Next Article in Journal
Development of Grey Machine Learning Models for Forecasting of Energy Consumption, Carbon Emission and Energy Generation for the Sustainable Development of Society
Next Article in Special Issue
Solitary Wave Solution of a Generalized Fractional–Stochastic Nonlinear Wave Equation for a Liquid with Gas Bubbles
Previous Article in Journal
Nonstationary Time Series Prediction Based on Deep Echo State Network Tuned by Bayesian Optimization
Previous Article in Special Issue
The Soliton Solutions of the Stochastic Shallow Water Wave Equations in the Sense of Beta-Derivative
 
 
Font Type:
Arial Georgia Verdana
Font Size:
Aa Aa Aa
Line Spacing:
Column Width:
Background:
Article

Study of Stochastic–Fractional Drinfel’d–Sokolov–Wilson Equation for M-Shaped Rational, Homoclinic Breather, Periodic and Kink-Cross Rational Solutions

by
Shami A. M. Alsallami
1,
Syed T. R. Rizvi
2 and
Aly R. Seadawy
3,*
1
Department of Mathematical Sciences, College of Applied Science, Umm Al-Qura University, Makkah 21955, Saudi Arabia
2
Department of Mathematics, COMSATS University Islamabad, Lahore Campus, Lahore 54840, Pakistan
3
Mathematics Department, Faculty of Science, Taibah University, Al-Madinah Al-Munawarah 41411, Saudi Arabia
*
Author to whom correspondence should be addressed.
Mathematics 2023, 11(6), 1504; https://doi.org/10.3390/math11061504
Submission received: 17 January 2023 / Revised: 2 March 2023 / Accepted: 9 March 2023 / Published: 20 March 2023

Abstract

We explore stochastic–fractional Drinfel’d–Sokolov–Wilson (SFDSW) equations for some wave solutions such as the cross-kink rational wave solution, periodic cross-rational wave solution and homoclinic breather wave solution. We also examine some M-shaped solutions such as the M-shaped rational solution, M-shaped rational solution with one and two kink waves. We also derive the M-shaped interaction with rogue and kink waves and the M-shaped interaction with periodic and kink waves. This model is used in mathematical physics, surface physics, plasma physics, population dynamics and applied sciences. Moreover, we also show our results graphically in different dimensions. We obtain these solutions under some constraint conditions.

1. Introduction

Numerous branches of nonlinear science including plasma physics, geochemistry, solid-state physics, fluid mechanics [1,2,3,4], optical fibres, nuclear physics and chemical physics have been studied through nonlinear evolution equations (NLEEs) [5,6,7,8]. The travelling-wave solution for NLEEs executes a number of analytical and numerical techniques to get an exact solution for these NLEEs [9,10,11,12,13,14,15]. Recently, a variety of external stimulations including random disturbances have been involved in changing physical systems.
A stochastic differential equation (SDE) is a differential equation that has one or more stochastic processes as its terms, with the solution being another stochastic process. SDEs are used to simulate a variety of phenomena, including stock prices and physical models subject to thermal fluctuating. Consequently, SDEs have emerged and gained a lot of significance in modelling phenomena in atmospheric science, fluid mechanics, oceanography, chemistry, physics and biology [16,17].
The fractional derivative models are used for the accurate modelling of those systems that require an accurate modelling of the damping. The advantages of fractional derivatives are their flexibility and nonlocality. These derivatives can approximate real data with a greater flexibility than classical derivatives because they are of fractional order. Moreover, they consider nonlocality, which classical derivatives are unable to achieve. However, a number of significant phenomena such as anomalous diffusion, electrochemistry, acoustics, image processing and electromagnetism are represented by fractional derivative. Fractional models are more precise than integer models. In general, it is more challenging to obtain an exact solution of SDEs with fractional derivatives than classical ones. As a result, we considered the following SFDSW equations given as [18]:
d u + [ β 1 v D x ω v ] d t = ζ u d η ,
d v + [ β 2 D x x x ω v + β 3 u D x ω v + β 4 v D x ω u ] d t = ζ v d η ,
where u = u ( x , t ) , v = v ( x , t ) and β j for j = 1 , 2 , 3 , 4 are nonzero constant. η = η ( t ) is the standard Brownian motion, ζ is noise strength, and D ω is a conformable derivative for 0 < ω < 1 .
The remaining manuscript is arranged as follows: In Section 2, we explain the properties and definitions of standard Brownian motion and also discuss Hirota’s bilinear method. In Section 3, we obtain the wave equation for the SFDSW equation. In Section 4 and Section 5, we introduce the solution for the cross-kink rational solution and periodic cross-rational solution, respectively; we also examine the homoclinic breather in Section 6, M-shaped rational wave solution in Section 7, M-shaped rational wave solution with one kink and two kink waves in Section 8 and Section 9, respectively. Moreover, we obtain the M-shaped rational interaction with rogue and kink waves and the M-shaped rational interaction with periodic and kink waves in Section 10 and Section 11. In Section 12, we address results and discussion. Section 13 presents the conclusion of the paper.

2. Preliminaries

Now, we discuss the properties and definitions of a conformable derivative and standard Brownian motion. The definition of a conformable derivative is given as:
Definition 1
([19]). The conformable derivative with order ω of Q : R + R is given as:
D x ω Q ( z ) = lim m 0 Q ( z + m z 1 ω ) Q ( z ) m .
Theorem 1
([19]). Suppose that Q 1 , Q 2 : R + R are ω differential functions,
D x ω ( Q 1 o Q 2 ) ( z ) = z 1 ω Q 2 ( x ) Q 1 ( Q 2 ( x ) ) .
Some properties of the conformable derivative are given as:
1.
D z ω [ n 1 Q 1 ( z ) + n 2 Q 2 ( z ) ] = n 1 D x ω Q 1 ( z ) + n 2 D x ω Q 2 ( z ) , n 1 , n 2 ϵ R ;
2.
D z ω [ z m ] = m z m ω , m ϵ R ;
3.
D z ω Q ( x ) = z 1 ω d Q d x ;
4.
D z ω [ K ] = 0 , K is constant.
Definition 2
([20]). A stochastic system { η ( t ) } t 0 is a standard Brownian motion if
1.
η ( 0 ) = 0 ,
2.
η ( t ) , t 0 , is a continuous function of t;
3.
η ( t 1 ) η ( t 2 ) is independent for t 1 < t 2 ;
4.
With the variance t 2 t 1 and mean 0, η ( t 2 ) η ( t 1 ) has a normal distribution.
Lemma 1
([20]). E ( e γ η ( t ) ) = e 1 2 γ 2 t for γ 0 .

Hirota’s Bilinear Method

Hirota invented a method in 1971 to obtain multisoliton solutions of integrable nonlinear evolution equations. A particularly simple manifestation of multisoliton solutions was desired, therefore the aim was to convert existing variables into new ones. Hirota’s method was the quickest to provide results to find soliton solutions [21].
The standard definition of Hirota’s bilinear operators was first introduced by Hirota as:
D t n D x m ( α . β ) = ( t t ) n ( x x ) m α ( x , t ) β ( x , t ) x = x , t = t .
This type of equations can typically be made bilinear by including a new dependent variable, such as log f or f g .

3. Wave Transformation for SFDSW

For SFDSW Equations (1) and (2), we use the following wave transformation to build the wave equation [18]:
u ( x , t ) = U ( ν ) e ( ζ η ( t ) 1 2 ζ 2 t ) , v ( x , t ) = V ( ν ) e ( ζ η ( t ) 1 2 ζ 2 t ) , ν = 1 ω x ω + ϕ t ,
where U and V are real functions. Inserting Equation (3) into Equations (1) and (2), we have
d u = [ ϕ U d t + ζ U d η ] e ( ζ η ( t ) 1 2 ζ 2 t ) , d v = [ ϕ V d t + ζ V d η ] e ( ζ η ( t ) 1 2 ζ 2 t ) , D x ω v = V e ( ζ η ( t ) 1 2 ζ 2 t ) , D x ω u = U e ( ζ η ( t ) 1 2 ζ 2 t ) , D x x x ω v = V e ( ζ η ( t ) 1 2 ζ 2 t ) .
By using Equation (4) into Equations (1) and (2), we get
ϕ U + β 1 V V e ( ζ η ( t ) 1 2 ζ 2 t ) = 0 ,
ϕ V + β 2 V + β 3 U V e ( ζ η ( t ) 1 2 ζ 2 t ) + β 4 V U e ( ζ η ( t ) 1 2 ζ 2 t ) = 0 ,
and we have
ϕ U + β 1 V V e 1 2 ζ 2 t E ( e ζ η ( t ) ) = 0 ,
ϕ V + β 2 V + [ β 3 U V + β 4 V U ] e 1 2 ζ 2 t E ( e ζ η ( t ) ) = 0 .
Using Lemma 1, we have
ϕ U + β 1 V V = 0 ,
ϕ V + β 2 V + β 3 U V + β 4 V U = 0 .
Integrating Equation (9), we obtain
U = β 1 ϕ V 2 + C ,
where C is a constant. Inserting Equation (11) into Equation (10), and utilizing Equation (9), we obtain
β 2 V [ β 1 β 3 2 ϕ + β 1 β 4 ϕ ] V 2 V + [ ϕ + C β 3 ] V = 0 .
Integrating Equation (12), we have the following wave equation
V h 1 V 3 + h 2 V = 0 ,
where h 1 = β 1 β 3 6 β 2 ϕ + β 1 β 4 3 β 2 ϕ and h 2 = ϕ β 2 + C β 3 β 2 . To find the bilinear form of Equation (13), we substitute the following transformation for various solutions [22]:
V = 2 ( log f ) ν ,
6 β 3 C ϕ f 2 f + 6 β 2 ϕ f 2 f ( 3 ) + 12 β 2 ϕ f 3 4 β 1 β 3 f 3 8 β 1 β 4 f 3 + 6 ϕ 2 f 2 f 18 β 2 ϕ f f f .
Now, we study the following wave solution by using Equation (15):

4. Cross-Kink Rational Wave Solution

We use the following ansatz for the cross-kink rational wave [23]:
f = e G 1 + r 1 e G 1 + c 1 2 + c 2 2 + w 5 , c 1 = w 1 ν + w 2 , c 2 = w 3 ν + w 4 , G 1 = l 1 ν + l 2 .
Substitute Equation (16) into Equation (15). By equating the coefficients of x , t e 3 l 1 ν 3 l 2 , e 2 l 1 ν 2 l 2 , e l 1 ν l 2 , e l 1 ν + l 2 , e 2 l 1 ν + 2 l 2 , e 3 l 1 ν + 3 l 2 , e 2 ( l 1 ν + l 2 ) l 1 ν l 2 , e 2 ( l 1 ν + l 2 ) + l 1 ν + l 2 and e 2 ( l 1 ν + l 2 ) 2 l 1 ν 2 l 2 to zero, we have some values for the wave solution:
l 1 = 0 , w 1 = w 3 w 4 w 2 , w 5 = β 3 C w 2 4 + β 3 C w 2 2 w 4 2 + w 2 4 ϕ 3 β 2 w 2 2 w 3 2 + w 2 2 w 4 2 ϕ 3 β 2 w 3 2 w 4 2 w 2 2 ( β 3 C + ϕ ) .
Putting Equation (17) into Equation (16) and by using them Equation (14), we obtain
V = 2 2 w 3 ( ν w 3 + w 4 ) 2 w 3 w 4 w 2 ν w 3 w 4 w 2 w 2 Ξ + e l 2 r 1 + e l 2 + w 2 ν w 3 w 4 w 2 2 + ( ν w 3 + w 4 ) 2 .
Putting Equation (18) into Equation (11) yields
U = 4 β 1 C 2 w 3 ( ν w 3 + w 4 ) 2 w 3 w 4 w 2 ν w 3 w 4 w 2 w 2 2 ϕ Ξ + e l 2 r 1 + e l 2 + w 2 ν w 3 w 4 w 2 2 + ( ν w 3 + w 4 ) 2 2 .
Inserting Equations (18) and (19) into Equation (3), we have
u ( x , t ) = 4 β 1 C e ζ η ( t ) ζ 2 t 2 2 w 3 Δ 2 w 3 w 4 Θ w 2 2 ϕ Ξ + e l 2 r 1 + e l 2 + Θ 2 + w 3 t ϕ + x ω ω + w 4 2 2 ,
v ( x , t ) = 2 e ζ η ( t ) ζ 2 t 2 2 w 3 Δ 2 w 3 w 4 Θ w 2 Ξ + e l 2 r 1 + e l 2 + Θ 2 + Δ 2 ,
where Δ = w 3 t ϕ + x ω ω + w 4 , Θ = w 2 w 3 w 4 t ϕ + x ω ω w 2 Ξ = β 3 ( C ) w 2 4 β 3 C w 2 2 w 4 2 w 2 4 ϕ + 3 β 2 w 2 2 w 3 2 w 2 2 w 4 2 ϕ + 3 β 2 w 3 2 w 4 2 w 2 2 ( β 3 C + ϕ ) .

5. Periodic Cross-Rational Wave Solution

For periodic cross-rational waves, we utilize the given ansatz [24,25]:
f = c 1 2 + c 2 2 + r 1 cos ( G 1 ) + r 2 cosh ( G 2 ) + w 5 , a 1 = w 1 ν + w 2 , a 2 = w 3 ν + w 4 , G 1 = l 1 ν + l 2 , G 2 = l 3 ν + l 4 .
Using Equation (22) into Equation (15) and zeroing the coefficients of x , t cos ( l 1 ν + l 2 ) , cos 2 ( l 1 ν + l 2 ) , cosh ( l 3 ν + l 4 ) , cos ( l 1 ν + l 2 ) cosh ( l 3 ν + l 4 ) , cosh 2 ( l 3 ν + l 4 ) , sin ( l 1 ν + l 2 ) , sin ( l 1 ν + l 2 ) cos ( l 1 ν + l 2 ) , sin ( l 1 ν + l 2 ) cosh ( l 3 ν + l 4 ) , sin ( l 1 ν + l 2 ) cos ( l 1 ν + l 2 ) cosh ( l 3 ν + l 4 ) , sin ( l 1 ν + l 2 ) cosh 2 ( l 3 ν + l 4 ) , sinh ( l 3 ν + l 4 ) , cos ( l 1 ν + l 2 ) sinh ( l 3 ν + l 4 ) , sinh ( l 3 ν + l 4 ) cosh ( l 3 ν + l 4 ) , cos ( l 1 ν + l 2 ) sinh ( l 3 ν + l 4 ) cosh ( l 3 ν + l 4 ) , sinh ( l 3 ν + l 4 ) cosh 2 ( l 3 ν + l 4 ) and sinh 3 ( l 3 ν + l 4 ) , we get some values for the periodic cross-rational wave solution:
l 3 = β 3 C + ϕ β 2 , w 1 = w 3 w 4 w 2 ,
Putting Equation (23) into Equation (22) and then inserting into Equation (14), we obtain
V = 2 r 2 β 3 ( C ) ϕ β 2 sinh φ l 1 r 1 sin ( l 1 ν + l 2 ) 2 w 3 w 4 w 2 ν w 3 w 4 w 2 w 2 + 2 w 3 ( ν w 3 + w 4 ) r 2 cosh φ + r 1 cos ( l 1 ν + l 2 ) + w 2 ν w 3 w 4 w 2 2 + ( ν w 3 + w 4 ) 2 + w 5 .
Inserting Equation (24) into Equation (11) yields
U = 4 β 1 C r 2 β 3 ( C ) ϕ β 2 sinh φ l 1 r 1 sin ( l 1 ν + l 2 ) 2 w 3 w 4 w 2 ν w 3 w 4 w 2 w 2 + 2 w 3 ( ν w 3 + w 4 ) 2 ϕ r 2 cosh φ + r 1 cos ( l 1 ν + l 2 ) + w 2 ν w 3 w 4 w 2 2 + ( ν w 3 + w 4 ) 2 + w 5 2 ,
where φ = ν β 3 ( C ) ϕ β 2 + l 4 .
Substituting Equations (24) and (25) into Equation (3), we get
u ( x , t ) = 4 β 1 C e ζ η ( t ) ζ 2 t 2 r 2 β 3 ( C ) ϕ β 2 sinh Θ 1 l 1 r 1 sin Θ 2 2 w 3 w 4 Λ w 2 + 2 w 3 ψ 2 ϕ r 2 cosh Θ 1 + r 1 cos Θ 2 + Λ 2 + ψ 2 + w 5 2 ,
v ( x , t ) = 2 e ζ η ( t ) ζ 2 t 2 r 2 β 3 ( C ) ϕ β 2 sinh Θ 1 l 1 r 1 sin Θ 2 2 w 3 w 4 Λ w 2 + 2 w 3 ψ r 2 cosh Θ 1 + r 1 cos Θ 2 + Λ 2 + ψ 2 + w 5 ,
where Θ 1 = β 3 ( C ) ϕ β 2 t ϕ + x ω ω + l 4 , Θ 2 = l 1 t ϕ + x ω ω + l 2 , Λ = w 2 w 3 w 4 t ϕ + x ω ω w 2 and ψ = w 3 t ϕ + x ω ω + w 4 .

6. Homoclinic Breather Wave Solution

For homoclinic breather pulses, we use the following ansatz [26,27]:
f = e w ( l 1 ν + l 2 ) + r 1 e l ( w 3 ν + w 4 ) + r 2 cos ( w 1 ( l 5 ν + l 6 ) ) .
Putting Equation (28) into Equation (15), and setting the coefficients of x , t , e 3 w ( l 1 ν + l 2 ) , e w ( l 3 ν + l 4 ) 2 w ( l 1 ν + l 2 ) , e 2 w ( l 3 ν + l 4 ) w ( l 1 ν + l 2 ) , e 3 w ( l 3 ν + l 4 ) , e 2 w ( l 1 ν + l 2 ) cos ( w 1 ( l 5 ν + l 6 ) ) , cos ( w 1 ( l 5 ν + l 6 ) ) e w ( l 3 ν + l 4 ) w ( l 1 ν + l 2 ) , e 2 w ( l 3 ν + l 4 ) cos ( w 1 ( l 5 ν + l 6 ) ) , e w ( l 1 ν + l 2 ) cos 2 ( w 1 ( l 5 ν + l 6 ) ) , 6 e w ( l 3 ν + l 4 ) cos 2 ( w 1 ( l 5 ν + l 6 ) ) , e 2 w ( l 1 ν + l 2 ) sin ( w 1 ( l 5 ν + l 6 ) ) , sin ( w 1 ( l 5 ν + l 6 ) ) e w ( l 3 ν + l 4 ) w ( l 1 ν + l 2 ) , e 2 w ( l 3 ν + l 4 ) sin ( w 1 ( l 5 ν + l 6 ) ) , e w ( l 1 ν + l 2 ) sin ( w 1 ( l 5 ν + l 6 ) ) cos ( w 1 ( l 5 ν + l 6 ) ) , e w ( l 3 ν + l 4 ) sin ( w 1 ( l 5 ν + l 6 ) ) cos ( w 1 ( l 5 ν + l 6 ) ) , e 2 w ( l 1 ν + l 2 ) cos ( w 1 ( l 5 ν + l 6 ) ) , cos ( w 1 ( l 5 ν + l 6 ) ) e w ( l 3 ν + l 4 ) w ( l 1 ν + l 2 ) , cos ( w 1 ( l 5 ν + l 6 ) ) e w ( l 3 ν + l 4 ) w ( l 1 ν + l 2 ) , sin ( w 1 ( l 5 ν + l 6 ) ) cos 2 ( w 1 ( l 5 ν + l 6 ) ) , e w ( l 1 ν + l 2 ) sin 2 ( w 1 ( l 5 ν + l 6 ) ) and e w ( l 3 ν + l 4 ) sin 2 ( w 1 ( l 5 ν + l 6 ) ) to zero, we obtain the following for the homoclinic breather wave solution:
l 3 = 0 , l 1 = 4 β 3 C + 4 ϕ β 2 w , l 5 = 2 β 3 C + 2 ϕ β 2 w 1 .
Using Equation (29) into Equation (28) and then using into Equation (14), we have
V = 2 4 β 3 C 4 ϕ β 2 e w ν 4 β 3 C 4 ϕ β 2 w + l 2 r 2 2 β 3 C 2 ϕ β 2 sin w 1 ν 2 β 3 C 2 ϕ β 2 w 1 + l 6 e w ν 4 β 3 C 4 ϕ β 2 w + l 2 + r 2 cos w 1 ν 2 β 3 C 2 ϕ β 2 w 1 + l 6 + r 1 e l 4 w .
Inserting Equation (30) into Equation (11) yields
U = 4 β 1 C 4 β 3 C 4 ϕ β 2 e w ν 4 β 3 C 4 ϕ β 2 w + l 2 r 2 2 β 3 C 2 ϕ β 2 sin w 1 ν 2 β 3 C 2 ϕ β 2 w 1 + l 6 2 ϕ e w ν 4 β 3 C 4 ϕ β 2 w + l 2 + r 2 cos w 1 ν 2 β 3 C 2 ϕ β 2 w 1 + l 6 + r 1 e l 4 w 2 .
Inserting Equation (30) into Equation (31) and then into Equation (3), we get the solution for Y and Ψ ,
u ( x , t ) = e ζ η ( t ) ζ 2 t 2 4 β 1 C 4 β 3 C 4 ϕ β 2 e λ r 2 2 β 3 C 2 ϕ β 2 sin Ω 2 ϕ e λ + r 2 cos Ω + r 1 e l 4 w 2 t ϕ + x ω ω ,
v ( x , t ) = 2 e ζ η ( t ) ζ 2 t 2 4 β 3 C 4 ϕ β 2 e λ r 2 2 β 3 C 2 ϕ β 2 sin Ω e λ + r 2 cos Ω + r 1 e l 4 w ,
where Ω = w 1 2 β 3 C 2 ϕ β 2 t ϕ + x ω ω w 1 + l 6 and λ = w 4 β 3 C 4 ϕ β 2 t ϕ + x ω ω w + l 2 .

7. M-Shaped Rational Wave Solution

For the M-shaped rational wave solution, we use the following transformation [28]:
f = c 1 2 + c 2 2 + w 5 , c 1 = w 1 ν + w 2 , c 2 = w 3 ν + w 4 .
Using Equation (34) into Equation (15), we get the following values for the solution:
w 1 = 0 , w 4 = 0 , w 5 = 3 β 3 C w 2 2 ϕ + 3 w 2 2 ϕ 2 4 β 1 β 3 w 3 2 8 β 1 β 4 w 3 2 + 3 β 2 w 3 2 ϕ 3 ( ϕ ( β 3 C + ϕ ) ) .
Using Equation (35) into Equation (34) and then inserting into Equation (14), we get
V = 4 ν w 3 2 3 β 3 C w 2 2 ϕ + 3 w 2 2 ϕ 2 4 β 1 β 3 w 3 2 8 β 1 β 4 w 3 2 + 3 β 2 w 3 2 ϕ 3 ϕ ( β 3 C + ϕ ) + w 2 2 + ν 2 w 3 2 .
By using Equation (36) into Equation (11), we have
U = 16 β 1 C ν 2 w 3 4 ϕ 3 β 3 C w 2 2 ϕ + 3 w 2 2 ϕ 2 4 β 1 β 3 w 3 2 8 β 1 β 4 w 3 2 + 3 β 2 w 3 2 ϕ 3 ϕ ( β 3 C + ϕ ) + w 2 2 + ν 2 w 3 2 2 .
Substituting Equation (36) into Equation (37) and then into Equation (3), we have the solution for Y and Ψ ,
u ( x , t ) = 16 β 1 C w 3 4 e ζ η ( t ) ζ 2 t 2 t ϕ + x ω ω 2 ϕ 3 β 3 C w 2 2 ϕ + 3 w 2 2 ϕ 2 4 β 1 β 3 w 3 2 8 β 1 β 4 w 3 2 + 3 β 2 w 3 2 ϕ 3 ϕ ( β 3 C + ϕ ) + w 3 2 t ϕ + x ω ω 2 + w 2 2 2 ,
v ( x , t ) = 4 w 3 2 e ζ η ( t ) ζ 2 t 2 t ϕ + x ω ω 3 β 3 C w 2 2 ϕ + 3 w 2 2 ϕ 2 4 β 1 β 3 w 3 2 8 β 1 β 4 w 3 2 + 3 β 2 w 3 2 ϕ 3 ϕ ( β 3 C + ϕ ) + w 3 2 t ϕ + x ω ω 2 + w 2 2 .

8. M-Shaped Rational Wave Solution with One Kink Wave

For an M-shaped rational wave solution with one kink wave, we assume the following f [29]:
f = c 1 2 + c 2 2 + r 1 e G 1 + w 5 , c 1 = w 1 ν + w 2 , c 2 = w 3 ν + w 4 , G 1 = l 1 ν + l 2 .
Using Equation (40) into Equation (15) and setting the coefficients of x , t , e 3 l 1 ν + 3 l 2 , e 2 l 1 ν + 2 l 2 and e l 1 ν + l 2 to zero, we have some values for the wave solution:
w 1 = 0 , l 1 = β 3 C + ϕ β 2 , w 4 = w 3 β 3 C + ϕ β 2 ( 4 β 1 β 3 + 8 β 1 β 4 9 β 2 ϕ ) 15 ( ϕ ( β 3 C + ϕ ) ) .
Evaluating Equation (41) into Equation (40) and then putting the result into Equation (14), we have
V = 2 r 1 β 3 ( C ) ϕ β 2 e ν β 3 ( C ) ϕ β 2 + l 2 + 2 w 3 w 3 β 3 ( C ) ϕ β 2 ( 4 β 1 β 3 + 8 β 1 β 4 9 β 2 ϕ ) 15 ϕ ( β 3 C + ϕ ) + ν w 3 r 1 e ν β 3 ( C ) ϕ β 2 + l 2 + w 3 β 3 ( C ) ϕ β 2 ( 4 β 1 β 3 + 8 β 1 β 4 9 β 2 ϕ ) 15 ϕ ( β 3 C + ϕ ) + ν w 3 2 + w 2 2 + w 5 .
Substituting Equation (42) into Equation (11), we get
U = 4 β 1 C r 1 β 3 ( C ) ϕ β 2 e ν β 3 ( C ) ϕ β 2 + l 2 + 2 w 3 w 3 β 3 ( C ) ϕ β 2 ( 4 β 1 β 3 + 8 β 1 β 4 9 β 2 ϕ ) 15 ϕ ( β 3 C + ϕ ) + ν w 3 2 ϕ r 1 e ν β 3 ( C ) ϕ β 2 + l 2 + w 3 β 3 ( C ) ϕ β 2 ( 4 β 1 β 3 + 8 β 1 β 4 9 β 2 ϕ ) 15 ϕ ( β 3 C + ϕ ) + ν w 3 2 + w 2 2 + w 5 2 .
Evaluating Equations (42) and (43) into Equation (3), we obtain the solutions given below
u ( x , t ) = 4 β 1 C e ζ η ( t ) ζ 2 t 2 r 1 β 3 ( C ) ϕ β 2 e β 3 ( C ) ϕ β 2 t ϕ + x ω ω + l 2 + 2 w 3 Π 2 ϕ r 1 e β 3 ( C ) ϕ β 2 t ϕ + x ω ω + l 2 + Π 2 + w 2 2 + w 5 2 ,
v ( x , t ) = 2 e ζ η ( t ) ζ 2 t 2 r 1 β 3 ( C ) ϕ β 2 e β 3 ( C ) ϕ β 2 t ϕ + x ω ω + l 2 + 2 w 3 Π r 1 e β 3 ( C ) ϕ β 2 t ϕ + x ω ω + l 2 + Π 2 + w 2 2 + w 5 ,
where Π = w 3 β 3 ( C ) ϕ β 2 ( 4 β 1 β 3 + 8 β 1 β 4 9 β 2 ϕ ) 15 ϕ ( β 3 C + ϕ ) + w 3 t ϕ + x ω ω .

9. M-Shaped Rational Wave Solution with Two Kink Waves

For the M-shaped rational wave solution with two kink waves, we assume the following ansatz [30]:
f = c 1 2 + c 2 2 + r 1 e G 1 + r 2 e G 2 + w 5 , c 1 = w 1 ν + w 2 , c 2 = w 3 ν + w 4 , G 1 = l 1 ν + l 2 , G 2 = l 3 ν + l 4 .
Inserting Equation (46) into Equation (15) and setting the coefficients of x , t , e 3 l 1 ν + 3 l 2 , e 2 l 1 ν + 2 l 2 , e l 1 ν + l 2 , e 3 l 3 ν + 3 l 4 , e 2 l 3 ν + 2 l 4 , e l 3 ν + l 4 , e 2 l 1 ν + 2 l 2 + l 3 ν + l 4 , e l 1 ν + l 2 + 2 l 3 ν + 2 l 4 , e l 1 ν + l 2 + l 3 ν + l 4 to zero, we get some values for the wave solution:
l 3 = 0 , w 1 = 0 , w 5 = β 3 C w 2 2 + 3 β 3 C w 4 2 + w 2 2 ϕ 3 β 2 w 3 2 + 3 w 4 2 ϕ β 3 C + ϕ .
Putting Equation (47) into Equation (46) and then inserting into Equation (14), we get
V = 2 l 1 r 1 e l 1 ν + l 2 + 2 w 3 ( ν w 3 + w 4 ) β 3 ( C ) w 2 2 3 β 3 C w 4 2 w 2 2 ϕ + 3 β 2 w 3 2 3 w 4 2 ϕ β 3 C + ϕ + r 1 e l 1 ν + l 2 + e l 4 r 2 + w 2 2 + ( ν w 3 + w 4 ) 2 .
Inserting Equation (48) into Equation (11) yields
U = 4 β 1 C l 1 r 1 e l 1 ν + l 2 + 2 w 3 ( ν w 3 + w 4 ) 2 ϕ β 3 ( C ) w 2 2 3 β 3 C w 4 2 w 2 2 ϕ + 3 β 2 w 3 2 3 w 4 2 ϕ β 3 C + ϕ + r 1 e l 1 ν + l 2 + e l 4 r 2 + w 2 2 + ( ν w 3 + w 4 ) 2 2 .
Then, putting Equations (48) and (49) into Equation (3), we obtain
u ( x , t ) = 4 β 1 C e ζ η ( t ) ζ 2 t 2 l 1 r 1 e l 1 t ϕ + x ω ω + l 2 + 2 w 3 w 3 t ϕ + x ω ω + w 4 2 ϕ β 3 ( C ) w 2 2 3 β 3 C w 4 2 w 2 2 ϕ + 3 β 2 w 3 2 3 w 4 2 ϕ β 3 C + ϕ + r 1 e l 1 t ϕ + x ω ω + l 2 + e l 4 r 2 + w 3 t ϕ + x ω ω + w 4 2 + w 2 2 2 ,
v ( x , t ) = 2 e ζ η ( t ) ζ 2 t 2 l 1 r 1 e l 1 t ϕ + x ω ω + l 2 + 2 w 3 w 3 t ϕ + x ω ω + w 4 β 3 ( C ) w 2 2 3 β 3 C w 4 2 w 2 2 ϕ + 3 β 2 w 3 2 3 w 4 2 ϕ β 3 C + ϕ + r 1 e l 1 t ϕ + x ω ω + l 2 + e l 4 r 2 + w 3 t ϕ + x ω ω + w 4 2 + w 2 2 .

10. M-Shaped Interaction with Rogue and Kink Waves

For the M-shaped interaction with rogue and kink waves, we assume the following f [29]:
f = c 1 2 + c 2 2 + + r 1 cosh ( G 1 ) + r 2 e G 2 + w 5 , c 1 = w 1 ν + w 2 , c 2 = w 3 ν + w 4 , G 1 = l 1 ν + l 2 , G 2 = l 3 ν + l 4 .
By using Equation (52) into Equation (15) and setting the coefficients of x , t , e 3 l 3 ν + 3 l 4 , e 2 l 3 ν + 2 l 4 , e l 3 ν + l 4 , cosh ( l 1 ν + l 2 ) , cosh ( l 1 ν + l 2 ) , e l 3 ν + l 4 cosh ( l 1 ν + l 2 ) , cosh 2 ( l 1 ν + l 2 ) , sinh ( l 1 ν + l 2 ) , e 2 l 3 ν + 2 l 4 sinh ( l 1 ν + l 2 ) , e l 3 ν + l 4 sinh ( l 1 ν + l 2 ) , sinh ( l 1 ν + l 2 ) cosh ( l 1 ν + l 2 ) , sinh ( l 1 ν + l 2 ) cosh 2 ( l 1 ν + l 2 ) , e l 3 ν + l 4 sinh 2 ( l 1 ν + l 2 ) , sinh 2 ( l 1 ν + l 2 ) and sinh 3 ( l 1 ν + l 2 ) to zero, we are left with some values for the wave solution:
w 1 = 0 , l 3 = β 3 C + ϕ β 2 , w 4 = w 3 ( 4 β 1 β 3 9 β 2 ϕ ) β 3 C + ϕ β 2 15 ( ϕ ( β 3 C + ϕ ) ) .
Putting Equation (53) into Equation (52) and then into Equation (14), we have the solution
V = 2 ξ e ν β 3 ( C ) ν β 2 + l 4 + 2 χ Δ + w 3 + l 1 r 1 sinh ( l 1 ν + l 2 ) r 2 e ν β 3 ( C ) ν β 2 + l 4 + χ 2 + r 1 cosh ( l 1 ν + l 2 ) + w 2 2 + w 5 ,
U = 4 β 1 C ξ e ν β 3 ( C ) ν β 2 + l 4 + 2 χ Δ + w 3 + l 1 r 1 sinh ( l 1 ν + l 2 ) 2 ϕ r 2 e ν β 3 ( C ) ν β 2 + l 4 + χ 2 + r 1 cosh ( l 1 ν + l 2 ) + w 2 2 + w 5 2 ,
where ξ = r 2 β 3 ( C ) ν β 2 ν 2 β 2 β 3 ( C ) ν β 2 , χ = w 3 ( 4 β 1 β 3 9 β 2 ν ) β 3 ( C ) ν β 2 15 ν ( β 3 C + ν ) + ν w 3 and Δ = w 3 ( 4 β 1 β 3 9 β 2 ν ) β 3 ( C ) ν β 2 15 ν 2 ( β 3 C + ν ) w 3 ( 4 β 1 β 3 9 β 2 ν ) 30 β 2 ν ( β 3 C + ν ) β 3 ( C ) ν β 2 w 3 ( 4 β 1 β 3 9 β 2 ν ) β 3 ( C ) ν β 2 15 ν ( β 3 C + ν ) 2 3 β 2 w 3 β 3 ( C ) ν β 2 5 ν ( β 3 C + ν ) .
Evaluating Equations (54) and (55) into Equation (3), we obtain
u ( x , t ) = 4 β 1 C e ζ η ( t ) ζ 2 t 2 r 2 β 3 C t ϕ x ω ω β 2 t ϕ + x ω ω 2 β 2 β 3 C t ϕ x ω ω β 2 e λ + 2 Γ Λ ϱ + l 1 r 1 sinh θ 2 ϕ r 2 e λ + ϱ 2 + r 1 cosh θ + w 2 2 + w 5 2 ,
v ( x , t ) = 2 e ζ η ( t ) ζ 2 t 2 r 2 β 3 C t ϕ x ω ω β 2 t ϕ + x ω ω 2 β 2 β 3 C t ϕ x ω ω β 2 e λ + 2 Γ + Λ ϱ + l 1 r 1 sinh θ r 2 e λ + ϱ 2 + r 1 cosh θ + w 2 2 + w 5 ,
where ϱ = w 3 β 3 C t ϕ x ω ω β 2 4 β 1 β 3 9 β 2 t ϕ + x ω ω 15 t ϕ + x ω ω β 3 C + t ϕ + x ω ω + w 3 t ϕ + x ω ω , θ = l 1 t ϕ + x ω ω + l 2 ,
Γ = w 3 4 β 1 β 3 9 β 2 t ϕ + x ω ω 30 β 2 t ϕ + x ω ω β 3 C + t ϕ + x ω ω β 3 C t ϕ x ω ω β 2 w 3 β 3 C t ϕ x ω ω β 2 4 β 1 β 3 9 β 2 t ϕ + x ω ω 15 t ϕ + x ω ω 2 β 3 C + t ϕ + x ω ω ,
Λ = w 3 β 3 C t ϕ x ω ω β 2 4 β 1 β 3 9 β 2 t ϕ + x ω ω 15 t ϕ + x ω ω β 3 C + t ϕ + x ω ω 2 3 β 2 w 3 β 3 C t ϕ x ω ω β 2 5 t ϕ + x ω ω β 3 C + t ϕ + x ω ω + w 3 ,
λ = t ϕ + x ω ω β 3 C t ϕ x ω ω β 2 + l 4 .

11. M-Shaped Interaction with Periodic and Kink Waves

For the M-shaped interaction with periodic and kink waves, we use the given transformation [31,32,33]:
f = c 1 2 + c 2 2 + + r 1 cos ( G 1 ) + r 2 e G 2 + w 5 , c 1 = w 1 ν + w 2 , c 2 = w 3 ν + w 4 , G 1 = l 1 ν + l 2 , G 2 = l 3 ν + l 4 .
By using Equation (58) into Equation (15) and by comparing the coefficients of x , t , e 3 l 3 ν + 3 l 4 , e 2 l 3 ν + 2 l 4 , e l 3 ν + l 4 , cos ( l 1 ν + l 2 ) , e l 3 ν + l 4 cos ( l 1 ν + l 2 ) , cos 2 ( l 1 ν + l 2 ) , e l 3 ν + l 4 cos 2 ( l 1 ν + l 2 ) , e 2 l 3 ν + 2 l 4 sin ( l 1 ν + l 2 ) , sin ( l 1 ν + l 2 ) , e l 3 ν + l 4 sin ( l 1 ν + l 2 ) , e l 3 ν + l 4 sin ( l 1 ν + l 2 ) cos ( l 1 ν + l 2 ) , sin ( l 1 ν + l 2 ) cos ( l 1 ν + l 2 ) , sin ( l 1 ν + l 2 ) cos 2 ( l 1 ν + l 2 ) and sin 3 ( l 1 ν + l 2 ) , we get some values for the wave solution:
l 3 = 0 , w 1 = w 3 w 4 w 2 , w 5 = β 3 C w 2 4 + β 3 C w 2 2 w 4 2 + w 2 4 ϕ 3 β 2 w 2 2 w 3 2 + w 2 2 w 4 2 ϕ 3 β 2 w 3 2 w 4 2 w 2 2 ( β 3 C + ϕ ) .
After inserting Equation (59) into Equation (58) and then inserting into Equation (14), we get
V = 2 γ w 2 2 ( β 3 C + ν ) 2 + w 2 4 w 2 2 w 4 2 w 2 2 ( β 3 C + ν ) l 1 r 1 sin ( l 1 ν + l 2 ) 2 w 3 w 4 w 2 ν w 3 w 4 w 2 w 2 + 2 w 3 ( ν w 3 + w 4 ) γ w 2 2 ( β 3 C + ν ) + r 1 cos ( l 1 ν + l 2 ) + e l 4 r 2 + w 2 ν w 3 w 4 w 2 2 + ( ν w 3 + w 4 ) 2 ,
U = 4 β 1 C γ w 2 2 ( β 3 C + ν ) 2 + w 2 4 w 2 2 w 4 2 w 2 2 ( β 3 C + ν ) l 1 r 1 sin ( l 1 ν + l 2 ) 2 w 3 w 4 w 2 ν w 3 w 4 w 2 w 2 + 2 w 3 ( ν w 3 + w 4 ) 2 ϕ γ w 2 2 ( β 3 C + ν ) + r 1 cos ( l 1 ν + l 2 ) + e l 4 r 2 + w 2 ν w 3 w 4 w 2 2 + ( ν w 3 + w 4 ) 2 2 ,
where γ = β 3 ( C ) w 2 4 β 3 C w 2 2 w 4 2 ν w 2 4 + 3 β 2 w 2 2 w 3 2 ν w 2 2 w 4 2 + 3 β 2 w 3 2 w 4 2 .
By putting Equations (60) and (61), we have the following solutions
u ( x , t ) = 4 β 1 C e ζ η ( t ) ζ 2 t 2 ς w 2 2 β 3 C + t ϕ + x ω ω 2 + w 2 4 w 2 2 w 4 2 w 2 2 β 3 C + t ϕ + x ω ω l 1 r 1 sin ϖ 2 w 3 w 4 ψ w 2 + 2 w 3 κ 2 ϕ ς w 2 2 β 3 C + t ϕ + x ω ω + r 1 cos ϖ + e l 4 r 2 + ψ 2 + κ 2 2 ,
v ( x , t ) = 2 e ζ η ( t ) ζ 2 t 2 ς w 2 2 β 3 C + t ϕ + x ω ω 2 + w 2 4 w 2 2 w 4 2 w 2 2 β 3 C + t ϕ + x ω ω l 1 r 1 sin ϖ 2 w 3 w 4 ψ w 2 + 2 w 3 κ ς w 2 2 β 3 C + t ϕ + x ω ω + r 1 cos ϖ + e l 4 r 2 + ψ 2 + κ 2 ,
where ς = β 3 ( C ) w 2 4 β 3 C w 2 2 w 4 2 w 2 4 t ϕ + x ω ω w 2 2 w 4 2 t ϕ + x ω ω + 3 β 2 w 2 2 w 3 2 + 3 β 2 w 3 2 w 4 2 , ϖ = l 1 t ϕ + x ω ω + l 2 , ψ = w 2 w 3 w 4 t ϕ + x ω ω w 2 and κ = w 3 t ϕ + x ω ω + w 4 .

12. Results and Discussion

Some researchers worked on the governing model such as Askar et al., who used the (G’/G)-expansion method to find exact solutions for the fractional–stochastic Drinfel’d–Sokolov–Wilson equations [18]. Qin and Yan worked on the applications of the coupled Drinfel’d–Sokolov–Wilson equation and also used an improved F-expansion method to find exact doubly periodic solutions in terms of the rational formal Jacobi elliptic function of nonlinear partial differential equations [34].
By selecting the appropriate values for the parameter, we were able to generate the desired types of solution that indicated a wave discrepancy. In Figure 1, Figure 2, Figure 3, Figure 4, Figure 5, Figure 6, Figure 7, Figure 8, Figure 9, Figure 10, Figure 11, Figure 12, Figure 13, Figure 14, Figure 15, Figure 16, Figure 17, Figure 18, Figure 19, Figure 20, Figure 21, Figure 22, Figure 23, Figure 24, Figure 25, Figure 26, Figure 27 and Figure 28, we presented 3D, 2D, contour plots, respectively. In Figure 1, the M and W shape waves appeared with bright and dark faces. In Figure 2, we obtained a bright face and after some time, bright–dark faces appeared; in Figure 3 and Figure 4, we represented 2D and contour plots of this wave solution by using the values β 2 = 0.2 , β 3 = 3.5 , ζ = 0 , l 2 = 0.03 , Q = 5 , r 1 = 2.5 , w 2 = 5 , w 3 = 0.3 , w 4 = 0.9 , ω = 0.1 and ϕ = 1.7 . According to Equations (26) and (27), the periodic waves produced in Figure 5, Figure 6, Figure 7 and Figure 8 varied in amplitude. In Figure 9, Figure 10 and Figure 11, we can see one stripe soliton propagating at different times. The MSR solution was shown in Figure 12, Figure 13, Figure 14, Figure 15 and Figure 16, where M-shaped waves appeared with bright–dark faces. In Figure 17a and Figure 18a, one kink wave appeared and after some time, that one kink wave changed into the M-shaped wave shown in Figure 17b and Figure 18b for Equation (44) and the remaining figures for that solution showed the 2D and contour plots. The MSR solution with two kink waves in Figure 19, Figure 20 and Figure 21 with bright and dark faces was derived from Equations (50) and (51). For Equations (56) and (57) and Equations (62) and (63), the M-shaped interactions with RK and PK with some M-shaped dark and bright faces are shown in Figure 22, Figure 23, Figure 24, Figure 25, Figure 26, Figure 27 and Figure 28.

13. Conclusions

In this paper, we explored some wave solutions for stochastic–fractional Drinfel’d–Sokolov–Wilson. These equations are used in applied sciences, plasma physics, population dynamics, surface physics and mathematical physics. The obtained solutions were better and more useful and efficient for understanding a variety of significant physical phenomena. We acquired different types of solutions such as the periodic cross-rational wave solution, cross-kink rational wave solution, homoclinic breather wave solution, M-shaped rational wave solution, M-shaped rational wave solution with one kink wave, M-shaped rational wave solution with two kink waves, M-shaped interaction with rogue and kink waves, M-shaped interaction with periodic and kink waves. We also represented these wave solutions graphically.

Author Contributions

Conceptualization, S.T.R.R.; Methodology, S.T.R.R.; Writing—review & editing, S.A.M.A.; Supervision, A.R.S. All authors have read and agreed to the published version of the manuscript.

Funding

This research received no external funding.

Data Availability Statement

Not applicable.

Acknowledgments

The authors extend their appreciation to the Deanship for Research and Innovation, Ministry of Education in Saudi Arabia for funding this research work through the project number: IFP22UQU4290491DSR141.

Conflicts of Interest

The authors declare no conflict of interest.

References

  1. Sahoo, S.; Ray, S.S.; Abdou, M.A.M.; Inc, M.; Chu, Y.M. New Soliton Solutions of Fractional Jaulent-Miodek System with Symmetry Analysis. Symmetry 2020, 12, 1001. [Google Scholar] [CrossRef]
  2. Chu, Y.M.; Khan, M.S.; Abbas, M.; Ali, S.; Nazeer, W. On characterizing of bifurcation and stability analysis for time fractional glycolysis model. Chaos Solitons Fractals 2022, 165, 112804. [Google Scholar] [CrossRef]
  3. Li, R.; İlhan, O.A.; Manafian, J.; Mahmoud, K.H.; Abotaleb, M.; Kadi, A. A Mathematical Study of the (3+1)-D Variable Coefficients Generalized Shallow Water Wave Equation with Its Application in the Interaction between the Lump and Soliton Solutions. Mathematics 2022, 10, 3074. [Google Scholar] [CrossRef]
  4. Zhang, H.; Manafian, J.; Singh, G.; Ilhan, O.A.; Zekiy, A.O. N-lump and interaction solutions of localized waves to the (2 + 1)-dimensional generalized KP equation. Results Phys. 2021, 25, 104168. [Google Scholar] [CrossRef]
  5. Zhang, M.; Xie, X.; Manafian, J.; Ilhan, O.A.; Singh, G. Characteristics of the new multiple rogue wave solutions to the fractional generalized CBS-BK equation. J. Adv. Res. 2022, 38, 131–142. [Google Scholar] [CrossRef]
  6. Samraiz, M.; Mehmood, A.; Iqbal, S.; Naheed, S.; Rahman, G.; Chu, Y.-M. Generalized fractional operator with applications in mathematical physics. Chaos Solitons Fractals 2022, 165 Pt 2, 112830. [Google Scholar] [CrossRef]
  7. Huang, L.; Manafian, J.; Singh, G.; Nisar, K.S. Mahyuddin K.M. Nasution, New lump and interaction soliton, N-soliton solutions and the LSP for the (3 + 1)-D potential-YTSF-like equation. Results Phys. 2021, 29, 104713. [Google Scholar] [CrossRef]
  8. Gu, Y.; Zia, S.M.; Isam, M.; Manafian, J.; Hajar, A.; Abotaleb, M. Bilinear method and semi-inverse variational principle approach to the generalized (2+1)-dimensional shallow water wave equation. Results Phys. 2023, 45, 106213. [Google Scholar] [CrossRef]
  9. Seadawy, A.R.; Rizvi, S.T.R.; Mustafa, B.; Ali, K.; Althubiti, S. Chirped periodic waves for an cubic quintic nonlinear Schrödinger equation with self steepening and higher order nonlinearities. Chaos Solitons Fractals 2022, 156, 111804. [Google Scholar] [CrossRef]
  10. Seadawy, A.R.; Ahmad, S.; Rizvi, S.T.R.; Ali, K. Various forms of lumps and interaction solutions to generalized Vakhnenko Parkes equation arising from high-frequency wave propagation in electromagnetic physics. J. Geom. Phys. 2022, 176, 104507. [Google Scholar] [CrossRef]
  11. Rizvi, S.T.R.; Seadawy, A.R.; Farrah, N.; Ahmad, S. Application of Hirota operators for controlling soliton interactions for Bose-Einstien condensate and quintic derivative nonlinear Schrödinger equation. Chaos Solitons Fractals 2022, 159, 112128. [Google Scholar] [CrossRef]
  12. Seadawy, A.R.; Bilal, M.; Younis, M.; Rizvi, S.T.R.; Althobaiti, S.; Makhlouf, M.M. Analytical mathematical approaches for the double chain model of DNA by a novel computational technique. Chaos Solitons Fractals 2021, 144, 110669. [Google Scholar] [CrossRef]
  13. Seadawy, A.R.; Younis, M.; Baber, M.Z.; Iqbal, M.S.; Rizvi, S.T.R. Nonlinear acoustic wave structures to the Zabolotskaya Khokholov dynamical model. J. Geom. Phys. 2022, 175, 104474. [Google Scholar] [CrossRef]
  14. Jia, H.X.; Zuo, D.W.; Li, X.H.; Xiang, X.S. Breather, soliton and rogue wave of a two-component derivative nonlinear Schrödinger equation. Phys. Lett. 2021, 405, 127426. [Google Scholar] [CrossRef]
  15. Rizvi, S.T.R.; Younis, M.; Younis, B.; Ahmad, M.O. Exact optical solitons in (n+1)dimensions under anti cubic law of nonlinerity. Optik 2018, 156, 479–486. [Google Scholar]
  16. Prévôt, C.; Röckner, M. A Concise Course on Stochastic Partial Differential Equations. Lect. Notes Math. 2007, 1905, 105–148. [Google Scholar]
  17. Imkeller, P.; Monahan, A.H. Conceptual stochastic climate models. World Sci. 2002, 2, 311–326. [Google Scholar] [CrossRef]
  18. Al-Askar, F.M.; Cesarano, C.; Mohammed, W.W. The Analytical Solutions of Stochastic-Fractional Drinfel’d-Sokolov-Wilson Equations via (G’/G)-Expansion Method. Symmetry 2022, 14, 2105. [Google Scholar] [CrossRef]
  19. Khalil, R.; Al Horani, M.; Yousef, A.; Sababheh, M. A new definition of fractional derivative. J. Comput. Appl. Math. 2014, 264, 65–70. [Google Scholar] [CrossRef]
  20. Calin, O. An Informal Introduction to Stochastic Calculus with Applications; World Scientific Publication Co. Pte. Ltd.: Singapore, 2015; p. 332. [Google Scholar]
  21. Hirota, R. Exact solution of the Korteweg-de Vries equation for multiple collisions of solitons. Phys. Rev. Lett. 1971, 27, 1192–1194. [Google Scholar] [CrossRef]
  22. Yang, J.Y.; Ma, W.X.; Qin, Z. Lump and lump-soliton solutions to the (2+1)-dimensional Ito equation. Anal. Math. Phys. 2018, 8, 427–436. [Google Scholar] [CrossRef]
  23. Seadawy, A.R.; Rizvi, S.T.; Ashraf, M.A.; Younis, M.; Hanif, M. Rational solutions and their interactions with kink and periodic waves for a nonlinear dynamical phenomenon. Int. J. Mod. Phys. 2021, 35, 2150236. [Google Scholar] [CrossRef]
  24. Rizvi, S.T.R.; Seadawy, A.R.; Ashraf, M.; Younis, M. Breather, multi-wave, periodic-cross kink, M-shaped and interactions solutions for perturbed NLSE with quadratic cubic nonlinearity. Opt. Quantum Electron. 2021, 53, 631. [Google Scholar]
  25. Manafian, J.; Ivatloo, B.M.; Abapour, M. Breather wave, periodic, and cross-kink solutions to the generalized Bogoyavlensky-Konopelchenko equation. Math. Methods Appl. Sci. 2020, 43, 1753–1774. [Google Scholar] [CrossRef]
  26. Seadawy, A.R.; Rizvi, S.T.R.; Ashraf, M.A.; Younis, M.; Khaliq, A.; Balwanu, D. Rogue, multi-wave, homoclinic breather, M-shaped rational and periodic-kink solutions for a nonlinear model describing vibrations. Results Phys. 2021, 29, 104654. [Google Scholar]
  27. Ahmed, S.; Seadawy, A.R.; Rizvi, S.T.R. Study of breathers, rougue waves and lump soliton for the nonlinear chains of atoms. Opt. Quantum Electron. 2022, 54, 320. [Google Scholar] [CrossRef]
  28. Ahmed, I.; Seadawy, A.R.; Lu, D. M-shaped rational solitons and their interaction with kink waves in the Fokas–Lenells equation. Phys. Scripta 2019, 94, 055205. [Google Scholar] [CrossRef]
  29. Ashraf, F.; Seadawy, A.R.; Rizvi, S.T.R.; Ali, K.; Ashraf, M.A. Multi-wave, M-shaped rational and interaction solutions for fractional nonlinear electrical transmission line equation. J. Geom. Phys. 2022, 177, 104503. [Google Scholar] [CrossRef]
  30. Ali, I.; Seadawy, A.R.; Rizvi, S.T.R.; Younis, M.; Ali, K. Conserved quantities along with Painleve analysis and Optical solitons for the nonlinear dynamics of Heisenberg ferromagnetic spin chains model. Int. J. Mod. Phys. B 2020, 34, 2050283. [Google Scholar] [CrossRef]
  31. Faridi, W.A.; Asjad, M.I.; Toseef, M. Analysis of propagating wave structures of the cold bosonic atoms in a zig-zag optical lattice via comparison with two different analytical techniques. Opt. Quantum Electron. 2022, 54, 773. [Google Scholar] [CrossRef]
  32. Ren, B.; Lin, J.; Lou, Z.M. A new nonlinear equation with lump-soliton, lump-periodic, and lump-periodic-soliton solutions. Complexity 2019, 2019, 4072754. [Google Scholar] [CrossRef]
  33. Rizvi, S.T.R.; Seadawy, A.R.; Younis, M.; Ali, K.; Iqbal, H. Lump-solition, lump-multisoliton and lump periodic solutions of generalized hyperelastic rod equation. Mod. Phys. 2021, 35, 2150188. [Google Scholar]
  34. Qin, Z.X.; Yan, Z.H. An improved F-expansion method and its application to coupled Drinfel’d-Sokolov-Wilson equation. Commun. Theor. Phys. 2008, 50, 309–314. [Google Scholar]
Figure 1. Show the behaviour of u ( x , t ) in Equation (20), it is presented with β 1 = 3.5 ,   β 2 = 0.2 ,   β 3 = 1.5 ,   ζ = 0 ,   l 2 = 0.3 ,   Q = 2 ,   r 1 = 1.5 ,   w 2 = 2.5 ,   w 3 = 7.3 ,   w 4 = 1.9 and ϕ = 4.7 . (a,b) shows 3D graphs presenting bright and dark faces for ω = 0.8 and ω = 0.5 respectively, (c,d) show 2D graphs for bright and dark faces for ω = 0.8 and ω = 0.5 respectively. (e,f) show contour graphs for bright and dark faces for ω = 0.8 and ω = 0.5 respectively.
Figure 1. Show the behaviour of u ( x , t ) in Equation (20), it is presented with β 1 = 3.5 ,   β 2 = 0.2 ,   β 3 = 1.5 ,   ζ = 0 ,   l 2 = 0.3 ,   Q = 2 ,   r 1 = 1.5 ,   w 2 = 2.5 ,   w 3 = 7.3 ,   w 4 = 1.9 and ϕ = 4.7 . (a,b) shows 3D graphs presenting bright and dark faces for ω = 0.8 and ω = 0.5 respectively, (c,d) show 2D graphs for bright and dark faces for ω = 0.8 and ω = 0.5 respectively. (e,f) show contour graphs for bright and dark faces for ω = 0.8 and ω = 0.5 respectively.
Mathematics 11 01504 g001
Figure 2. (ac) show three-dimensional plots.
Figure 2. (ac) show three-dimensional plots.
Mathematics 11 01504 g002
Figure 3. (ac) show two-dimensional plots.
Figure 3. (ac) show two-dimensional plots.
Mathematics 11 01504 g003
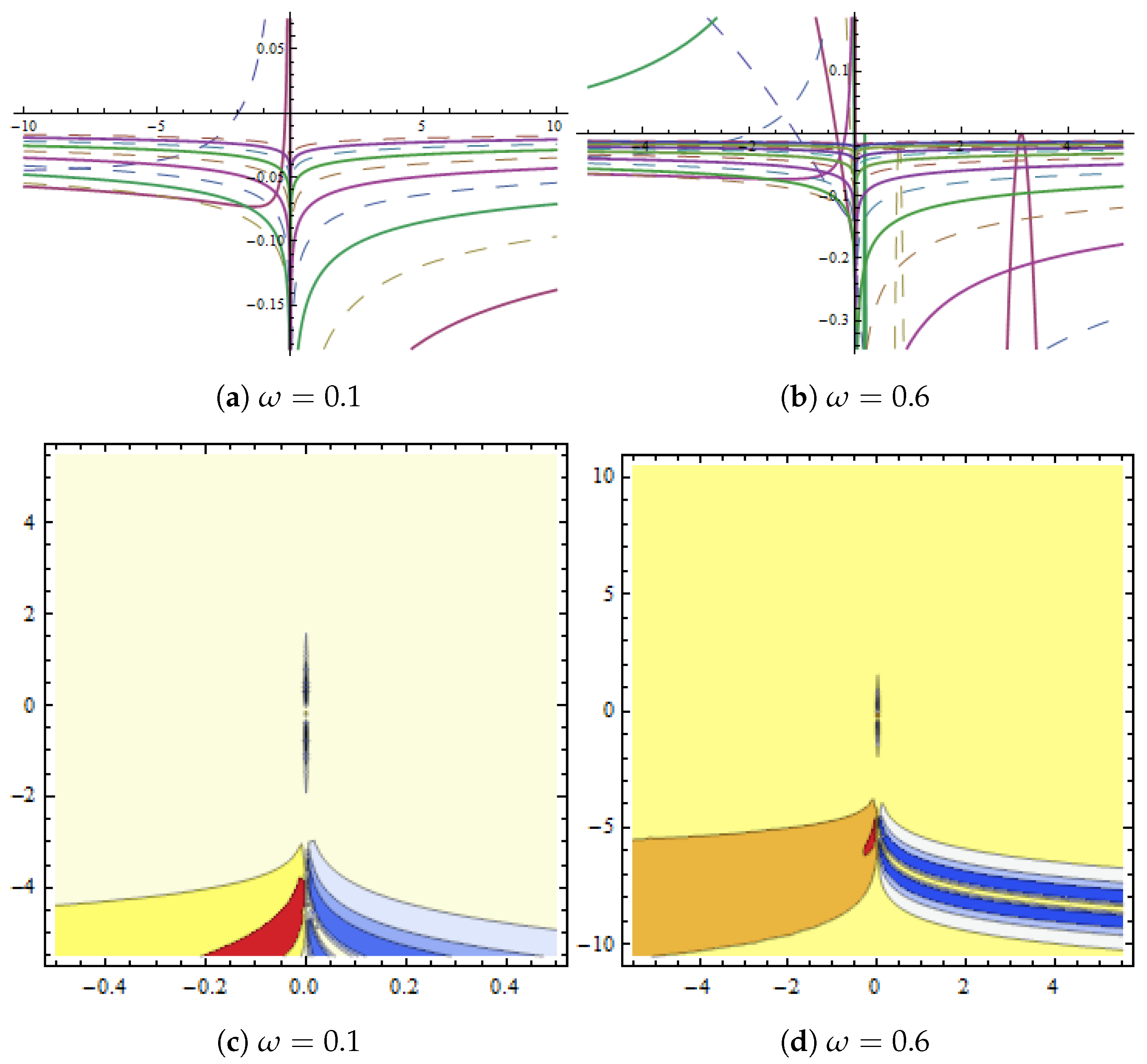
Figure 4. Graphical demonstration of the two-dimensional and three-dimensional representations and contour of solution v ( x , t ) in Equation (21) with β 2 = 0.2 ,   β 3 = 3.5 ,   ζ = 0 ,   l 2 = 0.03 ,   Q = 5 ,   r 1 = 2.5 ,   w 2 = 5 ,   w 3 = 0.3 ,   w 4 = 0.9 ,   and ϕ = 1.7 . (ac) show contour graphs.
Figure 4. Graphical demonstration of the two-dimensional and three-dimensional representations and contour of solution v ( x , t ) in Equation (21) with β 2 = 0.2 ,   β 3 = 3.5 ,   ζ = 0 ,   l 2 = 0.03 ,   Q = 5 ,   r 1 = 2.5 ,   w 2 = 5 ,   w 3 = 0.3 ,   w 4 = 0.9 ,   and ϕ = 1.7 . (ac) show contour graphs.
Mathematics 11 01504 g004
Figure 5. (a,b) show 3D plots and (c,d) show two-dimensional plots.
Figure 5. (a,b) show 3D plots and (c,d) show two-dimensional plots.
Mathematics 11 01504 g005
Figure 6. (a,b) show contour plots. The graphical behaviour of u ( x , t ) in Equation (26) is presented with β 1 = 0.3 ,   β 2 = 0.2 ,   β 3 = 0.5 ,   β 4 = 0.4 ,   ζ = 0 ,   l 1 = 0.3 ,   l 2 = 0.1 ,   l 4 = 4.5 ,   l 5 = 0.5 ,   Q = 1.2 ,   r 1 = 2.5 ,   r 2 = 3.2 ,   w 2 = 0.2 ,   w 3 = 3.1 ,   w 4 = 1.5 ,   w 5 = 5 and ϕ = 1.4 .
Figure 6. (a,b) show contour plots. The graphical behaviour of u ( x , t ) in Equation (26) is presented with β 1 = 0.3 ,   β 2 = 0.2 ,   β 3 = 0.5 ,   β 4 = 0.4 ,   ζ = 0 ,   l 1 = 0.3 ,   l 2 = 0.1 ,   l 4 = 4.5 ,   l 5 = 0.5 ,   Q = 1.2 ,   r 1 = 2.5 ,   r 2 = 3.2 ,   w 2 = 0.2 ,   w 3 = 3.1 ,   w 4 = 1.5 ,   w 5 = 5 and ϕ = 1.4 .
Mathematics 11 01504 g006
Figure 7. (a,b) show three-dimensional plots and (c,d) show two-dimensional plots.
Figure 7. (a,b) show three-dimensional plots and (c,d) show two-dimensional plots.
Mathematics 11 01504 g007
Figure 8. Graphical demonstration of solution v ( x , t ) in Equation (27) presented with β 1 = 0.3 ,   β 2 = 0.2 ,   β 3 = 0.5 ,   β 4 = 0.04 ,   ζ = 0 ,   l 1 = 0.1 ,   l 2 = 0.01 ,   l 4 = 4.4 ,   l 5 = 0.5 ,   Q = 1.2 ,   r 1 = 2.5 ,   r 2 = 3.2 ,   w 2 = 0.02 ,   w 3 = 3.1 ,   w 4 = 1.5 ,   w 5 = 5 and ϕ = 1.4 . (a,b) show contour plots for various values of ω .
Figure 8. Graphical demonstration of solution v ( x , t ) in Equation (27) presented with β 1 = 0.3 ,   β 2 = 0.2 ,   β 3 = 0.5 ,   β 4 = 0.04 ,   ζ = 0 ,   l 1 = 0.1 ,   l 2 = 0.01 ,   l 4 = 4.4 ,   l 5 = 0.5 ,   Q = 1.2 ,   r 1 = 2.5 ,   r 2 = 3.2 ,   w 2 = 0.02 ,   w 3 = 3.1 ,   w 4 = 1.5 ,   w 5 = 5 and ϕ = 1.4 . (a,b) show contour plots for various values of ω .
Mathematics 11 01504 g008
Figure 9. (a,b) show 3D plots and (c,d) show 2D plots.
Figure 9. (a,b) show 3D plots and (c,d) show 2D plots.
Mathematics 11 01504 g009
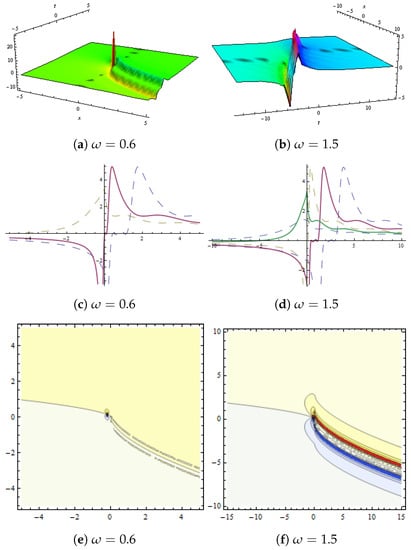
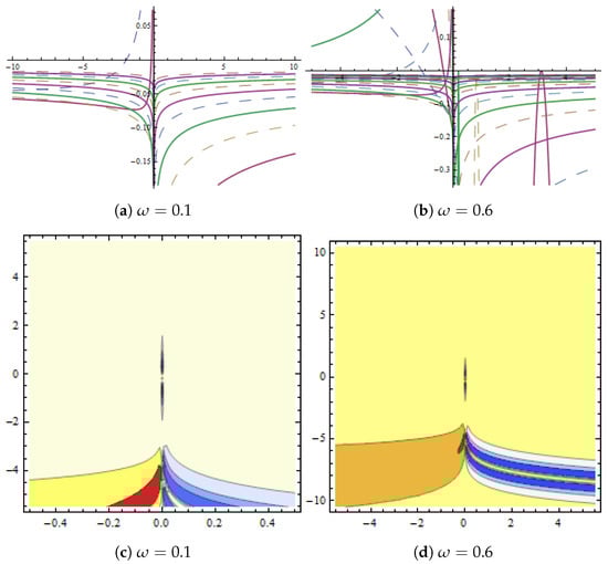
Figure 10. Dynamical behaviour of u ( x , t ) in Equation (32) presented with β 1 = 1.2 ,   β 2 = 0.2 ,   β 3 = 3.5 ,   ζ = 0 ,   l 2 = 0.3 ,   l 4 = 4.2 ,   l 6 = 1.6 ,   Q = 0.5 ,   r 1 = 1.5 ,   r 2 = 2.5 ,   w = 3 ,   w 1 = 2.5 ,   and ϕ = 1.3 . (a,b) show contour plots for various values of ω .
Figure 10. Dynamical behaviour of u ( x , t ) in Equation (32) presented with β 1 = 1.2 ,   β 2 = 0.2 ,   β 3 = 3.5 ,   ζ = 0 ,   l 2 = 0.3 ,   l 4 = 4.2 ,   l 6 = 1.6 ,   Q = 0.5 ,   r 1 = 1.5 ,   r 2 = 2.5 ,   w = 3 ,   w 1 = 2.5 ,   and ϕ = 1.3 . (a,b) show contour plots for various values of ω .
Mathematics 11 01504 g010
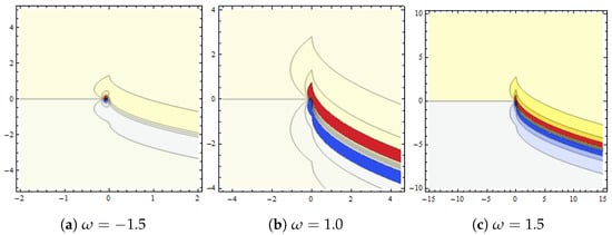
Figure 11. (ac) show 3D graphs. Dynamical representation of solution v ( x , t ) in Equation (33) with β 2 = 0.2 ,   β 3 = 3.5 ,   ζ = 0 ,   l 2 = 0.03 ,   Q = 5 ,   r 1 = 2.5 ,   w 2 = 5 ,   w 3 = 0.3 ,   w 4 = 0.9 ,   ϕ = 1.7 . (df) show 2D plots and (gi) represent contour graphs for various values of ω .
Figure 11. (ac) show 3D graphs. Dynamical representation of solution v ( x , t ) in Equation (33) with β 2 = 0.2 ,   β 3 = 3.5 ,   ζ = 0 ,   l 2 = 0.03 ,   Q = 5 ,   r 1 = 2.5 ,   w 2 = 5 ,   w 3 = 0.3 ,   w 4 = 0.9 ,   ϕ = 1.7 . (df) show 2D plots and (gi) represent contour graphs for various values of ω .
Mathematics 11 01504 g011
Figure 12. (a,b) show 3D plots.
Figure 12. (a,b) show 3D plots.
Mathematics 11 01504 g012
Figure 13. Dynamical behaviour of u ( x , t ) in Equation (38) presented with β 1 = 0.3 ,   β 2 = 2.2 ,   β 3 = 0.5 ,   β 4 = 5.4 ,   ζ = 0 ,   Q = 2 ,   w 2 = 1.1 ,   w 3 = 3.2 and ϕ = 1.4 . (a,b) show 2D plots and (c,d) represent contour plots for different values of ω .
Figure 13. Dynamical behaviour of u ( x , t ) in Equation (38) presented with β 1 = 0.3 ,   β 2 = 2.2 ,   β 3 = 0.5 ,   β 4 = 5.4 ,   ζ = 0 ,   Q = 2 ,   w 2 = 1.1 ,   w 3 = 3.2 and ϕ = 1.4 . (a,b) show 2D plots and (c,d) represent contour plots for different values of ω .
Mathematics 11 01504 g013
Figure 14. (ac) show 3D plots.
Figure 14. (ac) show 3D plots.
Mathematics 11 01504 g014
Figure 15. (ac) show 2D plots.
Figure 15. (ac) show 2D plots.
Mathematics 11 01504 g015
Figure 16. Behaviour of v ( x , t ) in Equation (39) presented with β 1 = 1.3 ,   β 2 = 0.2 ,   β 3 = 1.5 ,   β 4 = 0.4 ,   ζ = 0 ,   Q = 5.2 ,   w 2 = 0.1 ,   w 3 = 3 and ϕ = 1.4 . (ac) show contour graphs for various values of ω .
Figure 16. Behaviour of v ( x , t ) in Equation (39) presented with β 1 = 1.3 ,   β 2 = 0.2 ,   β 3 = 1.5 ,   β 4 = 0.4 ,   ζ = 0 ,   Q = 5.2 ,   w 2 = 0.1 ,   w 3 = 3 and ϕ = 1.4 . (ac) show contour graphs for various values of ω .
Mathematics 11 01504 g016
Figure 17. Dynamical demonstration of u ( x , t ) in Equation (44) presented with β 1 = 1.3 ,   β 2 = 0.2 ,   β 3 = 3.5 ,   β 4 = 0.4 ,   ζ = 0 ,   l 2 = 0.1 ,   l 5 = 0.5 ,   Q = 3.2 ,   r 1 = 2.5 ,   w 2 = 2 ,   w 3 = 3.5 ,   w 5 = 1.5 ,   and ϕ = 5.4 . (a,b) show 3D graph of lump wave, (c,d) represent 2D graph and (e,f) show contour plot.
Figure 17. Dynamical demonstration of u ( x , t ) in Equation (44) presented with β 1 = 1.3 ,   β 2 = 0.2 ,   β 3 = 3.5 ,   β 4 = 0.4 ,   ζ = 0 ,   l 2 = 0.1 ,   l 5 = 0.5 ,   Q = 3.2 ,   r 1 = 2.5 ,   w 2 = 2 ,   w 3 = 3.5 ,   w 5 = 1.5 ,   and ϕ = 5.4 . (a,b) show 3D graph of lump wave, (c,d) represent 2D graph and (e,f) show contour plot.
Mathematics 11 01504 g017
Figure 18. Dynamical behaviour of v ( x , t ) in Equation (45) represented via β 1 = 0.3 ,   β 2 = 0.2 ,   β 3 = 0.5 ,   β 4 = 0.04 ,   ζ = 0 ,   l 2 = 0.01 ,   l 5 = 0.5 ,   Q = 1.2 ,   r 1 = 2.5 ,   w 2 = 0.02 ,   w 3 = 3.1 ,   and ϕ = 1.4 . (a,b) show 3D graph of lump wave, (c,d) represent 2D graph and (e,f) show contour plot for different values of ω .
Figure 18. Dynamical behaviour of v ( x , t ) in Equation (45) represented via β 1 = 0.3 ,   β 2 = 0.2 ,   β 3 = 0.5 ,   β 4 = 0.04 ,   ζ = 0 ,   l 2 = 0.01 ,   l 5 = 0.5 ,   Q = 1.2 ,   r 1 = 2.5 ,   w 2 = 0.02 ,   w 3 = 3.1 ,   and ϕ = 1.4 . (a,b) show 3D graph of lump wave, (c,d) represent 2D graph and (e,f) show contour plot for different values of ω .
Mathematics 11 01504 g018
Figure 19. (a,b) show 3D plots and (c,d) show 2D plots.
Figure 19. (a,b) show 3D plots and (c,d) show 2D plots.
Mathematics 11 01504 g019
Figure 20. Dynamical demonstration of u ( x , t ) in Equation (50) presented with β 1 = 1.5 ,   β 2 = 0.2 ,   β 3 = 0.5 ,   ζ = 0 ,   l 1 = 1.1 ,   l 2 = 0.1 ,   l 4 = 0.5 ,   Q = 1.2 ,   r 1 = 2.5 ,   r 2 = 0.12 ,   w 2 = 0.2 ,   w 3 = 0.03 ,   w 4 = 3.1 and ϕ = 1.4 . (a,b) show contour plots for different ω .
Figure 20. Dynamical demonstration of u ( x , t ) in Equation (50) presented with β 1 = 1.5 ,   β 2 = 0.2 ,   β 3 = 0.5 ,   ζ = 0 ,   l 1 = 1.1 ,   l 2 = 0.1 ,   l 4 = 0.5 ,   Q = 1.2 ,   r 1 = 2.5 ,   r 2 = 0.12 ,   w 2 = 0.2 ,   w 3 = 0.03 ,   w 4 = 3.1 and ϕ = 1.4 . (a,b) show contour plots for different ω .
Mathematics 11 01504 g020
Figure 21. Graphical representation of solution v ( x , t ) in Equation (51) with β 2 = 0.2 ,   β 3 = 0.5 ,   ζ = 0 ,   l 1 = 1.1 ,   l 2 = 0.01 ,   l 4 = 0.5 ,   Q = 1.2 ,   r 1 = 2.5 ,   r 2 = 0.12 ,   w 2 = 0.02 ,   w 3 = 0.03 ,   w 4 = 3.1 ,   and ϕ = 1.4 . (a,b) show 3D graph of lump wave, (c,d) represent 2D graph and (e,f) show contour plot.
Figure 21. Graphical representation of solution v ( x , t ) in Equation (51) with β 2 = 0.2 ,   β 3 = 0.5 ,   ζ = 0 ,   l 1 = 1.1 ,   l 2 = 0.01 ,   l 4 = 0.5 ,   Q = 1.2 ,   r 1 = 2.5 ,   r 2 = 0.12 ,   w 2 = 0.02 ,   w 3 = 0.03 ,   w 4 = 3.1 ,   and ϕ = 1.4 . (a,b) show 3D graph of lump wave, (c,d) represent 2D graph and (e,f) show contour plot.
Mathematics 11 01504 g021
Figure 22. Graphical demonstration of u ( x , t ) in Equation (56) presented with β 1 = 0.3 ,   β 2 = 1.2 ,   β 3 = 0.5 ,   ζ = 0 ,   l 1 = 1.8 ,   l 2 = 0.05 ,   l 4 = 0.01 ,   Q = 5.2 ,   r 1 = 2.5 ,   r 2 = 1.3 ,   w 2 = 0.1 ,   w 3 = 3 ,   w 4 = 1.9 ,   w 5 = 1.2 and ϕ = 1.4 . (a,b) show 3D graph, (c,d) represent 2D graph and (e,f) show contour plot.
Figure 22. Graphical demonstration of u ( x , t ) in Equation (56) presented with β 1 = 0.3 ,   β 2 = 1.2 ,   β 3 = 0.5 ,   ζ = 0 ,   l 1 = 1.8 ,   l 2 = 0.05 ,   l 4 = 0.01 ,   Q = 5.2 ,   r 1 = 2.5 ,   r 2 = 1.3 ,   w 2 = 0.1 ,   w 3 = 3 ,   w 4 = 1.9 ,   w 5 = 1.2 and ϕ = 1.4 . (a,b) show 3D graph, (c,d) represent 2D graph and (e,f) show contour plot.
Mathematics 11 01504 g022
Figure 23. (a,b) show 3D graphs and (c,d) represent 2D graph. Dynamical presentation of solution v ( x , t ) in Equation (57) with β 1 = 0.3 ,   β 2 = 1.2 ,   β 3 = 0.5 ,   ζ = 0 ,   l 1 = 1.8 ,   l 2 = 0.05 ,   l 4 = 0.01 ,   Q = 5.2 ,   r 1 = 2.5 ,   r 2 = 1.3 ,   w 2 = 0.1 ,   w 3 = 3 ,   w 4 = 1.9 ,   w 5 = 1.2 and ϕ = 1.4 . (e,f) show contour plot.
Figure 23. (a,b) show 3D graphs and (c,d) represent 2D graph. Dynamical presentation of solution v ( x , t ) in Equation (57) with β 1 = 0.3 ,   β 2 = 1.2 ,   β 3 = 0.5 ,   ζ = 0 ,   l 1 = 1.8 ,   l 2 = 0.05 ,   l 4 = 0.01 ,   Q = 5.2 ,   r 1 = 2.5 ,   r 2 = 1.3 ,   w 2 = 0.1 ,   w 3 = 3 ,   w 4 = 1.9 ,   w 5 = 1.2 and ϕ = 1.4 . (e,f) show contour plot.
Mathematics 11 01504 g023
Figure 24. (a,b) show 3D plots.
Figure 24. (a,b) show 3D plots.
Mathematics 11 01504 g024
Figure 25. Graphical presentation of u ( x , t ) in Equation (62) presented with β 1 = 0.5 ,   β 2 = 1.2 ,   β 3 = 2.5 ,   ζ = 0 ,   l 1 = 3 ,   l 2 = 0.1 ,   l 4 = 2 ,   Q = 5 ,   r 1 = 1.5 ,   r 2 = 3.1 ,   w 2 = 1.1 ,   w 3 = 2.3 ,   w 4 = 0.9 and ϕ = 1.2 . (a,b) show 2D plot and (c,d) show contour graph.
Figure 25. Graphical presentation of u ( x , t ) in Equation (62) presented with β 1 = 0.5 ,   β 2 = 1.2 ,   β 3 = 2.5 ,   ζ = 0 ,   l 1 = 3 ,   l 2 = 0.1 ,   l 4 = 2 ,   Q = 5 ,   r 1 = 1.5 ,   r 2 = 3.1 ,   w 2 = 1.1 ,   w 3 = 2.3 ,   w 4 = 0.9 and ϕ = 1.2 . (a,b) show 2D plot and (c,d) show contour graph.
Mathematics 11 01504 g025
Figure 26. (a,b) show 3D plots.
Figure 26. (a,b) show 3D plots.
Mathematics 11 01504 g026
Figure 27. (a,b) show 2D plots.
Figure 27. (a,b) show 2D plots.
Mathematics 11 01504 g027
Figure 28. Dynamical presentation of solution v ( x , t ) in Equation (63) with β 2 = 0.2 ,   β 3 = 3.5 ,   ζ = 0 ,   l 1 = 0.03 ,   l 2 = 0.01 ,   l 4 = 2 ,   Q = 5 ,   r 1 = 4.5 ,   r 2 = 2.1 ,   w 2 = 0.1 ,   w 3 = 4.3 ,   w 4 = 1.9 and ϕ = 1.2 . (a,b) show contour plot.
Figure 28. Dynamical presentation of solution v ( x , t ) in Equation (63) with β 2 = 0.2 ,   β 3 = 3.5 ,   ζ = 0 ,   l 1 = 0.03 ,   l 2 = 0.01 ,   l 4 = 2 ,   Q = 5 ,   r 1 = 4.5 ,   r 2 = 2.1 ,   w 2 = 0.1 ,   w 3 = 4.3 ,   w 4 = 1.9 and ϕ = 1.2 . (a,b) show contour plot.
Mathematics 11 01504 g028
Disclaimer/Publisher’s Note: The statements, opinions and data contained in all publications are solely those of the individual author(s) and contributor(s) and not of MDPI and/or the editor(s). MDPI and/or the editor(s) disclaim responsibility for any injury to people or property resulting from any ideas, methods, instructions or products referred to in the content.

Share and Cite

MDPI and ACS Style

Alsallami, S.A.M.; Rizvi, S.T.R.; Seadawy, A.R. Study of Stochastic–Fractional Drinfel’d–Sokolov–Wilson Equation for M-Shaped Rational, Homoclinic Breather, Periodic and Kink-Cross Rational Solutions. Mathematics 2023, 11, 1504. https://doi.org/10.3390/math11061504

AMA Style

Alsallami SAM, Rizvi STR, Seadawy AR. Study of Stochastic–Fractional Drinfel’d–Sokolov–Wilson Equation for M-Shaped Rational, Homoclinic Breather, Periodic and Kink-Cross Rational Solutions. Mathematics. 2023; 11(6):1504. https://doi.org/10.3390/math11061504

Chicago/Turabian Style

Alsallami, Shami A. M., Syed T. R. Rizvi, and Aly R. Seadawy. 2023. "Study of Stochastic–Fractional Drinfel’d–Sokolov–Wilson Equation for M-Shaped Rational, Homoclinic Breather, Periodic and Kink-Cross Rational Solutions" Mathematics 11, no. 6: 1504. https://doi.org/10.3390/math11061504

APA Style

Alsallami, S. A. M., Rizvi, S. T. R., & Seadawy, A. R. (2023). Study of Stochastic–Fractional Drinfel’d–Sokolov–Wilson Equation for M-Shaped Rational, Homoclinic Breather, Periodic and Kink-Cross Rational Solutions. Mathematics, 11(6), 1504. https://doi.org/10.3390/math11061504

Note that from the first issue of 2016, this journal uses article numbers instead of page numbers. See further details here.

Article Metrics

Back to TopTop