Next Article in Journal
Statistical Image Watermark Algorithm for FAPHFMs Domain Based on BKF–Rayleigh Distribution
Previous Article in Journal
An Invariant of Riemannian Type for Legendrian Warped Product Submanifolds of Sasakian Space Forms
 
 
Font Type:
Arial Georgia Verdana
Font Size:
Aa Aa Aa
Line Spacing:
Column Width:
Background:
Article

Nash-Bargaining Fairness Concerns under Push and Pull Supply Chains

1
School of Transportation and Logistics, Southwest Jiaotong University, Chengdu 610031, China
2
National United Engineering Laboratory of Integrated and Intelligent Transportation, Chengdu 610031, China
*
Author to whom correspondence should be addressed.
Mathematics 2023, 11(23), 4719; https://doi.org/10.3390/math11234719
Submission received: 6 October 2023 / Revised: 16 November 2023 / Accepted: 17 November 2023 / Published: 21 November 2023

Abstract

:
Unbalanced power structures can lead to an inequitable distribution of the supply chain’s profits, creating unstable supply chain relationships and serious social problems. This paper builds a two-tier newsvendor model composed of a single supplier and a single retailer and introduces Nash bargaining as a reference for fairness. We investigate (1) the impact of fairness concerns on the performance of a retailer-dominated supply chain and a manufacturer-dominated supply chain; (2) how demand uncertainty affects the inequitable state; and (3) how overestimated and underestimated values of fairness concerns affect supply chain performance when fairness concerns are private information. After solving the equilibrium solution of the Stackelberg game and Nash-bargaining games and numerical analyses, it is shown that unilateral fairness concerns by the Stackelberg leader or follower can motivate the leader to sacrifice its profit to reduce their income inequality by offering a coordinating wholesale price. Of course, it is also effective for both participants to be fair-minded as soon as their fairness sensitivity is moderate enough. However, followers’ fairness concerns are more effective at decreasing inequity, while leaders can improve social welfare, i.e., increase the entire supply chain’s efficiency as well as market scale. We also find that in a more uncertain market, fewer fairness-concerned participants are supposed to reach a relatively fair condition. In addition, we conclude that sometimes asymmetric information about fairness concerns can improve the profit share of the disadvantaged and even channel efficiency. This paper extends the study of Nash-bargaining fairness concerns to retailer-dominated newsvendor models and enriches the field, when fairness concerns are asymmetric information.

1. Introduction

Global brands such as Nike, GAP, Adidas, and McDonald’s usually have absolute dominance in the supply chain. Sometimes, they rely on indirect tactics such as unreasonably lowering the price of raw materials in sourcing activities and exploiting cheap factory labor in developing countries to pursue more profit. However, their profit-seeking nature and miserly behaviors have resulted in consumer resistance and a bad reputation [1]. The scandal of the Chinese national brand “Sanlu Milk Powder” also occurred because upstream suppliers bore more costs and risks in an unbalanced supply chain than downstream companies. Unprofitable farmers eventually provided fake milk to ensure their income. There are so many cases of unequal bargaining power and capability disparities causing excessive profit disparities between participants in supply chains, which would damage co-operative relationships and cause serious social problems.
Currently, an increasing number of companies pay attention to maintaining a positive public image, particularly by establishing more sustainable and stable supply chain relationships. For example, Starbucks established the Starbucks Global Farmer Fund, where farmers who need help in infrastructure, agronomy, and restoration can apply for loans. The company also helps upstream coffee farmers by sharing free planting techniques and donating coffee trees [2], which is a type of fairness concern.
In the past few decades, a great number of studies have researched fairness and its impact on player performance [3,4,5,6]. Kahneman et al. observed that it is also common for enterprises to be influenced by concerns about equity in business relationships, including channel relationships, in the same way as individuals [7]. In a group, benefits and payments need to be allocated among members, and each member has an ideal allocation arrangement that they consider to be fair, called distributive fairness [8]. Some researchers believed that fairness in a distribution channel “should be the supplier’s first concern”. Some studies have found that only negative inequity, not positive inequity, has deleterious effects [9] on people pursuing fairness [10]. Other studies conclude that fair-minded people care about social welfare and are willing to help those in a disadvantaged position [11,12,13].
Fairness concerns always stem from inequity, which is most likely to happen in the distribution channel. Cui et al. introduced the concept of fairness in a traditional dyadic supply chain to investigate its effects on supply chain coordination with the inequality-aversion model [14]. The study showed that when members care about fairness, the manufacturer raises the wholesale price above its marginal cost. It can coordinate the supply chain by maximizing the profits of the whole chain as well as of the channel utilities. Then, the demand was extended to a nonlinear one by Demirag et al.’s [15] function and subsequently extended to be random in a newsvendor model by Wu and Niederhoff [16] to study the influence of demand uncertainty on player performance. It also clarified that the win–win condition is achieved only when the ideal authority of the retailer is within a reasonable area, when the retailer is not too unfairness-averse, and when demand is sufficiently high. However, although wholesale pricing can coordinate the supply chain, it is sometimes rejected and considered invalid because of incomplete information on participants’ fairness references [17] and bounded rationality [18].
In reality, people are also motivated by peer comparison. Ho and Su introduced peer-induced fairness and analyzed how it affects ultimatum games played in a supply chain containing one supplier and two retailers [19]. Then, Ho et al. studied how this chain might react to both peer-induced fairness and distributional fairness [20]. Based on their previous work on simple wholesale price contracts, Nie and Du considered quantity discount contracts [21]. Liu et al. considered a special research context to study the effects of two kinds of fairness concerns on order distribution in a logistics services supply chain containing one service aggregator and two peer functional service suppliers [22]. In contrast, Pan studied a two-tier supply chain model containing one leading retailer and two following suppliers [23].
There are many other kinds of models that demonstrate the impact of fairness concerns on contract relationships, channel participant utility, and channel coordination. Li and Li explored a double-channel supply chain where the retailer offers fairness concerns as well as value-added services [24]. Zheng et al., Cao et al., and Jian et al. coordinated a closed-loop supply chain that is fairness-aware through different aspects, including variable-weighted Shapley values, differential pricing, and profit-sharing contracts [25,26,27]. Jiang et al. introduced the Rawlsian criterion into fairness concerns and studied how it coordinates push and pull supply chains [28]. In practice, Kang et al. tried to address poverty alleviation by considering both fairness concerns and government subsidies in the agricultural supply chain simultaneously [29]. Wang et al. [30] found that a large profit gap between manufacturers and e-platforms can lead to fairness concerns among manufacturers about the profit distribution mechanism, which is not only detrimental to the long-term development of the supply chain but even leads to a break in co-operation. As for the buyer–seller relationship between retailers and consumers, Cohen et al. [31] examined the impact of consumers’ fairness considerations on sellers’ profits, consumer surplus, and social welfare in a price discrimination strategy. Allender et al. [32], on the other hand, categorized buyers’ unfairness concerns into those based on sellers’ margins and those due to others being charged different prices and tested separately whether a price obfuscation strategy eliminates buyers’ fairness concerns.
There is a perspective on using Nash-bargaining solutions as a fairness reference. Luo et al. [33] provided an overview of the latest developments in Nash bargaining and its application to operations management. Forsythe et al. introduced bargaining experiments for the first time to address inequality in income redistribution between the public sector and private agents [34]. Zwick and Chen studied the bargaining behavior of disadvantaged players, making tradeoffs to pursue a fair outcome and favoring parties by granting weight to other players’ fairness concerns when one party’s authority dominates that of the other [35]. Generally, pure profit-driven or fair-driven solutions will lead to minimum and maximum income levels, while a bargaining solution can balance fairness and efficiency in each player’s income. The Nash-bargaining solution is the only scale-invariant solution meeting this characteristic in the two-person bargaining problem. And it is common to consider both the Stackelberg game and the Nash-bargaining game for related studies, i.e., playing the Stackelberg game first and then allocating the profits through the Nash-bargaining game [36,37]. Du et al. considered these two different games simultaneously [38]. They investigated the newsvendor problem of a two-tier supply chain containing one supplier and one retailer, both of whom are aware of two types of fairness: absolute and relative fairness, respectively. They found that the supplier’s awareness of fairness is more effective at improving channel efficiency, which is different from our studies. Li et al. [39] also used Nash-bargaining solutions as a fairness reference to examine the impact of fairness concerns on a single-retailer, single-manufacturer supply chain, but they conducted the study under three contract structures: wholesale prices, buy back, and revenue sharing. However, participants’ fairness concerns in the condition where the manufacturer is dominant were not considered, which will be discussed in our paper. Moreover, the impact of demand uncertainty on the state of inequity in the supply chain is where this study differs from the above literature.
Based on previous research, Sharma et al. established a behavioral model that coordinates channel relationships between fairness-concerned participants and an option contract [40]. Adhikaria and Bisi presented a collaboration mechanism using profit-sharing contracts and greening cost-sharing contracts simultaneously for a two-tier green clothing supply chain in emerging economies [41]. Liu et al. considered psychological uncertainty and developed a revolutionary mechanism to coordinate a fairness-concerned multiplayer supply chain and make it sustainable [42].
Motivated by the above studies, we build two two-tier newsvendor models in which the decision sequences and the relative power of the manufacturer and retailer are different: retailer-dominated and manufacturer-dominated. Then, the Nash-bargaining fairness reference is introduced in the models by formulating the advantage unfairness coefficient and the disadvantage unfairness coefficient, following Du et al. [38]. The study is framed with the following questions: (1) How does the fairness concern of the manufacturer and retailer affect the performance of a manufacturer-dominated supply chain? (2) How does the fairness concern of the manufacturer and retailer affect the performance of a retailer-dominated supply chain? (3) How does demand uncertainty affect the inequitable state of the supply chain? (4) In a system where fairness concerns are private information and information is asymmetric, how do overestimated and underestimated values of fairness concerns affect supply chain performance in two types of supply chains?
Our paper makes the following main contributions. First, we compare the roles of fairness concerns in Nash bargaining in supply chains of different structures, which have rarely been studied simultaneously before. Although the retailer and manufacturer perform differently in different power structures, their income gaps can both be reduced by offering a coordinating wholesale price. Their position in the channel defines the role of the players. Followers’ fairness concerns are more effective at decreasing inequity, while leaders can improve social welfare, i.e., increase whole supply chain efficiency as well as market scale, some of which have revised previous research in Du et al. [38]. Then, we find that in a more uncertain market, fewer fairness-concerned participants are supposed to reach a relatively fair condition. Lastly, since most studies are based on complete information about fairness, we study the situation of information asymmetry, where fairness concerns might be overestimated or underestimated by others. It also causes dissimilar consequences, which can be applied as strategies to help coordinate the channel more efficiently. Similarly, Pavlov et al. [43] studied the case when fairness preferences are private information and that information is asymmetric and argued that the efficiency loss due to this information asymmetry is strictly positive, which is not entirely consistent with the conclusions obtained in our study.
The rest of this paper is organized as follows. Section 2 reviews conventional push and pull supply chains as benchmarks. Section 3 explores the effects of Nash-bargaining fairness in push and pull supply chains. Section 4 investigates the performance under conditions of asymmetries in fairness information. Finally, Section 5 discusses the main findings and future research directions. All proofs are shown in Appendix A.

2. Traditional Supply Chain

Before discussing Nash-bargaining fairness, we review some normal preconditions and consequences. Think about a two-tier newsvendor model where a retailer (r) orders products from a manufacturer (m) at the wholesale price w and sells them in the end market at the known price p. The market’s demand D is stochastic with a probability density function f ( · ) , which is continuous and differentiable, and with a cumulative distribution function F ( · ) . Denote the complementary cumulative distribution function as F ¯ ( · ) and the inverse cumulative distribution function as F 1 ( · ) . The manufacturer produces a total of q units of the goods with the marginal production cost of c. We assume F ( · ) , p, and c to be common information. In addition, spare products are not recycled, and their salvage value is zero. Denote the profits of the retailer, manufacturer, and supply chain by π r , π m , and = π r + π m , respectively.

2.1. Push Supply Chain

In a manufacturer-dominated supply chain (MS), the manufacturer only produces the quantity that the retailer preorders and charges the wholesale price according to the order quantity [44], leaving all inventory risk to the retailer as a result. As the Stackelberg leader, the manufacturer charges the wholesale price w M S to maximize its profit  π m = ( w M S c ) q M S . Therefore, as the follower, the retailer decides a preorder quantity of q M S to maximize its profit π r = p · min ( q M S , D ) w M S q M S . The retailer’s best response w M S 0 satisfies w M S 0 ( q M S 0 ) = p F ¯ ( q M S 0 ) , which anticipates the manufacturer’s best response function. The equilibrium order quantity q M S 0 satisfies F ¯ ( q M S 0 ) f ( q M S 0 ) q M S 0 = c / p . As the dominator in a push supply chain, the manufacturer determines the wholesale price, which gives it an advantage in the distribution of benefits from their Stackelberg game. On the contrary, the retailer preorders before demand is realized, covering the unmet loss between the realized demand and the order/production quantity. Therefore, the manufacturer always gains a larger profit than the retailer.

2.2. Pull Supply Chain

In a retailer-dominated supply chain (RS), the manufacturer decides the production quantity without knowing the market demand or the retailer’s order quantity [45]. Then, the retailer gives a quotation and orders in the selling season according to demand, leaving inventory risk to the manufacturer. Therefore, as the Stackelberg leader, the retailer decides to pay the wholesale price w R S to maximize its profit π r = p · min ( q R S , D ) w R S q R S . Then, as the follower, the manufacturer decides the order quantity q R S to maximize its profit π m = ( w R S c ) q R S . The manufacturer’s best response q R S 0 satisfies F ¯ ( q R S 0 ) = c / w R S 0 , which anticipates the retailer’s best response function. The equilibrium wholesale price w R S 0 satisfies p F ¯ ( q R S 0 ) c = c f ( q R S 0 ) ( 0 q R S 0 F ¯ ( x ) d x ) / F ¯ 2 ( q R S 0 ) . As the dominator in a pull supply chain, the retailer determines the wholesale price, which gives it an advantage in the distribution of benefits from their Stackelberg game. On the contrary, the manufacturer decides the production quantity without a preorder, covering the unmet loss between the realized order/demand and the production quantity. Therefore, the leading retailer always gains a larger profit than the manufacturer.

3. Nash-Bargaining Fairness Concerns

In the Nash-bargaining fairness model, we denote a Nash-bargaining fair solution as ( π ¯ m , π ¯ r ) , a reference point that both the retailer and manufacturer recognize as fair. The distance from π to π ¯ will weaken the utility of participants according to their own fairness standards.
A fairness-concerned manufacturer’s utility function is
u m = π m θ m ( π m π ¯ m ) + λ m ( π ¯ m π m ) +
and a fairness-concerned retailer’s utility function is
u r = π r θ r ( π r π ¯ r ) + λ r ( π ¯ r π r ) +
where θ and λ are the advantage fairness coefficient and the disadvantage fairness coefficient, respectively, which are measures of participants’ sensitivity to fairness concerns. They satisfy 1 > λ m θ m 0 and 1 > λ r θ r 0 , which means that the degree of aversion to the fairness of disadvantages is always greater than the degree of aversion to the fairness of advantages.

3.1. Push Supply Chain

In a push supply chain, the leading manufacturer always gains a larger profit than the retailer, which is the root of the unfairness. Therefore, the manufacturer’s expected profit is always larger than its fair solution, which is π m > π ¯ m . The retailer’s expected profit is always smaller than its fair solution, which is π ¯ r > π r . Therefore, the utility functions of the manufacturer and the retailer can be simplified as follows:
u m = π m θ m ( π m π ¯ m ) u r = π r λ r ( π ¯ r π r ) .
In the Nash-bargaining fairness model, we define Nash social welfare as u m u r . In addition, the Nash-bargaining fair profit is the solution of
max π i , π j u m u r s . t . π m + π r = u m , u r > 0
The Nash-bargaining fair solution is derived as
{ π ¯ m = 1 θ m 2 + λ r θ m = 1 θ m 2 + λ r θ m ( π m + π r ) π ¯ r = 1 + λ r 2 + λ r θ m = 1 + λ r 2 + λ r θ m ( π m + π r )
where π r = p · min ( q M S , D ) w M S q M S and π m = ( w M S c ) q M S . Now, the utility functions of the retailer and manufacturer convert to
{ u r = ( 1 + λ r ) [ 2 θ m 2 + λ r θ m p · min ( q M S , D ) + λ r 2 + λ r θ m c q M S w M S q M S ] u m = ( 1 θ m ) [ θ m 2 + λ r θ m p · min ( q M S , D ) ( 2 + λ r ) 2 + λ r θ m c q M S + w M S q M S ] .
Because u m and u r are strictly concave, the optimal decisions maximizing their utility exist and satisfy the following:
{ w M S * = 2 θ m 2 + λ r θ m p F ¯ ( q M S * ) + λ r 2 + λ r θ m c F ¯ ( q M S * ) ( 1 θ m 2 ) f ( q M S * ) q M S * = c p .
Proposition 1.
In a push supply chain with Nash-bargaining fairness concerns, the retailer’s fairness concern  λ r would not affect the order quantity q M S or the supply chain’s profit M S . q M S increases in the manufacturer’s fairness concern θ m and is larger than in the traditional supply chain.
Proposition 2.
When a fairness-concerned retailer orders products from a fairness-neutral manufacturer ( θ m = 0 ), the order quantity q M S satisfies F ¯ ( q M S ) f ( q M S ) q M S = c / p , which is the same as in the traditional supply chain. The wholesale price w M S = [ 2 / ( 2 + λ r ) ] p F ¯ ( q M S ) + c λ r / ( 2 + λ r ) is lower than in the traditional supply chain and decreases in the retailer’s sensitivity λ r . Therefore, the retailer’s expected profit π r is larger, and the manufacturer’s π m is smaller than in the traditional supply chain. Additionally, when λ r grows, π r increases and π m decreases, while the total profit of the supply chain M S is maintained.
The authority of a fairness-concerned retailer rises in the negotiation as well as its ideal Nash fair solution, which incentivizes the manufacturer to reduce the wholesale price to reach its ideal lower Nash fair solution. However, the retailer still has insufficient confidence to preorder more products without the manufacturer’s fairness concerns. Therefore, the whole chain’s profit will not change without changing the product quantity.
Proposition 2 declares that a fairness-concerned retailer would incentivize a manufacturer to reduce its wholesale price to reallocate the profit between them, even though the manufacturer does not care at all about the unfairness between them. The more sensitive the retailer is, the more dominant its position is. However, the change is internal, and neither the supply chain efficiency nor the production quantity in the market change, which is related to consumer utility.
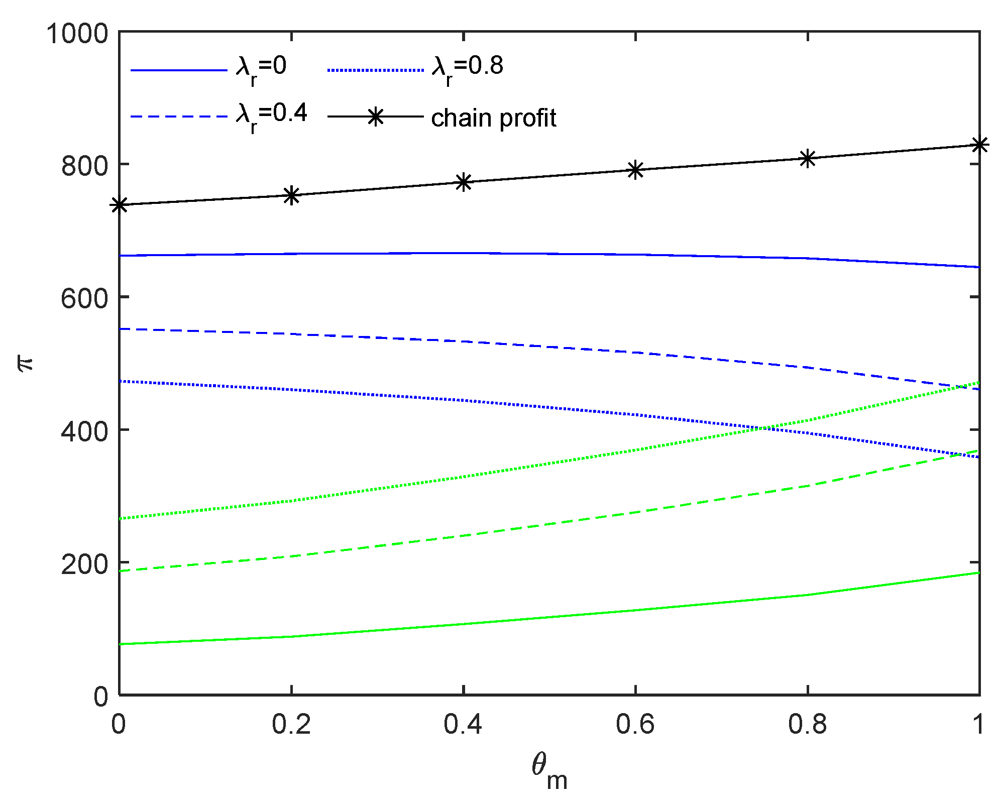
To investigate the effects of θ m and λ r , we conduct a numerical test where p = 20 and c = 5. The demand follows a normal distribution where the mean is 50 and the variance is 80. Then, we adjust θ m when λ r is at different values. The results are shown in Figure 1.
Proposition 3.
When a fairness-concerned manufacturer sells to a fairness-neutral retailer ( λ r = 0 ), the order quantity q M S satisfies F ¯ ( q M S ) ( 1 θ m / 2 ) f ( q M S ) q M S = c / p , which is larger than in the traditional supply chain and increases in manufacturer’s sensitivity θ m . The wholesale price w M S = p F ¯ ( q M S ) is smaller than in the traditional supply chain and decreases in θ m . According to the observation, when θ m grows, the retailer’s expected profit π r increases, the manufacturer’s π m decreases, and the total profit of the supply chain M S increases.
This indicates that a fairness-concerned manufacturer would charge a lower wholesale price and sacrifice its own profit to improve the retailer’s production quantity in the market and the supply chain efficiency, even though the retailer has no awareness of its weak position in a push supply chain.
Proposition 4.
If the manufacturer and retailer are both fairness-concerned, when  θ m or λ r grows, the wholesale price w M S decreases, the manufacturer’s expected profit π m decreases, and retailer’s π r increases. While the total profit of the supply chain M S only increases in θ m , when λ r > λ ¯ r or θ m > θ ¯ m , π r will exceed π m , where λ ¯ r and θ ¯ m satisfy π m M S π r M S = ( 2 w M S ( θ ¯ m , λ ¯ r ) c ) q M S ( θ ¯ m ) p 0 q M S ( θ ¯ m ) F ¯ ( x ) d x = 0 .
Propositions 1 and 4 hint that in the push supply chain, only the manufacturer can influence the order quantity and the supply chain’s efficiency, which increases in θ m . Both θ m and λ r can let the manufacturer sacrifice its profit to offer a lower coordinating wholesale price and improve the retailer’s expected profit. Therefore, the win–win condition would never occur. However, when participants are overly concerned with fairness, a new unfair situation appears. Some results are opposite those of Du et al. [36], where the wholesale price is increasing due to the supplier’s fairness concern. The participants of Du et al. [36] are only disadvantage-unfairness-averse, while in our model, advantage unfairness as well as disadvantage unfairness concerns both decrease the utility of participants.
To investigate the influence of demand uncertainty, we fix θ m = 0.3 , λ r = 0.3 and adjust the variance of demand. The results are shown in Figure 2.
Proposition 5.
The order quantity q M S and the manufacturer’s expected profit π m decrease, while the retailer’s expected profit π r slightly increases in the variance of demand.
It clarifies that in a more uncertain market, the retailer would reduce its order quantity to avoid risks, leading to a decrease in the manufacturer’s expected profits. The situation of the supply chain also becomes worse because its total profits and product quantity drop. However, we find that inequities in the supply chain are more severe when production yield is less uncertain. In this case, more fairness-concerned participants are expected to reach a relatively fair condition.
To investigate the different effects of fairness concerns between manufacturers and retailers, we compare the impact of manufacturer and retailer unilateral fairness concerns on their own profit share, ξ r = π r / ( π r + π m ) , and supply chain efficiency, δ = ( π r + π m ) / θ , λ = 0 . We fix c = 5, p = 30, the mean of demand at 100, and the variance of demand at 30, and we adjust the sensitivity of the participant’s fairness concerns when the counterpart is 0. The results are shown in Figure 3.
Proposition 6.
In a push supply chain, the fairness concerns of both the manufacturer and the retailer can increase retailer’s profit share and decrease the difference between them. Moreover, the fairness concerns of the retailer can eliminate inequity more effectively. On the other hand, supply chain efficiency will only increase when a manufacturer’s fairness concerns grow.

3.2. Pull Supply Chain

In a pull supply chain, the leading retailer always gains a larger profit than the manufacturer, from which the unfairness comes. Therefore, the retailer’s expected profit is always larger than its fair solution, which is π r > π ¯ r . The manufacturer’s expected profit is always smaller than its fair solution, which is π ¯ m > π m . Therefore, the utility functions of the retailer and manufacturer can be simplified as follows:
u r = π r θ r ( π r π ¯ r ) u m = π m λ m ( π ¯ m π m ) .
In the Nash-bargaining fairness model, the Nash-bargaining fair profit is the solution to the problem (1). The Nash-bargaining fair solution is derived as follows:
{ π ¯ m = 1 + λ m 2 + λ m θ r π ¯ r = 1 θ r 2 + λ m θ r
where π r = p · min ( q R S , D ) w R S q R S and π m = ( w R S c ) q R S . Now, the manufacturer’s utility and the retailer’s utility functions convert to
{ u m = ( 1 + λ m ) [ w R S · min ( q R S , D ) λ m 2 + λ m θ r p · min ( q R S , D ) 2 θ r 2 + λ m θ r c q R S ] u r = ( 1 θ r ) [ 2 + λ m 2 + λ m θ r p · min ( q R S , D ) w R S · min ( q R S , D ) θ r 2 + λ m θ r c q R S ]
where u m and u r are strictly concave, so the optimal decisions maximizing their utility exist and satisfy the following:
{ w R S * = λ m 2 + λ m θ r p + 2 θ r ( 2 + λ m θ r ) F ¯ ( q R S * ) c p c F ¯ ( q R S * ) 1 = ( 1 θ r 2 ) f ( q R S * ) 0 q R S * F ¯ ( x ) d x ( F ¯ ( q R S * ) ) 2
To investigate the effect of θ r , we set p = 20, c = 5, the mean of demand at 100, and the variance of demand at 25, and we adjust θ r when λm is at a different value. The results are shown in Figure 4.
Proposition 7.
In a pull supply chain with Nash-bargaining fairness concern, the sensitivity of the retailer’s fairness concerns θr would not affect the order quantity q R S or the supply chain’s profit R S . q R S increases in the retailer’s fairness concerns λ m and is larger than in the traditional supply chain.
Proposition 8.
When a fairness-concerned manufacturer sells to a fairness-neutral retailer ( θ r = 0 ), the order quantity q R S is the same as in the conventional supply chain. The wholesale price w R S is higher than in the conventional supply chain and increases in the manufacturer’s sensitivity λ m . Therefore, the retailer’s expected profit πr is smaller, and the manufacturer’s π m is larger than in the traditional supply chain. Additionally, when λ m grows, π r decreases and π m increases, while the total profit of the supply chain R S is maintained.
A fairness-concerned manufacturer would incentivize a retailer to raise its wholesale price to reallocate the profit between them, even though the retailer does not care at all about the unfairness between them. The more sensitive the manufacturer is, the more dominant its position is. However, this change is internal, and neither the supply chain efficiency nor the production quantity in the market, which is related to consumers’ utility, change.
Proposition 9.
When a fairness-concerned retailer orders from a fairness-neutral manufacturer ( λ m = 0 ), the order quantity q R S is larger than in the conventional supply chain and increases in retailer’s sensitivity θ r . The wholesale price w R S is higher than in the conventional supply chain and increases in θ r . According to the observation, when θ r grows, the retailer’s expected profit π r decreases, the manufacturer’s π m increases, and the total profit of the supply chain R S increases.
This means that a fairness-concerned retailer would raise its wholesale price and sacrifice its own profit to improve that of the manufacturer, as well as the production quantity in the market and supply chain efficiency, even though the manufacturer has no awareness of its weak position in the pull supply chain.
Proposition 10.
If the manufacturer and retailer are both fairness-concerned, when λ m or θ r grows, the wholesale price w R S increases, the retailer’s expected profit π r decreases and the manufacturer’s π m increases. While the total profit of supply chain only increases in θ r , when λ m > λ ¯ m or θ r > θ ¯ r , π m will exceed π r , where λ ¯ m and θ ¯ r satisfy π m R S π r R S = ( 2 w R S ( θ ¯ r , λ ¯ m ) c ) q R S ( θ ¯ r ) p 0 q R S ( θ ¯ r ) F ¯ ( x ) d x = 0 .
Propositions 7 and 10 explain that only the retailer in a pull supply chain can influence the order quantity and supply chain efficiency, which increase in θ r . Both λ m and θ r can let the retailer sacrifice its profit to offer a lower wholesale price and improve the manufacturer’s expected profit. Therefore, the win–win condition would never occur. However, when participants are overly concerned with fairness, a new unfair situation appears.
To investigate the influence of demand uncertainty, we fix θ r = 0.3 , λ m = 0.3 , then adjust the variance of demand. The results are shown in Figure 5.
Proposition 11.
The manufacturer’s expected profit π m and order quantity q R S decrease, while the retailer’s expected profit π r increases in the variance of demand.
Proposition 11 indicates that in a more uncertain market, the manufacturer would reduce its production quantity to avoid risks, leading to a decrease in the retailer’s expected profits. The situation of the supply chain also becomes worse because its total profits and product quantity drop. However, we find that inequities in the supply chain are more severe when production yield is less uncertain. In this case, more fairness-concerned participants are expected to reach a relatively fair condition.
To investigate the different effects of fairness concerns between manufacturers and retailers, we compare their unilateral fairness concerns on the manufacturers’ profit share, ξ r = π m / ( π r + π m ) , and supply chain efficiency, δ = ( π r + π m ) / θ , λ = 0 . We fix p = 30, c = 5, the mean of demand at 100, and the variance at 40, and we adjust the sensitivity of the participant’s fairness concerns when the counterpart is 0. The results are shown in Figure 6.
Proposition 12.
In the pull supply chain, the fairness concerns of both the retailer and manufacturer can increase the manufacturer’s profit share and decrease the difference between them. Moreover, the manufacturer’s fairness concerns are more effective at eliminating inequity. However, supply chain efficiency will only increase when the retailer’s fairness concerns grow.

4. Fairness Concern: Asymmetric Information

In the above study, the fairness concerns of participants were assumed to be public knowledge. However, it is more realistic for players to have no idea how fairness-concerned the counterpart is in a system where fairness concerns are private information and the information is asymmetric. One has to make decisions according to a hypothetical value of the fairness sensitivity of another, which is denoted as θ and λ , rather than the real value Δ θ = | θ θ | and Δ λ = | λ λ | . Such errors may arise from misunderstandings or deliberate misinformation. In this section, we examine how overestimated and underestimated values of fairness concerns affect supply chain performance in two types of supply chains.

4.1. Push Supply Chain

The estimated value of the retailer’s fairness concern from the manufacturer is denoted as λ r , and the estimated value of the manufacturer’s fairness concern from the retailer is denoted as θ m . Now, the Nash-bargaining fair solution is derived as follows:
{ π ¯ m = 1 θ m 2 + λ r θ m = 1 θ m 2 + λ r θ m ( π m + π r ) π ¯ r = 1 + λ r 2 + λ r θ m = 1 + λ r 2 + λ r θ m ( π m + π r )
Then, the optimal decisions maximizing their utility satisfy the following:
{ w M S * = 2 θ m 2 + λ r θ m p F ¯ ( q M S * ) + λ r 2 + λ r θ m c θ m F ¯ ( q M S * ) p 2 + λ r θ m + p ( 2 θ m ) [ F ¯ ( q M S * ) q M S * f ( q M S * ) ] 2 + λ r θ m = ( 2 + λ r 2 + λ r θ m λ r 2 + λ r θ m ) c
To explore the impacts of the estimated value of fairness concerns, we design a numerical experiment, where p = 30, c = 5, the mean of demand is 100, and the variance is 30, and the real sensitivity of the participant’s fairness concerns are θ m = 0.5 , λ r = 0.5 . Then, we fix λ r = λ r ( θ m = θ m ) and adjust the estimated value θ m ( λ r ) from 0 to 1, observing the performance when θ m ( λ r ) is bigger or smaller than the actual value, i.e., order quantity, wholesale price, retailer’s profit share, and supply chain efficiency. The results are shown in Figure 7.
Proposition 13.
When θ m < θ m , the order quantity, wholesale price, and supply chain efficiency are larger than in the symmetric situation and increase in Δ θ m , while the retailer’s share is smaller and decreases in Δ θ m . When θ m > θ m , the order quantity, wholesale price, and supply chain efficiency are smaller than in the symmetric situation and decrease in Δ θ m , while the retailer’s share is larger and increases in Δ θ m .
This shows that when the manufacturer’s fairness concerns are underestimated, supply chain efficiency increases, while when they are overestimated, the retailer’s profit share decreases. This means that, on the one hand, if a manufacturer pays more attention to improving equity, it can pretend to be more concerned with fairness. On the other hand, if it cares more about supply chain efficiency, it can show greater humility. The retailer should be discreet with the manufacturer to incentivize the latter to compromise its share of the profit.
Proposition 14.
When λ r < λ r , the order quantity, retailer’s share, and supply chain’s efficiency are smaller than in the symmetric situation and decrease in Δ λ r , while the wholesale price is higher and increases in Δ λ r . When λ r > λ r , the order quantity, retailer’s share, and supply chain’s efficiency are greater than in the symmetric situation and increase in Δ λ r , while the wholesale price is lower and decreases in Δ λ r .
It is believed that when the retailer’s fairness concerns are overestimated, the manufacturer will offer a lower wholesale price to make the retailer’s profit share and the supply chain’s efficiency increase. The retailer’s outlook of a stronger desire for fairness would push the leader to take more effective actions.

4.2. Pull Supply Chain

The estimated value of the retailer’s fairness concern from the manufacturer is denoted as θ r , and the estimated value of the manufacturer’s fairness concern from the retailer is denoted as λ m . Now, the Nash-bargaining fair solution is derived as follows:
{ π ¯ m = 1 + λ m 2 + λ m θ r = 1 + λ m 2 + λ m θ r ( π m + π r ) π ¯ r = 1 θ r 2 + λ m θ r = 1 θ r 2 + λ m θ r ( π m + π r )
The optimal decisions maximizing their utility satisfy the following:
{ w R S = λ m 2 + λ m θ r p + 2 θ r ( 2 + λ m θ r ) ( F ¯ ( q R S ) ) c ( 2 + λ m 2 + λ m θ r λ m 2 + λ m θ r ) p F ¯ ( q R S ) c ( 2 θ r ) f ( q R S ) 0 q R S F ¯ ( x ) d x ( 2 + λ m θ r ) ( F ¯ ( q R S ) ) 2 = ( 2 θ r 2 + λ m θ r + θ r 2 + λ m θ r ) c
To explore the impacts of the estimated value of fairness concerns, we design a numerical experiment where p = 30, c = 5, the mean demand is 100, and the variance is 20, the real sensitivity of the participant’s fairness concern is θ r = 0.5 , λ m = 0.5 . Then, we fix  λ m = λ m ( θ r = θ r ) and adjust the estimated value θ r ( λ m ) from 0 to 1, observing the performance when θ r ( λ m ) is larger or smaller than the actual value, i.e., order quantity, wholesale price, manufacturer’s profit share, and supply chain’s efficiency. The results are shown in Figure 8.
Proposition 15.
When θ r < θ r , the wholesale price and manufacturer’s share are lower than in the symmetric situation and decrease in Δ θ r , while the order quantity and supply chain’s efficiency are maintained. When θ r > θ r , the wholesale price and retailer’s share are higher than in the symmetric situation and increase in Δ θ r , while the order quantity and supply chain’s efficiency increase slightly.
This result clarifies that when the retailer’s fairness concerns are overestimated, the manufacturer’s share increases. In contrast, when underestimated, the manufacturer’s share is hurt. Therefore, it is better for the manufacturer to be confident in the retailer to incentivize it to keep its profit compromised.
Proposition 16.
When λ m < λ m , the order quantity, wholesale price, manufacturer’s share, and supply chain’s efficiency are greater and increase in Δ λ m . When λ m > λ m , the four outcomes are smaller and decrease in Δ λ r .
This might be because when the manufacturer overemphasizes its fairness concerns, the retailer will rebel and become tired of taking action. Exhibiting reasonable expectations of fairness is a more effective method for prompting the retailer’s sympathy and receiving a higher price.
In conclusion, incomplete information on players’ fairness concerns could have positive influences under certain circumstances. Reasonable underestimation and overestimation can be used as strategies by participants to improve the situation more effectively.
An ethical leader should show its fairness concerns openly to gain a follower’s trust and a higher estimate of the leader’s fairness concerns. This trust will, in turn, incentivize the leader to provide a higher wholesale price and increase the profit share of the weaker partner. Otherwise, the improved equity effect will be jeopardized. A follower has different strategies in different decentralized supply chains. In a push supply chain, it could have a stronger desire for fairness and put pressure on the leader to reduce wholesale prices. In a pull supply chain, it may exhibit milder fairness concerns, leading the leader to be sympathetic and to pay a higher price.
However, when the strategy is not used properly, reaching the goal may be at risk. It is best, therefore, to engage in a full exchange of information.

5. Conclusions and Discussions

This paper has examined how fairness concerns’ impacts are related to the structure of the supply chain, i.e., who are the leaders and followers in the Stackelberg game? The role played by the participant determines its impact on the performance of the supply chain.
Now let us summarize how four possible outcomes change when the sensitivity of fairness-concerned participants changes in different supply chains. As demonstrated in Table 1, we denote “increase”, “decrease” and “remain” as “↑”, “↓” and “−”, respectively. According to the demonstration and the above studies of demand uncertainty and asymmetric information, we draw some significant conclusions:
(a)
In a two-tier decentralized supply chain, either unilateral fairness concerns from Stackelberg leaders or followers can affect chain performance, reducing income inequality. Specifically, to be close to its ideal Nash-bargaining fairness reference, a leader company with a sense of social responsibility would make concessions by offering to coordinate wholesale prices, sacrificing its own profits to coordinate the chain. However, the win–win outcome would not occur because it requires the leader’s sacrifice. In addition, the participants must not be overly fairness-concerned; otherwise, new inequalities will appear;
(b)
In terms of the impact on supply chain performance, fairness concerns from Stackelberg leaders are more influential than those of followers. If, and only if, the leader is fair-minded can social welfare be improved. In social welfare theory, social welfare is always sacrificed by upper management to ensure fairness. However, it has been found that the Nash-bargaining fairness theory can successfully improve both social welfare and fairness in our case. Specifically, supply chain efficiency and profits are improved so individuals can obtain a higher income. In addition, there would be more products on the market, and consumers would have more choices and utility;
(c)
In addition, the newsvendor model shows that in a more uncertain market, the follower would reduce its production quantity or order production to avoid risks, leading to a decrease in the profits of the whole chain. However, in this case, there is less difference between participants, and participants who are less fairness-concerned are expected to reach a relatively fair condition. On the contrary, inequities are unexpectedly more severe when the production’s yield is less uncertain. In this case, more fairness-concerned participants are expected to reach a relatively fair condition;
(d)
In a decentralized supply chain, the fairness concerns of both manufacturers and retailers can increase followers’ profit share and decrease the difference between them, and followers’ fairness concerns can eliminate inequity more quickly. However, supply chain efficiency only increases leaders’ fairness concerns. In other words, followers’ fairness concerns are more effective in eliminating inequity, while leaders can make the whole supply chain more efficient;
(e)
Asymmetric information has different impacts on two kinds of decentralized supply chains. In a push supply chain, the overestimation of leaders’ fairness concerns has positive effects on equity, while in a pull supply chain, it has negative effects. For a follower, in a push supply chain, being overestimated contributes to it paying a lower price, while in a pull supply chain, being underestimated is good for receiving a higher price.
Our study explains the positive applications of fairness concerns in supply chain coordination:
(a)
Inequality in the distribution of profits may not only lead to the poverty of the weak players but also be detrimental to the long-term stability of the supply chain, which eventually damages the profitability of the dominant player. Thus, on the topic of social equality, it is very necessary for both of them to have fairness concerns. The dominant participant in the supply chain has the right and the ability to pursue fairness. Leaders are supposed to assume greater social responsibilities and can play a more significant role in improving social welfare. Although having fairness concerns can help the giant company create a good corporate image, he has to pay for it in terms of reduced profits, which does not lead to a win-win situation, so other incentives are needed. Since the fairness concerns of dominant players increase social welfare and contribute to healthy and sustainable economic development, governments should encourage the fairness concerns of giant firms towards disadvantaged upstream or downstream partners by adopting policies such as subsidies or tax breaks when necessary. Moreover, many governments today not only provide passive help to the poor through direct subsidies but also provide technology and information so that people in disadvantaged positions have the ability and desire to fight for the rights they deserve. Avoiding monopolies by giant corporations and protecting the development of micro and small economies can also help reduce social income disparities;
(b)
It is crucial for leaders and followers to establish reasonable fairness sensitivity. If any of the participants are overly concerned with fairness, the follower’s profit share in the supply chain will be too great for this principle to be effective, resulting in new inequality. Therefore, in practice, communication is needed to solve this problem, and they should expose their fairness concerns to each other so that the leaders may provide a fair price or order quantity. If the ideal state of information symmetry cannot be reached, incomplete information can also be used as a strategy to help coordinate the performance of the channel;
(c)
When information about fairness concerns between upstream and downstream is non-transparent, misjudged fairness concerns can have a differential impact on unfairness. In a manufacturer-dominated supply chain, such as a giant car manufacturer with its dealers, the dealers show greater confidence in the manufacturer’s fairness concerns, which helps to obtain lower wholesale prices. In retailer-dominated supply chains, such as Apple with its parts manufacturers, manufacturers show distrust of the giant brands’ fairness concerns, contributing to their higher revenues.
In terms of future research, we may further consider how the uncertainty of players’ fairness concerns and their estimations affect chain performance. Our research studies a simple supply chain consisting of one manufacturer and one retailer. We could study how horizon competition affects fairness when multiple participants with different characteristics are allowed at each tier in the future. Additionally, supply chain members’ estimates of the fairness concerns of others may not be definitive values, and we can study from the perspective of probability distributions.

Author Contributions

Conceptualization, C.F.; methodology, S.N. and H.G.; analysis, S.N. and H.G.; writing—original draft preparation, S.N. and H.G.; writing—review and editing, S.N.; visualization, S.N.; supervision, C.F.; funding acquisition, C.F. All authors have read and agreed to the published version of the manuscript.

Funding

The research is supported by funding from the National Social Science Fund of China (17BGL085).

Data Availability Statement

The authors confirm that the data supporting the findings of this study are available within the article.

Conflicts of Interest

The authors declared that they have no conflict of interest in this work.

Appendix A. Proofs

Proof of Equation (2).
According to π ¯ m + π ¯ r =
u m u r = [ π m θ m ( π m π ¯ m ) ] [ π r λ r ( π ¯ r π r ) ] = [ ( 1 θ m ) π r θ m π ¯ r ] [ ( 1 + λ r ) π r λ r π ¯ r ] u m u r π r = ( 1 θ m ) [ ( 1 + λ r ) π r λ r π ¯ r ] + [ ( 1 θ m ) π r θ m π ¯ r ] ( 1 + λ r )
  2 u m u r π r 2 < 0 u m u r ( , π r )  is strictly concave in π r , so the optimal solution π r *  exists and exactly equals the Nash-bargaining fair solution π ¯ r , which leads to π ¯ r = ( 1 + λ r ) / ( 2 θ m + λ r )
u m u r = [ π m θ m ( π m π ¯ m ) ] [ π r λ r ( π ¯ r π r ) ] = [ ( 1 θ m ) π m + θ m π ¯ m ] [ + λ r π ¯ m ( 1 + λ r ) π m ] u m u r π m = ( 1 θ m ) [ + λ r π ¯ m ( 1 + λ r ) π m ] ( 1 + λ r ) [ ( 1 θ m ) π m + θ m π ¯ m ] 2 u m u r π m 2 < 0
Same as π ¯ r , π ¯ m = π m * = ( 1 θ m ) / ( 2 θ m + λ r ) . □
Proof of Equation (3).
Note that the expected profit of retailer is E ( π r ) = E [ p · min ( q , D ) w q ] = p 0 q F ¯ ( x ) d x w q ,
2 u r q M S 2 = ( 1 + λ r ) 2 θ m 2 + λ r θ m p f ( q M S ) < 0 u r q M S = 0 w M S = 2 θ m 2 + λ r θ m p F ¯ ( q M S ) + λ r 2 + λ r θ m c 2 u m q M S 2 < 0 ,   u m q M S = 0 F ¯ ( q M S ) ( 1 θ m 2 ) f ( q M S ) q M S = c p
Proof of Equation (4)
 is the same as of Equation (2). □
Proof of Equation (5).
2 u m q R S 2 = ( 1 + λ m ) f ( q R S ) [ w R S λ m 2 + λ m θ r p ] < 0 . u m q R S = 0 w R S = λ m 2 + λ m θ r p + 2 θ r ( 2 + λ m θ r ) ( F ¯ ( q R S ) ) c · 2 u r q R S 2 < 0 , u r q R S = 0 2 p F ¯ ( q R S ) ( 2 θ r ) c f ( q R S ) ( F ¯ ( q R S ) ) 2 0 q R S F ¯ ( x ) d x 2 c = 0
Proof of Equation (6).
The estimated value of the manufacturer’s fair solution from the retailer is denoted as π ¯ m . For the retailer, π ¯ m + π ¯ r = , according to π m + π r = ,
u m u r = [ π m θ m ( π m π ¯ m ) ] [ π r λ r ( π ¯ r π r ) ] = [ ( 1 θ m ) π r θ m π ¯ r ] [ ( 1 + λ r ) π r λ r π ¯ r ] u m u r π r = ( 1 θ m ) [ ( 1 + λ r ) π r λ r π ¯ r ] + [ ( 1 θ m ) π r θ m π ¯ r ] ( 1 + λ r )
2 u m u r π r 2 < 0 , u m u r ( , π r ) is strictly concave in π r , so the optimal solution π r * exists and exactly equals the Nash-bargaining fair solution π ¯ r , which leads to π ¯ r = ( 1 + λ r ) / ( 2 θ m + λ r ) .
The estimated value of the retailer’s fair solution from the manufacturer is denoted as π ¯ r . For the manufacturer, π ¯ m + π ¯ r = according to π m + π r = .
u m u r = [ π m θ m ( π m π ¯ m ) ] [ π r λ r ( π ¯ r π r ) ] = [ ( 1 θ m ) π m + θ m π ¯ m ] [ + λ r π ¯ m ( 1 + λ r ) π m ] u m u r π m = ( 1 θ m ) [ + λ r π ¯ m ( 1 + λ r ) π m ] ( 1 + λ r ) [ ( 1 θ m ) π m + θ m π ¯ m ] 2 u m u r π m 2 < 0 π ¯ m = π m * = ( 1 θ m ) / ( 2 θ m + λ r )
Proof of Equation (7).
Now the utility functions of the retailer and manufacturer convert to
{ u r = ( 1 + λ r ) [ 2 θ m 2 + λ r θ m p · min ( q M S , D ) + λ r 2 + λ r θ m c q M S w M S q M S ] u m = ( 1 θ m ) [ θ m 2 + λ r θ m p · min ( q M S , D ) ( 2 + λ r ) 2 + λ r θ m c q M S + w M S q M S ] 2 u r q M S 2 < 0 , u r q M S = 0 w M S = 2 θ m 2 + λ r θ m p F ¯ ( q M S ) + λ r 2 + λ r θ m c
Now q is the only variable in u m , and 2 u m / q M S 2 < 0 , so
u m q M S = 0 θ m F ¯ ( q M S ) p 2 + λ r θ m + p ( 2 θ m ) [ F ¯ ( q M S ) q M S f ( q M S ) ] 2 + λ r θ m = ( 2 + λ r 2 + λ r θ m λ r 2 + λ r θ m ) c
Proof of Equation (8)
 is the same as of Equation (6). □
Proof of Equation (9).
Now the utility functions of the retailer and manufacturer convert to
{ u m = ( 1 + λ m ) [ w R S · min ( q R S , D ) λ m 2 + λ m θ r p · min ( q R S , D ) 2 θ r 2 + λ m θ r c q R S ] u r = ( 1 θ r ) [ 2 + λ m 2 + λ m θ r p · min ( q R S , D ) w R S · min ( q R S , D ) θ r 2 + λ m θ r c q R S ] 2 u m q R S 2 < 0 , u m q R S = 0 w R S = λ m 2 + λ m θ r p + 2 θ r ( 2 + λ m θ r ) ( F ¯ ( q R S ) ) c
Now q is the only variable in u m , and 2 u r / q R S 2 < 0 , so
u r q R S = 0 ( 2 + λ m 2 + λ m θ r λ m 2 + λ m θ r ) p F ¯ ( q R S ) c ( 2 θ r ) f ( q R S ) 0 q R S F ¯ ( x ) d x ( 2 + λ m θ r ) ( F ¯ ( q R S ) ) 2 = ( 2 θ r 2 + λ m θ r + θ r 2 + λ m θ r ) c
Proof of Proposition 1.
In F ¯ ( q M S ) ( 1 θ m 2 ) f ( q M S ) q M S = c p , q M S is only related to θ m , so M S = π m M S + π r M S = p · min ( q M S , D ) c q M S is only related to θ m too. Assuming that f ( q M S ) is constant, we make an assumption that, in F ¯ ( q M S ) ( 1 θ m / 2 ) f ( q M S ) q M S = c / p , when θ m increases, θ m decreases. It means that, when F ¯ ( q M S ) grows, ( 1 θ m / 2 ) f ( q M S ) q M S decreases and their difference increases. As their actual difference c / p is supposed to be constant, this means that the assumption is wrong. So, the opposite side that q M S increases in θ m is right. □
Proof of Proposition 2.
θ m = 0 for a neutral manufacturer, so w M S = 2 2 + λ r p F ¯ ( q M S ) + λ r 2 + λ r c , F ¯ ( q M S ) f ( q M S ) q M S = c p . In a traditional supply chain, F ¯ ( q M S 0 ) f ( q M S 0 ) q M S 0 = c / p , so q M S maintains. w M S w M S 0 = λ r 2 + λ r [ c p F ¯ ( q M S ) ] = λ r 2 + λ r ( c w M S 0 ) , which is obviously negative and decreases in λ r . So, when w M S decreases, π r M S = p · min ( q M S , D ) w M S q M S increases and π m M S = ( w M S c ) q M S decreases in λ r . We already know that λ r cannot influence supply chain’s profit, thus, M S maintains. □
Proof of Proposition 3.
λ r = 0 , so, F ¯ ( q M S ) ( 1 θ m 2 ) f ( q M S ) q M S = c p , w M S = p F ¯ ( q M S ) . As the proof of Proposition 1, q M S increases in θ m , thus, w M S = p F ¯ ( q M S ) decreases in q M S and θ m . From the observation, π m M S decreases and π r M S increases in θ m . □
Proof of Proposition 7.
In p c F ¯ ( q R S ) 1 = ( 1 θ r 2 ) f ( q R S ) 0 q R S F ¯ ( x ) d x ( F ¯ ( q R S ) ) 2 , q R S is only related to θ r , so R S = p · min ( q R S , D ) c q R S is only related to θ r too. We fix p = 20, c = 5, mean of demand at 100, and the variance at 25, then adjust θ r . From the observation, q R S increases in θ r . □
Proof of Proposition 8.
θr = 0 for a neutral retailer, so p c F ¯ ( q R S ) 1 = f ( q R S ) 0 q R S F ¯ ( x ) d x ( F ¯ ( q R S ) ) 2 , w R S = λ m 2 + λ m p + 2 ( 2 + λ m ) F ¯ ( q R S ) c . Because p F ¯ ( q R S 0 ) c = c f ( q R S 0 ) ( 0 q R S 0 F ¯ ( x ) d x ) / F ¯ 2 ( q R S 0 ) is the same as in a traditional supply chain, q R S as well as R S = p · min ( q R S , D ) c q R S maintains. w R S w R S 0 = λ m 2 + λ m ( p c F ¯ ( q R S ) ) = λ m 2 + λ m ( p w R S 0 ) , which is obviously positive and increases in λ m , so w R S increases. Thus π r R S = p · min ( q R S , D ) w R S q R S is smaller and π m R S = ( w R S c ) q R S is larger. □
Proof of Proposition 9.
λ m = 0 for a neutral manufacturer, so w R S = 1 F ¯ ( q R S ) c , p c F ¯ ( q R S ) 1 = ( 1 θ r 2 ) f ( q R S ) 0 q R S F ¯ ( x ) d x ( F ¯ ( q R S ) ) 2 . Because q R S increases in θ r , w R S increases and π m R S = ( w R S c ) q R S increases in θ r too. Additionally, we fix p = 20, c = 5, mean of demand at 100, and the variance at 25, then adjust θ r . From the observation, π r R S decreases in θ r . □

References

  1. Amaeshi, K.M.; Osuji, O.K.; Nnodim, P. Corporate Social Responsibility in Supply Chains of Global Brands: A Boundaryless Responsibility? Clarifications, Exceptions and Implications. J. Bus. Ethics 2008, 81, 223–234. [Google Scholar] [CrossRef]
  2. Real, K.; Percell, H. Starbucks Corporate Social Responsibility Report; Stephen F Austin State University: Nacogdoches, TX, USA, 2018. [Google Scholar]
  3. Okun, A. Prices and Quantities: A Macroeconomic Analysis; The Brookings Institution: Washington, DC, USA, 1981; Volume 3, p. 581. [Google Scholar] [CrossRef]
  4. Frazier, G.L. Interorganizational exchange behavior in marketing channels: A broadened perspective. J. Mark. 1983, 47, 68–78. [Google Scholar] [CrossRef]
  5. Kahneman, D.J.L.; Knetsch, R.T. Fairness and the Assumptions of Economics. J. Bus. 1986, 59, 285–300. [Google Scholar] [CrossRef]
  6. Kumar, N.; Scheer, L.K.; Steenkamp, J.B.E.M. The effects of supplier fairness on vulnerable resellers. J. Mark. Res. 1995, 32, 54–65. [Google Scholar] [CrossRef]
  7. Kahneman, D.J.L.; Knetsch, R.T. Fairness as a Constraint on Profit Seeking: Entitlements in the Market. Am. Econ. Rev. 1986, 76, 728–741. [Google Scholar]
  8. Frazier, G.L.; Spekman, R.E.; O’neal, C.R. Just-in-time exchange relationships in industrial markets. J. Mark. 1988, 52, 52–67. [Google Scholar] [CrossRef]
  9. Scheer, L.K.; Kumar, N.; Steenkamp, J.B.E.M. Reactions to perceived inequity in U.S. and Dutch interorganizational relationships. Acad. Manag. J. 2003, 46, 303–316. [Google Scholar] [CrossRef]
  10. Fehr, E.; Schmidt, K.M. A theory of fairness, competition, and cooperation. Q. J. Econ. 1999, 114, 817–868. [Google Scholar] [CrossRef]
  11. Charness, G.; Grosskopf, B. Relative payoffs and happiness: An experimental study. J. Econ. Behav. Organ. 2001, 45, 301–328. [Google Scholar] [CrossRef]
  12. Charness, G.; Rabin, M. Understanding social preferences with simple tests. Q. J. Econ. 2002, 117, 817–869. [Google Scholar] [CrossRef]
  13. Andreoni, J.; Miller, J. Giving according to garp: An experimental test of the consistency of preferences for altruism. Econometrica 2002, 70, 737–753. [Google Scholar] [CrossRef]
  14. Cui, H.T.; Raju, J.S.; Zhang, Z.J. Fairness and channel coordination. Manag. Sci. 2007, 53, 1303–1314. [Google Scholar]
  15. Demirag, O.; Chen, Y.F.; Li, J. Channel coordination under fairness concerns and nonlinear demand. Eur. J. Oper. Res. 2010, 207, 1321–1326. [Google Scholar] [CrossRef]
  16. Wu, X.; Niederhoff, J.A. Fairness in Selling to the Newsvendor. Prod. Oper. Manag. 2014, 23, 2002–2022. [Google Scholar] [CrossRef]
  17. Katok, E.; Olsen, T.; Pavlov, V. Wholesale Pricing under Mild and Privately Known Concerns for Fairness. Prod. Oper. Manag. 2014, 23, 285–302. [Google Scholar] [CrossRef]
  18. Pavlov, V.; Katok, E. Fairness and Coordination Failures in Supply Chain Contracts. SSRN Electron. J. 2011. [Google Scholar] [CrossRef]
  19. Ho, T.H.; Su, X. Peer-Induced Fairness in Games. Am. Econ. Rev. 2009, 99, 2022–2049. [Google Scholar] [CrossRef]
  20. Ho, T.H.; Su, X.; Wu, Y. Distributional and Peer-Induced Fairness in Supply Chain Contract Design. Prod. Oper. Manag. 2014, 23, 161–175. [Google Scholar] [CrossRef]
  21. Nie, T.; Du, S. Dual-fairness supply chain with quantity discount contracts. Eur. J. Oper. Res. 2017, 258, 491–500. [Google Scholar] [CrossRef]
  22. Liu, W.; Wang, D.; Shen, X.; Yan, X.; Wei, W. The impacts of distributional and peer-induced fairness concerns on the decision-making of order allocation in logistics service supply chain. Transp. Res. Part E Logist. Transp. Rev. 2018, 116, 102–122. [Google Scholar] [CrossRef]
  23. Pan, K. Impact of fairness concern on retailer-dominated supply chain. Comput. Ind. Eng. 2020, 139, 106209. [Google Scholar] [CrossRef]
  24. Li, Q.H.; Li, B. Dual-channel supply chain equilibrium problems regarding retail services and fairness concerns. Appl. Math. Model. 2016, 40, 7349–7367. [Google Scholar] [CrossRef]
  25. Zheng, X.X.; Li, D.F.; Liu, Z.; Jia, F.; Sheu, J.B. Coordinating a closed-loop supply chain with fairness concerns through variable-weighted Shapley values. Transp. Res. Part E Logist. Transp. Rev. 2019, 126, 227–253. [Google Scholar] [CrossRef]
  26. Cao, X.G.; Huang, M.; Wen, H. Differential pricing decision and coordination strategy in closed-loop supply chain considering fairness concerns. Syst. Eng.-Theory Pract. 2019, 39, 2300–2314. [Google Scholar]
  27. Jian, J.; Li, B.; Zhang, N.; Su, J. Decision-making and coordination of green closed-loop supply chain with fairness concern. J. Clean. Prod. 2021, 298, 126779. [Google Scholar] [CrossRef]
  28. Jiang, Y.; Wu, X.; Chen, B.; Hu, Q. Rawlsian fairness in push and pull supply chains. Eur. J. Oper. Res. 2021, 291, 194–205. [Google Scholar] [CrossRef]
  29. Kang, K.; Wang, M.; Luan, X. Decision-making and coordination with government subsidies and fairness concerns in the poverty alleviation supply chain. Comput. Ind. Eng. 2021, 152, 107058. [Google Scholar] [CrossRef]
  30. Wang, Y.; Wang, D.; Cheng, T.C.E.; Zhou, R.; Gao, J. Decision and coordination of E-commerce closed-loop supply chains with fairness concern. Transp. Res. Part E Logist. Transp. Rev. 2023, 173, 103092. [Google Scholar] [CrossRef]
  31. Cohen, M.C.; Elmachtoub, A.N.; Lei, X. Price discrimination with fairness constraints. Manag. Sci. 2022, 68, 8536–8552. [Google Scholar] [CrossRef]
  32. Allender, W.J.; Liaukonyte, J.; Nasser, S.; Richards, T.J. Price fairness and strategic obfuscation. Mark. Sci. 2021, 40, 122–146. [Google Scholar] [CrossRef]
  33. Luo, C.; Zhou, X.; Lev, B. Core, shapley value, nucleolus and nash bargaining solution: A Survey of recent developments and applications in operations management. Omega 2022, 110, 102638. [Google Scholar] [CrossRef]
  34. Forsythe, R.; Horowitz, J.L.; Savin, N.E.; Sefton, M. Fairness in simple bargaining experiments. Games Econom. Behav. 1994, 6, 347–369. [Google Scholar] [CrossRef]
  35. Zwick, R.; Chen, X.P. What Price Fairness? A Bargaining Study. Manag. Sci. 1999, 45, 804–823. [Google Scholar] [CrossRef]
  36. Wu, D.; Baron, O.; Berman, O. Bargaining in Competing Supply Chains with Uncertainty. Eur. J. Oper. Res. 2009, 197, 548–556. [Google Scholar] [CrossRef]
  37. Dash, W.D. Bargaining in Supply Chain with Price and Promotional Effort Dependent Demand. Math. Comput. Model. 2011, 58, 1659–1669. [Google Scholar] [CrossRef]
  38. Du, S.; Nie, T.; Chu, C.; Yu, Y. Newsvendor model for a dyadic supply chain with Nash bargaining fairness concerns. Int. J. Prod. Res. 2014, 52, 5070–5085. [Google Scholar] [CrossRef]
  39. Li, Z.P.; Wang, J.J.; Perera, S.; Shi, J. Coordination of a supply chain with Nash bargaining fairness concerns. Transp. Res. Part E Logist. Transp. Rev. 2022, 159, 102627. [Google Scholar] [CrossRef]
  40. Sharma, A.; Dwivedi, G.; Singh, A. Game-theoretic analysis of a two-echelon supply chain with option contract under fairness concerns. Comput. Ind. Eng. 2019, 137, 106096. [Google Scholar] [CrossRef]
  41. Adhikari, A.; Bisi, A. Collaboration, bargaining, and fairness concern for a green apparel supply chain: An emerging economy perspective. Transp. Res. Part E Logist. Transp. Rev. 2020, 135, 101863. [Google Scholar] [CrossRef]
  42. Liu, Z.; Zheng, X.-X.; Li, D.-F.; Liao, C.-N.; Sheu, J.-B. A novel cooperative game-based method to coordinate a sustainable supply chain under psychological uncertainty in fairness concerns. Transp. Res. Part E Logist. Transp. Rev. 2021, 147, 102237. [Google Scholar] [CrossRef]
  43. Pavlov, V.; Katok, E.; Zhang, W. Optimal Contract Under Asymmetric Information About Fairness. Manuf. Serv. Oper. Manag. 2022, 24, 305–314. [Google Scholar] [CrossRef]
  44. Lariviere, M.A.; Porteus, E.L. Selling to the newsvendor: An analysis of price-only contracts. Manuf. Serv. Oper. Manag. 2001, 3, 293–305. [Google Scholar] [CrossRef]
  45. Cachon, G.P. The allocation of inventory risk in a supply chain: Push, pull, and advance-purchase discount contracts. Manag. Sci. 2004, 50, 222–238. [Google Scholar] [CrossRef]
Figure 1. The impact of θ m and λ r on the manufacturer’s, retailer’s, and the whole supply chain’s profits. (The manufacturer and retailer are represented with the blue line and green line, respectively).
Figure 1. The impact of θ m and λ r on the manufacturer’s, retailer’s, and the whole supply chain’s profits. (The manufacturer and retailer are represented with the blue line and green line, respectively).
Mathematics 11 04719 g001
Figure 2. The impact of demand uncertainty on order quantity as well as manufacturer’s, retailer’s, and the whole supply chain’s profits.
Figure 2. The impact of demand uncertainty on order quantity as well as manufacturer’s, retailer’s, and the whole supply chain’s profits.
Mathematics 11 04719 g002
Figure 3. The impacts of the manufacturer’s and retailer’s fairness concerns on supply chain efficiency (represented by red color) and the retailer’s profit share.
Figure 3. The impacts of the manufacturer’s and retailer’s fairness concerns on supply chain efficiency (represented by red color) and the retailer’s profit share.
Mathematics 11 04719 g003
Figure 4. The impact of θ r and λ m on order quantity as well as manufacturer’s, retailer’s, and the whole supply chain’s profits. (Retailer and manufacturer are represented with the green line and blue line, respectively).
Figure 4. The impact of θ r and λ m on order quantity as well as manufacturer’s, retailer’s, and the whole supply chain’s profits. (Retailer and manufacturer are represented with the green line and blue line, respectively).
Mathematics 11 04719 g004
Figure 5. The impact of demand uncertainty on order quantity as well as the manufacturer’s, retailer’s, and whole supply chain’s profits.
Figure 5. The impact of demand uncertainty on order quantity as well as the manufacturer’s, retailer’s, and whole supply chain’s profits.
Mathematics 11 04719 g005
Figure 6. The impacts of the manufacturer’s and retailer’s fairness concerns on supply chain efficiency (represented by red color) and the manufacturer’s profit share.
Figure 6. The impacts of the manufacturer’s and retailer’s fairness concerns on supply chain efficiency (represented by red color) and the manufacturer’s profit share.
Mathematics 11 04719 g006
Figure 7. The impacts of the fairness concerns’ estimated values on order quantity, wholesale price (represented by red color), retailer’s profit share, and supply chain efficiency (represented by red color) in MS.
Figure 7. The impacts of the fairness concerns’ estimated values on order quantity, wholesale price (represented by red color), retailer’s profit share, and supply chain efficiency (represented by red color) in MS.
Mathematics 11 04719 g007aMathematics 11 04719 g007b
Figure 8. The impacts of the fairness concerns’ estimated values on order quantity, wholesale price (represented by red color), manufacturer’s share, and supply chain efficiency (represented by red color) in RS.
Figure 8. The impacts of the fairness concerns’ estimated values on order quantity, wholesale price (represented by red color), manufacturer’s share, and supply chain efficiency (represented by red color) in RS.
Mathematics 11 04719 g008
Table 1. Changes in fairness on push and pull supply chains.
Table 1. Changes in fairness on push and pull supply chains.
Change with the Increase in Fairness Sensitivity of Leader Follower
Product quantity
Leader’s profits
Follower’s profits
Supply chain’s efficiency
Disclaimer/Publisher’s Note: The statements, opinions and data contained in all publications are solely those of the individual author(s) and contributor(s) and not of MDPI and/or the editor(s). MDPI and/or the editor(s) disclaim responsibility for any injury to people or property resulting from any ideas, methods, instructions or products referred to in the content.

Share and Cite

MDPI and ACS Style

Ni, S.; Feng, C.; Gou, H. Nash-Bargaining Fairness Concerns under Push and Pull Supply Chains. Mathematics 2023, 11, 4719. https://doi.org/10.3390/math11234719

AMA Style

Ni S, Feng C, Gou H. Nash-Bargaining Fairness Concerns under Push and Pull Supply Chains. Mathematics. 2023; 11(23):4719. https://doi.org/10.3390/math11234719

Chicago/Turabian Style

Ni, Shuchen, Chun Feng, and Handan Gou. 2023. "Nash-Bargaining Fairness Concerns under Push and Pull Supply Chains" Mathematics 11, no. 23: 4719. https://doi.org/10.3390/math11234719

APA Style

Ni, S., Feng, C., & Gou, H. (2023). Nash-Bargaining Fairness Concerns under Push and Pull Supply Chains. Mathematics, 11(23), 4719. https://doi.org/10.3390/math11234719

Note that from the first issue of 2016, this journal uses article numbers instead of page numbers. See further details here.

Article Metrics

Back to TopTop