Event-Triggered Control for Intra/Inter-Layer Synchronization and Quasi-Synchronization in Two-Layer Coupled Networks
Abstract
1. Introduction
2. Model Formulation and Preliminaries
3. Main Results
3.1. Intra-Layer Synchronization and Quasi-Synchronization
3.2. Inter-Layer Synchronization and Quasi-Synchronization
4. Numerical Simulations
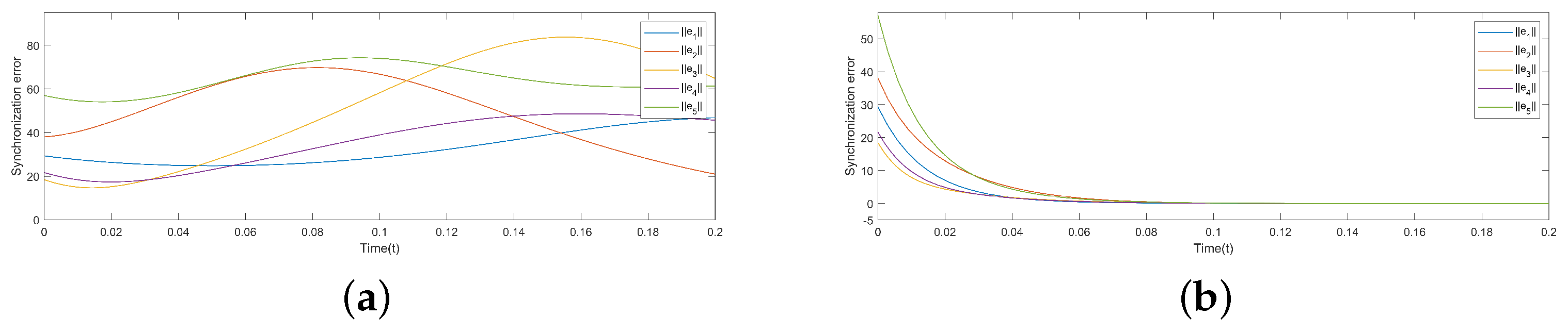
4.1. Intra-Layer Synchronization and Quasi-Synchronization
4.2. Inter-Layer Synchronization and Quasi-Synchronization
5. Conclusions
Author Contributions
Funding
Data Availability Statement
Conflicts of Interest
References
- Wen, G.; Yu, W.; Chen, M.Z.; Yu, X.; Chen, G. Pinning a complex network to follow a target system with predesigned control inputs. IEEE Trans. Syst. Man Cybern. Syst. 2018, 50, 2293–2304. [Google Scholar] [CrossRef]
- Hai, X.; Ren, G.; Yu, Y.; Xu, C.; Zeng, Y. Pinning synchronization of fractional and impulsive complex networks via event-triggered strategy. Commun. Nonlinear Sci. Numer. Simul. 2020, 82, 105017. [Google Scholar] [CrossRef]
- Wang, M.; Li, X.; Duan, P. Event-triggered delayed impulsive control for nonlinear systems with application to complex neural networks. Neural Netw. 2022, 150, 213–221. [Google Scholar] [CrossRef] [PubMed]
- He, X.; Zhang, H. Exponential synchronization of complex networks via feedback control and periodically intermittent noise. J. Frankl. Inst. 2022, 359, 3614–3630. [Google Scholar] [CrossRef]
- Yang, X.; Li, X.; Lu, J.; Cheng, Z. Synchronization of time-delayed complex networks with switching topology via hybrid actuator fault and impulsive effects control. IEEE Trans. Cybern. 2019, 50, 4043–4052. [Google Scholar] [CrossRef] [PubMed]
- He, X.; Shi, P.; Lim, C.C. Stochastic synchronization of complex networks via aperiodically intermittent noise. J. Frankl. Inst. 2020, 357, 13872–13888. [Google Scholar] [CrossRef]
- Zambrano-Serrano, E.; Munoz-Pacheco, J.M.; Anzo-Hernández, A.; Félix-Beltrán, O.G.; Guevara-Flores, D.K. Synchronization of a cluster of β-cells based on a small-world network and its electronic experimental verification. Eur. Phys. J. Spec. Top. 2022, 231, 1035–1047. [Google Scholar] [CrossRef]
- Yuan, X.; Ren, G.; Yu, Y.; Sun, W. Mean-square pinning control of fractional stochastic discrete-time complex networks. J. Frankl. Inst. 2022, 359, 2663–2680. [Google Scholar] [CrossRef]
- Fan, H.; Shi, K.; Zhao, Y. Global μ-synchronization for nonlinear complex networks with unbounded multiple time delays and uncertainties via impulsive control. Phys. A Stat. Mech. Appl. 2022, 599, 127484. [Google Scholar] [CrossRef]
- Yang, S.; Li, C.; He, X.; Zhang, W. Variable-time impulsive control for bipartite synchronization of coupled complex networks with signed graphs. Appl. Math. Comput. 2022, 420, 126899. [Google Scholar] [CrossRef]
- He, S.; Wu, Y.; Li, Y. Finite-time synchronization of input delay complex networks via non-fragile controller. J. Frankl. Inst. 2020, 357, 11645–11667. [Google Scholar] [CrossRef]
- Ruiz-Silva, A.; Cassal-Quiroga, B.; Huerta-Cuellar, G.; Gilardi-Velázquez, H. On the behavior of bidirectionally coupled multistable systems. Eur. Phys. J. Spec. Top. 2022, 231, 369–379. [Google Scholar] [CrossRef]
- Sun, Y.; Wu, H.; Chen, Z.; Zheng, X.; Chen, Y. Outer synchronization of two different multi-links complex networks by chattering-free control. Phys. A Stat. Mech. Appl. 2021, 584, 126354. [Google Scholar] [CrossRef]
- Fan, H.; Tang, J.; Shi, K.; Zhao, Y.; Wen, H. Delayed Impulsive Control for μ-Synchronization of Nonlinear Multi-Weighted Complex Networks with Uncertain Parameter Perturbation and Unbounded Delays. Mathematics 2023, 11, 250. [Google Scholar] [CrossRef]
- Xu, T.; Duan, Z.; Sun, Z.; Chen, G. Distributed Fixed-Time Coordination Control for Networked Multiple Euler–Lagrange Systems. IEEE Trans. Cybern. 2022, 52, 4611–4622. [Google Scholar] [CrossRef]
- Cacace, F.; Mattioni, M.; Monaco, S.; Ricciardi Celsi, L. Topology-induced containment for general linear systems on weakly connected digraphs. Automatica 2021, 131, 109734. [Google Scholar] [CrossRef]
- Wu, X.; Li, Q.; Liu, C.; Liu, J.; Xie, C. Synchronization in duplex networks of coupled Rössler oscillators with different inner-coupling matrices. Neurocomputing 2020, 408, 31–41. [Google Scholar] [CrossRef]
- He, W.; Xu, Z.; Du, W.; Chen, G.; Kubota, N.; Qian, F. Synchronization control in multiplex networks of nonlinear multi-agent systems. Chaos Interdiscip. J. Nonlinear Sci. 2017, 27, 123104. [Google Scholar] [CrossRef]
- Jin, X.; Wang, Z.; Chen, X.; Cao, Y.; Jiang, G.P. Stochastic Synchronization of Multiplex Networks With Continuous and Impulsive Couplings. IEEE Trans. Netw. Sci. Eng. 2021, 8, 2533–2544. [Google Scholar] [CrossRef]
- Zhao, X.; Zhou, J.; Lu, J.A. Pinning synchronization of multiplex delayed networks with stochastic perturbations. IEEE Trans. Cybern. 2018, 49, 4262–4270. [Google Scholar] [CrossRef]
- Wang, Z.; Jin, X.; Pan, L.; Feng, Y.; Cao, J. Quasi-synchronization of delayed stochastic multiplex networks via impulsive pinning control. IEEE Trans. Syst. Man Cybern. Syst. 2021, 52, 5389–5397. [Google Scholar] [CrossRef]
- Sun, S.; Ren, T.; Xu, Y. Pinning synchronization control for stochastic multi-layer networks with coupling disturbance. ISA Trans. 2021, 128, 450–459. [Google Scholar] [CrossRef] [PubMed]
- Zhang, D.; Shen, Y.; Mei, J. Finite-time synchronization of multi-layer nonlinear coupled complex networks via intermittent feedback control. Neurocomputing 2017, 225, 129–138. [Google Scholar] [CrossRef]
- Xu, Y.; Wu, X.; Wan, X.; Xie, C. Finite/fixed-time synchronization of multi-layer networks based on energy consumption estimation. IEEE Trans. Circuits Syst. Regul. Pap. 2021, 68, 4278–4286. [Google Scholar] [CrossRef]
- Jiang, L.; Tang, L.; Lü, J. Controllability of multilayer networks. Asian J. Control 2022, 24, 1517–1527. [Google Scholar] [CrossRef]
- Wu, X.; Li, Y.n.; Wei, J.; Zhao, J.; Feng, J.; Lu, J.A. Inter-layer synchronization in two-layer networks via variable substitution control. J. Frankl. Inst. 2020, 357, 2371–2387. [Google Scholar] [CrossRef]
- Ning, D.; Fan, Z.; Wu, X.; Han, X. Interlayer synchronization of duplex time-delay network with delayed pinning impulses. Neurocomputing 2021, 452, 127–136. [Google Scholar] [CrossRef]
- Ning, D.; Wu, X.; Feng, H.; Chen, Y.; Lu, J. Inter-layer generalized synchronization of two-layer impulsively-coupled networks. Commun. Nonlinear Sci. Numer. Simul. 2019, 79, 104947. [Google Scholar] [CrossRef]
- Ning, D.; Chen, J.; Jiang, M. Pinning impulsive synchronization of two-layer heterogeneous delayed networks. Phys. A Stat. Mech. Appl. 2022, 586, 126461. [Google Scholar] [CrossRef]
- Shen, J.; Tang, L. Intra-layer synchronization in duplex networks. Chin. Phys. B 2018, 27, 100503. [Google Scholar] [CrossRef]
- Zhuang, J.; Zhou, Y.; Xia, Y. Intra-layer synchronization in duplex networks with time-varying delays and stochastic perturbations under impulsive control. Neural Process. Lett. 2020, 52, 785–804. [Google Scholar] [CrossRef]
- Liu, H.; Li, J.; Li, Z.; Zeng, Z.; Lü, J. Intralayer synchronization of multiplex dynamical networks via pinning impulsive control. IEEE Trans. Cybern. 2020, 52, 2110 –2122. [Google Scholar] [CrossRef] [PubMed]
- Zhuang, J.; Zhou, Y.; Xia, Y. Intralayer synchronization in a duplex network with noise. Math. Methods Appl. Sci. 2021; early view. [Google Scholar]
- Tang, L.; Wu, X.; Lü, J.; Lu, J.a.; D’Souza, R.M. Master stability functions for complete, intralayer, and interlayer synchronization in multiplex networks of coupled Rössler oscillators. Phys. Rev. E 2019, 99, 012304. [Google Scholar] [CrossRef] [PubMed]
- Rakshit, S.; Majhi, S.; Bera, B.K.; Sinha, S.; Ghosh, D. Time-varying multiplex network: Intralayer and interlayer synchronization. Phys. Rev. E 2017, 96, 062308. [Google Scholar] [CrossRef]
- Zhang, X.; Tang, L.; Lü, J. Synchronization analysis on two-layer networks of fractional-order systems: IntraIayer and InterIayer synchronization. IEEE Trans. Circuits Syst. Regul. Pap. 2020, 67, 2397–2408. [Google Scholar] [CrossRef]
- Xu, Y.; Wu, X.; Mao, B.; Lü, J.; Xie, C. Finite-time intra-layer and inter-layer quasi-synchronization of two-layer multi-weighted networks. IEEE Trans. Circuits Syst. Regul. Pap. 2021, 68, 1589–1598. [Google Scholar] [CrossRef]
- Tabuada, P. Event-triggered real-time scheduling of stabilizing control tasks. IEEE Trans. Autom. Control 2007, 52, 1680–1685. [Google Scholar] [CrossRef]
- Liu, X.; Fu, H.; Liu, L. Leader-following mean square consensus of stochastic multi-agent systems via periodically intermittent event-triggered control. Neural Process. Lett. 2021, 53, 275–298. [Google Scholar] [CrossRef]
- Jiang, C.; Du, H.; Zhu, W.; Yin, L.; Jin, X.; Wen, G. Synchronization of nonlinear networked agents under event-triggered control. Inf. Sci. 2018, 459, 317–326. [Google Scholar] [CrossRef]
- Dimarogonas, D.V.; Frazzoli, E.; Johansson, K.H. Distributed event-triggered control for multi-agent systems. IEEE Trans. Autom. Control 2011, 57, 1291–1297. [Google Scholar] [CrossRef]
- Nowzari, C.; Garcia, E.; Cortés, J. Event-triggered communication and control of networked systems for multi-agent consensus. Automatica 2019, 105, 1–27. [Google Scholar] [CrossRef]
- Hosseini, S.H.; Tavazoei, M.S.; Kuznetsov, N.V. Agent-based time delay margin in consensus of multi-agent systems by an event-triggered control method: Concept and computation. Asian J. Control, 2022; early view. [Google Scholar]
- Peng, D.; Li, X. Leader-following synchronization of complex dynamic networks via event-triggered impulsive control. Neurocomputing 2020, 412, 1–10. [Google Scholar] [CrossRef]
- Hu, S.; Yue, D. Event-triggered control design of linear networked systems with quantizations. ISA Trans. 2012, 51, 153–162. [Google Scholar] [CrossRef] [PubMed]
- Yang, J.; Lu, J.; Li, L.; Liu, Y.; Wang, Z.; Alsaadi, F.E. Event-triggered control for the synchronization of Boolean control networks. Nonlinear Dyn. 2019, 96, 1335–1344. [Google Scholar] [CrossRef]
- Li, Q.; Shen, B.; Wang, Z.; Huang, T.; Luo, J. Synchronization control for a class of discrete time-delay complex dynamical networks: A dynamic event-triggered approach. IEEE Trans. Cybern. 2018, 49, 1979–1986. [Google Scholar] [CrossRef]
- Zhao, C.; Cao, J.; Shi, K.; Tang, Y.; Zhong, S.; Alsaadi, F.E. Improved Nonfragile Sampled-Data Event-Triggered Control for the Exponential Synchronization of Delayed Complex Dynamical Networks. Mathematics 2022, 10, 3504. [Google Scholar] [CrossRef]
- Zhang, C.; Zhang, C.; Zhang, X.; Wang, F.; Liang, Y. Dynamic event-triggered control for intra/inter-layer synchronization in multi-layer networks. Commun. Nonlinear Sci. Numer. Simul. 2023, 119, 107124. [Google Scholar] [CrossRef]
- Ames, A.D.; Abate, A.; Sastry, S. Sufficient conditions for the existence of Zeno behavior. In Proceedings of the 44th IEEE Conference on Decision and Control, Seville, Spain, 15 December 2005; IEEE: Piscataway, NJ, USA, 2005; pp. 696–701. [Google Scholar]
- DeLellis, P.; di Bernardo, M.; Russo, G. On QUAD, Lipschitz, and contracting vector fields for consensus and synchronization of networks. IEEE Trans. Circuits Syst. Regul. Pap. 2010, 58, 576–583. [Google Scholar] [CrossRef]
- Khalil, H.K. Nonlinear Systems, 3rd ed.; Prentice Hall: Hoboken, NJ, USA, 2002. [Google Scholar]








| ATR | ||||||||||
|---|---|---|---|---|---|---|---|---|---|---|
| ATR | ||||||||||
|---|---|---|---|---|---|---|---|---|---|---|
| ATR | |||||
|---|---|---|---|---|---|
| ATR | |||||
|---|---|---|---|---|---|
Disclaimer/Publisher’s Note: The statements, opinions and data contained in all publications are solely those of the individual author(s) and contributor(s) and not of MDPI and/or the editor(s). MDPI and/or the editor(s) disclaim responsibility for any injury to people or property resulting from any ideas, methods, instructions or products referred to in the content. |
© 2023 by the authors. Licensee MDPI, Basel, Switzerland. This article is an open access article distributed under the terms and conditions of the Creative Commons Attribution (CC BY) license (https://creativecommons.org/licenses/by/4.0/).
Share and Cite
Zhang, C.; Zhang, C.; Meng, F.; Liang, Y. Event-Triggered Control for Intra/Inter-Layer Synchronization and Quasi-Synchronization in Two-Layer Coupled Networks. Mathematics 2023, 11, 1458. https://doi.org/10.3390/math11061458
Zhang C, Zhang C, Meng F, Liang Y. Event-Triggered Control for Intra/Inter-Layer Synchronization and Quasi-Synchronization in Two-Layer Coupled Networks. Mathematics. 2023; 11(6):1458. https://doi.org/10.3390/math11061458
Chicago/Turabian StyleZhang, Cheng, Chuan Zhang, Fanwei Meng, and Yi Liang. 2023. "Event-Triggered Control for Intra/Inter-Layer Synchronization and Quasi-Synchronization in Two-Layer Coupled Networks" Mathematics 11, no. 6: 1458. https://doi.org/10.3390/math11061458
APA StyleZhang, C., Zhang, C., Meng, F., & Liang, Y. (2023). Event-Triggered Control for Intra/Inter-Layer Synchronization and Quasi-Synchronization in Two-Layer Coupled Networks. Mathematics, 11(6), 1458. https://doi.org/10.3390/math11061458

