Finite-Difference Frequency-Domain Scheme for Sound Scattering by a Vortex with Perfectly Matched Layers
Abstract
1. Introduction
2. Vortex Scattering Model
3. Governing Equations
4. Numerical Method and Mesh Independence
4.1. Numerical Method for Acoustic Scattering
4.2. Mesh Independence
5. Discussion of PML Parameters
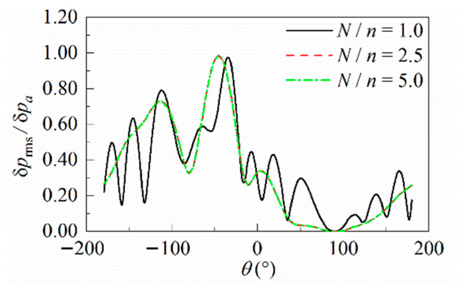
5.1. Relationship between Layer Numbers and Absorption Coefficient
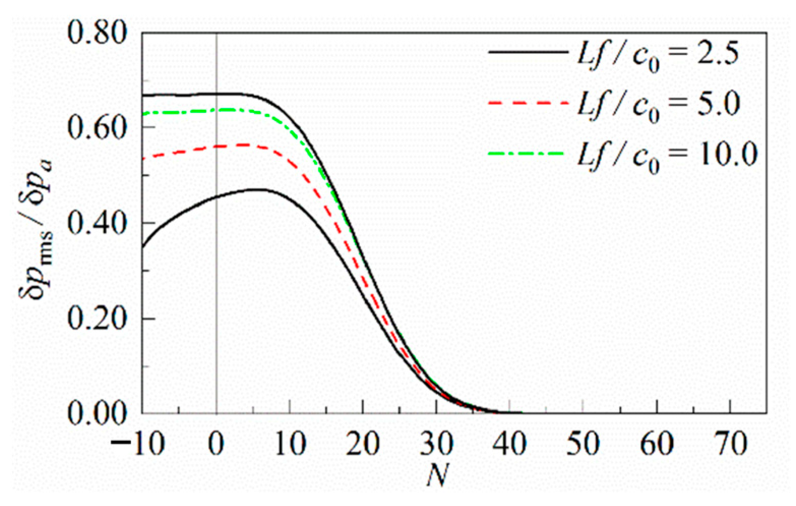
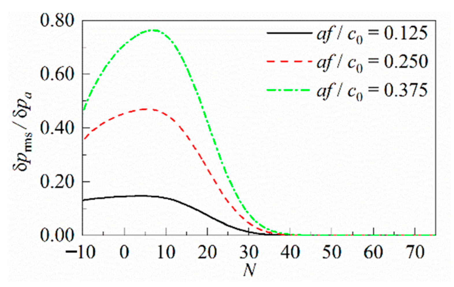
5.2. Dimensionless Analysis of PML Parameters
5.3. Parameters of Flow
5.3.1. Size of the Computational Domain
5.3.2. Vortex Core Radius
5.3.3. Mach Number
5.4. Relative Thickness of PML
5.5. Comparison with Direct Numerical Simulation (DNS)
6. Conclusions
- In the PML region, when the scattered sound pressure can be completely attenuated before reaching the outermost boundary and there is no obvious fluctuation near the boundary between the computational domain and the PML, the scattering sound can be regarded as fully absorbed.
- When the thickness of the PML boundary is larger than 2.5 times the wavelength, a qualified sound absorption effect can be obtained by selecting a suitable PML absorption coefficient.
- The algorithm established in this paper can effectively calculate the two-dimensional vortex scattering. The value of the absorption coefficient of PML is suggested to be linear with the density of the medium and the frequency of the incident wave. The Mach number shows little effect on the acoustic absorption effect of PML.
Author Contributions
Funding
Data Availability Statement
Conflicts of Interest
References
- Baudet, C.; Ciliberto, S.; Pinton, J.F. Spectral analysis of the von karman flow using ultrasound scattering. Phys. Rev. Lett. 1991, 67, 193. [Google Scholar] [CrossRef] [PubMed]
- Ke, G.; Li, W.; Zheng, Z.C. Vortex scattering effects on acoustic wave propagation. In Proceedings of the AIAA/CEAS Aeroacoustics Conference, Dallas, TX, USA, 22–26 June 2015. [Google Scholar]
- Hattori, Y.; Sgl, S. Axisymmetric acoustic scattering by vortices. J. Fluid Mech. 2002, 473, 275–294. [Google Scholar] [CrossRef]
- Hernández, R.H.; León, M. Scattering of sound waves by the wake flow of a flat plate. Epl-Eur. Lett. 2010, 90, 24001. [Google Scholar] [CrossRef]
- Kopiev, V.F.; Belyaev, I.V. On long-wave sound scattering by a rankine vortex: Non-resonant and resonant cases. J. Sound Vib. 2010, 329, 1409–1421. [Google Scholar] [CrossRef]
- Naugolnykh, K. Sound scattering by a vortex dipole. J. Acoust. Soc. Am. 2013, 133, 1882. [Google Scholar] [CrossRef] [PubMed]
- Zheng, Z.; Zhang, J. Acoustic scattering by a vortex dipole. In Proceedings of the APS Meeting, San Antonio, TX, USA, 2–6 March 2015. [Google Scholar]
- Ford, R.; Smith, S.G.L. Scattering of acoustic waves by a vortex. J. Fluid Mech. 1999, 386, 305–328. [Google Scholar] [CrossRef]
- Howe, M.S. On The scattering of sound by a rectilinear vortex. J. Sound Vib. 1999, 227, 1003–1017. [Google Scholar] [CrossRef]
- Brillant, G.; Chillá, F.; Pinton, J.F. Transmission of sound through a single vortex. Eur. Phys. J. B 2004, 37, 229–239. [Google Scholar] [CrossRef]
- Chai, Y.; Li, W.; Liu, Z. Analysis of transient wave propagation dynamics using the enriched finite element method with interpolation cover functions. Appl. Math. Comput. 2022, 412, 126564. [Google Scholar] [CrossRef]
- Li, W.; Zhang, Q.; Gui, Q.; Chai, Y. A coupled FE-meshfree triangular element for acoustic radiation problems. Int. J. Comput. Methods 2021, 18, 2041002. [Google Scholar] [CrossRef]
- Lores, J.; García, A.; Negreanu, M.; Salete, E.; Ureña, F.; Vargas, A.M. Numerical solutions to wave propagation and heat transfer Non-Linear PDEs by Using a Meshless Method. Mathematics 2022, 10, 332. [Google Scholar]
- Yang, X.; Zhang, Q.; Yuan, G.; Sheng, Z. On positivity preservation in nonlinear finite volume method for multi-term fractional subdiffusion equation on polygonal meshes. Nonlinear Dyn. 2018, 92, 595–612. [Google Scholar] [CrossRef]
- Yang, X.; Wu, L.; Zhang, H. A space-time spectral order sinccollocation method for the fourth-order nonlocal heat model arising in viscoelasticity. Appl. Math. Comput. 2023, 457, 128192. [Google Scholar]
- Ma, R.; Zhang, S.; Luo, Y.; Han, S.; Wang, Y.; Wang, X. Numerical study on multiple acoustic scattering by a vortex array. J. Sound Vib. 2022, 527, 116815. [Google Scholar] [CrossRef]
- Ma, R.; Wang, Y.; Li, H.; Wu, C.; Han, S.; Wang, X. Numerical study on the scattering of acoustic waves by a compact vortex. Phys. Fluids 2023, 35, 036107. [Google Scholar] [CrossRef]
- Colonius, T.; Lele, S.K.; Moin, P. The scattering of sound waves by a vortex: Numerical simulations and analytical solutions. J. Fluid Mech. 1994, 260, 271–298. [Google Scholar] [CrossRef]
- Karabasov, S.; Kopiev, V.; Goloviznin, V. On a classical problem of acoustic wave scattering by a free vortex: Numerical modelling. In Proceedings of the Aiaa/Ceas Aeroacoustics Conference, Miami, FL, USA, 11–13 May 2009. [Google Scholar]
- Blanc-Benon, P.; Lipkens, B.; Dallois, L.; Hamilton, M.F.; Blackstock, D.T. Propagation of finite amplitude sound through turbulence: Modeling with geometrical acoustics and the parabolic approximation. J. Acoust. Soc. Am. 2002, 111, 487–498. [Google Scholar] [CrossRef]
- Iwatsu, R.; Tsuru, H. Numerical simulation of acoustic scattering from a circular vortex. Theor. Appl. Mech. Jpn. 2013, 61, 95–104. [Google Scholar]
- Kim, Y.; Koh, I.S.; Lee, Y. Path-loss prediction based on FDTD method and normal mode theory for underwater acoustic channel. In Proceedings of the OCEANS’11 MTS/IEEE KONA, Waikoloa, HI, USA, 19–22 September 2011; pp. 1–6. [Google Scholar]
- Wang, S. Finite-difference time-domain approach to underwater acoustic scattering problems. J. Acoust. Soc. Am. 1996, 99, 1924–1931. [Google Scholar] [CrossRef]
- Ostashev, V.E.; Wilson, D.K.; Liu, L.; Aldridge, D.F.; Symons, N.P.; Marlin, D. Equations for finite-difference, time-domain simulation of sound propagation in moving inhomogeneous media and numerical implementation. J. Acoust. Soc. Am. 2005, 117, 503–517. [Google Scholar] [CrossRef]
- Zhang, Y.; Du, H.; Zhang, T.; Li, T. Finite-Difference Time-Domain Simulation of Underwater Vortex Scattering with Acoustic Perturbation Equations; Inter Noise: Hong Kong, China, 2017. [Google Scholar]
- Renterghem, T.V. Efficient outdoor sound propagation modeling with the finite-difference time-domain (FDTD) method: A review. Int. J. Aeroacoust. 2014, 13, 385–404. [Google Scholar] [CrossRef]
- Song, P.; Liu, Z.; Zhang, X.; Tan, J.; Xia, D.; Li, J.; Zhu, B. The fourth-order absorbing boundary condition with optimized coefficients for the simulation of the acoustic equation. J. Geophys. Eng. 2015, 12, 996–1007. [Google Scholar] [CrossRef][Green Version]
- Moreira, R.M.; Santos, M.A.C.; Martins, J.L.; Silva, D.L.F.; Pessolani, R.B.V.; Filho, D.M.S.; Bulcão, A.; Hu, J.; Jia, X.; Zhang, B.; et al. Frequency-domain acoustic-wave modeling with hybrid absorbing boundary conditions. Geophysics 2014, 79, A39–A44. [Google Scholar] [CrossRef]
- Jie, S.; Weisong, Z.; Xiangjun, J.; Xin, Z.; Malekian, R. Underwater broadband acoustic scattering modelling based on FDTD. Elektron. Elektrotech. 2015, 21, 58–64. [Google Scholar] [CrossRef][Green Version]
- Park, H.; Song, H.; Park, Y.; Shin, C. A symmetric discretization of the perfectly matched layer for the 2D helmholtz equation. J. Seism. Explor. 2017, 26, 541–560. [Google Scholar]
- Rayleigh, J.W.S.B. The Theory of Sound; Macmillan: Basingstoke, UK, 1896. [Google Scholar]
- Wendt, J.F. Computational Fluid Dynamics: An Introduction; Springer Science & Business Media: Berlin/Heidelberg, Germany, 2008. [Google Scholar]
- Gaeta, G. Perturbation Theory: Mathematics, Methods and Applications; Springer Nature: Berlin/Heidelberg, Germany, 2022. [Google Scholar]












Disclaimer/Publisher’s Note: The statements, opinions and data contained in all publications are solely those of the individual author(s) and contributor(s) and not of MDPI and/or the editor(s). MDPI and/or the editor(s) disclaim responsibility for any injury to people or property resulting from any ideas, methods, instructions or products referred to in the content. |
© 2023 by the authors. Licensee MDPI, Basel, Switzerland. This article is an open access article distributed under the terms and conditions of the Creative Commons Attribution (CC BY) license (https://creativecommons.org/licenses/by/4.0/).
Share and Cite
Zhang, Y.; Ling, Z.; Du, H.; Zhang, Q. Finite-Difference Frequency-Domain Scheme for Sound Scattering by a Vortex with Perfectly Matched Layers. Mathematics 2023, 11, 3959. https://doi.org/10.3390/math11183959
Zhang Y, Ling Z, Du H, Zhang Q. Finite-Difference Frequency-Domain Scheme for Sound Scattering by a Vortex with Perfectly Matched Layers. Mathematics. 2023; 11(18):3959. https://doi.org/10.3390/math11183959
Chicago/Turabian StyleZhang, Yongou, Zhongjian Ling, Hao Du, and Qifan Zhang. 2023. "Finite-Difference Frequency-Domain Scheme for Sound Scattering by a Vortex with Perfectly Matched Layers" Mathematics 11, no. 18: 3959. https://doi.org/10.3390/math11183959
APA StyleZhang, Y., Ling, Z., Du, H., & Zhang, Q. (2023). Finite-Difference Frequency-Domain Scheme for Sound Scattering by a Vortex with Perfectly Matched Layers. Mathematics, 11(18), 3959. https://doi.org/10.3390/math11183959

