | 100 | 0 | 1000 | ||
| 1 | 2 | 1 | 2 | ||
| 3DM | 0 | 1 | 0 | 2 | |
| 0 | 1 × 10−6 | 0 | 50 × 10−6 | ||
| 0 | 0.5 | 0 | 0.36 | ||
| 0 | 100 | 0 | 1000 | ||
| 1 | 2 | 1 | 2 | ||
| 2 | 5 | 1 | 2 | ||
| Ref. | |||||||||||
|---|---|---|---|---|---|---|---|---|---|---|---|
| 1DM | |||||||||||
| [29] | DOLADE | 0.760776 | 3.230208 × 10−7 | / | / | 0.036377093 | 53.7185226 | 1.48118359 | / | / | 9.860219 × 10−4 |
| [45] | GWOCS | 0.76077 | 3.21920 × 10−7 | / | / | 0.03639 | 53.632 | 1.4808 | / | / | 9.860700 × 10−4 |
| [47] | OLBGWO | 0.760775 | 3.23023 × 10−7 | / | / | 0.036377 | 53.718849 | 1.481184 | / | / | 9.860220 × 10−4 |
| [48] | PSO | 0.7682 | 3.30180 × 10−7 | / | / | 0.03624 | 53.59878 | 1.48334 | / | / | 9.861450 × 10−4 |
| [49] | IMFOL | 0.760776 | 3.23021 × 10−13 | / | / | 0.036377092 | 53.7185307 | 1.4811836 | / | / | 9.860219 × 10−4 |
| [49] | MFO | 0.760656 | 4.22288 × 10−13 | / | / | 0.035295103 | 62.2888994 | 1.50865857 | / | / | 1.111629 × 10−3 |
| [50] | LNMHGS | 0.760758 | 3.35381 × 10−7 | / | / | 0.0362279 | 54.7669545 | 1.48497347 | / | / | 9.886170 × 10−4 |
| [51] | HSOA | 0.760763 | 3.32135 × 10−7 | / | / | 0.036266569 | 54.4885001 | 1.48399009 | / | / | 9.874471 × 10−4 |
| [52] | IQSODE | 0.760776 | 3.23021 × 10−7 | / | / | 0.036377093 | 53.7185251 | 1.48118359 | / | / | 9.860219 × 10−4 |
| [53] | RUN | 0.760611 | 3.20 × 10−7 | / | / | 0.03641606 | 53.6707057 | 1.4802504 | / | / | 9.8624 × 10−4 |
| [54] | RLDE | 0.76078 | 3.230200 × 10−7 | / | / | 0.03638 | 53.71853 | 1.48118 | / | / | 9.860220 × 10−4 |
| [54] | FLIDE | 0.76078 | 3.230200 × 10−7 | / | / | 0.03638 | 53.71852 | 1.48118 | / | / | 9.860220 × 10−4 |
| [54] | LAPSO | 0.76078 | 3.230200 × 10−7 | / | / | 0.03638 | 53.71852 | 1.48118 | / | / | 9.86022 × 10−4 |
| BBO | 0.76073 | 3.665000 × 10−7 | / | / | 0.0356482 | 54.81141 | 1.49407 | / | / | 1.060180 × 10−3 | |
| TLBO | 0.7601 | 4.226240 × 10−7 | / | / | 0.0351926 | 63.40126 | 1.50879 | / | / | 9.868560 × 10−4 | |
| proposed | BB-TLBO | 0.760776 | 3.23021 × 10−7 | / | / | 3.63771 × 10−2 | 53.7186 | 1.48118084 | / | / | 9.860219 × 10−4 |
| 2DM | |||||||||||
| [48] | GWOCS | 0.76076 | 5.377200 × 10−7 | 2.485500 × 10−7 | / | 0.03666 | 54.7331 | 2 | 1.4588 | / | 9.833400 × 10−4 |
| [48] | OLBGWO | 0.760781 | 2.259390 × 10−7 | 6.431510 × 10−7 | / | 0.036722 | 55.307755 | 1.451328 | 1.96175 | / | 9.825560 × 10−4 |
| [48] | CWOA | 0.76077 | 2.415000 × 10−7 | 6.000000 × 10−7 | / | 0.03666 | 55.2016 | 1.45651 | 1.9899 | / | 9.827200 × 10−4 |
| [29] | DOLADE | 0.760781 | 2.259740 × 10−7 | 7.493490 × 10−7 | / | 0.03674 | 55.4854 | 1.45102 | 2 | / | 9.824849 × 10−4 |
| [49] | IMFOL | 0.760779 | 7.663201 × 10−13 | 3.673056 × 10−8 | / | 55.6567344 | 2 | 2.2515 × 10−7 | 1.4507788 | / | 9.825250 × 10−4 |
| [53] | RUN | 0.7608025 | 2.60 × 10−7 | 5.58 × 10−7 | / | 0.03644583 | 55.3832189 | 1.46347838 | 1.9996951 | / | 9.8717 × 10−4 |
| [49] | MFO | 0.760693 | 2.481684 × 10−13 | 3.604705 × 10−8 | / | 62.55984 | 1.461875 | 0.000001 | 2 | / | 1.053209 × 10−3 |
| [52] | IQSODE | 0.760781 | 7.493445 × 10−7 | 2.259746 × 10−7 | / | 0.036740429 | 55.4854438 | 2 | 1.4510169 | / | 9.824849 × 10−4 |
| [54] | RLDE | 0.76078 | 2.259700 × 10−7 | 7.493500 × 10−7 | / | 0.03674 | 55.48544 | 1.45102 | 2 | / | 9.824850 × 10−4 |
| [54] | FLIDE | 0.76078 | 7.493500 × 10−7 | 2.259700 × 10−7 | / | 0.03674 | 55.48542 | 2 | 1.45102 | / | 9.824850 × 10−4 |
| [54] | LAPSO | 0.76078 | 7.493500 × 10−7 | 2.259700 × 10−7 | / | 0.03674 | 55.48545 | 2 | 1.45102 | / | 9.82485 × 10−4 |
| BBO | 0.76083 | 1.000000 × 10−6 | 9.997310 × 10−7 | / | 0.0287533 | 100 | 1.62607 | 1.85384 | / | 1.130320 × 10−3 | |
| TLBO | 0.76065 | 4.636840 × 10−7 | 8.371750 × 10−10 | / | 0.0348009 | 64.1189 | 1.51873 | 1.62049 | / | 1.004280 × 10−3 | |
| proposed | BB-TLBO | 0.760781 | 7.48262 × 10−7 | 2.26102 × 10−7 | / | 0.036739843 | 55.48268484 | 2 | 1.451061106 | / | 9.824848 × 10−4 |
| 3DM | |||||||||||
| [48] | RAO | 0.760795 | 2.62000 × 10−13 | 2.63000 × 10−13 | 9.780000 × 10−13 | 0.03674 | 55.35801 | 1.771502 | 1.451415 | 2.41101 | 9.84569 × 10−4 |
| [48] | TLO | 0.760789 | 2.54000 × 10−13 | 4.56000 × 10−14 | 1.480000 × 10−13 | 0.03671 | 55.3144 | 1.460287 | 1.740863 | 2.25143 | 9.86125 × 10−4 |
| [53] | RUN | 0.760836723 | 3.30 × 10−12 | 2.65 × 10−7 | 8.42 × 10−8 | 0.36313464 | 53.61258389 | 1.071707 | 1.47338 | 1.572965 | 9.89133 × 10−4 |
| [48] | CS | 0.760776 | 1.40000 × 10−7 | 1.90000 × 10−7 | 3.100000 × 10−8 | 0.0363 | 53.7218 | 1.4872 | 1.4771 | 4.4663 | 9.87857 × 10−4 |
| [48] | R−II | 0.760792 | 2.60000 × 10−7 | 5.60000 × 10−12 | 5.700000 × 10−7 | 0.0366 | 54.9149 | 1.4608 | 1.1466 | 2.0208 | 9.80467 × 10−4 |
| BBO | 0.76172 | 4.88556 × 10−7 | 6.61964 × 10−7 | 1.91131 × 10−7 | 0.03082 | 46.52017159 | 1.88106 | 1.56784 | 2 | 1.22456 × 10−3 | |
| TLBO | 0.76071 | 3.51523 × 10−7 | 1.54967 × 10−9 | 7.49560 × 10−7 | 0.0359163 | 55.36847 | 1.489839 | 1.967693 | 3.50035 | 9.85769 × 10−4 | |
| proposed | BB-TLBO | 0.760781 | 2.650936 × 10−7 | 8.168814 × 10−27 | 1 × 10−6 | 0.036634534 | 55.21270072 | 1.46360555 | 2 | 2.2370724 | 9.80767 × 10−4 |
| Ref. | Algo | ||||||||||
|---|---|---|---|---|---|---|---|---|---|---|---|
| 1DM | |||||||||||
| [43] | TLBO-ABC | 1.66317 | 2.140430 × 10−6 | / | / | 3.63 × 10−3 | 17.25952 | 1.54354 | / | / | 1.806100 × 10−3 |
| [45] | GWO | 1.656206 | 7.344000 × 10−6 | / | / | 1.48 × 10−3 | 930.331 | 1.69641 | / | / | 7.141200 × 10−3 |
| [32] | CS | 1.66172 | 3.728150 × 10−6 | / | / | 1.73 × 10−3 | 21.74472 | 1.60905 | / | / | 2.515900 × 10−3 |
| [45] | GWOCS | 1.6641 | 1.744900 × 10−6 | / | / | 4.24 × 10−3 | 15.7326 | 1.5207 | / | / | 1.733700 × 10−3 |
| [49] | IMFOL | 1.6639175 | 1.729858 × 10−6 | / | / | 0.15443712 | 572.509298 | 55.74263 | / | / | 1.729815 × 10−3 |
| [49] | MFO | 1.8623975 | 0 | / | / | 0 | 32.8634387 | 27.04247 | / | / | 3.107574 × 10−1 |
| [49] | LNMHGS | 1.6634534 | 2.084166 × 10−6 | / | / | 0.1327753 | 608.102259 | 56.5036 | / | / | 1.781552 × 10−3 |
| [49] | HSOA | 1.6629825 | 2.511230 × 10−6 | / | / | 0.11062102 | 649.583949 | 57.28595 | / | / | 1.935188 × 10−3 |
| BBO | 1.66096 | 5.412135 × 10−6 | / | / | 0.00035139 | 25.84391774 | 1.656222 | / | / | 2.301350 × 10−3 | |
| TLBO | 1.6636873 | 1.781895 × 10−6 | / | / | 0.0041756 | 16.09665216 | 1.523005 | / | / | 2.141840 × 10−3 | |
| proposed | BB-TLBO | 1.6639048 | 1.73866 × 10−6 | / | / | 4.27377 × 10−3 | 15.92829602 | 1.5203 | / | / | 1.729814 × 10−3 |
| 2DM | |||||||||||
| [55] | ELPSO | 1.664843 | 6.210924 × 10−6 | 1.670100 × 10−9 | / | 0.5 | 606.8883 | 41.99348 | 67.344 | / | 1.830700 × 10−3 |
| [56] | MCSWOA | 1.6639 | 6.103000 × 10−7 | 1.176290 × 10−5 | / | 0.0054 | 16.9519 | 1.4224 | 2.1992 | / | 1.706100 × 10−3 |
| [57] | SDO | 1.6639 | 1.738500 × 10−6 | 4.999850 × 10−5 | / | 0.0043 | 15.9372 | 1.5203 | 54.5816 | / | 1.729800 × 10−3 |
| [21] | EPSO | 1.6644 | 7.401100 × 10−6 | 1.433800 × 10−6 | / | 0.26591 | 560.55 | 1.7577 | 1.4527 | / | 2.057300 × 10−3 |
| BBO | 1.6738728 | 5.703159 × 10−6 | 2.357689 × 10−5 | / | 4.75 × 10−7 | 384.0411249 | 1.931814 | 1.908805 | / | 3.292930 × 10−3 | |
| TLBO | 1.6638699 | 1.455541 × 10−6 | 5.277084 × 10−7 | / | 0.00425743 | 16.1306678 | 1.508304 | 1.708518 | / | 1.891110 × 10−3 | |
| proposed | BB-TLBO | 1.6637441 | 5.784671 × 10−8 | 5.939555 × 10−6 | / | 0.00643011 | 17.39713593 | 1.255163 | 1.80345 | / | 1.693885 × 10−3 |
| 3DM | |||||||||||
| [40] | BSDE | 1.6610885 | 1.489080 × 10−6 | 3.903720 × 10−6 | 1.365650 × 10−6 | 0.00201029 | 25.78757895 | 1.531215 | 1.868278 | 1.882878 | 2.894519 × 10−3 |
| [40] | SDO | 1.6637443 | 6.359330 × 10−6 | 8.339200 × 10−7 | 4.720130 × 10−7 | 0.00537714 | 17.00997277 | 1.995203 | 1.969208 | 1.404689 | 1.701880 × 10−3 |
| [40] | MRFO | 1.6623179 | 2.599330 × 10−6 | 6.333390 × 10−8 | 2.770140 × 10−7 | 0.0028541 | 19.10015605 | 1.566776 | 1.955282 | 1.974909 | 2.033192 × 10−3 |
| [40] | BSA | 1.6575761 | 3.506960 × 10−7 | 2.188980 × 10−7 | 1.141650 × 10−5 | 0.00466652 | 43.38223673 | 1.392706 | 1.823212 | 1.969855 | 3.654669 × 10−3 |
| [40] | CSO | 1.6608011 | 5.354570 × 10−6 | 4.538900 × 10−8 | 3.564310 × 10−7 | 0.00011186 | 25.49507041 | 1.657277 | 1.999604 | 1.85013 | 3.320772 × 10−3 |
| BBO | 1.6550041 | 6.93982 × 10−9 | 6.56508 × 10−9 | 6.89231 × 10−9 | 0.0155553 | 13.11044618 | 1.141827 | 1.334208 | 1.114979 | 3.366020 × 10−3 | |
| TLBO | 1.6631291 | 1.68041 × 10−7 | 1.97437 × 10−6 | 1.20913 × 10−10 | 0.00381094 | 17.01133833 | 1.997693 | 1.534797 | 1.555108 | 1.805210 × 10−3 | |
| proposed | BB-TLBO | 1.6637666 | 7.76195 × 10−7 | 4.22435 × 10−6 | 1.76262 × 10−8 | 0.0068122 | 17.38999711 | 1.671175 | 1.761521 | 1.184057 | 1.689064 × 10−3 |
| Ref. | Alg | ||||||
|---|---|---|---|---|---|---|---|
| 1DM | |||||||
| [52] | ECM−JADE | 9.860219 × 10−4 | 9.860219 × 10−4 | 9.860219 × 10−4 | 4.609693 × 10−17 | / | / |
| [29] | DOLADE | 9.860219 × 10−4 | 9.860219 × 10−4 | 9.860219 × 10−4 | 3.277377 × 10−17 | / | / |
| [49] | IMFOL | 9.860200 × 10−4 | 9.870500 × 10−4 | 9.897700 × 10−4 | 1.020700 × 10−6 | / | / |
| [54] | RLDE | 9.860220 × 10−4 | 9.860220 × 10−4 | 9.860220 × 10−4 | 5.451690 × 10−17 | / | / |
| [54] | LaPSO | 9.860220 × 10−4 | 9.860220 × 10−4 | 9.860220 × 10−4 | 3.668200 × 10−13 | / | / |
| [49] | MFO | 1.11160 × 10−3 | 2.20190 × 10−3 | 2.44800 × 10−3 | 3.81790 × 10−4 | / | / |
| BBO | 1.06018 × 10−3 | 2.11037 × 10−3 | 2.46065 × 10−3 | 4.74228 × 10−4 | >2000 | >20.3542 | |
| TLBO | 9.86856 × 10−4 | 1.05013 × 10−3 | 1.23504 × 10−3 | 6.75216 × 10−5 | >2000 | >10.4671 | |
| proposed | BB-TLBO | 9.860219 × 10−4 | 9.860219 × 10−4 | 9.860219 × 10−4 | 8.821895 × 10−19 | 50 | 1.137621 |
| 2DM | |||||||
| [52] | IQSODE | 9.824849 × 10−4 | 9.860260 × 10−4 | 9.836710 × 10−4 | 1.345204 × 10−6 | / | / |
| [29] | DOLADE | 9.824849 × 10−4 | 9.860219 × 10−4 | 9.826028 × 10−4 | 6.457690 × 10−7 | / | / |
| [49] | IMFOL | 9.825300 × 10−4 | 9.959600 × 10−4 | 9.867500 × 10−4 | 3.226800 × 10−6 | / | / |
| [49] | MFO | 1.053200 × 10−3 | 2.994000 × 10−3 | 2.147700 × 10−3 | 4.346400 × 10−4 | / | / |
| [54] | FLIDE | 9.824850 × 10−4 | 9.884790 × 10−4 | 1.021620 × 10−3 | 1.055370 × 10−5 | / | / |
| [54] | RLDE | 9.824850 × 10−4 | 9.858400 × 10−4 | 1.007730 × 10−3 | 4.400270 × 10−6 | / | / |
| [54] | LaPSO | 9.862120 × 10−4 | 9.824850 × 10−4 | 9.842650 × 10−4 | 1.680880 × 10−6 | / | / |
| BBO | 1.13032 × 10−3 | 2.45570 × 10−3 | 3.72398 × 10−3 | 7.68496 × 10−4 | >2000 | >20.2376 | |
| TLBO | 1.00428 × 10−3 | 1.12907 × 10−3 | 1.38165 × 10−3 | 1.11267 × 10−4 | >2000 | >22.34672 | |
| proposed | BB-TLBO | 9.824848 × 10−4 | 9.824899 × 10−4 | 9.826319 × 10−4 | 2.683117 × 10−8 | 117 | 10.75355 |
| 3DM | |||||||
| [58] | CS | 9.87857 × 10−4 | 3.51602 × 10−3 | 8.49868 × 10−1 | 2.28842 × 10−3 | / | / |
| [48] | TLO | 9.86125 × 10−4 | 2.92145 × 10−3 | 4.41563 × 10−1 | 2.19458 × 10−3 | / | / |
| [48] | RAO | 9.84569 × 10−4 | 2.01125 × 10−3 | 2.12589 × 10−1 | 9.62140 × 10−4 | / | / |
| [48] | ABC | 9.84522 × 10−4 | 3.51369 × 10−3 | 8.52365 × 10−1 | 2.28412 × 10−3 | / | / |
| BBO | 1.22456 × 10−3 | 2.36534 × 10−3 | 3.68666 × 10−3 | 6.53851 × 10−4 | >2000 | >8.7465 | |
| TLBO | 9.85769 × 10−4 | 1.04152 × 10−3 | 1.16712 × 10−3 | 5.44385 × 10−5 | >2000 | >9.2232857 | |
| proposed | BB-TLBO | 9.807670 × 10−4 | 9.807670 × 10−4 | 9.807670 × 10−4 | 3.034764 × 10−8 | 143 | 11.1490 |
| Ref. | Alg | ||||||
|---|---|---|---|---|---|---|---|
| 1DM | |||||||
| [59] | MLBSA | 1.743415 × 10−3 | 4.297333 × 10−3 | 3.329609 × 10−2 | 5.677849 × 10−3 | / | / |
| [45] | GWOCS | 1.733700 × 10−3 | 1.745700 × 10−3 | 1.752800 × 10−3 | 1.044700 × 10−5 | / | / |
| [55] | ELPSO | 2.180300 × 10−3 | 2.250300 × 10−3 | 3.716000 × 10−3 | 2.921100 × 10−4 | / | / |
| [57] | SDO | 1.729800 × 10−3 | 1.770300 × 10−3 | 1.950000 × 10−3 | 4.510800 × 10−5 | / | / |
| [49] | IMFOL | 1.887000 × 10−3 | 3.033500 × 10−3 | 4.674900 × 10−3 | 8.545400 × 10−4 | / | / |
| [49] | MFO | 3.107600 × 10−1 | 3.107600 × 10−1 | 3.107600 × 10−1 | 1.693800 × 10−16 | / | / |
| [52] | IQSODE | 1.729814 × 10−3 | 1.729814 × 10−3 | 1.729814 × 10−3 | 4.336809 × 10−19 | / | / |
| BBO | 2.301350 × 10−3 | 6.243230 × 10−3 | 1.071160 × 10−2 | 1.543310 × 10−3 | >2000 | >5.85746 | |
| TLBO | 2.141840 × 10−3 | 2.610550 × 10−3 | 3.329680 × 10−3 | 3.125230 × 10−4 | >2000 | >5.836608 | |
| proposed | BB-TLBO | 1.729814 × 10−3 | 1.729814 × 10−3 | 1.729814 × 10−3 | 6.616421 × 10−19 | 134 | 0.169081 |
| 2DM | |||||||
| [57] | SDO | 1.729800 × 10−3 | 1.811800 × 10−3 | 2.028800 × 10−3 | 7.242100 × 10−5 | / | / |
| [55] | ELPSO | 1.830700 × 10−3 | 2.035100 × 10−3 | 2.117800 × 10−3 | 8.427100 × 10−5 | / | / |
| BBO | 3.292930 × 10−3 | 5.573130 × 10−3 | 9.093230 × 10−3 | 1.479270 × 10−3 | >2000 | >8.0379308 | |
| TLBO | 1.891110 × 10−3 | 3.490130 × 10−3 | 5.263350 × 10−3 | 8.689140 × 10−4 | >2000 | >6.3345426 | |
| proposed | BB-TLBO | 1.693885 × 10−3 | 1.694230 × 10−3 | 1.697676 × 10−3 | 8.587814 × 10−7 | 117 | 5.415939 |
| 3DM | |||||||
| BBO | 3.366020 × 10−3 | 4.878470 × 10−3 | 5.759890 × 10−3 | 5.820820 × 10−4 | >2000 | >8.4645975 | |
| TLBO | 1.805210 × 10−3 | 3.299990 × 10−3 | 5.131280 × 10−3 | 1.097240 × 10−3 | >2000 | >6.3790644 | |
| proposed | BB-TLBO | 1.689064 × 10−3 | 1.689064 × 10−3 | 1.707124 × 10−3 | 1.294738 × 10−5 | 110 | 6.066541 |
Disclaimer/Publisher’s Note: The statements, opinions and data contained in all publications are solely those of the individual author(s) and contributor(s) and not of MDPI and/or the editor(s). MDPI and/or the editor(s) disclaim responsibility for any injury to people or property resulting from any ideas, methods, instructions or products referred to in the content. |
© 2023 by the authors. Licensee MDPI, Basel, Switzerland. This article is an open access article distributed under the terms and conditions of the Creative Commons Attribution (CC BY) license (https://creativecommons.org/licenses/by/4.0/).
Share and Cite
Rai, N.; Abbadi, A.; Hamidia, F.; Douifi, N.; Abdul Samad, B.; Yahya, K. Biogeography-Based Teaching Learning-Based Optimization Algorithm for Identifying One-Diode, Two-Diode and Three-Diode Models of Photovoltaic Cell and Module. Mathematics 2023, 11, 1861. https://doi.org/10.3390/math11081861
Rai N, Abbadi A, Hamidia F, Douifi N, Abdul Samad B, Yahya K. Biogeography-Based Teaching Learning-Based Optimization Algorithm for Identifying One-Diode, Two-Diode and Three-Diode Models of Photovoltaic Cell and Module. Mathematics. 2023; 11(8):1861. https://doi.org/10.3390/math11081861
Chicago/Turabian StyleRai, Nawal, Amel Abbadi, Fethia Hamidia, Nadia Douifi, Bdereddin Abdul Samad, and Khalid Yahya. 2023. "Biogeography-Based Teaching Learning-Based Optimization Algorithm for Identifying One-Diode, Two-Diode and Three-Diode Models of Photovoltaic Cell and Module" Mathematics 11, no. 8: 1861. https://doi.org/10.3390/math11081861
APA StyleRai, N., Abbadi, A., Hamidia, F., Douifi, N., Abdul Samad, B., & Yahya, K. (2023). Biogeography-Based Teaching Learning-Based Optimization Algorithm for Identifying One-Diode, Two-Diode and Three-Diode Models of Photovoltaic Cell and Module. Mathematics, 11(8), 1861. https://doi.org/10.3390/math11081861

