Next Article in Journal
Optimally Initialized Model Reference Adaptive Controller of Wearable Lower Limb Rehabilitation Exoskeleton
Next Article in Special Issue
Reconstructing the Quarterly Series of the Chilean Gross Domestic Product Using a State Space Approach
Previous Article in Journal
Curves Related to the Gergonne Point in an Isotropic Plane
Previous Article in Special Issue
The Multivariate Skewed Log-Birnbaum–Saunders Distribution and Its Associated Regression Model
 
 
Font Type:
Arial Georgia Verdana
Font Size:
Aa Aa Aa
Line Spacing:
Column Width:
Background:
Article

Some Extensions of the Asymmetric Exponentiated Bimodal Normal Model for Modeling Data with Positive Support

by
Roger Tovar-Falón
*,†,
Guillermo Martínez-Flórez
*,† and
Isaías Ceña-Tapia
Departamento de Matemáticas y Estadística, Facultad de Ciencias Básicas, Universidad de Córdoba, Montería 230002, Colombia
*
Authors to whom correspondence should be addressed.
These authors contributed equally to this work.
Mathematics 2023, 11(7), 1563; https://doi.org/10.3390/math11071563
Submission received: 30 January 2023 / Revised: 7 March 2023 / Accepted: 9 March 2023 / Published: 23 March 2023
(This article belongs to the Special Issue Probability, Statistics & Symmetry)

Abstract

It is common in many fields of knowledge to assume that the data under study have a normal distribution, which often generates mistakes in the results, since this assumption does not always coincide with the characteristics of the observations under analysis. In some cases, the data may have degrees of skewness and/or kurtosis greater than what the normal model can capture, and in others, they may present two or more modes. In this work, two new families of skewed distributions are presented that fit bimodal data with positive support. The new families were obtained from the extension of the bimodal normal distribution to the alpha-power family class. The proposed distributions were studied for their main properties, such as their probability density function, cumulative distribution function, survival function, and hazard function. The parameter estimation process was performed from a classical perspective using the maximum likelihood method. The non-singularity of Fisher’s information was demonstrated, which made it possible to find the stochastic convergence of the vector of the maximum likelihood estimators and, based on the latter, perform statistical inference via the likelihood ratio. The applicability of the proposed distributions was exemplified using real data sets.

1. Introduction

The problem of considering alternative distributions to the normal one to fit asymmetric data that present bimodal or multimodal behavior has been addressed by different authors. Elal-Olivero et al. [1], for example, introduced a bimodal extension of the skew-normal (SN) distribution of Azzalini [2] for modeling skewed bimodal data. In addition, Elal-Olivero [3] studied the bimodal-normal (BN) model, which provides a methodology for analyzing variables with two modes as an extension of the normal distribution. On the other hand, Gómez et al. [4] proposed a class of flexible bimodal SN distributions. Kim [5] considered a type of symmetric bimodal SN distribution, whereas Arnold et al. [6] extended Kim’s distribution to the situation of the asymmetric bimodal SN. Other works in this same direction were undertaken by Elal-Olivero et al. [7], who presented a class of distributions for data with positive support; Bolfarine et al. [8] studied a bimodal extension of the power-normal (PN) family of distribution, and Martínez-Flórez et al. [9] proposed a distribution that can be useful for fitting data with up to three modes.
Chakraborty et al. [10] proposed a multimodal skewed extension of the normal distribution based on the use of a trigonometric periodic skew function. The suitability of the proposed distribution was investigated by fitting data from real situations. Venegas et al. [11] considered an extension of the normal new extension of the generalized skew-normal distribution by incorporating an additional parameter that gave the distribution the flexibility to fit data with unimodal and bimodal behaviors. Statistical inference was carried out using the maximum likelihood method and the EM algorithm. Gómez-Déniz et al. [12] proposed a distribution suitable for modeling bimodality in discrete data, and that can fit biased data both positively and negatively. A virtue of this model is that it is capable of representing overdispersion phenomena present in count data obtained through a Poisson distribution. Elal-Olivero et al. [13] developed an alternative to the bimodal skew-normal distribution based on the mixture of skew-normal distributions. For a new proposal, which is called the bimodal skew-normal distribution, the authors studied the stochastic representation and verified the uniqueness of the Fisher data. This proposal presented satisfactory results for modeling bimodal data. Martínez-Flórez et al. [14] proposed two new families of distributions that are capable of modeling unimodal, bimodal, and trimodal data. The proposed distributions extended the normal model to symmetric and asymmetric trimodal situations, and involved fewer parameters to estimate than the mixtures of normal distributions. To fit positive unimodal data with high or low degrees of skewness, the gamma, Weibull, exponential, Birnbaum [15], and Birnbaum and Saunders [16] distributions and the log-normal (LN) distribution are commonly known, which involve transforming the ordinary normal distribution and are commonly used to fit right-skewed data. When the skewness and kurtosis of the distribution are above or below what is expected for the log-normal distribution, it is necessary to have distributions that fit these deviations. On the other hand, for positive data with more than one mode, Bolfarine et al. [17] presented the log-skewed bimodal distribution as a logarithmic extension of the skewed bimodal normal distribution introduced by Elal-Olivero [3]; the distribution can then be seen as an alternative to the log-normal distribution that is typically used to fit positive data with only one mode.
It is important to highlight that the bimodal distributions based on the skew-normal distribution of Azzalini [2] present information matrix singularity problems for values of the skewness parameter close to zero, which puts them at a disadvantage compared to other existing models in the literature, such as those obtained from the power-normal distribution of Durrans [18] that has a non-singular information matrix, which makes it useful for studying the behavior of distributions derived from the generic structure of these distributions and of distributions with a bimodal or multimodal basis.
In this work, bimodal distributions to model positive data are introduced. The proposals, which are based on the normal-skewed bimodal distribution and the bimodal power-normal distribution introduced by Martínez-Flórez et al. [19], are extensions of alpha-power distributions. The main properties of the resulting distributions were studied, including the probability density function, for which the shape of the cumulative distribution function, its survival function, and the Hazard function was studied. In addition, if the moments existed, the moment-generating function, the expectation, the variance, and the asymmetry and kurtosis coefficients were studied, among others.
The rest of the article is organized as follows: Section 2 introduces the exponentiated bimodal log-normal distribution and presents its main properties. The location–scale extension is performed and the statistical inference process of the distribution is carried out using the maximum likelihood method. The Fisher information matrix, which is non-singular, is also presented. In Section 3, the exponentiated elliptical bimodal log-normal distribution is presented. For this new distribution, the probability density function and the cumulative distribution function are shown explicitly. Moments and their properties in general are also presented. Parameter estimation is performed using the maximum likelihood method. Finally, in Section 4, an illustration of the new distribution is presented using a real data set, where it can be appreciated that this new distribution is a viable alternative to other existing methodologies in the statistical literature.

2. Exponentiated Bimodal Log-Normal Distribution

In this section, the exponentiated bimodal log-normal distribution is introduced, which is an extension of the EBN model of Martínez-Flórez et al. [19] in the case of bimodal data with positive support.
Definition 1.
A random variable X is said to have an exponentiated bimodal log-normal distribution if its probability density function (pdf) is given by:
f EBLN ( x ; α ) = α ( log 2 x ) ϕ ( log x ) x Φ ( log x ) ( log x ) ϕ ( log x ) α 1 ; x R + ,
where α R + and ϕ ( · ) and Φ ( · ) are the pdf and cumulative distribution function (cdf) of the standard normal distribution, respectively. We used the notation X EBLN ( α ) .
Figure 1 shows some forms of the EBLN density for some selected values of the parameter α . Note that for values of α 1 or α > 10 , the EBLN density is unimodal with a high degree to the right asymmetry, while for values of 1 < α < 10 , the shape of the EBLN density is bimodal with positive skewness, so α is a parameter that controls the skewness of the distribution and, therefore, the EBLN distribution can be useful for fitting unimodal or bimodal positively skewed data.
Notice that, by letting:
u = Φ ( log t ) ( log t ) ϕ ( log t ) d u = ( log 2 t ) ϕ ( log t ) t d t ,
then:
α ( log 2 t ) ϕ ( log t ) t Φ ( log t ) ( log t ) ϕ ( log t ) α 1 d t = α u α 1 d u = u α = [ Φ ( log t ) ( log t ) ϕ ( log t ) ] α
Therefore, it follows that the cdf of a continuous random variable EBLN is given by:
F EBLN ( x ; α ) = Φ ( log x ) ( log x ) ϕ ( log x ) α , x R + .
Given the great flexibility of the EEBLN distribution for fitting data with positive support, it can be used to find, with greater precision, the probability that a subject will survive beyond a given period of time t. This function, which corresponds to the survival function of the EEBLN model, is given by:
S EBLN ( t ) = 1 Φ ( log t ) ( log t ) ϕ ( log t ) α , t > 0 ,
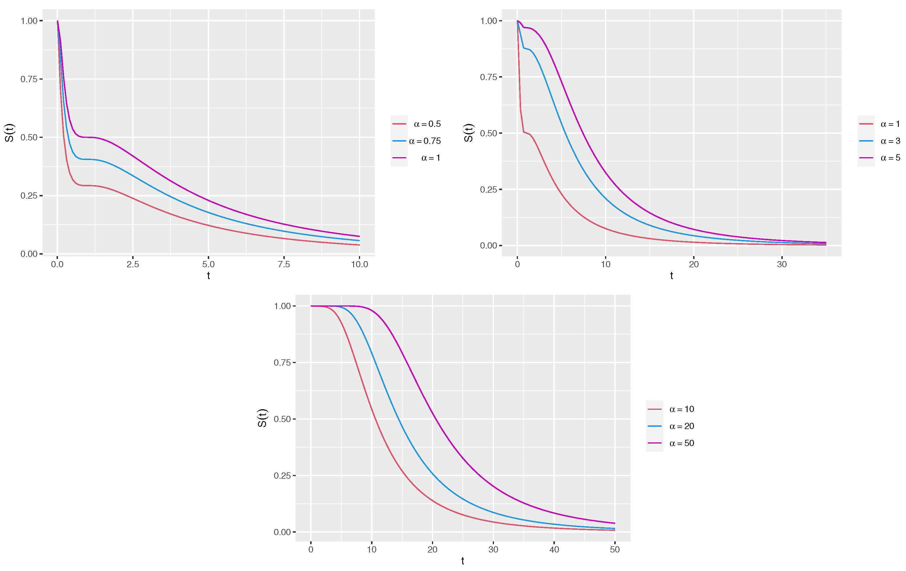
In the graphs of Figure 2, it can be seen that this is a decreasing monotonic function, with S EBLN ( 0 ) = 1 and tending to 0 as t tends to infinity.
Similarly, and supported by the flexibility of the EEBLN distribution in fitting non-negative data, this distribution can be used as a basis function to determine the failure rate of a system for data sets with positive support of the unimodal and bimodal types, or the probability of the survival of an object until the first failure occurs in the system, that is, the conditional probability of survival until failure occurs. This function, in the case of the EEBLN model, is represented by the hazard function of the distribution, which can be expressed in the form:
h EBLN ( t ) = α ( log 2 t ) ϕ ( log t ) Φ ( log t ) ( log t ) ϕ ( log t ) α 1 t 1 Φ ( log t ) ( log t ) ϕ ( log t ) α ; t > 0 ,

2.1. Properties

(i
The pdf (1) has, at most, two modes. Indeed:
Let f ( z ) = α ( log 2 z ) ϕ ( log z ) z [ Ψ ( log z ) ] α 1 , where Ψ ( log z ) = Φ ( log z ) ( log z ) ϕ ( log z ) . By letting y = log z , then z = e y , and therefore, f ( z ) can be written as:
g ( y ) = α y 2 ϕ ( y ) e y [ Ψ ( y ) ] α 1 = α y 2 ϕ ( y + 1 ) [ Ψ ( y ) ] α 1 e 1 / 2 ,
then:
log g ( y ) = log ( α ) 1 2 log ( 2 π ) + 1 2 + 2 log ( y ) 1 2 ( y + 1 ) 2 + ( α 1 ) log ( Ψ ( y ) )
then:
log g ( y ) y = 1 y ( y + 1 ) + ( α 1 ) Ψ ( y ) Ψ ( y ) , where Ψ ( y ) = y 2 ϕ ( y ) , = y 2 y + 2 y + ( α 1 ) y 2 ϕ ( y ) Ψ ( y ) = ( α 1 ) a ( y ) y 3 y 2 y + 2 y with a ( y ) = ϕ ( y ) Ψ ( y )
In addition,
2 log g ( y ) y 2 = 2 y 2 1 + ( α 1 ) Ψ ( y ) Ψ ( y ) Ψ ( y ) Ψ ( y ) 2 , where Ψ ( y ) = y ( y 2 1 ) ϕ ( y ) ,
If log g ( y ) y = 0 , then:
( α 1 ) a ( y ) y 3 y 2 y + 2 = 0
Observe that, if α > 1 and a ( y ) > 0 , the polynomial in (3) is of the degree 3; therefore, it has at most three roots. In addition, it has two changes in sign; therefore, it has two positive real roots.
For α = 1 , it holds that y 2 + y 2 = 0 , which implies that y = 2 or y = 1 , that is, z = e 2 or z = e . In addition,
2 log g ( y ) y 2 = 2 y 2 1 < 0
All the roots correspond to maximums, that is, the distribution is bimodal.
In general, notice that:
2 log g ( y ) y 2 = y 2 + 2 y 2 ( α 1 ) y ( y 2 2 ) ϕ ( y ) Ψ ( y ) + y 2 ϕ 2 ( y ) Ψ 2 ( y ) = y 2 + 2 y 2 + ( α 1 ) b ( y ) ,
where b ( y ) = y ( y 2 2 ) ϕ ( y ) Ψ ( y ) + y 2 ϕ 2 ( y ) Ψ 2 ( y ) . Then, for all roots of (3) such that b ( y ) > 0 and α > 1 , there will be two maxima. The same is true for b ( y ) < 0 and α < 1 . Thus, it was concluded that there are, at most, two modes.
(ii
If α = 1 , it follows that there is a bimodal log-normal (BLN) distribution, with the pdf given by:
f BLN x = ( log 2 x ) ϕ log x x , x R + ,
and the cdf given by:
F BLN ( x ; α ) = Φ ( log x ) ( log x ) ϕ ( log x ) , x R + .

2.2. Moments

The moments of the EBLN distribution do not have a closed analytic form and cannot be calculated explicitly; however, they can be calculated numerically. In general, the kth moment of a random variable X with an EBLN distribution can be obtained using the expression given by:
μ k = E X k = α 0 x k log 2 x ϕ ( log x ) x Φ ( log x ) ( log x ) ϕ ( log x ) α 1 d x
The expected value E X , the variance V X , and the skewness β 1 and kurtosis β 2 coefficients of the EBLN distribution can be calculated by using (6) and (7):
E [ X ] = μ 1 , V [ X ] = μ 2 , β 1 = μ 3 ( μ 2 ) 3 / 2 and β 2 = μ 4 ( μ 2 ) 2 ,
where:
μ 2 = μ 2 μ 1 2 , μ 3 = μ 3 3 μ 2 μ 1 + 2 μ 1 3 , μ 4 = μ 4 4 μ 3 μ 1 + 6 μ 2 μ 1 2 3 μ 1 4 .
The ranges of values for the coefficients β 1 and β 2 were calculated numerically for values of 0.01 < α < 1000 , and we obtained:
2.855 < β 1 < 12.053 and β 2 > 22.540 ,
which shows that the EBLN distribution is capable of fitting data with a high degree of skewness and kurtosis.

2.3. Location–Scale Extension of the EBLN Distribution

The location–scale extension of the EBLN distribution follows from the transformation log Z = ξ + η X , where X has an exponentiated bimodal normal distribution (EBN, see [19]), with ξ R and η R + . Its pdf is given by:
f EBLN z ; ξ , η , α = α η x 2 ϕ x z Φ x x ϕ x α 1 , z > 0 ,
where x = log z ξ η . The respective cdf is:
F EBLN z ; ξ , η , α = Φ log z ξ η log z ξ η ϕ log z ξ η α , z > 0 .
Note that, for α = 1 , the location–scale version of the BLN distribution was obtained, with the pdf and cdf given by:
f BLN z ; ξ , η = 1 η z log z ξ η 2 ϕ log z ξ η , z > 0 ,
and
F BLN ( z ; ξ , η ) = Φ log z ξ η log z ξ η ϕ log z ξ η , z > 0 .

2.4. Moments and Moment-Generating Function for Location–Scale Case

The kth moment of a random variable Z with a distribution EBLN ( ξ , η , α ) is obtained from the following expression:
E Z k = j = 0 k k j μ j σ k j E Z k j , where Z EBLN ( α ) .
Proposition 1.
If X EBLN ( ξ , η , α ) , then the moment-generating function (MGF) of X does not exist.
Proof. 
Let us take α = α 0 as fixed, ξ = 0 , and η = 1 ; then:
M X t = 0 α 0 x e t x log 2 x ϕ log x Φ log x ( log x ) ϕ log x α 0 1 d x , α 0 , x R + = 0 h x , t ; α 0 g x ; α 0 d x x R + ,
where h x , t ; α 0 = α 0 x e t x log 2 x ϕ log x and g x ; α 0 = Φ log x log x ϕ log x α 0 1 for all x > 0 .
If t > 0 is fixed, then:
J α 0 = 0 h x , t ; α 0 g x ; α 0 d x = , for all α 0 R + ,
since h x , t ; α 0 when x . Thus, g x ; α 0 1 when x for all α 0 R + . Consequently, J α 0 when x . □

2.5. Parameter Estimation

Consider a random sample Z = Z 1 , Z 2 , , Z n of size n, such that Z i EBLN ( ξ , η , α ) , for i = 1 , 2 , , n . The log-likelihood function for θ = ( ξ , η , α ) is given by:
θ ; Z = n log α n log η + 2 i = 1 n log x i 1 2 i = 1 n x i 2 i = 1 n log z i + α 1 i = 1 n log Φ x i x i ϕ x i n 2 log 2 π
where x i = log z i ξ η for i = 1 , 2 , , n . After some calculations, the following elements of the score function are obtained:
ξ = 1 η i = 1 n 2 x i i = 1 n x i + α 1 i = 1 n x i 2 ϕ x i F BLN z i η = 1 η 3 n i = 1 n x i 2 + α 1 i = 1 n x i 3 ϕ x i F BLN z i α = n α + i = 1 n log Φ x i x i ϕ x i
where F BLN ( · ) = F BLN ( · ; ξ , η ) is the cdf of the BLN distribution given in (10), and x i = log z i ξ η for i = 1 , 2 , , n . Taking the second partial derivative to the log-likelihood function, the following elements of the observed information matrix are obtained:
j ξ ξ = 1 η 2 i = 1 n 2 x i 2 + n + α 1 i = 1 n x i ϕ x i F BLN 2 z i x i 2 2 F BLN z i + x i 3 ϕ x i j ξ η = 1 η 2 2 i = 1 n x i + α 1 i = 1 n x i 2 ϕ x i F BLN 2 z i x i 2 3 F BLN z i + x i 3 ϕ x i j ξ α = 1 η i = 1 n x i 2 ϕ x i F BLN z i , j η α = 1 η i = 1 n x i 3 ϕ x i F BLN z i , j α α = n α 2 j η η = 1 η 2 3 n + 3 i = 1 n x i 2 + α 1 i = 1 n x i 3 ϕ x i F BLN 2 z i x i 2 4 F BLN z i + x i 3 ϕ x i
The elements of the Fisher information matrix I ( θ ) are obtained by taking the expected value of the previous expressions, becoming:
i ξ ξ = 1 η 2 E ( X 2 ) + 1 + ( α 1 ) E [ a 1 ( ( X 2 2 ) + a 3 ) ] i ξ η = 1 η 2 2 E ( X ) + ( α 1 ) E [ a 2 ( ( X 2 3 ) + a 3 ) ] i η η = 1 η 2 3 E ( X 2 ) 3 + ( α 1 ) E [ a 3 ( ( X 2 4 ) + a 3 ) ] i ξ α = a 2 η j η α = a 3 η i α α = 1 α 2
where a j = E X j ϕ X F BLN Z and X = ( log Z ξ ) / η . Taking α = 1 and using numerical methods, the following information matrix is obtained:
I θ = 3 η 2 0 0.76 η 0 6 η 2 1.01 η 0.76 η 1.01 η 1 = 1 η 2 3 0 0.76 η 0 6 1.01 η 0.76 η 1.01 η η 2
whose determinant is equal to:
I θ = 11.4741 η 4 0
Note that:
3 / η 2 = 3 / η 2 > 0 , 3 / η 2 0 0 6 / η 2 = 18 / η 2 > 0 , and I θ > 0
Then, I θ is a positive definite matrix; hence, I θ is non-singular, and therefore, the regularity conditions are satisfied (see Appendix A for more details). t follows that the variance–covariance matrix of the vector θ ^ is given by V ( θ ^ ) = I 1 θ , and for a large sample size, it follows that:
θ ^ = ( ξ ^ , η ^ , α ^ ) D N 3 ( ξ , η , α ) , I 1 ( θ ) .

3. Exponentiated Elliptical Bimodal Log-Normal Distribution

In this section, a new bimodal distribution, called the exponentiated elliptical bimodal log-normal (EEBLN) distribution for positive data, is presented. This distribution is obtained from the exponentiated elliptical bimodal normal distribution that was also proposed by Martínez-Flórez et al. [19].
Definition 2.
A random variable X is said to have an exponentiated elliptical bimodal log-normal distribution if its pdf is given by:
f EEBLN ( x ; λ , α ) = α 1 + λ log 2 x 1 + λ ϕ ( log x ) x Φ ( log x ) λ 1 + λ ( log x ) ϕ ( log x ) α 1 ,
for x R + , where α R + , λ > 0 , and ϕ ( · ) and Φ ( · ) are the pdf and cumulative distribution function (cdf) of the standard normal distribution, respectively. We used the notation X EEBLN ( α ) .
Figure 3 presents some forms of the EEBLN distribution for selected values of the parameters α and γ . It can be seen from the figure that the EEBLN density can be useful for fitting unimodal or bimodal data.
The cdf of a random variable with an EEBLN distribution is given by the expression:
F EEBLN ( x ; λ , α ) = Φ ( log x ) λ 1 + λ ( log x ) ϕ ( log x ) α , x R + .
From (13), the survival and hazard functions of the EBLN distribution can be calculated as:
S EEBLN ( t ) = 1 Φ ( log t ) λ 1 + λ ( log t ) ϕ ( log t ) α , t > 0 ,
and
h EEBLN ( t ) = α ( 1 + λ log 2 t ) ϕ ( log t ) Φ ( log t ) λ 1 + λ ( log t ) ϕ ( log t ) α 1 t ( 1 + λ ) 1 Φ ( log t ) λ 1 + λ ( log t ) ϕ ( log t ) α ; t > 0 ,
respectively. The behavior of the survival function for t > 0 values is presented in Figure 4, which is strictly non-decreasing and convergent.

3.1. Properties

(i
The pdf (12) has, at most, two modes. To demonstrate this, we took α = 1 in (12) again, and derived it to obtain:
f EEBLN x ; λ , 1 = d d x 1 + λ log 2 x 1 + λ ϕ log x x = ϕ log x 1 + λ x 2 2 λ 1 log x λ log 2 x λ log 3 x 1 .
By reasoning as in Elal-Olivero [3], it follows that f EEBLN x ; λ , 1 has a maximum of three zeros, so f EEBLN x ; λ , 1 has a maximum of two modes.
(ii
If α = 1 , the elliptical bimodal log-normal (ELBLN) distribution is obtained with the pdf given by:
f ELBLN x ; λ = 1 + λ log 2 x 1 + λ ϕ log x x , x > 0 .
  • If λ = 0 , the pdf of the exponentiated log-normal or log-power-normal (LPN) distribution studied by Martínez-Flórez et al. [20] is:
    f LPN x ; α = α x ϕ log x Φ log x α 1 , x > 0 .
  • If α = 1 and λ = 0 , the log-normal (LN) distribution is obtained.

3.2. Moments

Let X be a random variable with an EEBLN distribution. The expected value E X , the variance V X , and the skewness β 1 and kurtosis β 2 coefficients of a random variable with an EEBLN distribution can be calculated by using (7) with:
μ k = E X k = α 0 x n 1 + λ log 2 x 1 + λ ϕ ( log x ) x Φ ( log x ) λ 1 + λ ( log x ) ϕ ( log x ) α 1 d x ,
The ranges of values for the coefficients β 1 and β 2 were calculated numerically for values of 0.01 < α < 1000 , and we obtained:
1.823 < β 1 < 46.034 and β 2 > 22.645 .

3.3. Location–Scale Extension of the EEBLN Distribution

The location–scale extension of the EEBLN distribution follows from the transformation log Z = ξ + η X , where X has an exponentiated elliptical bimodal normal distribution (EEBN, see [19]) with ξ R and η R + . Its pdf is given by:
f EEBLN z ; ξ , η , λ , α = α η 1 + λ x 2 1 + λ ϕ ( x ) z Φ ( x ) λ 1 + λ x ϕ ( x ) α 1 , z > 0 ,
where x = log z ξ η . The respective cdf is:
F EEBLN z ; ξ , η , λ , α = Φ log z ξ η λ 1 + λ log z ξ η ϕ log z ξ η α , z > 0 .
Note that for α = 1 , the location–scale version of the ELBLN distribution is obtained, with the cdf given by:
F ELBLN ( z ; ξ , η , λ ) = Φ log z ξ η λ 1 + λ log z ξ η ϕ log z ξ η , z > 0 .

3.4. Moments and Moment-Generating Function for Location–Scale Case

The kth moment of a random variable Z with a distribution of EEBLN ( ξ , η , α ) is obtained from the following expression:
E Z k = j = 0 k k j μ j σ k j E X k j , where X EEBLN ( α ) .
Proposition 2.
If X EEBLN ( α , ξ , η ) , then the moment-generating function (MGF) of X does not exist.
Proof. 
This result is obtained by following a reasoning similar to that of the EBLN distribution. □

3.5. Parameter Estimation

We considered a random sample Z = Z 1 , Z 2 , , Z n of size n, such that Z i EEBLN ( ξ , η , λ , α ) , for i = 1 , 2 , , n . The log-likelihood function for θ = ( ξ , η , λ , α ) is given by:
θ ; Z = n log α n log η n log ( 1 + λ ) + i = 1 n log ( 1 + λ x i 2 ) 1 2 i = 1 n x i 2 i = 1 n log z i + ( α 1 ) i = 1 n log Φ ( x i ) λ 1 + λ x i ϕ ( x i ) n 2 log ( 2 π )
where x i = log z i ξ η for i = 1 , 2 , , n . After some calculations, the following elements of the score function are obtained:
ξ = 1 η i = 1 n 2 λ x i 1 + λ x i 2 i = 1 n x i + α 1 1 + λ i = 1 n ( 1 + λ x i 2 ) ϕ ( x i ) F ELBLN ( z i ) η = 1 η n + i = 1 n 2 λ x i 2 1 + λ x i 2 i = 1 n x i 2 + α 1 1 + λ i = 1 n x i ( 1 + λ x i 2 ) ϕ ( x i ) F ELBLN ( z i ) λ = i = 1 n x i 2 1 + λ x i 2 n 1 + λ α 1 ( 1 + λ ) 2 i = 1 n x i ϕ ( x i ) F ELBLN ( z i ) α = n α + i = 1 n log Φ ( x i ) λ 1 + λ x i ϕ ( x i )
where F ELBLN ( · ) = F ELBLN ( · ; ξ , η , λ ) is the cdf of the ELBLN distribution given in (17), and x i = log z i ξ η for i = 1 , 2 , , n .
The maximum likelihood estimates are obtained as the solution of this system of equations that results from setting the score functions equal to zero, ξ = 0 , η = 0 , λ = 0 , and α = 0 , which do not have a closed expression and must be solved via numerical methods such as the Newton–Raphson or quasi-Newton methods.
Taking the second partial derivative to the log-likelihood function, the following elements of the observed information matrix are obtained:
j ξ ξ = 1 η 2 n 2 λ i = 1 n 1 1 + λ x i 2 2 + 2 λ 2 i = 1 n x i 2 1 + λ x i 2 2 + α 1 η 2 ( 1 + λ ) 2 i = 1 n ( 1 + λ ) x i ϕ ( x i ) ( 1 2 λ ) + λ x i 2 F ELBLN ( z i ) + ( 1 + λ x i 2 ) 2 ϕ 2 ( x i ) F ELBLN 2 ( z i ) ,
j ξ η = 1 η 2 2 λ i = 1 n x i 1 + λ x i 2 2 + 2 λ 2 i = 1 n x i 3 1 + λ x i 2 2 + i = 1 n x i + α 1 η 2 ( 1 + λ ) 2 i = 1 n ( 1 + λ ) x i 2 ϕ ( x i ) ( 1 2 λ ) + λ x i 2 F ELBLN ( z i ) + x i ( 1 + λ x i 2 ) ϕ 2 ( x i ) F ELBLN 2 ( z i ) ,
j η η = 1 η 2 n 2 λ i = 1 n x i 2 ( 3 + λ x i 2 ) 1 + λ x i 2 2 + 3 i = 1 n x i 2 + α 1 η 2 ( 1 + λ ) 2 i = 1 n ( 1 + λ ) x i ϕ ( x i ) 2 + ( 1 4 λ ) x i 2 + λ x i 4 F ELBLN ( z i ) + x i 2 ( 1 + λ x i 2 ) 2 ϕ 2 ( x i ) F ELBLN 2 ( z i ) ,
j ξ λ = 2 η i = 1 n x i 1 + λ x i 2 2 + α 1 η ( 1 + λ ) 3 i = 1 n x i ( 1 + λ ) ( x i 2 1 ) ϕ ( x i ) F ELBLN ( z i ) + x i ( 1 + λ x i 2 ) ϕ 2 ( x i ) F ELBLN 2 ( z i ) ,
j η λ = 2 η i = 1 n x i 2 1 λ x i + λ x i 2 1 + λ x i 2 2 + α 1 η ( 1 + λ ) 3 i = 1 n ( 1 + λ ) ( x i 2 1 ) ϕ ( x i ) F ELBLN ( z i ) + x i ( 1 + λ x i 2 ) ϕ 2 ( x i ) F ELBLN 2 ( z i ) , j ξ α = 1 η ( 1 + λ ) i = 1 n ( 1 + λ x i 2 ) ϕ ( x i ) F ELBLN ( z i ) , j η α = 1 η ( 1 + λ ) i = 1 n x i ( 1 + λ x i 2 ) ϕ ( x i ) F ELBLN ( z i ) , j λ α = 1 ( 1 + λ ) 2 i = 1 n x i ϕ ( x i ) F ELBLN ( z i ) , j α α = n α 2 .
The elements of the expected information matrix i θ k θ k are obtained by calculating the expected value of the elements of the observed information matrix. Due to the shape of these elements, they cannot be found explicitly, so numerical methods must be used to find the respective expected values. By setting i θ k θ k = E ( j θ k θ k ) , the expected information matrix is I ( θ ) = ( i θ k θ k ) , where θ k , θ k θ = ( ξ , η , λ , α ) . Since the observed information matrix converges asymptotically to the expected information matrix, for λ 0 and large sample sizes, we have:
( ξ ^ , η ^ , λ ^ , α ^ ) D N 4 ( ξ , η , λ , α ) , I 1 ( θ ) .

4. Application of the EEBLN Distribution

This section contains an illustration with real data from the studied bimodal distributions, which are compared with other existing methodologies.
The data set used in this illustration contains 85 observations regarding the nickel content in soil samples that were analyzed by the Mining Department of the Universidad de Atacama in Chile. The aim is to show the EEBLN distribution as an alternative to modeling unimodal and/or bimodal data. Table 1 contains the main descriptive statistics of the application data. Note that the data have a high degree of kurtosis and a high degree of positive asymmetry; therefore, the EBLN and EEBLN models can be considered viable to fit this data set.
To compare the proposed distributions (EBLN and EEBLN), the flexible Birnbaum–Saunders (FBS), skewed Birnbaum–Saunders (SBS), log-normal (LN), and log-power-normal (LPN) distributions were also fitted. The fits were made using the maxLik function of the R Development Core Team [21], obtaining the maximum likelihood estimates (MLE) with their respective standard errors in parentheses, which are obtained numerically as the square root of the diagonal elements of the matrix J ^ 1 ( θ ) , where:
J ^ 1 ( θ ) = j θ k θ l
with j θ k θ l = 2 ( θ ) θ k θ l and θ k , θ l θ = ( ξ , η , λ , α ) . The results are presented in Table 2 for each of the six distributions considered. To compare the distributions in question, the AIC criteria in [22], the corrected AIC (AICC) in [23], and the Bayesian information criterion (BIC) in [24] were used. The criteria were defined by:
A I C = 2 ( θ ^ ) + 2 p , A I C C = 2 ( θ ^ ) + 2 n ( p + 1 ) n p 2 and B I C = 2 ( θ ^ ) + n log ( n ) ,
where p is the number of parameters and ( · ) is the log-likelihood function evaluated at the MLEs of the parameters. The best model is the one with the smallest AIC, AICC, or BIC.
To test the significance of the bimodality parameter λ in the data set, we considered the hypothesis system as follows:
H 0 : λ = 0 versus H 1 : λ 0 ,
which compares the fit of the LPN and EEBLN distributions to the set of data. We used the likelihood ratio (LR) statistic (see Lehmann and Romano [25]), which is given by:
Λ = L LPN ξ ^ , η ^ , α ^ L EEBLN ξ ^ , η ^ , λ ^ , α ^
where L LPN ξ ^ , η ^ , α ^ and L EEBLN ξ ^ , η ^ , λ ^ , α ^ are the likelihood functions associated with the log-power-normal and exponentiated elliptical bimodal log-normal distributions, respectively, evaluated in the maximum likelihood estimators. After evaluating, we found that 2 log Λ = 2 ( log ( L LPN ξ ^ , η ^ , α ^ ) log ( L EEBLN ξ ^ , η ^ , λ ^ , α ^ ) ) = 2 ( 333.142 + 329.2007 ) = 7.8826 , with a p value = 0.00499 < 0.05 ; therefore, the null hypothesis H 0 : λ = 0 was rejected, and the parameter λ was statistically significant to fit the nickel concentration data. Based on this hypothesis test, and the goodness-of-fit criteria AIC, AICC, and BIC (the smallest values among the considered models), it can be concluded that the EEBLN distribution has a better fit than the LPN distribution to the nickel concentration data.
Similarly, the hypothesis of EEBLN versus LN was tested through the hypothesis system:
H 0 : λ , α = 0 , 1 versus H 1 : λ , α 0 , 1 ,
with the likelihood ratio statistic:
Λ = L LN ξ ^ , η ^ L EEBLN ξ ^ , η ^ , λ ^ , α ^ .
where L LN ξ ^ , η ^ is the likelihood function associated with the log-normal distribution. The sample data led to 2 log Λ = 2 ( 333.8053 + 329.2007 ) = 9.2092 with a p-value = 0.000 < 0.05. Then, the null hypothesis was rejected. A similar reasoning based on the results of the hypothesis test and the AIC, AICC, and BIC comparison criteria allows us to conclude that both the parameters λ and α are statistically significant to fit the nickel concentration data, that is, the EEBLN distribution also has a better fit than the LN distribution to the nickel concentration data. Due to all of the above, the EEBLN distribution captures the high degree of asymmetry and kurtosis, in addition to the bimodality present in the data set.
Figure 5 shows the fitted density functions and the empirical distribution function for the variable concentration of nickel, which reveals that the fit of the EEBLN model is quite good.
In addition, we performed the Anderson–Darling (AD) goodness-of-fit test for the nickel concentration data. This test measures how well data follow a particular distribution (Anderson and Darling [26], Anderson and Darling [27]); the better the fit, the lower the AD statistic, and analogously if the p-value of the test is lower. At the specified level of significance (usually 0.05 or 0.10), it is concluded that the data do not follow the specified distribution. Therefore, the larger the p-value, the better the fit of the distribution to the data.
The hypotheses to be tested are:
Hypothesis 1 (H1).
The data follows distribution F .
versus
Hypothesis 2 (H2).
The data does not follow F distribution.
with the test statistic:
A D = n F n · F · 2 ψ F · d F · ,
where ψ F · is a distribution function chosen for testing.
Using the ad.test function from the goftest library of the R Development Core Team [21], we obtained the value of the AD statistic, as well as its corresponding p-value, from the nickel concentration data, yielding the results in Table 3.
It is clear that the EEBLN distribution presented a lower AD statistic as well as a higher p-value; therefore, it fit the nickel concentration data better compared to the other distributions considered.

5. Concluding Remarks

In this work, two new, absolutely continuous probability distributions were presented to model positive bimodal data with high or low degrees of skewness and kurtosis. The new proposals, which are called the exponentiated bimodal log-normal (EBLN) and the exponentiated elliptical bimodal log-normal (EEBLN), were obtained from the extension of the bimodal-normal distribution and the alpha-power family. For the introduced distributions, their main properties were studied as a function of probability density, cumulative distribution, survival, and hazard. Parameter estimates were made using the maximum likelihood method. It is highlighted that the expected information matrices for both distributions were non-singular.
In addition, an application was made with nickel concentration data in soil samples and the results were compared with different existing models in the literature. The results indicate that the EBLN and EEBLN distributions showed a good fit to the aforementioned data, being the best fit for the EBLPN distribution, which demonstrates the great applicability of the proposals in the analysis of real data from different areas of knowledge.
Future work contemplates extending the proposed distributions to situations where the data under analysis present censorship and regression models. Another field of interest is to carry out the inference of these types of distributions from a Bayesian perspective.

Author Contributions

Conceptualization, R.T.-F., G.M.-F. and I.C.-T.; Methodology, R.T.-F., G.M.-F. and I.C.-T.; Software, R.T.-F., G.M.-F. and I.C.-T.; Validation, R.T.-F. and G.M.-F.; Formal analysis, R.T.-F., G.M.-F. and I.C.-T.; Investigation, R.T.-F., G.M.-F. and I.C.-T.; Resources, R.T.-F.; Data curation, R.T.-F., G.M.-F. and I.C.-T.; Writing—original draft, R.T.-F. and G.M.-F.; Writing—review & editing, R.T.-F. and G.M.-F.; Supervision, R.T.-F. and G.M.-F.; Project administration, R.T.-F.; Funding acquisition, R.T.-F. All authors have read and agreed to the published version of the manuscript.

Funding

The research of R. Tovar-Falón, G. Martinez-Flórez and I. Ceña-Tapia was supported by Fondo de Investigación de la Vicerrectoría de Investigación, Universidad de Córdoba, Colombia.

Data Availability Statement

Details about available data are given in Section 4.

Acknowledgments

R. Tovar-Falón, G. Martinez-Flórez and I. Ceña-Tapia acknowledge the support given by Universidad de Córdoba, Montería, Colombia.

Conflicts of Interest

The authors declare no conflict of interest.

Appendix A. Regularity Conditions

Appendix A.1. Regularity Conditions for EBLN Distribution

Consider the density function (8), which is given by:
f z ; ξ , η , α = α η z log z ξ η 2 ϕ log z ξ η Φ log z ξ η log z ξ η ϕ log z ξ η α 1 , z > 0 ,
For simplicity, we used the notation f z ; ξ , η , α = f ( z ) . Note that f ( z ) can be written as:
g ( x ) = α η x 2 ϕ x + η Ψ ( x ) α 1 e ξ + 1 2 η 2
where Ψ ( x ) = Φ x x ϕ x and x = log z ξ η .
By applying l’Hôpital, we have that:
lim x x 2 ϕ ( x + η ) = lim x x 2 ϕ ( x + η ) = 0 ,
We also know that 0 Ψ ( x ) 1 . Then, g ( x ) is bounded. In addition, x 2 ϕ ( x ) is continuous just like Ψ ( x ) = Φ x x ϕ x . Then, g ( x ) is continuous and bounded and exists for all x R , that is, x > 0 .
Note that, for h ( x ) = x 2 ϕ ( x + η ) , h ( x ) , h ( x ) , and h ( x ) exist and are continuous just like Ψ ( x ) , Ψ ( x ) , and Ψ ( x ) , as shown by:
g θ j = g y y θ j
Then, it also holds that:
2 h θ j θ j , 3 h θ j θ j θ k , 3 Ψ θ j θ j θ k and 3 Ψ θ j θ j θ k
exist and are continuous.
Following the same reasoning of Martínez-Flórez et al. [14], it can be shown that for 0 Φ ( x ) 1 , we have that:
| log Ψ ( x ) | max { | log Ψ ( z 0 ) | , | log Ψ ( z 1 ) | }
with z 0 and z 1 such as:
log Ψ ( z 0 ) < log Ψ ( z ) < log Ψ ( z 1 ) .
In the same way, it follows that | ϕ ( x ) | 1 2 π , | ϕ ( x ) | e 1 / 2 η 2 π , 1 2 π < ϕ ( x ) < 0 , and | ϕ ( x ) | 1 η 2 2 π ( 3 + 1 ) 2 + 3 e 1 / ( 2 + 3 ) .
Based on this result and on the first four moments of the random variable X, it is also possible to demonstrate, by applying l’Hôpital, that:
log Ψ ( x ) [ Ψ ( x ) ] α 1 = α 1 α Ψ ( x ) g ( x ) < +
Using all the previous results, it can be shown that:
g θ j and 2 g θ j θ k
are bounded. In the same way, we can prove that:
log g θ j , 2 log g θ j θ k and 3 log g θ i θ j θ k
are bounded. Since the information matrix is non-singular, its rows or columns are linearly independent, which guarantees that | I ( θ ) | < + . According to Lehmann and Casella [28], it was concluded that the regularity conditions were satisfied. Therefore, the maximum likelihood estimator θ ^ is consistent, and asymptotically, we have that:
θ ^ N 3 ( θ , I 1 ( θ ) )

Appendix A.2. Regularity Conditions for EEBLN Distribution

We considered the pdf (16), given by:
f EEBLN z ; ξ , η , λ , α = α η 1 + λ x 2 1 + λ ϕ ( x ) z Φ ( x ) λ 1 + λ x ϕ ( x ) α 1 , z > 0 ,
where x = log z ξ η . Note that:
f EEBLN z ; ξ , η , λ , α = g ( x ) = k ( ξ , η , α ) M ( x ) ϕ ( x + η ) Ψ ( x ) α 1 ,
with = k ( ξ , η , α ) = ( α e ξ + 1 2 η 2 ) / η , M ( x ) = 1 + λ x 2 1 + λ , and Ψ ( x ) = Φ ( x ) λ 1 + λ x ϕ ( x ) α .
It can be seen that M ( x ) 0 is continuous and differentiable. Then, by l’Hôpital, we have that:
lim x M ( x ) ϕ ( x + η ) = lim x M ( x ) ϕ ( x + η ) = 0 ,
and, since 0 Φ ( x ) λ 1 + λ x ϕ ( x ) 1 is continuous and exists everywhere R , it follows that:
f ( x ) = α η 1 + λ x 2 1 + λ ϕ ( x ) z Φ ( x ) λ 1 + λ x ϕ ( x ) α 1
is continuous and exists everywhere R . Inasmuch as Ψ ( x ) = Φ ( x ) λ 1 + λ x ϕ ( x ) is such that 0 Φ ( x ) 1 , then log ( Φ ( x ) ) 0 almost always exists. Likewise, it is easy to show that the first three derivatives of M ( x ) , ϕ ( x ) , and Φ ( x ) with regards to z , ξ , η , λ , and α are continuous and exist almost always. The same happens for the second and third mixed derivatives of M ( x ) , ϕ ( x ) , and Φ ( x ) with regards to θ j , θ j , θ j , θ j , and θ j , where j, j , and j are in the range of ξ , η , λ , and α .
Again, following Martínez-Flórez et al. [14], we have that, for each x, it is always possible to find x 0 and x 1 such that:
| log ( Ψ ( x ) ) | max { log ( Ψ ( x 0 ) ) | , | log ( Ψ ( x 1 ) ) | }
Note that 0 Ψ ( x ) 1 ; then, it follows that E θ [ M ( x ) ϕ ( x + η ) ( Ψ ( x ) ) α 1 ] < , E θ [ M ( x ) ϕ ( x + η ) ( Ψ ( x ) ) α 1 ] E θ [ M ( x ) ϕ ( x + η ) ] < , E θ [ M ( x ) ϕ ( x + η ) ( Ψ ( x ) ) α 1 ] < , and 2 α 1 + α E θ [ ϕ ( x + η ) ] < , given that | ϕ ( x + η ) | < 1 2 π , | ϕ ( x + η ) | < 1 η 2 π e 1 / 2 , 1 2 π ϕ ( x + η ) 0 , and | ϕ ( x + η ) | 1 η 2 2 π ( 3 + 1 ) 2 + 3 e 1 / 2 ( 2 + 3 ) . In addition, notice that M ( x ) = 0 . Likewise, by l’Hôpital:
lim x log ( Ψ ( x ) ) [ Ψ ( x ) ] α 1 <
With these results, it can be shown that f θ j , 2 f θ j θ j are bounded; these same results follow for log f θ j , 2 log f θ j θ j , and 3 log f θ j θ j θ j . For α = 1 and λ > 0 , it can be shown that the rows or columns of the information matrix are linearly independent, from which it follows that the information matrix is non-singular, that is, | I ( θ ) | < and V ( θ ^ ) = I 1 ( θ ) . Under these regularity conditions, the MLE are consistent and such that:
n ( θ ^ θ ) N 4 ( θ , I 1 ( θ ) ) .

References

  1. Elal-Olivero, D.; Gómez, H.W.; Quintana, F.A. Bayesian modeling using a class of bimodal skew-elliptical distributions. J. Stat. Plan. Inference 2009, 139, 1484–1492. [Google Scholar] [CrossRef]
  2. Azzalini, A. A class of distributions which includes the normal ones. Scand. J. Stat. 1985, 12, 171–178. [Google Scholar]
  3. Elal-Olivero, D. Alpha-skew-normal distribution. Proyecciones J. Math. 2010, 29, 224–240. [Google Scholar] [CrossRef]
  4. Gómez, H.W.; Olivero, D.E.; Salinas, H.S.; Bolfarine, H. Bimodal extension based on the skew-normal distribution with application to pollen data. Environmetrics 2011, 22, 50–62. [Google Scholar] [CrossRef]
  5. Kim, H.J. On a class of two-piece skew-normal distribution. Statistics 2005, 39, 537–553. [Google Scholar] [CrossRef]
  6. Arnold, B.C.; Gómez, H.W.; Salinas, H.S. On multiple constraint skewed models. Scand. J. Stat. 2009, 43, 279–293. [Google Scholar] [CrossRef]
  7. Elal-Olivero, D.; Olivares-Pacheco, J.F.; Gómez, H.W.; Bolfarine, H. A new class of non negative distributions generated by symmetric distributions. Commun. Stat.-Theory Methods 2009, 38, 993–1008. [Google Scholar] [CrossRef]
  8. Bolfarine, H.; Martínez-Flórez, G.; Salinas, H.S. Bimodal symmetric-asymmetric power-normal families. Commun. Stat.-Theory Methods 2018, 47, 259–276. [Google Scholar] [CrossRef]
  9. Martínez-Flórez, G.; Tovar-Falón, R.; Jiménez-Narváez, M. Likelihood-Based Inference for the Asymmetric Beta-Skew Alpha-Power Distribution. Symmetry 2020, 12, 613. [Google Scholar] [CrossRef]
  10. Chakraborty, S.; Partha Jyoti Hazarika, P.J.; Ali, M.M. A multimodal skewed extension of normal distribution: Its properties and applications. Statistics 2015, 4, 859–877. [Google Scholar] [CrossRef]
  11. Venegas, O.; Salinas, H.S.; Gallardo, D.I.; Bolfarine, H.; Gómez, H.W. Bimodality based on the generalized skew-normal distribution. J. Stat. Comput. Simul. 2018, 88, 156–181. [Google Scholar] [CrossRef]
  12. Gómez-Déniz, E.; Pérez-Rodríguez, J.V.; Reyes, J.; Gómez, H.W. A Bimodal Discrete Shifted Poisson Distribution. A Case Study of Tourists’ Length of Stay. Symmetry 2020, 12, 442. [Google Scholar] [CrossRef]
  13. Elal-Olivero, D.; Olivares-Pacheco, J.F.; Venegas, O.; Bolfarine, H.; Gómez, H.W. On properties of the bimodal skew-normal distribution and an application. Mathematics 2020, 8, 703. [Google Scholar] [CrossRef]
  14. Martínez-Flórez, G.; Tovar-Falón, R.; Elal-Olivero, D. Some new flexible classes of normal distribution for fitting multimodal data. Statistics 2022, 1, 182–205. [Google Scholar] [CrossRef]
  15. Birnbaum, Z.W. Effect of linear truncation on a multinormal population. Ann. Math. Stat. 1950, 21, 272–279. [Google Scholar] [CrossRef]
  16. Birnbaum, Z.; Saunders, S.C. A new family of life distributions. J. Appl. Probab. 1969, 6, 319–327. [Google Scholar] [CrossRef]
  17. Bolfarine, H.; Gómez, H.W.; Rivas, L.I. The log-bimodal-skew-normal model. a geochemical application. J. Chemom. 2011, 25, 329–332. [Google Scholar] [CrossRef]
  18. Durrans, S.R. Distributions of fractional order statistics in hydrology. Water Resour. Res. 1992, 28, 1649–1655. [Google Scholar] [CrossRef]
  19. Martínez-Flórez, G.; Pacheco-López, M.; Tovar-Falón, R. Likelihood-based inference for the asymmetric exponentiated bimodal normal model. Rev. Colomb. EstadíStica 2022, 45, 301–326. [Google Scholar] [CrossRef]
  20. Martínez-Flórez, G.; Bolfarine, H.; Gómez, H.W. The log-power-normal distribution with application to air pollution. Environmetrics 2014, 25, 44–56. [Google Scholar] [CrossRef]
  21. R Development Core Team. R: A Language and Environment for Statistical Computing; R Foundation for Statistical Computing: Vienna, Austria, 2021; Available online: http://www.R-project.org (accessed on 31 March 2022).
  22. Akaike, H. A new look at statistical model identification. IEEE Trans. Autom. Control. 1974, AU-19, 716–722. [Google Scholar] [CrossRef]
  23. Cavanaugh, J.E. Unifying the derivations for the Akaike and corrected Akaike information criteria. Stat. Probab. Lett. 1997, 33, 201–208. [Google Scholar] [CrossRef]
  24. Schwarz, G. Estimating the dimension of a model. Ann. Stat. 1978, 6, 461–464. [Google Scholar] [CrossRef]
  25. Lehmann, E.L.; Romano, J.P. Testing Statistical Hypotheses, 4th ed.; Springer: New York, NY, USA, 2022. [Google Scholar]
  26. Anderson, T.W.; Darling, D.A. Asymptotic theory of certain “Goodness of Fit” criteria based on stochastic processes. Ann. Math. Stat. 1952, 23, 193–212. [Google Scholar] [CrossRef]
  27. Anderson, T.W.; Darling, D.A. A test of goodness of fit. J. Am. Stat. Assoc. 1954, 49, 765–769. [Google Scholar] [CrossRef]
  28. Lehmann, E.; Casella, G. Theory of Point Estimation, 2nd ed.; Springer: New York, NY, USA, 1998. [Google Scholar]
Figure 1. Probability density function of the EBLN distribution for some selected values of α .
Figure 1. Probability density function of the EBLN distribution for some selected values of α .
Mathematics 11 01563 g001
Figure 2. Survival function of the EBLN distribution for some selected values of α .
Figure 2. Survival function of the EBLN distribution for some selected values of α .
Mathematics 11 01563 g002
Figure 3. Probability density function of the EEBLN distribution for some selected values of α .
Figure 3. Probability density function of the EEBLN distribution for some selected values of α .
Mathematics 11 01563 g003
Figure 4. Survival function of the EEBLN distribution for some selected values of α .
Figure 4. Survival function of the EEBLN distribution for some selected values of α .
Mathematics 11 01563 g004
Figure 5. (Left) Fits of the EEBLN, EBLN, SBS, and FBS distributions for the nickel data. (Right) Empirical and estimated cdf of the EEBLN distribution.
Figure 5. (Left) Fits of the EEBLN, EBLN, SBS, and FBS distributions for the nickel data. (Right) Empirical and estimated cdf of the EEBLN distribution.
Mathematics 11 01563 g005
Table 1. Main descriptive statistics for nickel concentration data.
Table 1. Main descriptive statistics for nickel concentration data.
n x ¯ x ˜ S 2 S b 1 b 2
8521.5917274.67316.5732.3928.325
Table 2. Maximum likelihood estimates (standard errors) of the fitted distributions.
Table 2. Maximum likelihood estimates (standard errors) of the fitted distributions.
ParameterEBLNEEBLNFBSSBSLNLPN
ξ 1.846 (0.021)1.634 (0.170)2.828 (0.078)3.460 (0.454)
η 0.645 (0.027)0.759 (0.064)0.726 (0.055)0.490 (0.180)
α 2.973 (0.345)3.795 (0.709)0.870 (0.104)1.073 (0.201)0.311(0.314)
λ 2.585 (1.630)1.405 (0.341)1.252 (0.590)
β 5.072 (0.763)8.841 (1.998)
δ −1.520 (0.282)
AIC691.417666.401671.859675.280671.610672.284
AICC691.713666.901672.359675.576671.756672.580
BIC698.745676.172681.630678.165676.495679.611
Table 3. Anderson–Darling (AD) statistics for the EEBLN, EBLN, LPN, LN, FBS, and SBS distributions.
Table 3. Anderson–Darling (AD) statistics for the EEBLN, EBLN, LPN, LN, FBS, and SBS distributions.
DistributionADp-Value
EBLPN0.6940.563
BLPN1.4090.199
LPN1.1500.287
LN1.2840.237
FBS2.0600.085
SBS22.3170.000
Disclaimer/Publisher’s Note: The statements, opinions and data contained in all publications are solely those of the individual author(s) and contributor(s) and not of MDPI and/or the editor(s). MDPI and/or the editor(s) disclaim responsibility for any injury to people or property resulting from any ideas, methods, instructions or products referred to in the content.

Share and Cite

MDPI and ACS Style

Tovar-Falón, R.; Martínez-Flórez, G.; Ceña-Tapia, I. Some Extensions of the Asymmetric Exponentiated Bimodal Normal Model for Modeling Data with Positive Support. Mathematics 2023, 11, 1563. https://doi.org/10.3390/math11071563

AMA Style

Tovar-Falón R, Martínez-Flórez G, Ceña-Tapia I. Some Extensions of the Asymmetric Exponentiated Bimodal Normal Model for Modeling Data with Positive Support. Mathematics. 2023; 11(7):1563. https://doi.org/10.3390/math11071563

Chicago/Turabian Style

Tovar-Falón, Roger, Guillermo Martínez-Flórez, and Isaías Ceña-Tapia. 2023. "Some Extensions of the Asymmetric Exponentiated Bimodal Normal Model for Modeling Data with Positive Support" Mathematics 11, no. 7: 1563. https://doi.org/10.3390/math11071563

APA Style

Tovar-Falón, R., Martínez-Flórez, G., & Ceña-Tapia, I. (2023). Some Extensions of the Asymmetric Exponentiated Bimodal Normal Model for Modeling Data with Positive Support. Mathematics, 11(7), 1563. https://doi.org/10.3390/math11071563

Note that from the first issue of 2016, this journal uses article numbers instead of page numbers. See further details here.

Article Metrics

Back to TopTop