Magnetohydrodynamic Bioconvective Flow of Williamson Nanofluid over a Moving Inclined Plate Embedded in a Porous Medium
Abstract
1. Introduction
2. Problem Formulation:
3. Solution Methodology
3.1. Similarity Variable Formulation:
3.2. Numerical Technique
4. Results and Discussion
4.1. Effects of Physical Parameters on Velocity Distribution
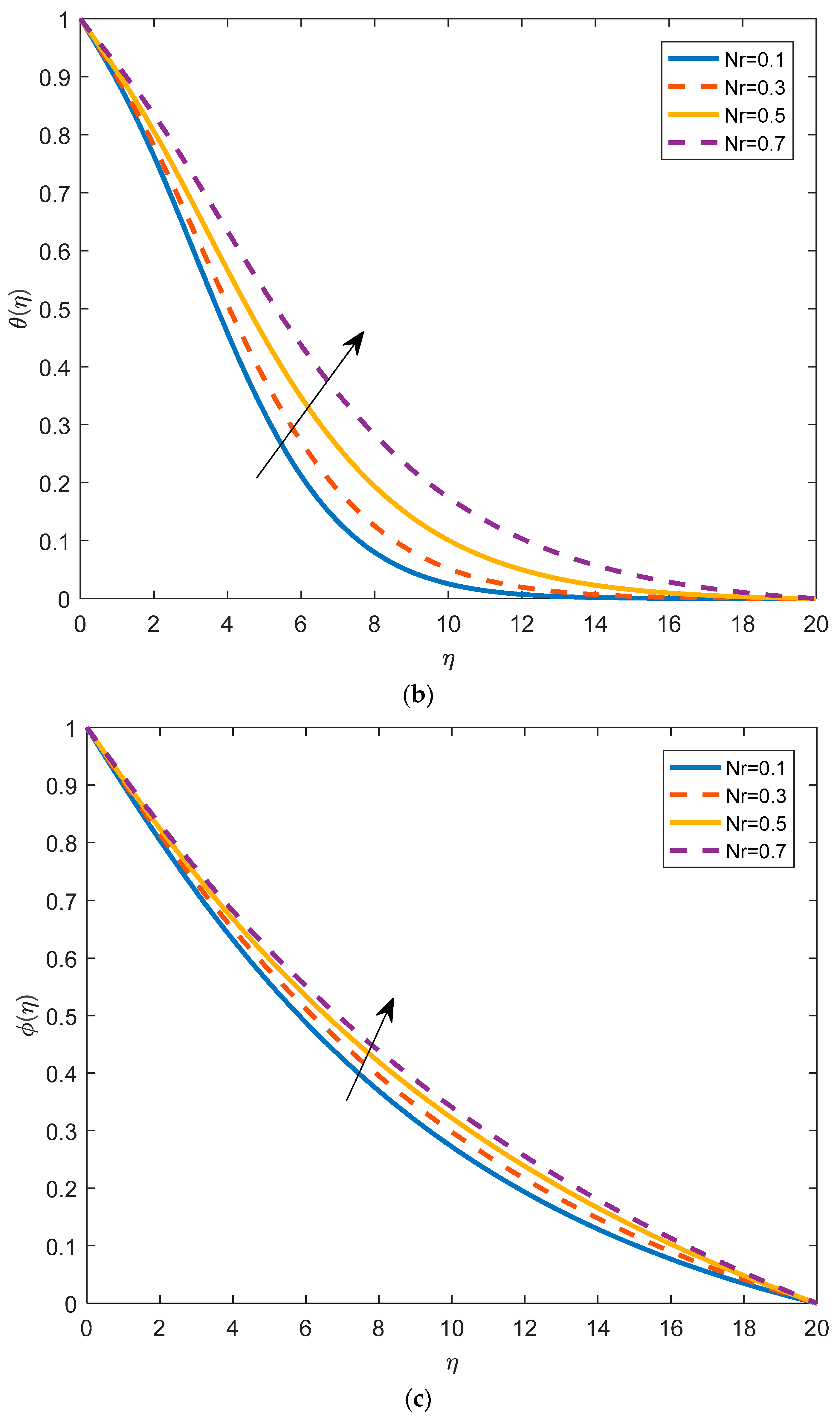
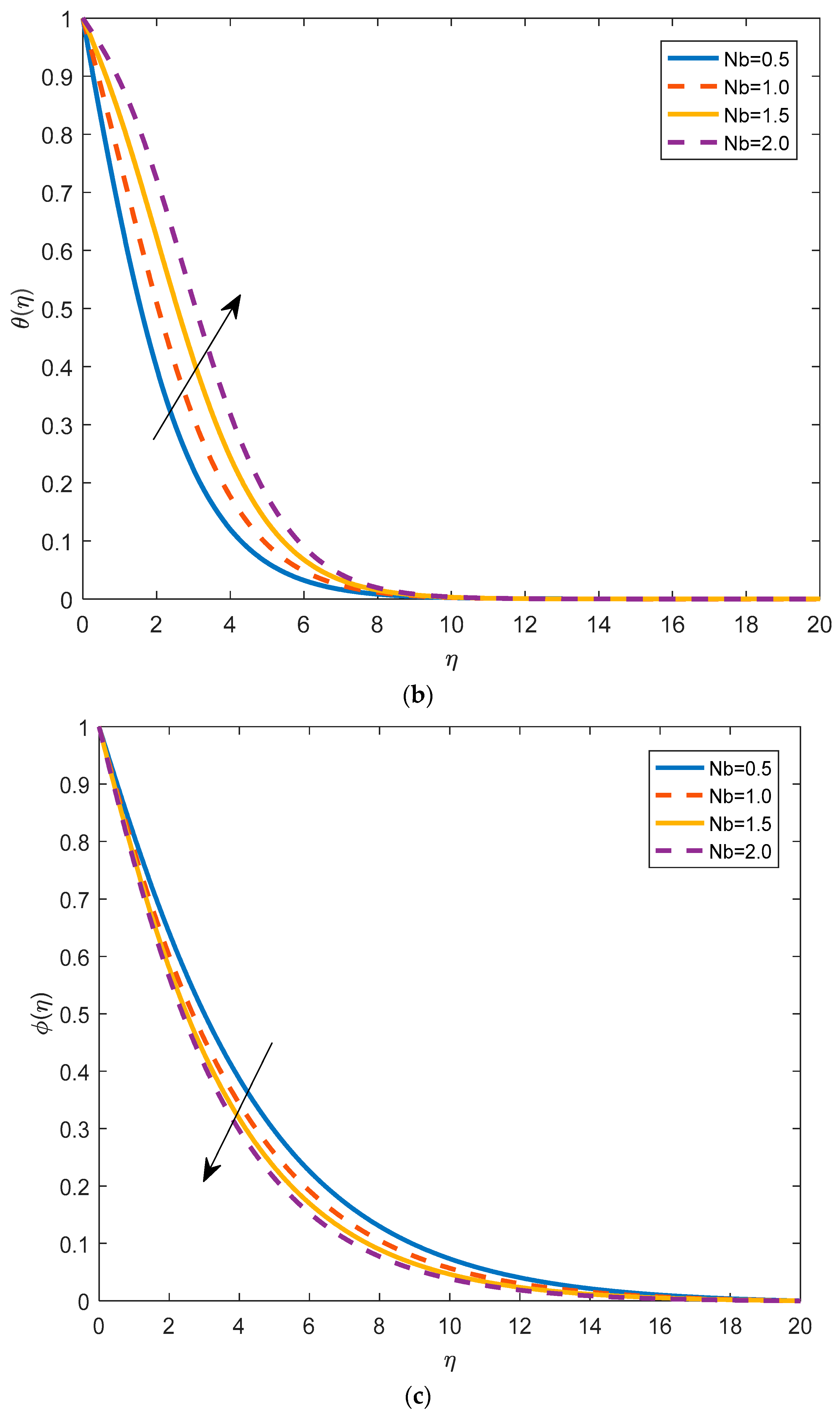
4.2. Effects of Physical Parameters on Temperature Distribution
4.3. Effects of Physical Parameters on Nanoparticles Concentration
4.4. Effects of Physical Parameters on the Density of Motile Microorganisms
4.5. Effect of Pertinent Parameters on Skin Friction, Rate of Heat Transfer, Rate of Mass Transfer, and Rate of Motile Organisms
5. Conclusions
- With the increase in , the velocity profile decreases. It is seen that, as the magnetic parameter increases, the fluid velocity decreases. The Brownian motion causes the intensification of the flow by increasing the fluid velocity. This fact is physically true, in fact, as increases, the viscosity decreases, and the fluid velocity increases. It is also observed that with the increment of bioconvection Rayleigh number, the velocity goes down.
- By increasing the magnetic parameter, the temperature increases. In fact, the increase enhances the resistance within the fluid and causes higher fluid temperatures. The temperature of the fluid increases by increasing the thermophoresis parameter. The heating effect is directly proportional to the permeability parameter.
- Concentration of the profile boosts up by taking larger values of the buoyancy ratio parameter. Brownian motion, thermophoresis, and permeability parameters increase the nanoparticles’ concentration.
- The density of motile micro-organism increases with the buoyancy ratio parameter and the bioconvective Rayleigh number and decreases with the Brownian motion parameter.
- The skin friction and heat transfer rate decrease with the mixed convection parameter and bioconvection Peclet number.
- The graphical results satisfy the given boundary conditions asymptotically.
Author Contributions
Funding
Institutional Review Board Statement
Informed Consent Statement
Data Availability Statement
Conflicts of Interest
References
- Masuda, H.; Ebata, A.; Teramae, K. Alteration of thermal conductivity and viscosity of liquid by dispersing ultra-fine particles. Dispersion of Al2O3, SiO2 and TiO2 ultra-fine particles. Netsu Bussei 1993, 7, 227–233. [Google Scholar] [CrossRef]
- Choi, S.U.; Eastman, J.A. Enhancing Thermal Conductivity of Fluids with Nanoparticles; Argonne Natl. Lab. (ANL): Argonne, IL, USA, 1995; Volume 231, pp. 99–106. [Google Scholar]
- Buongiorno, J.; Hu, W. Nanofluid coolants for advanced nuclear power plants. Proc. ICAPP 2005, 5, 15–19. [Google Scholar]
- Buongiorno, J. Convective Transport in Nanofluids. J. Heat Transf. 2006, 128, 240–245. [Google Scholar] [CrossRef]
- Abbas, A.; Ashraf, M.; Chu, Y.M.; Zia, S.; Khan, I.; Nisar, K.S. Computational study of the coupled mechanism of thermophoretic transportation and mixed convection flow around the surface of a sphere. Molecules 2020, 25, 2694. [Google Scholar] [CrossRef]
- Ashraf, M.; Abbas, A.; Zia, S.; Chu, Y.M.; Khan, I.; Nisar, K.S. Computational analysis of the effect of nano particle material motion on mixed convection flow in the presence of heat generation and absorption. CMC-Comput. Mater. Contin. 2020, 65, 1809–1823. [Google Scholar] [CrossRef]
- Abbas, A.; Ashraf, M. Combined effects of variable viscosity and thermophoretic transportation on mixed convection flow around the surface of a sphere. Therm. Sci. 2020, 24, 4089–4101. [Google Scholar] [CrossRef]
- Ashraf, M.; Abbas, A.; Ali, A.; Shah, Z.; Alrabaiah, H.; Bonyah, E. Numerical simulation of the combined effects of thermophoretic motion and variable thermal conductivity on free convection heat transfer. AIP Adv. 2020, 10, 085005. [Google Scholar] [CrossRef]
- Abbas, A.; Ashraf, M.; Chamkha, A.J. Combined effects of thermal radiation and thermophoretic motion on mixed convection boundary layer flow. Alex. Eng. J. 2021, 60, 3243–3252. [Google Scholar] [CrossRef]
- Ashraf, M.; Abbas, A.; Oztop, H.F.; Nisar, K.S.; Khan, I. Computations of mixed convection slip flow around the surface of a sphere: Effects of thermophoretic transportation and viscous dissipation. Heat Transf. 2021, 50, 7349–7362. [Google Scholar] [CrossRef]
- Ahmad, U.; Ashraf, M.; Abbas, A.; Rashad, A.M.; Nabwey, H.A. Mixed convection flow along a curved surface in the presence of exothermic catalytic chemical reaction. Sci. Rep. 2021, 11, 12907. [Google Scholar] [CrossRef] [PubMed]
- Kuznetsov, A.V. The onset of nanofluid bioconvection in a suspension containing both nanoparticles and gyrotactic microorganisms. Int. Commun. Heat Mass Transf. 2010, 37, 1421–1425. [Google Scholar] [CrossRef]
- Xu, H.; Pop, I. Mixed convection flow of a nanofluid over a stretching surface with uniform free stream in the presence of both nanoparticles and gyrotactic microorganisms. Int. J. Heat Mass Transf. 2014, 75, 610–623. [Google Scholar] [CrossRef]
- Acharya, N.; Das, K.; Kundu, P.K. Framing the effects of solar radiation on magneto-hydrodynamics bioconvection nanofluid flow in presence of gyrotactic microorganisms. J. Mol. Liq. 2016, 222, 28–37. [Google Scholar] [CrossRef]
- Akbar, N.S.; Khan, Z.H. Magnetic field analysis in a suspension of gyrotactic microorganisms and nanoparticles over a stretching surface. J. Magn. Magn. Mater. 2016, 410, 72–80. [Google Scholar] [CrossRef]
- Shen, B.; Zheng, L.; Zhang, C.; Zhang, X. Bioconvection heat transfer of a nanofluid over a stretching sheet with velocity slip and temperature jump. Therm. Sci. 2017, 21, 2347–2356. [Google Scholar] [CrossRef]
- Khan, S.U.; Al-Khaled, K.; Aldabesh, A.; Awais, M.; Tlili, I. Bioconvection flow in accelerated couple stress nanoparticles with activation energy: Bio-fuel applications. Sci. Rep. 2021, 11, 3331. [Google Scholar] [CrossRef]
- Xia, W.F.; Haq, F.; Saleem, M.; Khan, M.I.; Khan, S.U.; Chu, Y.M. Irreversibility analysis in natural bio-convective flow of Eyring-Powell nanofluid subject to activation energy and gyrotactic microorganisms. Ain Shams Eng. J. 2021, 12, 4063–4074. [Google Scholar] [CrossRef]
- Shi, Q.H.; Hamid, A.; Khan, M.I.; Kumar, R.N.; Gowda, R.P.; Prasannakumara, B.C.; Shah, N.A.; Khan, S.U.; Chung, J.D. Numerical study of bio-convection flow of magneto-cross nanofluid containing gyrotactic microorganisms with activation energy. Sci. Rep. 2021, 11, 16030. [Google Scholar] [CrossRef]
- Yang, D.; Ullah, S.; Tanveer, M.; Farid, S.; Rehman, M.I.U.; Shah, N.A.; Chung, J.D. Thermal transport of natural convection flow of second grade bio-nanofluid in a vertical channel. Case Stud. Therm. Eng. 2021, 28, 101377. [Google Scholar] [CrossRef]
- Hayat, T.; Ullah, I.; Muhammad, K.; Alsaedi, A. Gyrotactic microorganism and bio-convection during flow of Prandtl-Eyring nanomaterial. Nonlinear Eng. 2021, 10, 201–212. [Google Scholar] [CrossRef]
- Khan, S.U.; Irfan, M.; Khan, M.I.; Abbasi, A.; Rahman, S.U.; Niazi, U.M.; Farooq, S. Bio-convective Darcy-Forchheimer oscillating thermal flow of Eyring-Powell nanofluid subject to exponential heat source/sink and modified Cattaneo–Christov model applications. J. Indian Chem. Soc. 2022, 99, 100399. [Google Scholar] [CrossRef]
- Saranya, S.; Ragupathi, P.; Al-Mdallal, Q. Analysis of bio-convective heat transfer over an unsteady curved stretching sheet using the shifted Legendre collocation method. Case Stud. Therm. Eng. 2022, 39, 102433. [Google Scholar] [CrossRef]
- Ali, L.; Ali, B.; Ghori, M.B. Melting effect on Cattaneo–Christov and thermal radiation features for aligned MHD nanofluid flow comprising microorganisms to leading edge: FEM approach. Comput. Math. Appl. 2022, 109, 260–269. [Google Scholar] [CrossRef]
- Sakiadis, B.C. Boundary-layer behavior on continuous solid surfaces: II. The boundary layer on a continuous flat surface. Ai Ch E J. 1961, 7, 221–225. [Google Scholar] [CrossRef]
- Erickson, L.E.; Fan, L.T.; Fox, V.G. Heat and mass transfer on moving continuous flat plate with suction or injection. Ind. Eng. Chem. Fundam. 1966, 5, 19–25. [Google Scholar] [CrossRef]
- Crane, L.J. Flow past a stretching plate. Z. Angew. Math. Phys. ZAMP 1970, 21, 645–647. [Google Scholar] [CrossRef]
- Ali, L.; Ali, B.; Liu, X.; Ahmed, S.; Shah, M.A. Analysis of bio-convective MHD Blasius and Sakiadis flow with Cattaneo-Christov heat flux model and chemical reaction. Chin. J. Phys. 2022, 77, 1963–1975. [Google Scholar] [CrossRef]
- Abbas, A.; Ijaz, I.; Ashraf, M.; Ahmad, H. Combined effects of variable density and thermal radiation on MHD Sakiadis flow. Case Stud. Therm. Eng. 2021, 28, 101640. [Google Scholar] [CrossRef]
- Abbas, A.; Shafqat, R.; Jeelani, M.B.; Alharthi, N.H. Significance of chemical reaction and Lorentz force on third-grade fluid flow and heat transfer with Darcy–Forchheimer law over an inclined exponentially stretching sheet embedded in a porous medium. Symmetry 2022, 14, 779. [Google Scholar] [CrossRef]
- Abbas, A.; Noreen, A.; Ali, M.A.; Ashraf, M.; Alzahrani, E.; Marzouki, R.; Goodarzi, M. Solar radiation over a roof in the presence of temperature-dependent thermal conductivity of a Casson flow for energy saving in buildings. Sustain. Energy Technol. Assess. 2022, 53, 102606. [Google Scholar] [CrossRef]
- Abbas, A.; Shafqat, R.; Jeelani, M.B.; Alharthi, N.H. Convective heat and mass transfer in third-grade fluid with Darcy–Forchheimer relation in the presence of thermal-diffusion and diffusion-thermo effects over an exponentially inclined stretching sheet surrounded by a porous medium: A CFD study. Processes 2022, 10, 776. [Google Scholar] [CrossRef]
- Prasannakumara, B.C.; Gireesha, B.J.; Gorla, R.S.; Krishnamurthy, M.R. Effects of chemical reaction and nonlinear thermal radiation on Williamson nanofluid slip flow over a stretching sheet embedded in a porous medium. J. Aerosp. Eng. 2016, 29, 04016019. [Google Scholar] [CrossRef]
- Bhatti, M.M.; Rashidi, M.M. Effects of thermo-diffusion and thermal radiation on Williamson nanofluid over a porous shrinking/stretching sheet. J. Mol. Liq. 2016, 221, 567–573. [Google Scholar] [CrossRef]
- Zaman, S.; Gul, M. Magnetohydrodynamic bioconvective flow of Williamson nanofluid containing gyrotactic microorganisms subjected to thermal radiation and Newtonian conditions. J. Theor. Biol. 2019, 479, 22–28. [Google Scholar] [CrossRef]
- Li, Y.X.; Al-Khaled, K.; Khan, S.U.; Sun, T.C.; Khan, M.I.; Malik, M.Y. Bio-convective Darcy-Forchheimer periodically accelerated flow of non-Newtonian nanofluid with Cattaneo–Christov and Prandtl effective approach. Case Stud. Therm. Eng. 2021, 26, 101102. [Google Scholar] [CrossRef]
- Yahya, A.U.; Salamat, N.; Habib, D.; Ali, B.; Hussain, S.; Abdal, S. Implication of Bio-convection and Cattaneo-Christov heat flux on Williamson Sutter by nanofluid transportation caused by a stretching surface with convective boundary. Chin. J. Phys. 2021, 73, 706–718. [Google Scholar] [CrossRef]
- Abbas, A.; Jeelani, M.B.; Alnahdi, A.S.; Ilyas, A. MHD Williamson Nanofluid Fluid Flow and Heat Transfer Past a Non-Linear Stretching Sheet Implanted in a Porous Medium: Effects of Heat Generation and Viscous Dissipation. Processes 2022, 10, 1221. [Google Scholar] [CrossRef]
- Awan, A.U.; Shah, S.A.A.; Ali, B. Bio-convection effects on Williamson nanofluid flow with exponential heat source and motile microorganism over a stretching sheet. Chin. J. Phys. 2022, 77, 2795–2810. [Google Scholar] [CrossRef]
- Abbas, A.; Jeelani, M.B.; Alharthi, N.H. Magnetohydrodynamic effects on third-grade fluid flow and heat transfer with darcy–forchheimer law over an inclined exponentially stretching sheet embedded in a porous medium. Magnetochemistry 2022, 8, 61. [Google Scholar] [CrossRef]
- Ashraf, M.; Ilyas, A.; Ullah, Z.; Abbas, A. Periodic magnetohydrodynamic mixed convection flow along a cone embedded in a porous medium with variable surface temperature. Ann. Nucl. Energy 2022, 175, 109218. [Google Scholar] [CrossRef]
- Abbas, A.; Ahmad, H.; Mumtaz, M.; Ilyas, A.; Hussan, M. MHD dissipative micropolar fluid flow past stretching sheet with heat generation and slip effects. Waves Random Complex Media 2022, 1–15. [Google Scholar] [CrossRef]
- Abbas, A.; Jeelani, M.B.; Alharthi, N.H. Darcy–Forchheimer Relation Influence on MHD Dissipative Third-Grade Fluid Flow and Heat Transfer in Porous Medium with Joule Heating Effects: A Numerical Approach. Processes 2022, 10, 906. [Google Scholar] [CrossRef]
- Ali, L.; Ali, B.; Liu, X.; Iqbal, T.; Zulqarnain, R.M.; Javid, M. A comparative study of unsteady MHD Falkner–Skan wedge flow for non-Newtonian nanofluids considering thermal radiation and activation energy. Chin. J. Phys. 2022, 77, 1625–1638. [Google Scholar] [CrossRef]
- Ali, L.; Wang, Y.; Ali, B.; Liu, X.; Din, A.; Al Mdallal, Q. The function of nanoparticle’s diameter and Darcy-Forchheimer flow over a cylinder with effect of magnetic field and thermal radiation. Case Stud. Therm. Eng. 2021, 28, 101392. [Google Scholar] [CrossRef]
- Qayyum, S.; Hayat, T.; Alsaedi, A.; Ahmad, B. Magnetohydrodynamic (MHD) nonlinear convective flow of Jeffrey nanofluid over a nonlinear stretching surface with variable thickness and chemical reaction. Int. J. Mech. Sci. 2017, 134, 306–314. [Google Scholar] [CrossRef]
- Narsimulu, G.; Gopal, D.; Udaikumar, R. Numerical approach for enhanced mass transfer of bio-convection on magneto-hydrodynamic Carreau fluid flow through a nonlinear stretching surface. Mater. Today Proc. 2022, 49, 2267–2275. [Google Scholar] [CrossRef]
- Vasudev, C.; Rao, U.R.; Reddy, M.S.; Rao, G.P. Peristaltic pumping of Williamson fluid through a porous medium in a horizontal channel with heat transfer. Am. J. Sci. Ind. Res. 2010, 1, 656–666. [Google Scholar] [CrossRef]
- Eldabe, N.T.; Elogail, M.A.; Elshaboury, S.M.; Hasan, A.A. Hall effects on the peristaltic transport of Williamson fluid through a porous medium with heat and mass transfer. Appl. Math. Model. 2016, 40, 315–328. [Google Scholar]
- Khan, M.I.; Alzahrani, F.; Hobiny, A.; Ali, Z. Modeling of Cattaneo-Christov double diffusions (CCDD) in Williamson nanomaterial slip flow subject to porous medium. J. Mater. Res. Technol. 2020, 9, 6172–6177. [Google Scholar] [CrossRef]
- Bhatti, M.M.; Arain, M.B.; Zeeshan, A.; Ellahi, R.; Doranehgard, M.H. Swimming of Gyrotactic Microorganism in MHD Williamson nanofluid flow between rotating circular plates embedded in porous medium: Application of thermal energy storage. J. Energy Storage 2022, 45, 103511. [Google Scholar] [CrossRef]
- Mishra, P.; Kumar, D.; Kumar, J.; Abdel-Aty, A.H.; Park, C.; Yahia, I.S. Analysis of MHD Williamson micropolar fluid flow in non-Darcian porous media with variable thermal conductivity. Case Stud. Therm. Eng. 2022, 36, 102195. [Google Scholar] [CrossRef]
- Rajput, G.R.; Jadhav, B.P.; Patil, V.S.; Salunkhe, S.N. Effects of nonlinear thermal radiation over magnetized stagnation point flow of Williamson fluid in porous media driven by stretching sheet. Heat Transf. 2021, 50, 2543–2557. [Google Scholar] [CrossRef]
- Reddy, Y.D.; Mebarek-Oudina, F.; Goud, B.S.; Ismail, A.I. Radiation, velocity and thermal slips effect toward MHD boundary layer flow through heat and mass transport of Williamson nanofluid with porous medium. Arab. J. Sci. Eng. 2022, 47, 16355–16369. [Google Scholar] [CrossRef]
- Yousef, N.S.; Megahed, A.M.; Ghoneim, N.I.; Elsafi, M.; Fares, E. Chemical reaction impact on MHD dissipative Casson-Williamson nanofluid flow over a slippery stretching sheet through porous medium. Alex. Eng. J. 2022, 61, 10161–10170. [Google Scholar] [CrossRef]






















| 0.1 | 0.84342 | 0.38469 | 0.08851 | 0.23197 |
| 1.0 | 0.55897 | 0.46628 | 0.05885 | 0.14685 |
| 2.0 | 0.26238 | 0.49037 | 0.05462 | 0.13256 |
| 3.0 | 0.03197 | 0.48689 | 0.07111 | 0.17407 |
| 0.1 | 0.81186 | 0.40318 | 0.08193 | 0.11090 |
| 1.0 | 0.80805 | 0.396523 | 0.08511 | 0.22353 |
| 2.0 | 0.80498 | 0.393091 | 0.08741 | 0.36484 |
| 3.0 | 0.80198 | 0.39013 | 0.08921 | 0.51773 |
Disclaimer/Publisher’s Note: The statements, opinions and data contained in all publications are solely those of the individual author(s) and contributor(s) and not of MDPI and/or the editor(s). MDPI and/or the editor(s) disclaim responsibility for any injury to people or property resulting from any ideas, methods, instructions or products referred to in the content. |
© 2023 by the authors. Licensee MDPI, Basel, Switzerland. This article is an open access article distributed under the terms and conditions of the Creative Commons Attribution (CC BY) license (https://creativecommons.org/licenses/by/4.0/).
Share and Cite
Abbas, A.; Khandelwal, R.; Ahmad, H.; Ilyas, A.; Ali, L.; Ghachem, K.; Hassen, W.; Kolsi, L. Magnetohydrodynamic Bioconvective Flow of Williamson Nanofluid over a Moving Inclined Plate Embedded in a Porous Medium. Mathematics 2023, 11, 1043. https://doi.org/10.3390/math11041043
Abbas A, Khandelwal R, Ahmad H, Ilyas A, Ali L, Ghachem K, Hassen W, Kolsi L. Magnetohydrodynamic Bioconvective Flow of Williamson Nanofluid over a Moving Inclined Plate Embedded in a Porous Medium. Mathematics. 2023; 11(4):1043. https://doi.org/10.3390/math11041043
Chicago/Turabian StyleAbbas, Amir, Radhika Khandelwal, Hafeez Ahmad, Asifa Ilyas, Liaqat Ali, Kaouther Ghachem, Walid Hassen, and Lioua Kolsi. 2023. "Magnetohydrodynamic Bioconvective Flow of Williamson Nanofluid over a Moving Inclined Plate Embedded in a Porous Medium" Mathematics 11, no. 4: 1043. https://doi.org/10.3390/math11041043
APA StyleAbbas, A., Khandelwal, R., Ahmad, H., Ilyas, A., Ali, L., Ghachem, K., Hassen, W., & Kolsi, L. (2023). Magnetohydrodynamic Bioconvective Flow of Williamson Nanofluid over a Moving Inclined Plate Embedded in a Porous Medium. Mathematics, 11(4), 1043. https://doi.org/10.3390/math11041043

