A Soft Computing Scaled Conjugate Gradient Procedure for the Fractional Order Majnun and Layla Romantic Story
Abstract
1. Introduction
- The integer model based on the Majnun and Layla model is converted into the FO-MML to find more realistic results;
- The stochastic solvers have not been applied before to solve the FO-MML love story model;
- The artificial stochastic procedures together with the SCGNNs are accessible to stimulate the FO-MML love story system;
- The study of the mathematical system is presented for three variations based on the fractional kind of the mathematical Majun Layla model;
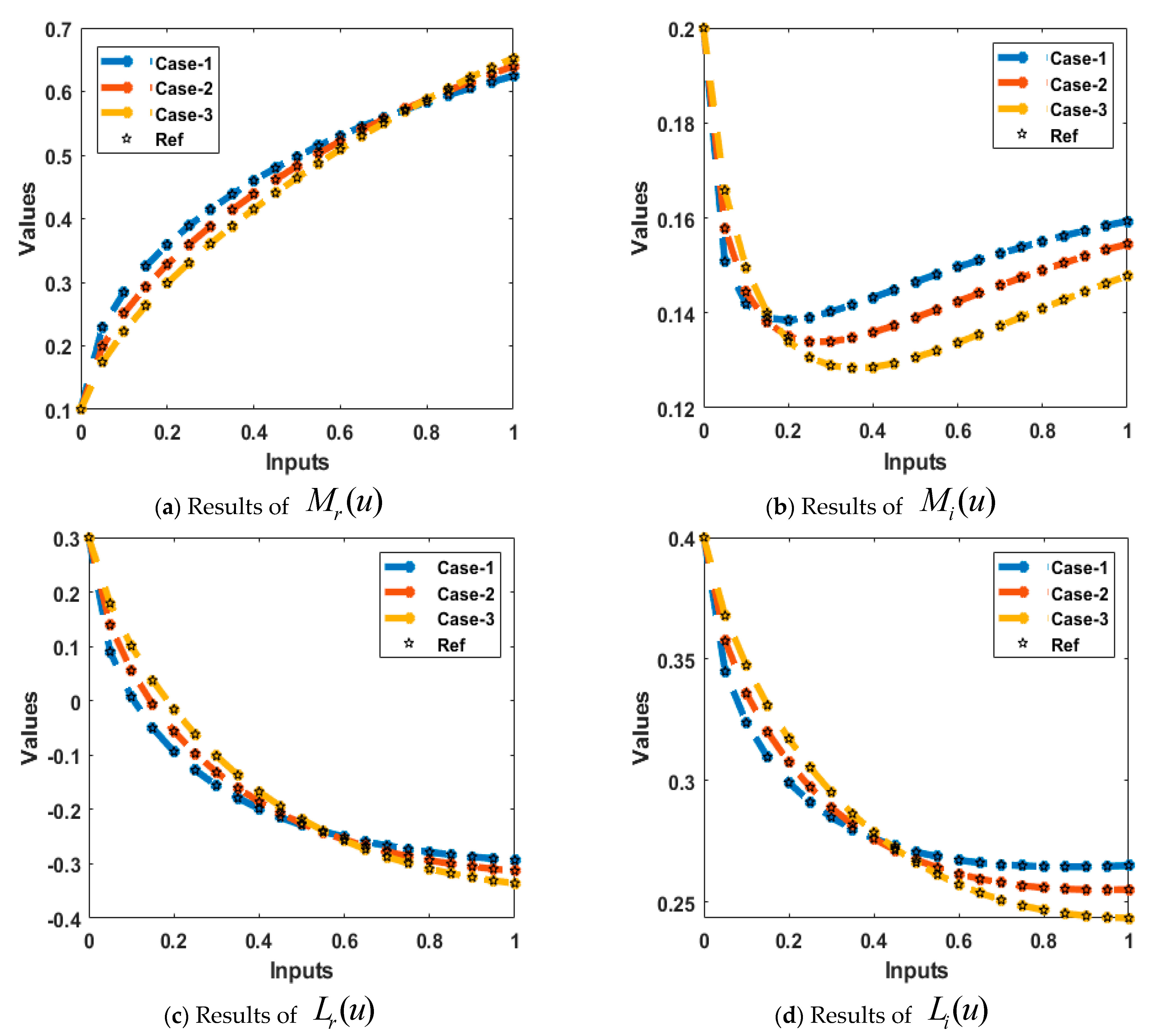
- The correctness of the scheme is observed by using the comparison of the obtained and reference results;
- The absolute error (AE) authenticates the accuracy of solutions based on the fractional kind of the mathematical Majun Layla model;
- The regression measures, error histogram (EHs) performances, correlation presentations, and state transitions (STs) standards approve the dependability of proposed SCGNNs for an FO-MML love story model.
2. Fractional Order Majnun Layla Model
3. Proposed Scheme: SCGNNs
- (i)
- The significant measures using the proposed SCGNNs.
- (ii)
- The execution through the stochastic SCGNNs framework is presented to solve the FO-MML story model.
4. Numerical Measures
5. Conclusions
Author Contributions
Funding
Conflicts of Interest
References
- Baghdadi, G.; Jafari, S.; Sprott, J.; Towhidkhah, F.; Golpayegani, M.H. A chaotic model of sustaining attention problem in attention deficit disorder. Commun. Nonlinear Sci. Numer. Simul. 2015, 20, 174–185. [Google Scholar] [CrossRef]
- Sprott, J.C. Dynamical models of happiness. Nonlinear Dyn. Psychol. Life Sci. 2005, 9, 23–36. [Google Scholar]
- Jafari, S.; Ansari, Z.; Golpayegani, S.M.R.H.; Gharibzadeh, S. Is attention a “period window” in the chaotic brain? J. Neuropsychiatry Clin. Neurosci. 2013, 25, E05. [Google Scholar] [CrossRef]
- Tabatabaei, S.S.; Yazdanpanah, M.J.; Jafari, S.; Sprott, J.C. Extensions in dynamic models of happiness: Effect of memory. Int. J. Happiness Dev. 2014, 1, 344. [Google Scholar] [CrossRef]
- Liao, X.; Ran, J. Hopf bifurcation in love dynamical models with nonlinear couples and time delays. Chaos Solitons Fractals 2007, 31, 853–865. [Google Scholar] [CrossRef]
- Dercole, F.; Rinaldi, S. Love stories can be unpredictable: Jules et Jim in the vortex of life. Chaos Interdiscip. J. Nonlinear Sci. 2014, 24, 023134. [Google Scholar] [CrossRef]
- Breitenecker, F.; Judex, F.; Popper, N.; Breitenecker, K.; Mathe, A.; Mathe, A. Love Emotions between Laura and Petrarch—An Approach by Mathematics and System Dynamics. J. Comput. Inf. Technol. 2008, 16, 255–269. [Google Scholar] [CrossRef]
- Newell, A.; Moloney, J. Nonlinear Optics Addison-Wesley; Reading Mass: Middlesex, MA, USA, 1992. [Google Scholar]
- Rozhansky, V.A.; Tsendin, L.D. Transport Phenomena in Partially Ionized Plasma; CRC Press: Boca Raton, FL, USA, 2001. [Google Scholar]
- Alves-Pires, R. Nonlinear Dynamics in Particle Accelerators; World Scientific: Singapore, 1996; Volume 23. [Google Scholar]
- Cveticanin, L. Resonant vibrations of nonlinear rotors. Mech. Mach. Theory 1995, 30, 581–588. [Google Scholar] [CrossRef]
- Mahmoud, G.M.; Aly, S.A. On periodic solutions of parametrically excited complex non-linear dynamical systems. Phys. A Stat. Mech. Appl. 2000, 278, 390–404. [Google Scholar] [CrossRef]
- Cveticanin, L. Approximate analytical solutions to a class of non-linear equations with complex functions. J. Sound Vib. 1992, 157, 289–302. [Google Scholar] [CrossRef]
- Wu, X.; Xu, Y.; Zhang, H. Random impacts of a complex damped system. Int. J. Non-Linear Mech. 2011, 46, 800–806. [Google Scholar] [CrossRef]
- Xu, Y.; Xu, W.; Mahmoud, G.M. On a complex beam–beam interaction model with random forcing. Phys. A Stat. Mech. Appl. 2004, 336, 347–360. [Google Scholar] [CrossRef]
- Ghanbari, B.; Djilali, S. Mathematical and numerical analysis of a three-species predator-prey model with herd behavior and time fractional-order derivative. Math. Methods Appl. Sci. 2020, 43, 1736–1752. [Google Scholar] [CrossRef]
- Ghanbari, B.; Djilali, S. Mathematical analysis of a fractional-order predator-prey model with prey social behavior and infection developed in predator population. Chaos Solitons Fractals 2020, 138, 109960. [Google Scholar] [CrossRef]
- Sabir, Z.; Wahab, H.A.; Javeed, S.; Baskonus, H.M. An Efficient Stochastic Numerical Computing Framework for the Nonlinear Higher Order Singular Models. Fractal Fract. 2021, 5, 176. [Google Scholar] [CrossRef]
- Sabir, Z.; Raja, M.A.Z.; Alnahdi, A.S.; Jeelani, M.B.; Abdelkawy, M.A. Numerical investigations of the nonlinear smoke model using the Gudermannian neural networks. Math. Biosci. Eng. 2022, 19, 351–370. [Google Scholar] [CrossRef] [PubMed]
- Sabir, Z.; Nisa, K.; Raja, M.A.Z.; Ibrahim, A.A.A. Design of Morlet wavelet neural network for solving the higher order singular nonlinear differential equations. Alex. Eng. J. 2021, 60, 5935–5947. [Google Scholar] [CrossRef]
- Umar, M.; Sabir, Z.; Raja, M.; Shoaib, M.; Gupta, M.; Sánchez, Y. A Stochastic Intelligent Computing with Neuro-Evolution Heuristics for Nonlinear SITR System of Novel COVID-19 Dynamics. Symmetry 2020, 12, 1628. [Google Scholar] [CrossRef]
- Umar, M.; Sabir, Z.; Raja, M.A.Z.; Aguilar, J.G.; Amin, F.; Shoaib, M. Neuro-swarm intelligent computing paradigm for nonlinear HIV infection model with CD4+ T-cells. Math. Comput. Simul. 2021, 188, 241–253. [Google Scholar] [CrossRef]
- Umar, M.; Sabir, Z.; Raja, M.A.Z.; Amin, F.; Saeed, T.; Guerrero-Sanchez, Y. Integrated neuro-swarm heuristic with interior-point for nonlinear SITR model for dynamics of novel COVID-19. Alex. Eng. J. 2021, 60, 2811–2824. [Google Scholar] [CrossRef]
- Sabir, Z. Stochastic numerical investigations for nonlinear three-species food chain system. Int. J. Biomath. 2021, 15, 2250005. [Google Scholar] [CrossRef]
- Saeed, T.; Sabir, Z.; Alhodaly, M.S.; Alsulami, H.H.; Sánchez, Y.G. An advanced heuristic approach for a nonlinear mathematical based medical smoking model. Results Phys. 2021, 32, 105137. [Google Scholar] [CrossRef]
- Umar, M.; Sabir, Z.; Raja, M.A.Z.; Baskonus, H.M.; Yao, S.-W.; Ilhan, E. A novel study of Morlet neural networks to solve the nonlinear HIV infection system of latently infected cells. Results Phys. 2021, 25, 104235. [Google Scholar] [CrossRef]
- Guirao, J.L.; Sabir, Z.; Saeed, T. Design and Numerical Solutions of a Novel Third-Order Nonlinear Emden–Fowler Delay Differential Model. Math. Probl. Eng. 2020, 2020, 7359242. [Google Scholar] [CrossRef]
- Sabir, Z.; Raja, M.A.Z.; Guirao, J.L.G.; Shoaib, M. Integrated intelligent computing with neuro-swarming solver for multi-singular fourth-order nonlinear Emden–Fowler equation. Comput. Appl. Math. 2020, 39, 307. [Google Scholar] [CrossRef]
- Kumar, P.; Erturk, V.S.; Murillo-Arcila, M. A complex fractional mathematical modeling for the love story of Layla and Majnun. Chaos Solitons Fractals 2021, 150, 111091. [Google Scholar] [CrossRef]
- Jafari, S.; Sprott, J.C.; Golpayegani, S.M.R.H. Layla and Majnun: A complex love story. Nonlinear Dyn. 2015, 83, 615–622. [Google Scholar] [CrossRef]
- Yokuş, A.; Gülbahar, S. Numerical Solutions with Linearization Techniques of the Fractional Harry Dym Equation. Appl. Math. Nonlinear Sci. 2019, 4, 35–42. [Google Scholar] [CrossRef]
- Ilhan, E.; Kıymaz, I.O. A generalization of truncated M-fractional derivative and applications to fractional differential equations. Appl. Math. Nonlinear Sci. 2020, 5, 171–188. [Google Scholar] [CrossRef]
- Momani, S.; Ibrahim, R.W. On a fractional integral equation of periodic functions involving Weyl–Riesz operator in Banach algebras. J. Math. Anal. Appl. 2007, 339, 1210–1219. [Google Scholar] [CrossRef]
- Ibrahim, R.W.; Momani, S. On the existence and uniqueness of solutions of a class of fractional differential equations. J. Math. Anal. Appl. 2007, 334, 1–10. [Google Scholar] [CrossRef]
- Yu, F. Integrable coupling system of fractional soliton equation hierarchy. Phys. Lett. A 2009, 373, 3730–3733. [Google Scholar] [CrossRef]
- Bonilla, B.; Rivero, M.; Trujillo, J.J. On systems of linear fractional differential equations with constant coefficients. Appl. Math. Comput. 2007, 187, 68–78. [Google Scholar] [CrossRef]
- Diethelm, K.; Ford, N. Analysis of fractional differential equations. J. Math. Anal. Appl. 2002, 265, 229–248. [Google Scholar] [CrossRef]
- Huang, L.; Bae, Y. Chaotic Dynamics of the Fractional-Love Model with an External Environment. Entropy 2018, 20, 53. [Google Scholar] [CrossRef] [PubMed]
- Huang, L.; Bae, Y. Nonlinear Behavior in Fractional-Order Romeo and Juliet’s Love Model Influenced by External Force with Fuzzy Function. Int. J. Fuzzy Syst. 2018, 21, 630–638. [Google Scholar] [CrossRef]
- Brzeziński, D. Accuracy problems of numerical calculation of fractional order derivatives and integrals applying the Riemman-Liouville/Caputo formulas. Appl. Math. Nonlinear Sci. 2020, 1, 23–43. [Google Scholar] [CrossRef]
- Baskonus, H.M.; Bulut, H.; Sulaiman, T.A. New Complex Hyperbolic Structures to the Lonngren-Wave Equation by Using Sine-Gordon Expansion Method. Appl. Math. Nonlinear Sci. 2019, 4, 129–138. [Google Scholar] [CrossRef]
- Vajravelu, K.; Sreenadh, S.; Saravana, R. Influence of velocity slip and temperature jump conditions on the peristaltic flow of a Jeffrey fluid in contact with a Newtonian fluid. Appl. Math. Nonlinear Sci. 2017, 2, 429–442. [Google Scholar] [CrossRef]
- Selvi, M.S.M.; Rajendran, L. Application of modified wavelet and homotopy perturbation methods to nonlinear oscillation problems. Appl. Math. Nonlinear Sci. 2019, 4, 351–364. [Google Scholar] [CrossRef]
- Gençoğlu, M.T.; Agarwal, P. Use of Quantum Differential Equations in Sonic Processes. Appl. Math. Nonlinear Sci. 2020, 6, 21–28. [Google Scholar] [CrossRef]
- Baskonus, H.M.; Senel, M.; Kumar, A.; Yel, G.; Senel, B.; Gao, W. On the Wave Properties of the Conformable Generalized Bogoyavlensky–Konopelchenko Equation. In Handbook of Fractional Calculus for Engineering and Science; Chapman and Hall/CRC: Boca Raton, FL, USA, 2022; pp. 103–119. [Google Scholar]
- Gao, W.; Veeresha, P.; Prakasha, D.G.; Baskonus, H.M. New numerical simulation for fractional Benney–Lin equation arising in falling film problems using two novel techniques. Numer. Methods Partial. Differ. Equ. 2020, 37, 210–243. [Google Scholar] [CrossRef]
- Barapatre, P.; Ingolikar, Y.; Desai, P.; Jajoo, P.; Thakre, P. A secured architecture for IoT-based healthcare system. 3C Empresa. Investig. Y Pensam. Crítico 2022, 11, 222–230. [Google Scholar] [CrossRef]
- Valentin, Y.; Fail, G.; y Pavel, U. Shapley values to explain machine learning models of school student’s academic performance during COVID-19. 3C TIC. Cuad. Desarro. Apl. TIC 2022, 11, 136–144. [Google Scholar] [CrossRef]
- Dharmik, R.C.; Chavhan, S.; y Sathe, S.R. Deep learning based missing object detection and person identification: An application for smart CCTV. 3C Tecnología. Glosas Innovación Apl. Pyme 2022, 11, 51–57. [Google Scholar] [CrossRef]
- Zouhair, D.; Maria Teresa, B.; Miguel Ángel, L.; Raquel, M. Limit cycles of perturbed global isochronous center. 3C Tecnología. Glosas Innovación Apl. Pyme 2022, 11, 25–36. [Google Scholar] [CrossRef]










| Index | Settings |
|---|---|
| Hidden neurons | 13 |
| Decreeing Mu performances | 0.1 |
| Adaptive parameter, i.e., mu | 5 × 10−03 |
| Fitness values (MSE) | 0 |
| Increasing Mu values | 10 |
| Maximum Mu performances | 1011 |
| Maximum Epochs | 450 |
| Validation tests | 12% |
| Layers (hidden, output, input) | Single |
| Minimum values of the gradient | 10−07 |
| Testing measures | 11% |
| Sample selection | Random |
| Training performance | 77% |
| Generated dataset | Adam method |
| Stoppage standards | Default |
| Case | MSE | Mu | Performance | Iterations | Gradient | Time | ||
|---|---|---|---|---|---|---|---|---|
| Training | Testing | Justification | ||||||
| 1 | 6.80 × 10−09 | 8.07 × 10−10 | 3.28 × 10−09 | 1 × 10−09 | 6.80 × 10−09 | 175 | 9.99 × 10−08 | 04 |
| 2 | 6.29 × 10−09 | 1.51 × 10−09 | 7.93 × 10−10 | 1 × 10−09 | 6.29 × 10−09 | 145 | 7.60 × 10−07 | 04 |
| 3 | 3.75 × 10−09 | 6.59 × 10−10 | 7.67 × 10−09 | 1× 10−09 | 3.75 × 10−09 | 137 | 2.69 × 10−06 | 03 |
Disclaimer/Publisher’s Note: The statements, opinions and data contained in all publications are solely those of the individual author(s) and contributor(s) and not of MDPI and/or the editor(s). MDPI and/or the editor(s) disclaim responsibility for any injury to people or property resulting from any ideas, methods, instructions or products referred to in the content. |
© 2023 by the authors. Licensee MDPI, Basel, Switzerland. This article is an open access article distributed under the terms and conditions of the Creative Commons Attribution (CC BY) license (https://creativecommons.org/licenses/by/4.0/).
Share and Cite
Sabir, Z.; Guirao, J.L.G. A Soft Computing Scaled Conjugate Gradient Procedure for the Fractional Order Majnun and Layla Romantic Story. Mathematics 2023, 11, 835. https://doi.org/10.3390/math11040835
Sabir Z, Guirao JLG. A Soft Computing Scaled Conjugate Gradient Procedure for the Fractional Order Majnun and Layla Romantic Story. Mathematics. 2023; 11(4):835. https://doi.org/10.3390/math11040835
Chicago/Turabian StyleSabir, Zulqurnain, and Juan L. G. Guirao. 2023. "A Soft Computing Scaled Conjugate Gradient Procedure for the Fractional Order Majnun and Layla Romantic Story" Mathematics 11, no. 4: 835. https://doi.org/10.3390/math11040835
APA StyleSabir, Z., & Guirao, J. L. G. (2023). A Soft Computing Scaled Conjugate Gradient Procedure for the Fractional Order Majnun and Layla Romantic Story. Mathematics, 11(4), 835. https://doi.org/10.3390/math11040835

