Next Article in Journal
The Ordered Weighted Average Sector Liquid Return Index: A Method for Determining Financial Recovery from Sectoral Debt
Previous Article in Journal
Deciphering the Innovation Subsidy Puzzle: Government Choices amid Supply Chain Encroachment
 
 
Font Type:
Arial Georgia Verdana
Font Size:
Aa Aa Aa
Line Spacing:
Column Width:
Background:
Article

SPH Simulation of the Interaction between Freak Waves and Bottom-Fixed Structures

College of Mathematics and System Sciences, Xinjiang University, Urumqi 830017, China
*
Author to whom correspondence should be addressed.
Mathematics 2023, 11(23), 4838; https://doi.org/10.3390/math11234838
Submission received: 17 October 2023 / Revised: 27 November 2023 / Accepted: 29 November 2023 / Published: 30 November 2023

Abstract

In this paper, the Smoothed Particle Hydrodynamics (SPH) method is used in a C# environment to simulate the interaction between freak waves and bottom-fixed structures by establishing a fluid dynamics model. Paraview software 5.10.1 was used to analyze and visualize the simulation results. In order to simulate wave propagation accurately, the reliability of the model was verified by comparing experimental and simulated data. A two-dimensional numerical wave flume was established based on the SPH method, a conservative Riemann solver was introduced, a repulsive boundary condition was adopted, and a slope was used to eliminate wave reflection. Bottom-fixed structures of different heights and lengths, as well as different wave conditions, were selected to numerically simulate the interaction between freak waves and bottom-fixed structures. The results show that the height of bottom-fixed structures and wave conditions have a significant effect on hindering the propagation of rogue waves, while the length has little effect on the propagation of deformed waves. When the amplitude of the wave remains constant, both the period andthe duration of the deformed wave are longer. This research is of certain significance for the prediction of freak waves in marine engineering and the application and promotion of SPH methods.

1. Introduction

Freak waves are strongly nonlinear waves with abnormally large wave heights, asymmetric waveforms, and their amplitude should be more than 2–2.2 times the effective wave height. The energy and momentum of such waves are concentrated in the local spatial area generated by short wave series, which can cause great damage to marine structures when they are attacked by freak waves. In recent decades, there have been increasing reports of freak waves appearing in various seas around the world and hitting ships and offshore platforms [1,2]. Due to the strong nonlinearity of the deformed wave and the complexity of its physical mechanism, it is very necessary to study the surge, sway, and roll of marine structures under the action of a deformed wave, so as to find ways of reducing the energy of the wave passing over the fixed structures.
Scholars have proposed a variety of hypotheses for the generation of freak waves to explain their nonlinear characteristics, but there is currently no consensus in the academic community on this issue. Deformed waves can be explained by the nonlinear Schrödinger equation. Onorato et al. [3] proposed that the generation of rogue waves in different physical backgrounds and the physical quantities explained in different fields are also different. Pelinovsky et al. [4] proposed formation mechanisms of deformed waves, such as dispersion focusing, the Benjamin-Feir instability, etc. An experiment using regular wave packets to pass through the positive current gradient region showed that the increase of wave steepness causes modulation instability and induces the development of large-amplitude water waves. Jeon et al. [5] simulated a bull’s eye wave focused by multi-directional waves, developed the boundary of multi-directional wave generation using the open-source software OpenFOAM 5.0, and studied the parameters of water particles on the free surface of freak waves, as well as the impact of freak waves on floating bodies. Through reading the above literature, we have gained some understanding of the formation mechanism and related content of freak waves, which makes our future research easier.
Establishing a breakwater is an effective way to reduce the harm caused by freak waves. Breakwaters are marine structures used to resist wave destructive forces and are necessary facilities for port protection. They are also frequently used in marine engineering, military operations, and fishing activities. In many ports, the navigation and berthing of ships are severely affected by freak waves. Therefore, breakwaters are needed to reduce wave height, so that the wave energy is weakened or dissipated after hitting these obstacles, so as to provide a safe environment for ships [6,7,8]. After introducing a new mooring line calculation method, reference [6] compared the wave attenuation performance of a single floating breakwater and a twin floating breakwater using the SPH method. The influence of wave period and the distance between the two breakwaters on the twin floating breakwater was discussed. The displacement and water surface elevation of the breakwater were recorded experimentally. The comparison between numerical and experimental results indicated the reasonable accuracy of the numerical model. The results indicated that the twin floating breakwater has good wave attenuation performance, which provides a good inspiration for us to study bottom-fixed structures. Reference [8] used the SPH method to simulate interactions with floating breakwater structures under different wave conditions. Ren et al. [9] applied the SPH model to simulate the nonlinear interaction between waves and moored floating breakwaters. The numerical calculation data of floating bodies with different immersion depths were compared with the corresponding numerical calculation data of fixed bodies. Liu et al. [10] used the SPH method to numerically study the properties of mooring breakwaters with the same mass and wall thickness, but different shapes. The results indicated that the performance of breakwaters is greatly influenced by immersion depths and wave conditions. All of the above references studied moored breakwaters, while this article studies fixed structures at the bottom of the water flume. Therefore, it is possible to follow the above literature and explore the characteristics of the interactions between deformed waves and bottom-fixed structures by changing some parameters of the fixed structures.
The prediction of deformed waves is very important research, which needs to know the mechanism of its generation and to use reasonable theoretical methods and accurate measurement techniques. The SPH method has developed rapidly in recent decades. Initially, it was proposed to solve astrophysical problems in three-dimensional space and predict the motion of separated particles over time. The SPH method can simulate different violent fluid dynamics, formation of galaxies and planets, etc., and it does not require complex algorithms to track and capture the free surface when dealing with fluid dynamics problems with large free-surface deformation. Moreover, it can effectively avoid the occurrence of grid distortion caused by large wave surface deformation and has specific advantages in the study of strong nonlinear waves and other problems. In recent years, with the continuous deepening of theoretical research on SPH methods, many scholars have improved various aspects of the traditional SPH methods, making this method more widely applicable. Rudman and Cleary [11] used the SPH method to study the effects of rogue waves on various mooring systems of offshore platforms; Dao et al. [12] implemented parallel computation of the SPH, which enabled this method to simulate waves and their breaking processes well, so as to better study the dynamics of wave breaking; Vorobyev [13] developed a numerical algorithm using the original weakly compressible SPH method to handle free-surface liquid motion; He et al. [14] used the SPH model to establish a numerical wave-current flume and conducted a numerical simulation study on wave-current interaction. The above four studies reflect that the SPH method has made initial progress in dealing with fluid problems such as waves, which means that this method is suitable for dealing with wave problems. Therefore, it is reasonable for us to use the SPH method to study the influence of deformed waves on bottom-fixed structures in this paper. In addition, numerical simulation can provide methods and means for studying physical models more effectively, while reducing experimental costs and improving experimental success rates.
A two-dimensional numerical wave flume was established based on the SPH method, a conservative Riemann solver was introduced, a repulsive boundary condition was adopted to prevent fluid particles from penetrating the solid boundary, and a slope was used to eliminate wave reflection. Bottom-fixed structures of different heights and lengths and different wave conditions were chosen. The interaction between deformed waves and bottom-fixed structures was simulated numerically. Next, the wave elevation at four monitoring points, velocity vector graphs, and pressure graphs at different times in the numerical water flume were given. Thus, the variation of deformed waves passing over the bottom-fixed structures with different parameters was analyzed. The first innovation of this article was to add a fixed structure at the bottom of the water flume, which was programmed to set the displacement of the free-floating object to zero. The second innovation was to write a program that reads the displacement, density, velocity, and pressure of a certain point on the water surface over time. Section 1 of this article introduces the damage of freak waves to offshore platforms and other ocean structures, and relevant references. Section 2 covers some basic knowledge and method principles of the SPH method. Section 3 is about model validation to confirm the reliability of the model. Section 4 contains important numerical examples and the main researches of this article. Section 5 draws the main conclusions.

2. SPH Formulation

2.1. Interpolants and Kernel Functions

The basic theory of SPH methods is the interpolation theory, which uses the kernel approximation method to convert partial differential equations into integral equations, and then uses the particle approximation method to convert the continuous integral equations into discrete equations. In SPH, the kernel approximation is:
f x = Ω f x W x x , h d x
where Ω denotes volume of the integration, W is smoothing kernel function, h is smoothing length. In SPH, the discretization form of particle superposition and summation is as follows:
f x = j = 1 N f x j W x x j , h Δ V j
From Equation (1), the following formula can be derived to approximate the first derivative of the field function:
f x = Ω f x W x x , h d x
The discrete approximation of Equation (3) is the following:
f x = j = 1 N f x j W x x j , h Δ V j

2.2. SPH Governing Equations

The governing equations are described by the Navier-Stokes equations for compressible fluids. In the current work, the motion of the fluid is governed by a continuity equation and a momentum equation as follows:
d ρ d t = ρ · v
d v d t = 1 ρ P + g
where v is velocity, ρ is density, P is pressure, g is the acceleration of gravity.
Due to the conservation of mass, the discrete form of Equations (5) and (6) in SPH can be as follows:
d ρ i d t = ρ i j = 1 N m j ρ j v i j i W i j
d v i d t = j = 1 N m j P i + P j ρ i ρ j + Π i j W i j + g
where W i j = W r i r j , h and v i j = v i v j . In the process of simulating fluid dynamics, artificial viscosity was introduced to reduce the generation of non-physical oscillations [15], Π i j can be written as,
Π i j = α c ¯ i j ρ ¯ i j h v i j r i j r i j 2 + η 2 v i j r i j < 0 0 v i j r i j 0
where c ¯ i j = [ c i + c j ] / 2 , ρ ¯ i j = [ ρ i + ρ j ] / 2 , r i j = r i r j , α is the coefficient of artificial viscosity and η = 0.001 h 2 , which prevents numerical divergence when the particles are close to each other.
The equation of state is as follows,
P = c 0 2 ρ 0 γ ρ ρ 0 γ 1
with the polytrophic index γ = 7 (usually in water), ρ 0 is the reference density, the value of the speed of sound is defined as c 0 = P / ρ .

2.3. Conservative Riemann Solver

The inviscid Navier-Stokes equation has been solved based on Vila’s work [16], and appropriate pressure and velocity fields are given for each particle interaction. Moreover, the prediction of caisson breakwater displacement by the Riemann solver is more consistent with the experimental results compared with the conventional SPH method. There is no need for viscous terms to maintain the stability of the scheme, and the numerical simulation of pressure and wave velocity is more accurate. The main advantage of introducing Riemann solvers into the SPH method is the elimination of pressure and velocity fluctuation [17].

2.4. Repulsive Boundary Condition

In finite element or finite difference methods with grids, as long as the grid is preset in advance, the boundary can be determined through the grid. However, meshless methods, such as the SPH method, need some special processing and the boundary treatment is crucial for the accuracy of numerical simulation. In the SPH method, due to the continuous motion of particles with fluid flow, there may be a non-physical phenomenon where particles easily penetrate the solid wall. Monaghan [18] proposed a repulsive boundary model, which is described by a set of discrete boundary particles. When water particles approach, these boundary particles exert a repulsive force on the water particles to avoid the non-physical penetration of water particles. The weighted interpolation of the SPH method shows that the density outside the free surface decreases, indicating that there are no particles [8].

2.5. Time Integration Scheme

The time term in this paper adopts a symplectic time integration scheme [19], which has second-order time precision accuracy. It is time reversible without friction or viscous effects, and includes prediction and correction stages. In the prediction stage, the formula for calculating the acceleration and density values in the time step is as follows:
r a n + 0.5 = r a n + 0.5 Δ t v a n ; ρ a n + 0.5 = ρ a n + Δ t v a n + 0.5 Δ t D a n
The superscript n represents the time step, and D a n and F a n are calculated by Equations (5) and (6), respectively. In the correction stage, the coordinate information of the calculated particles can be calculated as follows:
v a n + 1 = v a n + 0.5 + 0.5 Δ t F a n + 0.5 ; r a n + 1 = r a n + 0.5 + 0.5 Δ t v a n + 1

3. Model Validation

3.1. Flat Plate Flow

Classical flow problems, such as flat plate flow, although relatively simple, have analytical solutions that can rigorously examine the accuracy characteristics of the SPH method. Through comparison with analytical solutions, the calculation accuracy of some intermediate variables, especially the second derivative term, can be quantitatively analyzed, enabling people to grasp the accuracy characteristics of the SPH method and laying the foundation for its wider application. This section selects Poiseuille flow and Couette flow for comparative analysis.

3.1.1. Poiseuille Flow

Poiseuille flow is a fluid motion problem between two infinite plates separated by a certain distance, which is a simplification of pipeline flow, and has wide applications in the fields of bioengineering, chemical engineering, and environmental engineering. The calculation model of Poiseuille flow is shown in Figure 1. This flow needs to consider the viscous effect of the solid wall boundary. Due to the fact that Poiseuille flow does not consider mass forces, the motion of the entire flow field is achieved under pressure gradient driving. As the velocity of particles gradually increases, the influence of the viscous term also gradually increases, resulting in a gradual decrease in acceleration. When the velocity increases to a certain value, the velocity of the flow field no longer changes after the viscous and pressure terms are balanced, and the entire flow field reaches an equilibrium state. At this point, the velocity of the entire flow field cross-section forms a quadratic parabolic distribution.
The analytical solution of Poiseuille flow can be obtained according to Morris’ literature [20], as shown in the following equation:
V x y , t = F 2 υ y y l + n = 0 4 F l 2 υ π 3 2 n + 1 3 s i n π y l 2 n + 1 e x p 2 n + 1 2 π 2 υ l 2 t
where F = 1 ρ P x , υ = μ / ρ .
In this case, the distance between the upper and lower plates is taken as l = 10 3 m , the fluid density is ρ = 10 3 k g / m 3 , the dynamic viscosity is υ = 10 6 m 2 / s , and the driving force is F = 2 × 10 4 m / s 2 . Periodic boundary conditions are used on both sides, and two layers of fixed boundary particles are used on the upper and lower plates, employing the repulsive force boundary particle method, with a total of 204 boundary particles and 10,000 fluid particles. A third-order spline kernel function is used, and the time integration is performed using a predictor-corrector integration method, with a time step of 10 4 s. After 5000 computational steps, the simulation reaches a steady state. Figure 2 shows the velocity distribution at 5000 steps. It can be observed from the figure that the particle velocity is greater closer to the midpoint between the two plates. Figure 3 presents the velocity distributions obtained by the SPH method and the analytical solutions at different times and at the final steady state. It can be observed from Figure 3 that the results obtained by SPH are quite consistent with those obtained by the analytical solution, with an error not exceeding 0.5%.

3.1.2. Couette Flow

Couette flow is also a classic plate flow, where the entire flow field is generated by the shear motion of the upper layer of fluid. It is the simplest moving boundary problem, representing the laminar flow between two parallel plates in relative motion, driven by the viscous forces acting on the fluid and the external pressure parallel to the plates. The analytical solution of Couette flow can be referred to in Morris’ literature [20]. The distribution of velocity in the x-direction is given by the following equation:
V x y , t = V 0 l y + n = 0 2 V 0 n π 1 n s i n n π l y e x p n 2 π 2 υ l 2 t
The calculation model of Couette flow is shown in Figure 4. The size of the simulation region for Couette flow is the same as that for Poiseuille flow in the previous section, with the only difference being the change of the upper boundary from a fixed wall to a moving boundary, with a velocity of v 0 = 2.5 × 10 5 m / s . Other numerical parameters remain the same as for Poiseuille flow in the previous section. After 5000 computational steps, the simulation reaches a steady state. Figure 5 shows the velocity distribution at 5000 steps. It can be observed from the figure that the particle velocity is greater closer to the upper plate. Figure 6 presents the velocity distributions obtained by the SPH method and the analytical solutions at different times and at the final steady state. It can be observed from Figure 6 that the results obtained by the SPH are quite consistent with those obtained by the analytical solution, with an error not exceeding 0.5%.

3.2. Interaction between Regular Waves and a Free-Floating Object

Numerical simulation of the interaction between regular waves and a free-floating object based on the SPH method by the SPH fluid dynamics model. The simulation data are compared with the physical experiment data of Ren et al. [21], which can verify the reliability of this model.

3.2.1. Numerical Settings

A piston is provided on the left side of a two-dimensional numerical wave flume, and a ramp is provided on the other side to limit the reflected waves. It is assumed that there is almost no resistance to limit the wave motion of the numerical flume. The experimental numerical settings [22] are shown in Figure 7. The numerical setup consists of a wave flume with a horizontal length of 6 m, a water depth of 0.4 m, and an inclination angle of 25°. A free-floating object is placed on the water surface 3.85 m to the right of the wave generator, with a length of 30 cm, a height of 20 cm, a width of 42 cm. This article mainly focuses on the motion of a free-floating object under the action of regular waves, which can freely heave, surge, and roll with three degrees of freedom. The motion of a free-floating object is calculated by using the improved model forced by regular waves with a wave height of 0.1 m and a period of 1.2 s. The SPH results are in good agreement with the physical experiment results.
So how do we get the experimental values? This is mainly through the use of a charge-coupled device (CCD) camera [22] to capture the real-time motion of a free-floating object and the water surface. The camera focuses on the centroid of the box, monitoring a small area. The experimental data error is within ± 1.17 mm. The experiment needs a dark environment to enhance the image contrast.

3.2.2. Comparison of Experimental and Numerical Data

Regular waves are used in physics experiments. The constants are as follows: wave height 0.1 m, wave period 1.2 s, time step 0.05 s, and particle distance 0.01 m. Figure 8 shows the simulation results when time is taken at 2 s, 5.75 s, and 10.3 s, respectively. The color represents the particle velocity, and it can be observed that the particle velocity at the wave peak is larger. When t = 2 s, the wave excited by the left wave generator has propagated a certain distance; when t = 5.75 s, the wave propagates near the free-floating object, and it can be clearly seen that the wave velocity passing through the free-floating object decreases. When t = 10.3 s, it is shown that the waves in the flume are regular and stable, and the free-floating object undergoes surge migration.
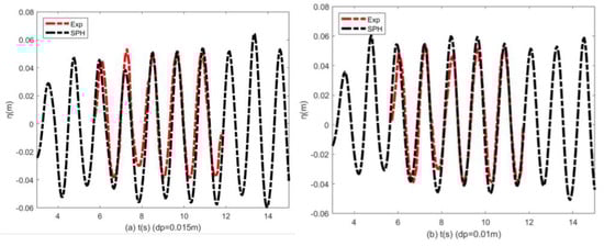
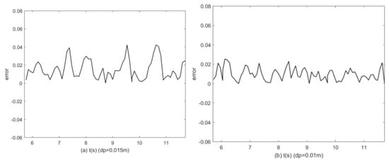
On the basis of Ren et al. [21], Domínguez et al. [22] conducted a more detailed study and explored the comparison between experimental and numerical results at different resolutions. Figure 9 shows the water elevation measured at the object location, but without the presence of the object at different numerical resolutions. It can be obviously seen that the accuracy increases with the increase of resolution, as shown in Figure 9. However, considering the time consumption, this article uses particle distance dp = 0.01 m. From the above figures, it can be seen that the model in this paper can well reproduce the wave generation and evolution process in the experiment, as well as the interaction with the floating body, verifying the reliability of this model. There is a certain error between simulated and experimental values at some points, as shown in Figure 10, which may have been no kernel correction. The average error is 0.0153 and 0.0096, respectively.

4. Numerical Example Analysis

There is another similar study which used box-type floating breakwaters [23]. The SPH method was used for numerical simulation of single rectangle, single circle, dual rectangle and dual circle breakwaters. In order to better evaluate breakwaters in different situations, only the reflected wave coefficient, transmitted wave coefficient, and dissipated wave coefficient of the breakwater were calculated for each case. The results indicate that the dual rectangular breakwater had better wave attenuation performance, which can be further optimized to obtain a better model.
The model setup in this section is basically the same as those in the previous section, but the difference is that the floating object has become a bottom-fixed structure. We further explored the impact of deformed waves on the structure by changing the height, length, and wave conditions, when other conditions remain unchanged. During the simulation process, it was found that deformed waves can focus on the back of the structure, generating abnormal crest shapes that gradually weaken during propagation. In this section, the points in front of, above, and behind (two points) the structure are taken as monitoring points. The wave numerical dissipation and breaking phenomena are determined by analyzing wave elevation at the monitoring points, velocity vector graphs, and pressure graphs at different times.

4.1. Effect of the Height

To consider the influence of structural height on numerical dissipation and wave breaking, the numerical examples used structure heights of 0.1 m, 0.15 m, 0.2 m and 0.25 m, a wave amplitude of 1.0 m, a period of 1.2 s, and the length of the structure as fixed at 0.3 m. The liquid level monitoring points x are 2.5 m (in front of the structure), 3.15 m (above the structure), 3.8 m and 4.5 m (behind the structure), respectively. The wave elevation of the four numerical examples is shown in Figure 11. The wave elevation of the first three monitoring points does not change significantly, but the wave fluctuation of the structure with a height of 0.25 m at the monitoring point x = 4.5 m is smaller than the first three examples. The average peaks of the four numerical examples are 0.0332, 0.0310, 0.0348, and 0.0252, and the average troughs are 0.0337, 0.0324, 0.0252, and 0.0191, respectively. When the height of the structure is gradually increased, a better freak wave phenomenon is generated. During the focusing process, the velocity direction of the waves is upward, while during the attenuation process, the velocity direction is dispersed towards both ends of the structure, as shown in Figure 12. In summary, the most suitable structure height should be 0.25 m.

4.2. Effect of the Length

To consider the influence of structural length on numerical dissipation and wave breaking, the numerical examples used structure lengths of 0.3 m, 0.4 m, 0.5 m and 0.6 m, a wave amplitude of 1.0 m, a period of 1.2 s, and the height of the structure as fixed at 0.25 m. The liquid level monitoring points x are 2.5 m (in front of the structure), above the structure (taking the midpoint of the length), 4 m and 4.5 m (behind the structure), respectively. The wave elevation of the four numerical examples is shown in Figure 13. The results show that the wave attenuation is not significantly affected by the length of the structure, nor is the velocity vector graph (Figure 14). In order to save the cost of the breakwater, the length of the structure should be 0.3 m.

4.3. Effect of the Wave Condition

Through the discussion in the first two sections, we can select a structure with a length of 0.3 m and a width of 0.25 m. In this section, the interaction between deformed waves and structures is discussed under different wave conditions. Wave conditions 1 and 2 are selected with an amplitude of 0.1 m and a period of 1.0 s, 1.2 s, respectively. When the amplitude of the wave remains constant, the period and the duration of the deformed wave are longer, as shown in Figure 15. A pressure graph with a wave amplitude of 0.1 m and a period of 1.2 s is shown in Figure 16.

5. Summary and Outlook

In order to deal with the harm caused by freak waves more effectively, this article uses the principle of establishing a breakwater to avoid the harm of deformed waves. Breakwaters have been developed to protect offshore structures with little impact on protected areas. By extensively reading the literature and writing code, a numerical simulation of the interaction between deformed waves and bottom-fixed structures was achieved. In addition, in this study, the SPH method was used to simulate the interaction between deformed waves and bottom-fixed structures, and the feasibility of the model was verified by comparison with physical experimental data. According to the characteristics of the freak waves, appropriate numerical examples are found by constantly changing the length and height of the structures and wave conditions. Wave elevation, velocity vector graphs and pressure graphs were obtained. It is concluded that the wave height of the bottom-fixed structure and wave conditions have a significant effect on hindering the propagation of freak waves, while the length has little effect on the propagation of deformed waves. When the amplitude of the wave remains constant, the period and the duration of the abnormal wave become longer. Moreover, the model in this paper simulates the interaction between deformed waves and bottom-fixed structures well, and more extensive numerical experiments are needed to confirm its applicability to fixed structures with complex geometric shapes. The results obtained in this paper cannot only serve as a basis for developing more advanced prediction tools for freak waves, but also serve as a reference for the complex situation of ship avoidance at sea.

Author Contributions

All authors contributed equally to the writing of this paper and reviewed the manuscript. All authors have read and agreed to the published version of the manuscript.

Funding

This project is supported by the National Natural Science Foundation of China (Grant No. 11662020).

Informed Consent Statement

Not applicable.

Data Availability Statement

Data are contained within the article.

Conflicts of Interest

The authors declare no conflict of interest.

References

  1. Deng, Y.-F.; Yang, J.-M.; Xiao, L.-F.; Li, X. A review on the nonlinear interactions between extreme waves and marine structures. J. Ship Mech. 2016, 20, 917–928. (In Chinese) [Google Scholar]
  2. Hu, Z.; Tang, W.; Xue, H.; Zhang, X.; Wang, K. Numerical study of rogue wave overtopping with a fully-coupled fluid-structure interaction model. Ocean Eng. 2017, 137, 48–58. [Google Scholar] [CrossRef]
  3. Onorato, M.; Residori, S.; Bortolozzo, U.; Montina, A.; Arecchi, F.T. Rogue waves and their generating mechanisms in different physical contexts. Phys. Rep. 2013, 528, 47–89. [Google Scholar] [CrossRef]
  4. Pelinovsky, E.; Kharif, C. Outcomes of the Special Issue on Extreme and Rogue Waves. Nat. Hazards Earth Syst. Sci. 2011, 11, 2043–2046. [Google Scholar] [CrossRef][Green Version]
  5. Jeon, W.; Park, S.; Jeon, G.M.; Park, J.C. Computational Study on Rogue Wave and Its Application to a Floating Body. Appl. Sci. 2022, 12, 2853. [Google Scholar] [CrossRef]
  6. Chen, Y.K.; Liu, Y.; Meringolo, D.D.; Hu, J.M. Study on the hydrodynamics of a twin floating breakwater by using SPH method. Coast. Eng. 2023, 179, 104230. [Google Scholar] [CrossRef]
  7. Zhang, Y.-S.; Zhang, B.-H.; Cai, F.; Wang, X.; Xue, Y.; Li, D. Wave tank numerical simulation of ships in head sea encountering freak wave. J. Ship Mech. 2016, 27, 25–30. (In Chinese) [Google Scholar]
  8. Najafi-Jilani, A.; Rezaie-Mazyak, A. Numerical investigation of floating breakwater movement using SPH method. Int. J. Nav. Archit. Ocean Eng. 2011, 3, 122–125. [Google Scholar] [CrossRef]
  9. Ren, B.; He, M.; Li, Y.; Dong, P. Application of smoothed particle hydrodynamics for modeling the wave-moored floating breakwater interaction. Appl. Ocean Res. 2017, 67, 277–290. [Google Scholar] [CrossRef]
  10. Liu, Z.; Wang, Y. Numerical studies of submerged moored box-type floating breakwaters with different shapes of cross-sections using SPH. Coast. Eng. 2020, 158, 103687. [Google Scholar] [CrossRef]
  11. Rudman, M.; Cleary, P.W. The influence of mooring system in rogue wave impact onoffshore platform. Ocean Eng. 2016, 115, 168–181. [Google Scholar] [CrossRef]
  12. Dao, M.H.; Xu, H.; Chan, E.S.; Tkalich, P. Numerical modelling of extreme waves by Smoothed Particle Hydrodynamics. Nat. Hazards Earth Syst. Sci. 2011, 11, 419–429. [Google Scholar] [CrossRef]
  13. Vorobyev, A. A Smoothed Particle Hydrodynamics Method for the Simulation of Centralized Sloshing Experiments; KIT Scientific Publishing: Karlsruhe, Germany, 2014. [Google Scholar]
  14. He, M.; Gao, X.; Xu, W. Numerical simulation of wave-current interaction using the SPH method. J. Hydrodyn. 2018, 30, 535–538. [Google Scholar] [CrossRef]
  15. Monaghan, J.J.; Gingold, R.A. Shock simulation by the particle method SPH. J. Comput. Phys. 1983, 52, 374–389. [Google Scholar] [CrossRef]
  16. Vila, J.P. On particle weighted methods and smooth particle hydrodynamics. Math. Models Methods Appl. Sci. 1999, 9, 161–209. [Google Scholar] [CrossRef]
  17. Rogers, B.D.; Dalrymple, R.A.; Stansby, P.K. Simulation of caisson breakwater movement using 2-D SPH. J. Hydraul. Res. 2010, 48 (Suppl. S1), 135–141. [Google Scholar] [CrossRef]
  18. Monaghan, J.J. Simulating free surface flows with SPH. J. Comput. Phys. 1994, 110, 399–406. [Google Scholar] [CrossRef]
  19. Leimkuhler, B.J.; Reich, S.; Skeel, R.D. Integration methods for molecular dynamics. In Mathematical Approaches to Biomolecular Structure and Dynamics; Springer: NewYork, NY, USA, 1996; pp. 161–185. [Google Scholar]
  20. Morris, J.P.; Fox, P.J.; Zhu, Y. Modeling low Reynolds number incompressible flows using SPH. J. Comput. Phys. 1997, 136, 214–226. [Google Scholar] [CrossRef]
  21. Ren, B.; He, M.; Dong, P.; Wen, H. Nonlinear simulations of wave-induced motions of a freely floating body using WCSPH method. Appl. Ocean Res. 2015, 50, 1–12. [Google Scholar] [CrossRef]
  22. Domínguez, J.M.; Crespo, A.J.; Hall, M.; Altomare, C.; Wu, M.; Stratigaki, V.; Troch, P.; Cappietti, L.; Gómez-Gesteira, M. SPH simulation of floating structures with moorings. Coast. Eng. 2019, 153, 103560. [Google Scholar] [CrossRef]
  23. Liu, Z.; Wang, Y. Numerical investigations and optimizations of typical submerged box-type floating breakwaters using SPH. Ocean Eng. 2020, 209, 107475. [Google Scholar] [CrossRef]
Figure 1. Schematic diagram of Poiseuille flow.
Figure 1. Schematic diagram of Poiseuille flow.
Mathematics 11 04838 g001
Figure 2. Velocity vector diagram of Poiseuille flow in SPH simulation at 5000 steps.
Figure 2. Velocity vector diagram of Poiseuille flow in SPH simulation at 5000 steps.
Mathematics 11 04838 g002
Figure 3. Velocity distribution on the vertical centerline at different times and at the final steady state obtained by the SPH simulation of Poiseuille flow, compared with the analytical solution. The dots represent the results of the SPH simulation, and the solid lines represent the analytical solution.
Figure 3. Velocity distribution on the vertical centerline at different times and at the final steady state obtained by the SPH simulation of Poiseuille flow, compared with the analytical solution. The dots represent the results of the SPH simulation, and the solid lines represent the analytical solution.
Mathematics 11 04838 g003
Figure 4. Schematic diagram of Couette flow.
Figure 4. Schematic diagram of Couette flow.
Mathematics 11 04838 g004
Figure 5. Velocity vector diagram of Couette flow in SPH simulation at 5000 steps.
Figure 5. Velocity vector diagram of Couette flow in SPH simulation at 5000 steps.
Mathematics 11 04838 g005
Figure 6. Velocity distribution on the vertical centerline at different times and at the final steady state obtained by the SPH simulation of Couette flow, compared with the analytical solution. The dots represent the results of the SPH simulation, and the solid lines represent the analytical solution.
Figure 6. Velocity distribution on the vertical centerline at different times and at the final steady state obtained by the SPH simulation of Couette flow, compared with the analytical solution. The dots represent the results of the SPH simulation, and the solid lines represent the analytical solution.
Mathematics 11 04838 g006
Figure 7. Numerical setup of the experiment forced by regular waves.
Figure 7. Numerical setup of the experiment forced by regular waves.
Mathematics 11 04838 g007
Figure 8. Numerical simulation results of a free-floating object forced by regular waves at different times.
Figure 8. Numerical simulation results of a free-floating object forced by regular waves at different times.
Mathematics 11 04838 g008
Figure 9. Comparison of a floating body’s elevation between experimental and numerical results at different resolutions.
Figure 9. Comparison of a floating body’s elevation between experimental and numerical results at different resolutions.
Mathematics 11 04838 g009
Figure 10. Error analysis at different resolutions.
Figure 10. Error analysis at different resolutions.
Mathematics 11 04838 g010
Figure 11. From top to bottom, the wave elevation of structures with a height of 0.1 m, 0.15 m, 0.2 m and 0.25 m and a length of 0.3 m are taken at the monitoring points x of 2.5 m (in front of the structure), 3.15 m (above the structure), 3.8 m and 4.5 m (behind the structure), respectively.
Figure 11. From top to bottom, the wave elevation of structures with a height of 0.1 m, 0.15 m, 0.2 m and 0.25 m and a length of 0.3 m are taken at the monitoring points x of 2.5 m (in front of the structure), 3.15 m (above the structure), 3.8 m and 4.5 m (behind the structure), respectively.
Mathematics 11 04838 g011
Figure 12. From top to bottom, velocity vector graphs of structures with a height of 0.1 m, 0.15 m, 0.2 m and 0.25 m and a length of 0.3 m are taken at the monitoring points x of 2.5 m (in front of the structure), 3.15 m (above the structure), 3.8 m and 4.5 m (behind the structure), respectively.
Figure 12. From top to bottom, velocity vector graphs of structures with a height of 0.1 m, 0.15 m, 0.2 m and 0.25 m and a length of 0.3 m are taken at the monitoring points x of 2.5 m (in front of the structure), 3.15 m (above the structure), 3.8 m and 4.5 m (behind the structure), respectively.
Mathematics 11 04838 g012aMathematics 11 04838 g012b
Figure 13. From top to bottom, the wave elevation of structures with a length of 0.3 m, 0.4 m, 0.5 m and 0.6 m and a height of 0.25 m are taken at the monitoring points x of 2.5 m (in front of the structure), above the structure (taking the midpoint of the length), 4 m and 4.5 m (behind the structure), respectively.
Figure 13. From top to bottom, the wave elevation of structures with a length of 0.3 m, 0.4 m, 0.5 m and 0.6 m and a height of 0.25 m are taken at the monitoring points x of 2.5 m (in front of the structure), above the structure (taking the midpoint of the length), 4 m and 4.5 m (behind the structure), respectively.
Mathematics 11 04838 g013aMathematics 11 04838 g013b
Figure 14. From top to bottom, velocity vector graphs of structures with a length of 0.3 m, 0.4 m, 0.5 m and 0.6 m and a height of 0.25 m are taken at the monitoring points x of 2.5 m (in front of the structure), above the structure (taking the midpoint of the length), 4 m and 4.5 m (behind the structure), respectively.
Figure 14. From top to bottom, velocity vector graphs of structures with a length of 0.3 m, 0.4 m, 0.5 m and 0.6 m and a height of 0.25 m are taken at the monitoring points x of 2.5 m (in front of the structure), above the structure (taking the midpoint of the length), 4 m and 4.5 m (behind the structure), respectively.
Mathematics 11 04838 g014
Figure 15. Velocity vector graphs of different wave conditions. (a) wave condition 1: A = 0.1 m, T = 1.0 s. (b) wave condition 2: A = 0.1 m, T = 1.2 s.
Figure 15. Velocity vector graphs of different wave conditions. (a) wave condition 1: A = 0.1 m, T = 1.0 s. (b) wave condition 2: A = 0.1 m, T = 1.2 s.
Mathematics 11 04838 g015
Figure 16. Pressure graphs with a wave amplitude of 0.1 m and a period of 1.2 s.
Figure 16. Pressure graphs with a wave amplitude of 0.1 m and a period of 1.2 s.
Mathematics 11 04838 g016
Disclaimer/Publisher’s Note: The statements, opinions and data contained in all publications are solely those of the individual author(s) and contributor(s) and not of MDPI and/or the editor(s). MDPI and/or the editor(s) disclaim responsibility for any injury to people or property resulting from any ideas, methods, instructions or products referred to in the content.

Share and Cite

MDPI and ACS Style

Hu, X.; Halik, A.; Muhammadhaji, A. SPH Simulation of the Interaction between Freak Waves and Bottom-Fixed Structures. Mathematics 2023, 11, 4838. https://doi.org/10.3390/math11234838

AMA Style

Hu X, Halik A, Muhammadhaji A. SPH Simulation of the Interaction between Freak Waves and Bottom-Fixed Structures. Mathematics. 2023; 11(23):4838. https://doi.org/10.3390/math11234838

Chicago/Turabian Style

Hu, Xuan, Azhar Halik, and Ahmadjan Muhammadhaji. 2023. "SPH Simulation of the Interaction between Freak Waves and Bottom-Fixed Structures" Mathematics 11, no. 23: 4838. https://doi.org/10.3390/math11234838

APA Style

Hu, X., Halik, A., & Muhammadhaji, A. (2023). SPH Simulation of the Interaction between Freak Waves and Bottom-Fixed Structures. Mathematics, 11(23), 4838. https://doi.org/10.3390/math11234838

Note that from the first issue of 2016, this journal uses article numbers instead of page numbers. See further details here.

Article Metrics

Back to TopTop