Nonstationary Time Series Prediction Based on Deep Echo State Network Tuned by Bayesian Optimization
Abstract
1. Introduction
2. Related Works
2.1. Sample Entropy Method and Autocorrelation Functions
2.2. Statistical Models and Classical Neural Networks
2.3. Echo State Network
- (1)
- The BOA is used to optimize the DeepESN so that the network parameters are easily set and the final model is easier to determine.
- (2)
- Bayesian optimization is applied to nonstationary time series prediction, and excellent prediction results are obtained.
3. Bayesian Optimization of Deep Echo State Network
3.1. Deep Echo State Network
3.2. Bayesian Optimization Algorithm
| Algorithm 1: DeepESN optimized by the BOA. | 
| Input: Select the parameters to be optimized in the DeepESN model and determine the optimization space . Set the number of iterations of the BOA as . | 
| Output: returns the optimal hyperparameter group . | 
| For i = 1: | 
| Select a set of optimized parameters from . | 
| Train the DeepESN model with parameters . | 
| Evaluate model prediction performance using Equation (11). | 
| Update the covariance matrix and get the posterior probability. | 
| Based on the current results, obtain the next set of model parameters. | 
| Evaluate the model using Equation (12) and obtain the optimal model parameters . | 
4. Experiment and Results
4.1. Experimental Setup
4.2. Datasets
4.3. Results
4.3.1. Results for the MSO Data
4.3.2. Result of Humidity Data
4.3.3. Result of Power Load Data
4.3.4. Result of Bayesian Optimization Algorithm
5. Discussion and Conclusions
Author Contributions
Funding
Data Availability Statement
Conflicts of Interest
References
- Gabriel, T.R.; André, A.P.S.; Viviana, C.M.; Leandro, S.C. Novel hybrid model based on echo state neural network applied to the prediction of stock price return volatility. Expert Syst. Appl. 2021, 184, 115490. [Google Scholar]
- Contreras, J.; Espinola, R.; Nogales, F.J.; Conejo, A.J. ARIMA models to predict next-day electricity prices. IEEE Trans. Power Syst. 2003, 18, 1014–1020. [Google Scholar] [CrossRef]
- Ugurlu, U.; Oksuz, I.; Tas, O. Electricity price forecasting using recurrent neural networks. Energies 2018, 11, 1255. [Google Scholar] [CrossRef]
- Behera, R.K.; Das, S.; Rath, S.K.; Damasevicius, R. Comparative study of real time machine learning models for stock prediction through streaming data. J. Univers. Comput. Sci. 2020, 26, 1128–1147. [Google Scholar] [CrossRef]
- Kong, J.L.; Fan, X.M.; Jin, X.B.; Su, T.L.; Bai, Y.T.; Ma, H.J.; Zuo, M. BMAE-Net: A data-driven weather prediction network for smart agriculture. Agronomy 2023, 13, 625. [Google Scholar] [CrossRef]
- Eerens, H.; Haesen, D.; Rembold, F.; Urbano, F.; Tote, C.; Bydekerke, L. Image time series processing for agriculture monitoring. Environ. Model. Softw. 2014, 53, 154–162. [Google Scholar] [CrossRef]
- Jin, X.B.; Wang, Z.Y.; Kong, J.L.; Bai, Y.T.; Su, T.L.; Ma, H.J.; Prasun, C. Deep spatio-temporal graph network with self-optimization for air quality prediction. Entropy 2023, 25, 247. [Google Scholar] [CrossRef]
- Okkaoglu, Y.; Akdi, Y.; Golveren, E.; Yücel, E. Estimation and forecasting of PM10 air pollution in Ankara via time series and harmonic regressions. Int. J. Environ. Sci. Technol. 2020, 17, 3677–3690. [Google Scholar]
- Jin, X.B.; Wang, Z.Y.; Gong, W.T.; Kong, J.L.; Bai, Y.T.; Su, T.L.; Ma, H.J.; Prasun, C. Variational Bayesian network with information interpretability filtering for air quality forecasting. Mathematics 2023, 11, 837. [Google Scholar] [CrossRef]
- Lineesh, M.C. Time Series Analysis and Forecasting of Air Quality Index. In Proceedings of the International Conference on Computational Sciences-Modelling, Computing and Soft Computing (CSMCS 2020), Kerala, India, 10–12 September 2021. [Google Scholar]
- Hird, J.N.; Mcdermid, G.J. Noise reduction of NDVI time series: An empirical comparison of selected techniques. Remote Sens. Environ. 2009, 113, 248–258. [Google Scholar] [CrossRef]
- Xu, X.; Yang, C.C.; Xiao, Y.; Kong, J.L. A fine-grained recognition neural network with high-order feature maps via graph-based embedding for natural bird diversity conservation. Int. J. Environ. Res. Public Health 2023, 20, 4924. [Google Scholar] [CrossRef]
- Torres, J.L.; Garcia, A.; De Blas, M.; De Francisco, A. Forecast of hourly average wind speed with ARMA models in Navarre (Spain). Sol. Energy 2005, 79, 65–77. [Google Scholar] [CrossRef]
- Zahroh, S.; Pontoh, R.S.; Hidayat, Y.; Firman, S. Indonesian Rupiah Exchange Rate in Facing COVID-19 (A Time Series-Machine Learning Approach). J. Adv. Res. Dyn. Control Syst. 2020, 12, 862–872. [Google Scholar]
- Shawon, M.; Akter, S.; Islam, M.K.; Ahmed, S.; Rahman, M.M. Forecasting PV Panel Output Using Prophet Time Series Machine Learning Model. In Proceedings of the Tencon 2020–2020 IEEE Region 10 Conference (TENCON), Osaka, Japan, 16–19 November 2020. [Google Scholar]
- Leung, T.; Zhao, T. Financial Time Series Analysis and Forecasting with HHT Feature Generation and Machine Learning. Appl. Stoch. Model. Bus. Ind. 2021, 37, 993–1016. [Google Scholar] [CrossRef]
- Rohini, A.; Sudalaimuthu, T. Machine Learning based Analysis of Influence Propagation on Social Network with Time Series Analysis. In Proceedings of the 2020 Fourth International Conference on Inventive Systems and Control (ICISC), Coimbatore, India, 8–10 January 2020. [Google Scholar]
- Agana, N.A.; Homaifar, A. EMD-Based Predictive Deep Belief Network for Time Series Prediction: An Application to Drought Forecasting. Hydrology 2018, 5, 18. [Google Scholar] [CrossRef]
- da Silva, R.G.; Ribeiro, M.H.D.M.; Mariani, V.C.; Coelho, L.S. Forecasting Brazilian and American COVID-19 cases based on artificial intelligence coupled with climatic exogenous variables. Chaos Solitons Fractals Interdiscip. J. Nonlinear Sci. Nonequilibrium Complex Phenom. 2020, 139, 110027. [Google Scholar] [CrossRef] [PubMed]
- Mehmet, Ö.; Ensar, B.E.; Ömer, E.; Volkan, H. Comparison of wavelet and empirical mode decomposition hybrid models in drought prediction. Comput. Electron. Agric. 2020, 179, 105851. [Google Scholar]
- Maass, W.; Natschlaeger, T.; Markram, H. Real-time computing without stable states: A new framework for neural computation based on perturbations. Neural Comput. 2002, 14, 2531–2560. [Google Scholar] [CrossRef]
- Gallicchio, C.; Micheli, A.; Pedrelli, L. Deep reservoir computing: A critical experimental analysis. Neurocomputing 2017, 268, 87–99. [Google Scholar] [CrossRef]
- Faramarzi, A.; Heidarinejad, M.; Mirjalili, S.; Gandomi, A.H. Marine Predators Algorithm: A nature-inspired metaheuristic. Expert Syst. Appl. 2020, 152, 113377. [Google Scholar] [CrossRef]
- Zhao, Z.; Wang, X.; Yao, P.; Bai, Y. A health performance evaluation method of multirotors under wind turbulence. Nonlinear Dyn. 2020, 102, 1701–1705. [Google Scholar] [CrossRef]
- Mirjalili, S.; Mirjalili, S.M.; Lewis, A. Grey Wolf Optimizer. Adv. Eng. Softw. 2014, 69, 46–61. [Google Scholar] [CrossRef]
- Poap, D.; Woniak, M. Red fox optimization algorithm. Expert Syst. Appl. 2021, 166, 114107. [Google Scholar] [CrossRef]
- Kennedy, J.; Eberhart, R. Particle Swarm Optimization. In Proceedings of the ICNN95-International Conference on Neural Networks, Perth, WA, Australia, 27 November–1 December 1995. [Google Scholar]
- Richman, J.S.; Moorman, J.R. Physiological time-series analysis using approximate entropy and sample entropy. Am. J. Physiol. Heart Circ. Physiol. 2000, 278. [Google Scholar] [CrossRef] [PubMed]
- Cadzow, J.A. ARMA time series modeling: An effective method. IEEE Trans. Aerosp. Electron. Syst. 1983, 1, 49–58. [Google Scholar] [CrossRef]
- Do, D.N.; Lee, Y.; Choi, J. Hourly Average Wind Speed Simulation and Forecast Based on ARMA Model in Jeju Island, Korea. J. Electr. Eng. Technol. 2016, 11, 1548–1555. [Google Scholar] [CrossRef]
- Zhang, G.P. Time series forecasting using a hybrid ARIMA and neural network model. Neurocomputing 2003, 50, 159–175. [Google Scholar] [CrossRef]
- Yeon, I.J.; Park, S.S.; Kim, C.S.; Kim, S.H.; Jung, J.S. Comparison Analysis of Treatment Methods and ARIMA Time-Series Forecasting of Basic Water Components in Effluent from Small-Scale Public Sewage Treatment Facilities. J. Korean Soc. Environ. Technol. 2020, 21, 458–466. [Google Scholar] [CrossRef]
- Amini, M.H.; Kargarian, A.; Karabasoglu, O. ARIMA-based decoupled time series forecasting of electric vehicle charging demand for stochastic power system operation. Electr. Power Syst. Res. 2016, 140, 378–390. [Google Scholar] [CrossRef]
- Caiado, J.; Crato, N. A GARCH-based method for clustering of financial time series: International stock markets evidence. In Recent Advances in Stochastic Modeling and Data Analysis; World Scientific: Singapore, 2007; pp. 542–551. [Google Scholar]
- Che, Z.; Purushotham, S.; Cho, K.; Sontag, D.; Liu, Y. Recurrent neural networks for multivariate time series with missing values. Sci. Rep. 2018, 8, 1–12. [Google Scholar] [CrossRef] [PubMed]
- Hochreiter, S.; Schmidhuber, J. LSTM can solve hard long time lag problems. Adv. Neural Inf. Process. Syst. 1997, 9, 473–479. [Google Scholar]
- Ji, S.P.; Meng, Y.L.; Yan, L.; Dong, G.S.; Liu, D. GRU-corr Neural Network Optimized by Improved PSO Algorithm for Time Series Prediction. Int. J. Artif. Intell. Tools 2020, 29, 2042001. [Google Scholar] [CrossRef]
- Xu, J.; Wang, K.; Lin, C.; Xiao, L.H.; Huang, X.S.; Zhang, Y.F. FM-GRU: A Time Series Prediction Method for Water Quality Based on seq2seq Framework. Water 2021, 13, 1031. [Google Scholar] [CrossRef]
- Wojtkiewicz, J.; Hosseini, M.; Gottumukkala, R.; Chambers, T.L. Hour-Ahead Solar Irradiance Forecasting Using Multivariate Gated Recurrent Units. Energies 2019, 12, 4055. [Google Scholar] [CrossRef]
- Xue, J.; Zhou, S.H.; Liu, Q.; Liu, X.; Yin, J. Financial time series prediction using ℓ2, 1RF-ELM. Neurocomputing 2018, 277, 176–186. [Google Scholar] [CrossRef]
- Hora, S.K.; Poongodan, R.; de Prado, R.P.; Parameshachari, B.D. Long short-term memory network-based metaheuristic for effective electric energy consumption prediction. Appl. Sci. 2021, 11, 11263. [Google Scholar] [CrossRef]
- Dong, L.; Fang, D.; Wang, X.; Wei, W.; Damaševičius, R.; Scherer, R.; Woźniak, M. Prediction of streamflow based on dynamic sliding window LSTM. Water 2020, 12, 3032. [Google Scholar] [CrossRef]
- Xu, Y.; Zhang, J.; Long, Z.; Chen, Y. A novel dual-scale deep belief network method for daily urban water demand forecasting. Energies 2018, 11, 1068. [Google Scholar] [CrossRef]
- Qiao, W.; Tian, W.; Tian, Y.; Yang, Q.; Zhang, J. The forecasting of PM2. 5 using a hybrid model based on wavelet transform and an improved deep learning algorithm. IEEE Access 2019, 7, 142814–142825. [Google Scholar] [CrossRef]
- Bao, W.; Yue, J.; Rao, Y. A deep learning framework for financial time series using stacked autoencoders and long-short term memory. PloS ONE 2017, 12, e0180944. [Google Scholar] [CrossRef] [PubMed]
- Shi, H.; Wang, L.; Scherer, R.; Woźniak, M.; Zhang, P.; Wei, W. Short-term load forecasting based on adabelief optimized temporal convolutional network and gated recurrent unit hybrid neural network. IEEE Access 2021, 9, 66965–66981. [Google Scholar] [CrossRef]
- Wang, K.; Niu, D.; Sun, L.; Zhen, H.; Liu, J.; De, G.; Xu, X. Wind Power Short-Term Forecasting Hybrid Model Based on CEEMD-SE Method. Processes 2019, 7, 843. [Google Scholar] [CrossRef]
- Liao, Y.; Hongmei, L.I. Deep echo state network with reservoirs of multiple activation functions for time-series prediction. Sadhana 2019, 44, 1–12. [Google Scholar] [CrossRef]
- Liu, J.; Sun, T.; Luo, Y.; Yang, S.; Cao, Y.; Zhai, J. An echo state network architecture based on quantum logic gate and its optimization. Neurocomputing 2020, 371, 100–107. [Google Scholar] [CrossRef]
- Decai, L.; Min, H.; Jun, W. Chaotic time series prediction based on a novel robust echo state network. IEEE Trans. Neural Netw. Learn. Syst. 2012, 23, 787–799. [Google Scholar]
- Kim, A.; Zounemat-Kermani, K. Deep echo state network: A novel machine learning approach to model dew point temperature using meteorological variables. Hydrol. Sci. J. 2020, 65, 1173–1190. [Google Scholar]
- McDermott, P.L.; Wikle, C.K. Deep echo state networks with uncertainty quantification for spatio-temporal forecasting. Environmetrics 2019, 30, e2553. [Google Scholar] [CrossRef]
- Kim, T.; King, B.R. Time series prediction using deep echo state networks. Neural Comput. Appl. 2020, 32, 17769–17789. [Google Scholar] [CrossRef]
- Yen, M.-H.; Liu, D.-W.; Hsin, Y.-C.; Lin, C.-E.; Chen, C.-C. Application of the deep learning for the prediction of rainfall in Southern Taiwan. Sci. Rep. 2019, 9, 12774. [Google Scholar] [CrossRef]
- Malik, Z.K.; Hussain, A.; Wu, Q.J. Multilayered echo state machine: A novel architecture and algorithm. IEEE Trans. Cybern. 2017, 47, 1–14. [Google Scholar] [CrossRef]
- Gallicchio, C.; Micheli, A.; Pedrelli, L. Deep Echo State Networks for diagnosis of Parkinson’s disease. arXiv 2018, arXiv:1802.06708. [Google Scholar]
- Gallicchio, C.; Micheli, A. Deep Echo State Network (DeepESN): A Brief Survey. arXiv 2017, arXiv:1712.04323. [Google Scholar]















| Datasets | Data Interval 1 (0–500) | Data Interval 2 (500–1000) | Data Interval 3 (1000–1500) | Data Interval 4 (1500–2000) | 
|---|---|---|---|---|
| MSO | 1.5874 | 1.5361 | 1.5141 | 1.6081 | 
| Humidity | 0.5050 | 0.7246 | 0.8705 | 0.8114 | 
| Power load | 0.6351 | 0.8671 | 0.9063 | 0.8376 | 
| Datasets | Minimum | Maximum | Mean | Standard Deviation | Variance | 
|---|---|---|---|---|---|
| MSO | −7.4441 | 7.3918 | −0.0261 | 2.0009 | 4.0034 | 
| Humidity | 6 | 100 | 53 | 26.267 | 689.957 | 
| Power load | 7196 | 22,759 | 14,784.716 | 2388.0759 | 5,702,906 | 
| Hyperparameter | Type | MSO Data Parameter Range | Humidity Data Parameter Range | Power Load Data Parameter Range | 
|---|---|---|---|---|
| layers | integer | 1–30 | 1–40 | 1–30 | 
| Number of neurons | integer | 100–4000 | 100–4000 | 100–6000 | 
| Leaking rate | uniform | 0.1–1.0 | 0.1–1.0 | 0.1–1.0 | 
| Spectral radius rate | uniform | 0.1–1.0 | 0.1–1.0 | 0.1–1.0 | 
| Input scaling | uniform | 0.1–1.0 | 0.1–1.0 | 0.1–1.0 | 
| Model | Layers | Number of Neurons | Reservoir Size | Spectral Radius Rate | Leaking Rate | 
|---|---|---|---|---|---|
| BP | 3 | 24 | NA | NA | NA | 
| LSTM | 1 | 32 | NA | NA | NA | 
| GRU | 1 | 32 | NA | NA | NA | 
| ESN | NA | NA | 600 | 0.9 | 0.2 | 
| Model | RMSE | MAE | CC | R2 | 
|---|---|---|---|---|
| BP | 1.7607 | 1.3953 | 0.5045 | 0.2221 | 
| LSTM | 1.2252 | 0.9274 | 0.7982 | 0.6234 | 
| GRU | 1.4290 | 1.0535 | 0.7053 | 0.4876 | 
| ESN | 0.1024 | 0.0813 | 0.9987 | 0.9974 | 
| DeepESN | 0.0719 | 0.0573 | 0.9994 | 0.9987 | 
| Model | RMSE | MAE | CC | R2 | 
|---|---|---|---|---|
| BP | 21.5003 | 15.6253 | 0.6138 | 0.2787 | 
| LSTM | 20.7405 | 15.2197 | 0.6249 | 0.3289 | 
| GRU | 19.0048 | 14.0715 | 0.6897 | 0.4365 | 
| ESN | 22.1146 | 17.3104 | 0.6069 | 0.2369 | 
| DeepESN | 18.6707 | 14.7007 | 0.6786 | 0.4561 | 
| Model | RMSE | MAE | CC | R2 | 
|---|---|---|---|---|
| BP | 801.637 | 626.660 | 0.8922 | 0.7926 | 
| LSTM | 840.739 | 623.628 | 0.8926 | 0.7719 | 
| GRU | 791.691 | 583.079 | 0.9115 | 0.7977 | 
| ESN | 823.565 | 586.355 | 0.8945 | 0.7811 | 
| DeepESN | 764.5281 | 584.296 | 0.9011 | 0.8114 | 
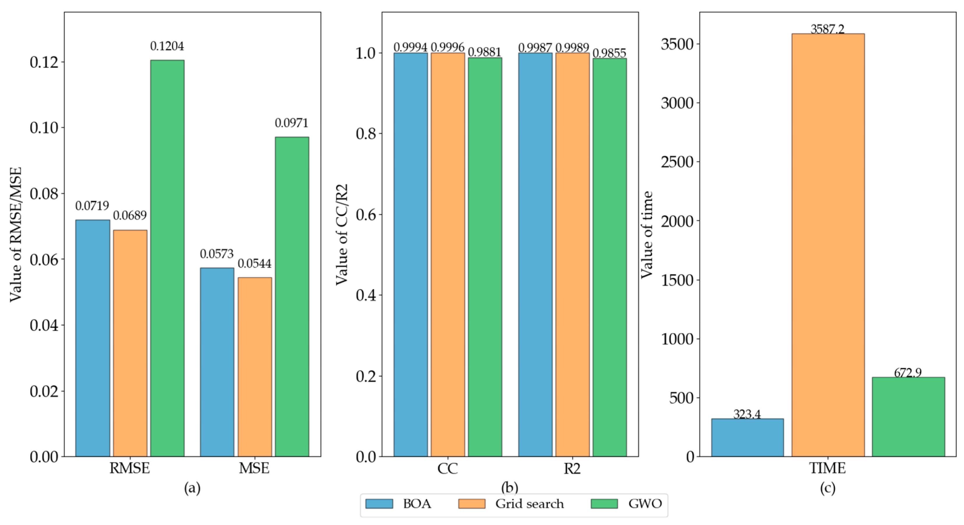
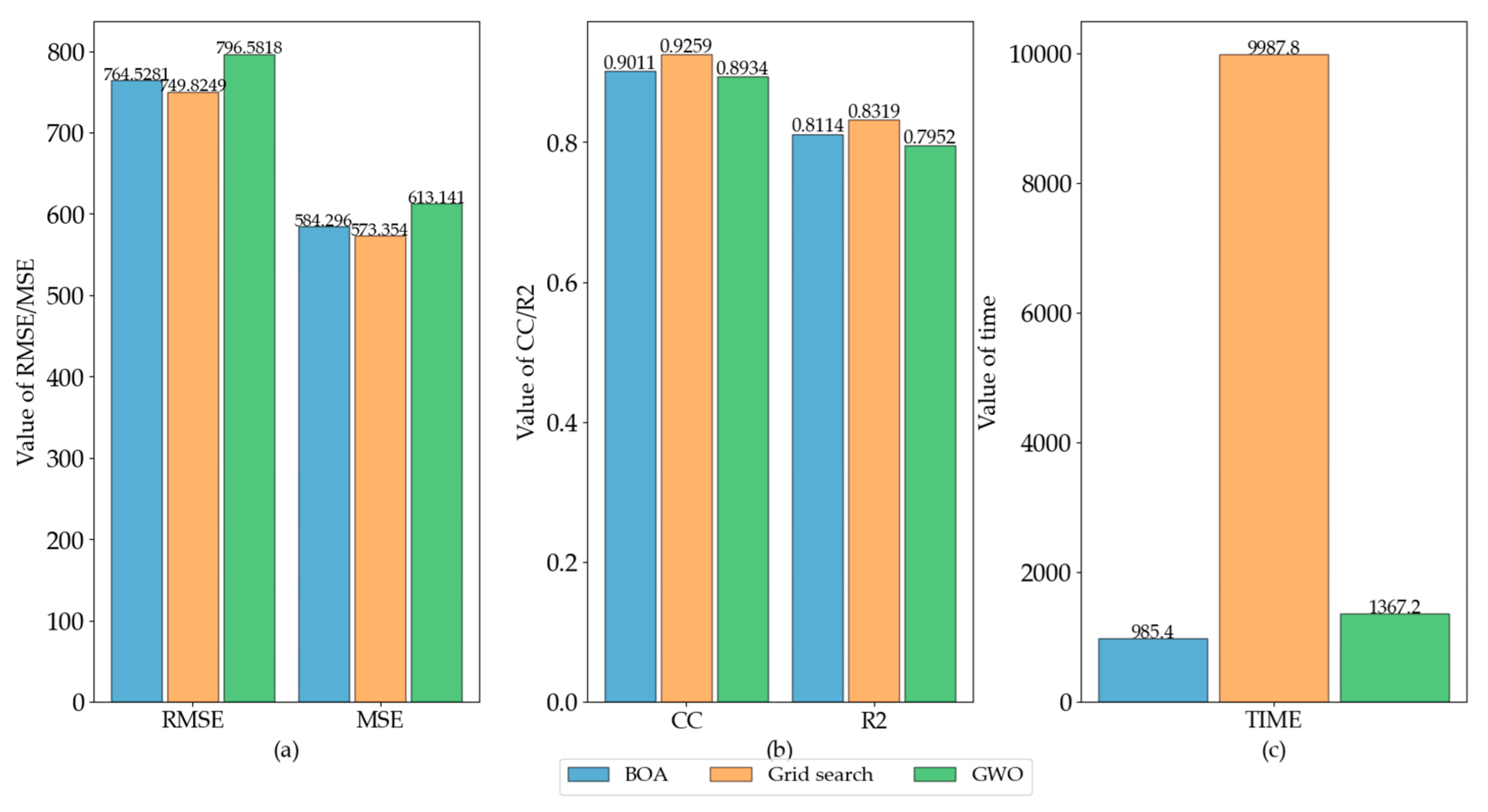
| Datasets | Optimization Method | RMSE | MAE | CC | R2 | Time (s) | 
|---|---|---|---|---|---|---|
| MSO | BOA | 0.0719 | 0.0573 | 0.9994 | 0.9987 | 323.4 | 
| MSO | Grid search | 0.0689 | 0.0544 | 0.9996 | 0.9989 | 3587.2 | 
| MSO | GWO | 0.1204 | 0.0971 | 0.9881 | 0.9855 | 672.9 | 
| Humidity | BOA | 18.6707 | 14.7007 | 0.6786 | 0.4561 | 563.2 | 
| Humidity | Grid search | 18.5819 | 14.6893 | 0.6629 | 0.4344 | 6023.3 | 
| Humidity | GWO | 20.6907 | 17.3544 | 0.5803 | 0.3321 | 964.1 | 
| Power load | BOA | 764.5281 | 584.296 | 0.9011 | 0.8114 | 985.4 | 
| Power load | Grid search | 749.8249 | 573.354 | 0.9259 | 0.8319 | 9987.8 | 
| Power load | GWO | 796.5818 | 613.141 | 0.8934 | 0.7952 | 1367.2 | 
| Datasets | Optimization Method | Layers | Number of Neurons | Leaking Rate | Spectral Radius Rate | Input Scaling | 
|---|---|---|---|---|---|---|
| MSO | BOA | 12 | 2500 | 0.20 | 0.79 | 0.10 | 
| MSO | Grid search | 5 | 1700 | 0.39 | 0.44 | 0.26 | 
| MSO | GWO | 18 | 3998 | 0.37 | 0.71 | 0.10 | 
| Humidity | BOA | 5 | 3100 | 0.89 | 0.82 | 0.03 | 
| Humidity | Grid search | 3 | 1600 | 0.70 | 0.37 | 0.41 | 
| Humidity | GWO | 6 | 167 | 0.12 | 0.10 | 0.11 | 
| Power Load | BOA | 9 | 5900 | 0.99 | 0.47 | 0.29 | 
| Power Load | Grid search | 8 | 3400 | 0.29 | 0.36 | 0.28 | 
| Power Load | GWO | 9 | 5471 | 0.11 | 0.10 | 0.21 | 
| Disclaimer/Publisher’s Note: The statements, opinions and data contained in all publications are solely those of the individual author(s) and contributor(s) and not of MDPI and/or the editor(s). MDPI and/or the editor(s) disclaim responsibility for any injury to people or property resulting from any ideas, methods, instructions or products referred to in the content. | 
© 2023 by the authors. Licensee MDPI, Basel, Switzerland. This article is an open access article distributed under the terms and conditions of the Creative Commons Attribution (CC BY) license (https://creativecommons.org/licenses/by/4.0/).
Share and Cite
Bai, Y.-T.; Jia, W.; Jin, X.-B.; Su, T.-L.; Kong, J.-L.; Shi, Z.-G. Nonstationary Time Series Prediction Based on Deep Echo State Network Tuned by Bayesian Optimization. Mathematics 2023, 11, 1503. https://doi.org/10.3390/math11061503
Bai Y-T, Jia W, Jin X-B, Su T-L, Kong J-L, Shi Z-G. Nonstationary Time Series Prediction Based on Deep Echo State Network Tuned by Bayesian Optimization. Mathematics. 2023; 11(6):1503. https://doi.org/10.3390/math11061503
Chicago/Turabian StyleBai, Yu-Ting, Wei Jia, Xue-Bo Jin, Ting-Li Su, Jian-Lei Kong, and Zhi-Gang Shi. 2023. "Nonstationary Time Series Prediction Based on Deep Echo State Network Tuned by Bayesian Optimization" Mathematics 11, no. 6: 1503. https://doi.org/10.3390/math11061503
APA StyleBai, Y.-T., Jia, W., Jin, X.-B., Su, T.-L., Kong, J.-L., & Shi, Z.-G. (2023). Nonstationary Time Series Prediction Based on Deep Echo State Network Tuned by Bayesian Optimization. Mathematics, 11(6), 1503. https://doi.org/10.3390/math11061503
 
        




 
       