Application of a Stochastic Extension of the Analytical Design of Aggregated Regulators to a Multidimensional Biomedical Object
Abstract
:1. Introduction
- The necessity of understanding the infection dynamics and verifying hypotheses that are hard (or impossible) to reproduce under laboratory conditions;
- - The quality criteria of a target system and the restrictions on the object and control parameters, etc.
- The control synthesis technique ensures the robust properties of the regulators;
- Provision of a minimal variance of the response variable;
- Clear priority of our method over the deterministic method of analytical design of aggregated regulators in the case of unmodelled stochastic dynamics, which is inevitably presented in unstable control plants;
- The quality functional of the synthesized control system meets the required properties of the target states, which meets the physical control theory [38].
1.1. State of the Art and Motivation Using SCT
1.2. Main Principles of SCT as the Basis for the Analytical Design of Nonlinear Control Algorithms for a Complex Object under Conditions of Random and Systematic Disturbances
- The model of an object is defined by a system of nonlinear ordinary differential (or difference) equations.
- The target macro variable, , is defined as a function of the state, and the goal of control is prescribed as a limit, .
- The dimension of the macro variable coincides with that of the control, and the set of partial criteria represents the local requirements of the control system quality.
- The quality functional, , represents the physical features of the target system via the least action principle: the initial system under the action of the found control would be in a self-organized manner and, due to this, most effectively change its state upon reaching the goal of control, .
- The variational problem, , whose statement expresses the goal of control, is solved on a subset of solutions to the Euler–Lagrange equation for a linear form; the controls (external and internal) are sought on the extremals.
- The weight coefficients, emerging during the designing controls, have a convenient physical interpretation of a transient process duration.
- The controlling actions, determined from solutions to partial variational problems, transfer the object into the prescribed manifold of states and maintain it in this manifold, thus ensuring asymptotic stability to the control system as a whole.
- Section 2 gives the object’s description and the formalized problem statements for the class of mathematical delays in the infectious disease models as the control problems under conditions of random and systematic disturbances.
- Section 4 presents a continuous algorithm of analytical regulator design relying on the principles of nonlinear adaptation on a target manifold, whose equations system contains systematic disturbances.
- Section 5 gives the results of a numerical simulation of the control systems discussed here under conditions of systematic and random disturbances.
- Section 6 provides an analysis of the results of the numerical simulation of a control system for a high-dimensional immunology object under conditions of systematic and random disturbances.
2. Formulation of the Problem of a Discrete Stochastic Control on a Target Manifold and the Necessity of a Separate Consideration of the Discrete and Continuous Models
2.1. Initial Model of Object
2.2. On the Nature of Disturbances and Their Modeling in Controlled Bioengineering Plants
3. Generalization of the Method of Analytical Design of Aggregated Regulators for a Discrete Stochastic Immunology Object
3.1. Features of the Discrete Description of the Control Object with Delay
3.2. Algorithm for Designing a Regulator for System (6)
- (1)
- All the conditions for the correct construction of the ADAR control are satisfied.
- (2)
- (3)
- The control, , is formed according to the feedback principle:
- Extend the phase space in order to compensate for the delay, relying on the feedback law :
- 2.
- Determine the external control structure , using the deterministic ADAR method (at fixed functions realizing random disturbances).
- Introduce a macro variable:and define the first variational problem, , where the sought-for function is given the role of internal control, under whose action the imaging point of the system will further tend towards the manifold, .
- Apply a corollary of the Euler–Lagrange Equation (9) for the functional in order to obtain a function for accurately to an unknown function, , as follows:
- Decompose (11) on the manifold, The dimension of system (11) will decrease by one:The subscript, , in (13) means that system (11) describes the behavior of coordinates (11) on manifold .
- Prescribe the second macro variable, , in accordance with the hierarchy of the SCT design, and define the second variational problem:
- Obtain a formula for the function from the extremal equation for the functional :
- 3.
- Apply the operation of conditional mathematical expectation: :
- 4.
- Reduce the system (11), taking into account the limit relations, , and, in particular, obtain an expression given by
- 5.
- Substitute from (16) instead of into expression (15). The designing of a stochastic discrete regulator is over, and the control is given by
4. Method of Nonlinear Continuous Design of a Control System for an Immunology Object
4.1. Algorithm for Designing a Continuous Nonlinear Regulator for Object (3)
- Ensure closedness of the system (3) using an extension of the system state:
- 2.
- Obtain the structure of the continuous regulator according to the requirements (4) by virtue of the formulation and solution of the first variational problem and taking into account the control scalar character:
- 3.
- Decompose system (18) on the reached manifold, which means applying the limit equality, , to this system, resulting in a reduced system:
- 4.
- Obtain the internal control structure, , according to the requirements (4) by virtue of the formulation and solution of the second variational problem, :
- 5.
- Form the final control system (controlled object and regulator) in the form of Equations (3), (4), (20), (23), and (24).
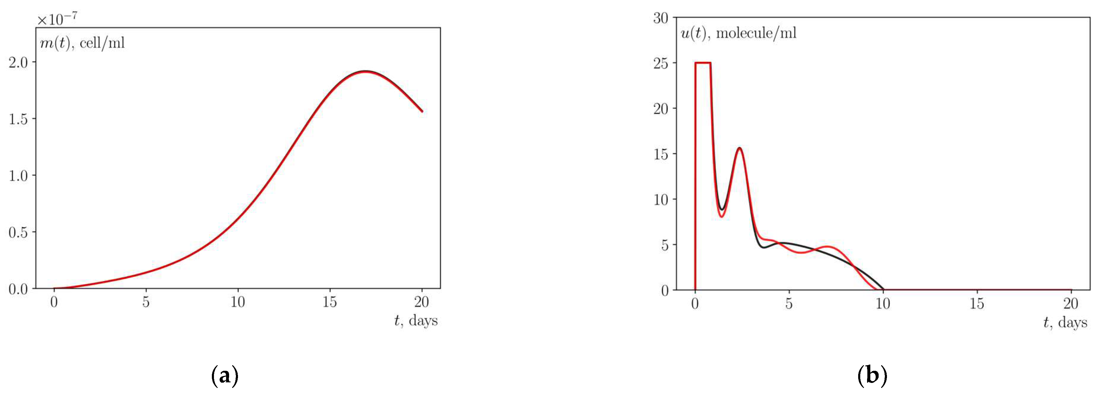
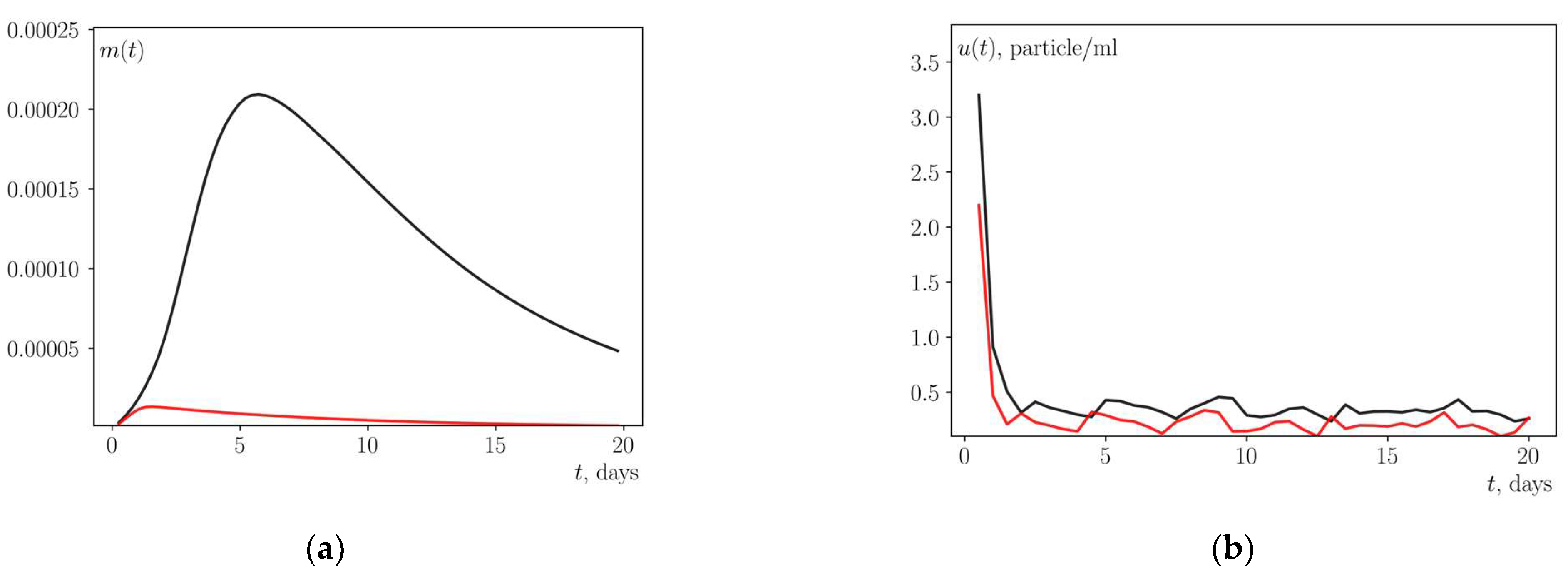
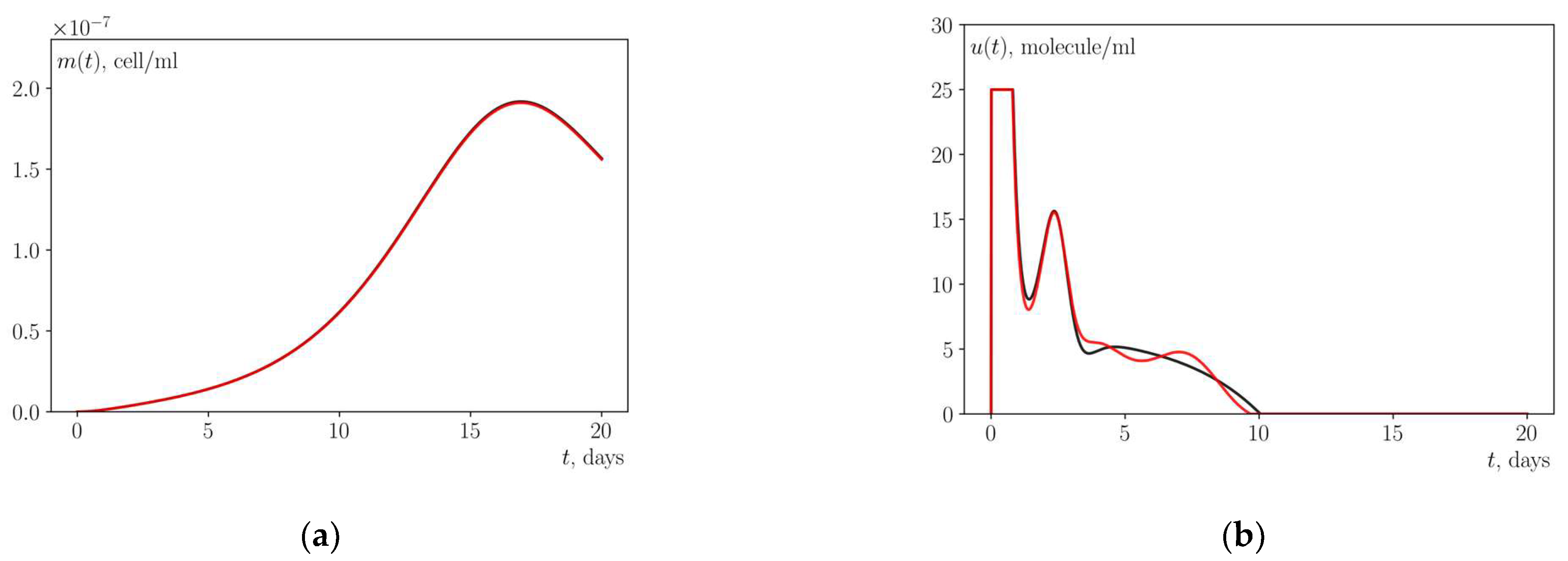
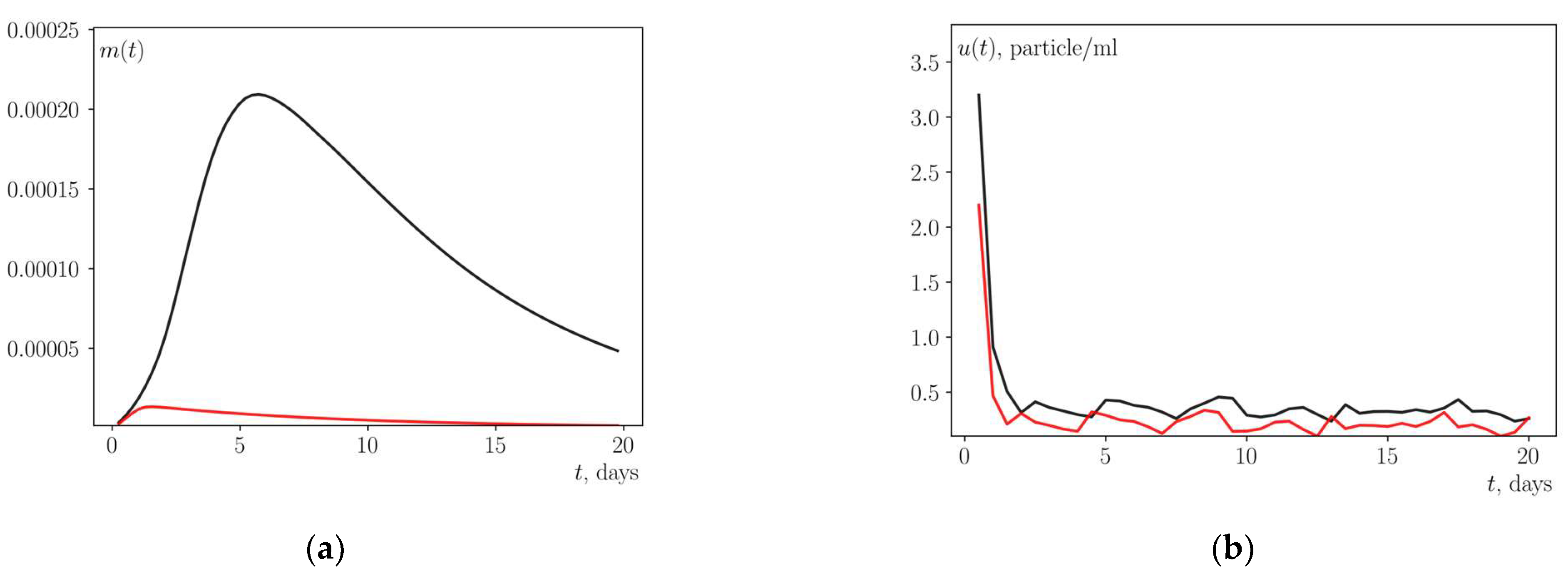
5. Simulation Results for Acute Disease Stage
- The average rate of body damage (ARV/ARVd) (subscript “d” indicates discrete case);
- The ratio of the volume of donor antibodies administered to the normal level of antibodies in a healthy body (Ru/Rud);
- Recovery time for the body (Tδ), where
6. Discussion
- Ensuring the robust properties of both controllers if the target manifold has attractive properties;
- The algorithm based on nonlinear stochastic adaptation has a certain superiority over the deterministic control algorithm under conditions of physically acceptable values of the signal-to-noise ratio;
- A signal-to-noise ratio, when the control still provides the expected behavior of the object, should be estimated on the training set;
- There is a high sensitivity to the parameters of the discreteness of time and the regulator under conditions of an unstable target state;
- Setting different target values of the macro variable may lead to the discovery of new properties of the controlled object.
7. Conclusions
- A control can be of the vector type in terms of the number of channels of possible impacts.
- A “prescription” of different target invariants allows the identification and study of new regularities of the object in focus.
- The inclusion of systematic and random disturbances in the control model improves the reliability of the prognostic analysis of the modeled object’s behavior in cases of parametric inaccuracies and estimation errors.
Author Contributions
Funding
Data Availability Statement
Conflicts of Interest
Appendix A
Appendix B
Appendix C
Appendix D
Appendix E
References
- Åström, K.; Albertos, P.; Blamke, M.; Isidori, A.; Schaufelberger, W.; Sanz, R. Control of Complex Systems; Springer: London, UK, 2001; pp. 239–261. [Google Scholar]
- Miroshnik, I.V.; Nikiforov, V.O.; Fradkov, A.L. Nonlinear and Adaptive Control of Complex Dynamic Systems; Nauka: Saint Petersburg, Russia, 2000; pp. 325–487. [Google Scholar]
- Krasovskii, A.A. Mathematical and Applied Theory. Selected Works; Nauka: Moscow, Russia, 2002; pp. 169–238. [Google Scholar]
- Åström, K.J. Introduction to Stochastic Control Theory; Academic Press: New York, NY, USA; London, UK, 1970; pp. 174–229. [Google Scholar]
- Xi, R.; Zhang, H.; Wang, Y.; Sun, S. Overview of the recent research progress for stability and control on random nonlinear systems. Annu. Rev. Control 2022, 53, 70–82. [Google Scholar] [CrossRef]
- Li, W.; Krstic, M. Prescribed-time control of stochastic nonlinear systems with reduced control effort. J. Syst. Sci. Complex. 2021, 34, 1782–1800. [Google Scholar] [CrossRef]
- Kokotovic, P.; Arcak, M. Constructive nonlinear control: A historic perspective. Automatica 2001, 37, 637–662. [Google Scholar] [CrossRef]
- Tyukin, I.Y.; Terekhov, V.A. Adaptation in Nonlinear Dynamical Systems; LKI: Saint Petersburg, Russia, 2008; pp. 34–190. [Google Scholar]
- Kolesnikov, A.A. Synergetics and Problems of Control Theory: Collected Articles; Kolesnikov, A.A., Ed.; Fizmatlit: Moscow, Russia, 2004; pp. 130–204. [Google Scholar]
- Andrievskii, B.R.; Fradkov, A.L. Control of chaos: Methods and applications. II. Applications. Autom. Remote Control 2004, 65, 505–533. [Google Scholar] [CrossRef]
- Ott, E.; Grebodgi, C.; Yorke, J. Controlling chaos. Phys. Rev. Lett. 1990, 64, 1196–1199. [Google Scholar] [CrossRef] [PubMed]
- Kolesnikov, A.A. Synergistic Methods of Control Complex Systems: The Theory of System Synthesis; Librokom: Moscow, Russia, 2012; pp. 71–148. [Google Scholar]
- Kolesnikova, S.I. A multiple-control system for nonlinear discrete object under uncertainty. Optim. Methods Softw. 2019, 34, 578–585. [Google Scholar] [CrossRef]
- Din, A.; Ain, Q.T. Stochastic optimal control analysis of a mathematical model: Theory and application to non-singular kernels. Fractal Fract. 2022, 6, 279. [Google Scholar] [CrossRef]
- Nowak, M.; May, R.M. Virus Dynamics: Mathematical Principles of Immunology and Virology: Mathematical Principles of Immunology and Virology; Oxford University Press: Oxford, UK, 2000. [Google Scholar]
- Marchuk, G.I.; Petrov, R.V.; Romanyukha, A.A.; Bocharov, G. Mathematical model of antiviral immune response. I. Data analysis, generalized picture construction and parameters evaluation for hepatitis B. J. Theor. Biol. 1991, 151, 1–40. [Google Scholar] [CrossRef]
- Marchuk, G.I. Mathematical Modeling in Immunology and Medicine. Selected Works; Russian Academy of Sciences: Moscow, Russia, 2018; pp. 62–154. [Google Scholar]
- Li, M.; Zu, J. The review of differential equation models of HBV infection dynamics. J. Virol. Methods 2019, 266, 103–113. [Google Scholar] [CrossRef]
- Andrew, S.M.; Baker, C.T.H.; Bocharov, G.A. Rival approaches to mathematical modelling in immunology. J. Comput. Appl. Math. 2007, 205, 669–686. [Google Scholar] [CrossRef]
- Foryś, U. Stability and bifurcations for the chronic state in Marchuk’s model of an immune system. J. Math. Anal. Appl. 2009, 352, 922–942. [Google Scholar] [CrossRef]
- Souza, E.; Lyra, M.; Gleria, I. Critical bifurcations and chaos in a delayed nonlinear model for the immune response. Chaos Solit. Fractals 2009, 42, 2494–2501. [Google Scholar] [CrossRef]
- Singh, A.; Sharma, V.S. Bifurcations and chaos control in a discrete-time prey–predator model with Holling type-II functional response and prey refuge. J. Comput. Appl. Math. 2023, 418, 114666. [Google Scholar] [CrossRef]
- Ivanitsky, G.R. Self-organizing dynamic stability of biosystems far from equilibrium. Phys.-Usp. 2017, 187, 757–784. [Google Scholar]
- Karatueva, N.A.; Kharchenko, R.V. Problems of control for immunological models. Nonlinear Anal. Real World Appl. 2006, 7, 829–840. [Google Scholar] [CrossRef]
- Owolabi, K.M. Numerical solution of diffusive HBV model in a fractional medium. SpringerPlus 2016, 5, 1643. [Google Scholar] [CrossRef] [PubMed]
- Chirkov, M.V. Methodology for Modeling the Control of the Immune Response Process under Conditions of Uncertainty. Ph.D. Thesis, Perm State National Research University, Perm, Russia, 2017. [Google Scholar]
- Bolodurina, I.P.; Lugovskova, Y.P. Optimal management of the dynamics of the interaction of the human immune system with infectious diseases. Bull. Samara State Univ. Nat. Sci. Ser. 2009, 8, 138–153. [Google Scholar]
- Kumar, A.; Srivastava, P.K.; Dong, Y.; Takeuchi, Y. Optimal control of infectious disease: Information-induced vaccination and limited treatment. Phys. A Stat. Mech. Appl. 2020, 542, 123196. [Google Scholar] [CrossRef]
- Andryukhina, V.N.; Afanasiev, V.N. Guaranteed control in the problem of the use of antiviral drugs and the results of mathematical modeling. Control Sci. 2012, 3, 41–48. [Google Scholar]
- Kolesnikova, S.I.; Avramyonok, V.A. Synergetic control algorithms for a multidimensional biomedical model under conditions of nonrandom and random disturbances using kernel regression. J. Phys. Conf. Ser. 2021, 1745, 012094. [Google Scholar] [CrossRef]
- Alrabaiah, H.; Safi, M.A.; DarAssi, M.H.; Al-Hdaibat, B.; Ullah, S.; Khan, M.A.; Ali Shah, S.A. Optimal control analysis of hepatitis B virus with treatment and vaccination. Results Phys. 2020, 19, 103599. [Google Scholar] [CrossRef]
- Azanov, V.M. Optimal control of a discrete-time stochastic system with a probabilistic criterion and a non-fixed terminal time. Autom. Remote Control 2020, 81, 2143–2159. [Google Scholar] [CrossRef]
- Elaiw, A.M.; AlShamrani, N.H. Stability of a general adaptive immunity virus dynamics model with multi-stages of infected cells and two routes of infection. Math. Methods Appl. Sci. 2019, 43, 1145–1175. [Google Scholar] [CrossRef]
- Khodaei-mehr, J.; Tangestanizadeh, S.; Vatankhah, R.; Sharifi, M. ANFIS-based optimal control of hepatitis C virus epidemic. IFAC-Papers Online 2018, 51, 539–544. [Google Scholar] [CrossRef]
- Qaiser, H.; Ahmad, I.; Kashif, M. Fuzzy, synergetic and non-linear state feedback control of chemotherapy drug for a cancerous tumor. Biomed. Signal Process. Control 2020, 62, 102061. [Google Scholar] [CrossRef]
- Khatun, Z.; Islam, M.S.; Ghosh, U. Mathematical modeling of hepatitis B virus infection incorporating immune responses. Sens. Int. 2020, 1, 100017. [Google Scholar] [CrossRef]
- Kolesnikova, S.I. Synthesis of controller for vector plant, based on integral adaptation method for disturbance suppression. Differ. Uravn. Protsesy Upr. 2022, 3, 27–45. Available online: https://diffjournal.spbu.ru/pdf/22303-jdecp-kolesnikova.pdf (accessed on 1 October 2023).
- Krasovskii, A.A. Problems of physical control theory. Autom. Remote Control 1990, 51, 1459–1479. [Google Scholar]
- Rastrigin, L.A. Adaptation of Complex Systems; Zinatne: Riga, USSR, 1981; pp. 13–47. [Google Scholar]
- Derevitsky, D.P.; Fradkov, A.L. Two models for analyzing dynamics of adaptation algorithms. Autom. Remote Control 1974, 35, 59–67. [Google Scholar]
- Ljung, L. Analysis of recursive stochastic algorithms. IEEE Trans. Automat. Contr. 1977, 22, 551–575. [Google Scholar] [CrossRef]
- Kailash, C.P.; Shikongo, A. The application of asymptotic analysis for developing reliable numerical method for a model singular perturbation problem. J. Numer. Anal. Ind. Appl. Math. 2007, 2, 193–207. [Google Scholar]
- Jerray, J.; Saoud, A.; Fribourg, L. Asymptotic error in Euler’s method with a constant step size. Eur. J. Control 2022, 68, 100694. [Google Scholar] [CrossRef]
- Astolfi, A.; Karagiannis, D.; Ortega, R. Nonlinear and Adaptive Control with Applications, 187; Springer: London, UK, 2008; pp. 115–150. [Google Scholar] [CrossRef]
- Kesić, S. Rethinking the pragmatic systems biology and systems-theoretical biology divide: Toward a complexity-inspired epistemology of systems biomedicine. Med. Hypotheses 2019, 131, 109316. [Google Scholar] [CrossRef] [PubMed]
- Saridis, J. Self-Organizing Stochastic Control Systems; Nauka: Moscow, USSR, 1980; pp. 308–370. [Google Scholar]
- Burnet, F.M. A modification of Jerne’s theory of antibody production using the concept of clonal selection. Aust. J. Sci. 1957, 20, 67–69. [Google Scholar] [CrossRef] [PubMed]
- Åström, K.J.; Kumar, P.R. Control: A perspective. Automatica 2014, 50, 3–43. [Google Scholar] [CrossRef]
- Yerugin, N.P. Construction of the whole set of differential equations having a given integral curve. Appl. Math. Mech. 1952, 10, 659–670. [Google Scholar]
- Johnson, S. Theory of regulators adapting to disturbances. In Filtering and Stochastic Control in Dynamical Systems; Leondes, K.T., Ed.; Mir: Moscow, USSR, 1980; pp. 254–296. [Google Scholar]
- Åström, K.J.; Wittenmark, B. Adaptive Control, 2nd ed.; Dover Publications: New York, NY, USA, 2008; pp. 137–369. [Google Scholar]
- Forsyth, A.R. Calculus of Variations; Dover: New York, NY, USA, 1960; pp. 17–20. [Google Scholar]
- Galiullin, A.S. Inverse problems of dynamics and control problems of motions of material systems. Differ. Equ. 1972, 8, 1535–1541. [Google Scholar]
- Averina, T.A.; Karachanskaya, E.V.; Rybakov, K.A. Statistical analysis of diffusion systems with invariants. Russ. J. Numer. Anal. Math. Model. 2018, 33, 1–13. [Google Scholar] [CrossRef]
- Bodnar, M.; Forys, U. Behavior of solutions to Marchuk’s model depending on a time delay. Intern. J. Appl. Math. Comput. Sci. 2000, 10, 101–116. [Google Scholar]
- Pogozhev, I.B. Application of Mathematical Models of Diseases in Clinical Practice; Nauka: Moscow, USSR, 1988; pp. 35–174. [Google Scholar]
- Buldayev, A.S. A numerical method of control optimization in delay systems for immune response modelling. USSR Comput. Math. Math. Phys. 1990, 30, 18–28. [Google Scholar] [CrossRef]






| Parameters | ||||
|---|---|---|---|---|
| a1 = 0.1 | a10 = 0.8 | a19 = 0.8 | a28 = 0.1 | a37 = 0.005 |
| a2 = 0.0001 | a11 = 0.001 | a20 = 2 | a29 = 0.5 | a38 = 0.12 |
| a3 = 0.1 | a12 = 0.0001 | a21 = 0.08 | a30 = 3 | m* = 0.5 |
| a4 = 0.0001 | a13 = 0.05 | a22 = 0.00015 | a31 = 0.16 | C* = 1 |
| a5 = 0.0001 | a14 = 0.01 | a23 = 0.0001 | a32 = 0.17 | |
| a6 = 0.05 | a15 = 0.7 | a24 = 0.1 | a33 = 0.2 | |
| a7 = 0.02 | a16 = 0.001 | a25 = 0.8 | a34 = 0.17 | |
| a8 = 0.0001 | a17 = 0.0001 | a26 = 2 | a35 = 0.4 | |
| a9 = 0.01 | a18 = 0.05 | a27 = 0.08 | a36 = 0.002 | |
| Algorithm | ARV | Ru | Tδ |
|---|---|---|---|
| Discrete adaptation algorithm [26] | 3.6 × 10−4 | 3.7 | 20–23 |
| Integral adaptation SCT algorithm (Section 4.1) | 3.5 × 10−3 | 3.1 | 10 |
| Stochastic SCT algorithm (Section 3.2) | 3.8 × 10−4 | 3.9 | 12 |
| ADAR algorithm [30] | 3.1 × 10−4 | 3.5 | 10 |
| σ(ξ) | σA(V) × 10−6 (N/U) 1 | σS(V) × 10−6 (N/U) 1 |
|---|---|---|
| 0.01 | 3.80/3.89 | 3.75/3.95 |
| 0.1 | 3.85/3.99 | 3.70/3.95 |
| 0.5 | 4.05/4.08 | 3.75/3.90 |
| 0.9 | 7.85/7.90 | 3.74/4.00 |
Disclaimer/Publisher’s Note: The statements, opinions and data contained in all publications are solely those of the individual author(s) and contributor(s) and not of MDPI and/or the editor(s). MDPI and/or the editor(s) disclaim responsibility for any injury to people or property resulting from any ideas, methods, instructions or products referred to in the content. |
© 2023 by the authors. Licensee MDPI, Basel, Switzerland. This article is an open access article distributed under the terms and conditions of the Creative Commons Attribution (CC BY) license (https://creativecommons.org/licenses/by/4.0/).
Share and Cite
Kolesnikova, S.; Kustova, E. Application of a Stochastic Extension of the Analytical Design of Aggregated Regulators to a Multidimensional Biomedical Object. Mathematics 2023, 11, 4484. https://doi.org/10.3390/math11214484
Kolesnikova S, Kustova E. Application of a Stochastic Extension of the Analytical Design of Aggregated Regulators to a Multidimensional Biomedical Object. Mathematics. 2023; 11(21):4484. https://doi.org/10.3390/math11214484
Chicago/Turabian StyleKolesnikova, Svetlana, and Ekaterina Kustova. 2023. "Application of a Stochastic Extension of the Analytical Design of Aggregated Regulators to a Multidimensional Biomedical Object" Mathematics 11, no. 21: 4484. https://doi.org/10.3390/math11214484
APA StyleKolesnikova, S., & Kustova, E. (2023). Application of a Stochastic Extension of the Analytical Design of Aggregated Regulators to a Multidimensional Biomedical Object. Mathematics, 11(21), 4484. https://doi.org/10.3390/math11214484
