Next Article in Journal
Bayesian Identification Procedure for Triple Seasonal Autoregressive Models
Next Article in Special Issue
Improved Quantization Method of Coupled Circuits in Charge Discrete Space
Previous Article in Journal
Detecting Pseudo-Manipulated Citations in Scientific Literature through Perturbations of the Citation Graph
 
 
Font Type:
Arial Georgia Verdana
Font Size:
Aa Aa Aa
Line Spacing:
Column Width:
Background:
Article

Unified Algorithm of Factorization Method for Derivation of Exact Solutions from Schrödinger Equation with Potentials Constructed from a Set of Functions

by
Raoul R. Nigmatullin
1,* and
Airat A. Khamzin
2
1
Radioelectronics and Informative Measurements Technics Department, Kazan National Research Technical University Named after A.N. Tupolev—KAI, K. Marx Str. 10, 420111 Kazan, Russia
2
Institute of Physics, Kazan Federal University, Kremlevskaya Str. 18, 420008 Kazan, Russia
*
Author to whom correspondence should be addressed.
Mathematics 2023, 11(18), 3822; https://doi.org/10.3390/math11183822
Submission received: 25 July 2023 / Revised: 11 August 2023 / Accepted: 13 August 2023 / Published: 6 September 2023
(This article belongs to the Special Issue Applications of Mathematical Methods in Quantum Mechanics)

Abstract

We extend the scope of the unified factorization method to the solution of conditionally and unconditionally exactly solvable models of quantum mechanics, proposed in a previous paper [R.R. Nigmatullin, A.A. Khamzin, D. Baleanu, Results in Physics 41 (2022) 105945]. The possibilities of applying the unified approach in the factorization method are demonstrated by calculating the energy spectrum of a potential constructed in the form of a second-order polynomial in many of the linearly independent functions. We analyze the solutions in detail when the potential is constructed from two linearly independent functions. We show that in the general case, such kinds of potentials are conditionally exactly solvable. To verify the novel approach, we consider several known potentials. We show that the shape of the energy spectrum is invariant to the number of functions from which the potential is formed and is determined by the type of differential equations that the potential-generating functions obey.

1. Introduction

Exactly solvable models play an important role in quantum mechanics. Firstly, they are interesting in themselves as models of real physical systems. Secondly, exactly solvable models serve as reliable zero approximations in constructing perturbation theory. However, the number of currently known exactly solvable models is very limited [1,2,3], and the possibilities of perturbation theory in quantum physics are also limited.
The exact solvability criteria are very strict and require obtaining the entire spectrum of the Hamiltonian in closed form for all potential parameter values in closed form. This requirement often leads to insurmountable difficulties in finding new exact solutions. In this regard, recent research has focused on finding models for which the spectral problem can be precisely solved—either for a small portion of the spectrum rather than the entire spectrum or for specific values of potential parameters rather than all possible values. In the first case, the models are called quasi-exactly solvable (QES) [4,5,6,7], and in the second case, they are called conditionally exactly solvable (CES) [8,9,10]. Obviously, such models are no less useful than exactly solvable ones. They can also be used to model real physical situations as well as in perturbation theory.
The main approaches for solving Q(C)ES models in quantum mechanics are the polynomial ansatz for the wave function [11,12], the canonical point transformation [13], and the factorization method [14,15,16,17]. Note that there are types of QES potentials for which the Schrödinger equation is reduced to the Heun equation, whose analytical solutions are expressed in terms of the Heun confluent functions. In this case, the spectrum can be calculated numerically from the corresponding Wronsky determinant [18].
The most effective tool for finding solutions to exactly solvable and conditionally exactly solvable models is the factorization method, which was introduced by Schrödinger [19,20,21] and later developed by Infield and Hull [1]. The introduction of supersymmetric quantum mechanics (SUSYQM) by Witten [22] and the concept of shape invariance by Gendenstein [23] have greatly improved the method [24,25,26].
In a paper [27], a novel approach was proposed that led to the further development of the factorization method to enable its improvement in the search for new exact and conditional solutions of the Schrödinger equation. Within the framework of the new approach, it becomes possible to largely unify and algorithmize the factorization method. In [27], we demonstrated the possibilities of a new factorization method algorithm by calculating the spectrum of exactly solvable and conditionally exactly solvable models with potentials in the form of a single-function Laurent polynomial. We found the conditions for the values of the coefficients of the potential and the form of the potential-generating function under which it is possible to obtain an unconditionally exact solution.
In this study, we continued the development of a new factorization method algorithm for solving the spectral problem of the Schrödinger equation and generalized it to the case when the potential is constructed as a polynomial of several functions. The main idea of the generalization is based on the previous one. The isospectral condition is imposed on the family of partner Hamiltonians, which leads to a recurrent equation that relates the superpotentials and energies of excited states to the ground state. The superpotential of the ground state satisfies the Riccati equation, which relates it to the potential. The superpotential is constructed as a linear combination of potential-generating functions, one of which satisfies the Riccati equation, and the others satisfy the Bernoulli equation. This again allowed us to obtain a closed system of difference equations for the parameters of superpotentials and energy eigenvalues, which admits an exact solution. However, in the general case, as will be shown, the spectral problem is conditionally exactly solvable. This generalization of the algorithm significantly expands the possibilities of using the factorization method in the search for new models that allow an exact solution.

2. Unification of the Factorization Method

Consider a one-dimensional problem and represent the Hamiltonian in the following form:
H = 2 2 m d 2 d x 2 + 2 2 m x 0 2 Φ ( x x 0 ) ,
where the potential is represented through a dimensionless function Φ ( x / x 0 ) , x0 is the characteristic length scale, and m is particle mass. It is convenient to represent the Hamiltonian (1) in dimensionless form:
h = 2 m x 0 2 2 H = d 2 d u 2 + Φ ( u ) ,
where u = x/x0 is the dimensionless coordinate.
The main idea of the factorization method is to represent the Hamiltonian in the following form
h = a + a + ε 0 ,
where the operators a and a+, which are called ladder operators, have the following structure
a + = d d u + φ 0 ( u ) , a = d d u + φ 0 ( u ) ,
The function φ0(x), which is called the superpotential, satisfies the Riccati equation
φ 0 ( u ) + φ 0 2 ( u ) + ε 0 = Φ ( u ) .
The superpotential makes it possible to determine the wave function of the ground state
ψ 0 ( u ) = A exp ( φ 0 ( u ) d u ) ,
where A is the normalization constant. The next step in SUSYQM theory is the construction of the partner Hamiltonian
h ˜ = d 2 d u 2 + Φ ˜ ( u ) = a a + + ε 0 .
The Hamiltonians partners h and h ˜ are related by the relationship a h = h ˜ a . This relationship leads to the following connection of the partner potentials Φ ( u ) and Φ ˜ ( u ) :
Φ ˜ ( u ) = Φ ( u ) + 2 φ 0 ( u ) .
The SUSYQM procedure is iterated and generates a hierarchy of partner Hamiltonians.
h n + 1 = a n + 1 + a n + 1 + ε n + 1 = a n a n + + ε n , n = 0 , 1 , 2 ,
Here,
a n + = d d u + φ n ( u ) , a n = d d u + φ n ( u )
where the functions φ n ( u ) are found from the following recurrent equation:
( φ n + 1 + φ n ) + φ n + 1 2 φ n 2 + ε n + 1 ε n = 0 , n = 0 , 1 , 2 , .
Equation (11) is enough to determine the full spectrum of the Hamiltonian and the desired superpotential.
In [27], we proposed a unified algorithm for applying the factorization method to obtain the full spectrum of the Hamiltonian with a potential in the form of a Laurent polynomial for a single function f(u)
Φ ( u ) = k = 2 N 2 N w k f k ( u ) ,
where wk are the constant coefficients, and the function f(u) satisfies the Riccati equation with constant coefficients
f ( u ) = κ 0 + κ 1 f ( u ) + κ 2 f 2 ( u ) ,
where κm (m = 1,2,3) are the constant coefficients. The algorithm is based on the representation of the superpotential φn(u) in the form of the following ansatz
φ n ( u ) = k = N N α n k f k ( u ) ,
where αnk are the constant coefficients, n = 0,1,2,… The form of superpotential (14) completely depends on the form of potential (12). Substituting superpotential (14) into Equations (5) and (11), and potential (12) into Equation (5), considering (13), and then equating the coefficients at the same powers of the function f leads to an algebraic system of equations for the coefficients of the superpotentials (14) and energies of the eigenstates (see Equation (45) in [27]). These systems of equations make it possible to find the full energy spectrum and coefficients of the superpotential for given values of N and the coefficients wk (k = −2N, …, 2N), κm (m = 0,1,2). For arbitrary N, in the general case, as shown in [27], the potential of the form (12) is conditionally exactly solvable, since the number of equations for determining the coefficients of the superpotential exceeds the number of unknown coefficients. Excessive equations lead to constraint conditions on the coefficients of potential (12). However, in the case of N = 2, in special cases, for potential (12) it is possible to obtain unconditional exact solutions [27], which coincide with all known, by now, exact solutions. Note that the general form of the energy spectrum does not depend on the order N of the Laurent polynomial in (12) but is determined by the form of the differential equation for the potential generating function f(u).
In the following sections, we demonstrate that the method in [27] can also be generalized to the case of a multiplicity of potential generating functions. This generalization significantly expands the class of potentials, admitting an exact solution for the spectrum.

3. Generalization of the Unified Algorithm of the Factorization Method to the Case of Two Potential-Generating Functions

We begin the generalization by constructing a unified calculation scheme for the factorization method, which allows us to calculate the energy spectrum of the Hamiltonian with the potential formed by two linearly independent functions f 0 ( u ) and f 1 ( u ) ,
Φ ( u ) = w 0 + w 01 f 0 ( u ) + w 02 f 0 2 ( u ) + w 11 f 1 ( u ) + w 12 f 1 2 ( u ) + q 01 f 0 ( u ) f 1 ( u ) .
Again, as in the scheme proposed by us in [27], let function f 0 ( u ) satisfy the Riccati equation with constant coefficients
f 0 ( u ) = κ 00 + κ 01 f 0 ( u ) + κ 02 f 0 2 ( u ) ,
and the second function f 1 ( u ) satisfy the Bernoulli equation of the form
f 1 ( u ) = κ 11 f 1 ( u ) + κ 12 f 1 2 ( u ) + ξ 01 f 0 ( u ) f 1 ( u ) ,
where κ 11 , κ 12 , ξ 01 are the constant coefficients. Then, Equation (17) admits an exact analytical solution in quadratures
f 1 ( u ) = exp ( κ 11 u + ξ 01 f 0 ( u ) d u ) C κ 12 exp ( κ 11 u + ξ 01 f 0 ( u ) d u ) d u ,
where constant C is found from the boundary conditions. Since function f0(u) satisfies the Riccati equation with constant coefficients (16), with an appropriate choice of dimensionless coordinate, the following set of elementary functions for it becomes possible:
u , 1 u , exp ( u ) , tan ( a u + b ) , 1 e u q .
When ξ 01 = 0 , the function f1(u) has the form
f 1 ( u ) = { κ 11 C exp ( κ 11 u ) κ 12 , κ 11 0 , 1 κ 12 u + C , κ 11 = 0 .
Table 1 presents possible types of function f1(u) obtained from Equation (18) for each elementary function f0(u) from set (19).
Below, we show that, by generalizing the approach developed in [27] to the case of two linearly independent potential-generating functions satisfying differential Equations (16) and (17), it is possible to construct an exact energy spectrum for new, nontrivial potentials (Table 1).
For potential (15), we accept the following ansatz for the superpotentials:
φ n ( u ) = α 0 , n f 0 + α 1 , n f 1 + β n .
Assuming that the full set of functions { f 0 , f 1 , f 0 2 , f 1 2 , f 0 f 1 } is linearly independent, substituting the function φ 0 ( u ) into Equation (5), and then equating the coefficients at the same powers of the functions f 0 , 1 and f 0 f 1 , we find the following system of equations for determining the coefficients of the superpotential and the energy of the ground state:
f 0 , 1 0 : ε 0 = w 0 + α 00 κ 00 β 0 2 , f 0 : 2 α 00 β 0 α 00 κ 01 = w 01 , f 0 2 : α 00 2 α 00 κ 02 = w 02 , f 1 : 2 α 10 β 0 α 10 κ 11 = w 11 , f 1 2 : α 10 2 α 10 κ 12 = w 12 , f 0 f 1 : 2 α 00 α 10 α 10 ξ 01 = q 01 .
To determine the eigenvalues and coefficients of the superpotential of the excited states, we substitute φ n ( u ) from (21) into Equation (11) and again equate the coefficients at the same powers f 0 , 1 and f 0 f 1 . Finally, after some algebraic manipulations, we obtain a system of equations.
f 0 , 1 0 : ε n + 1 = ε n + κ 00 ( α 0 n + α 0 , n + 1 ) ( β n + 1 2 β n 2 ) , f 0 : κ 01 ( α 0 n + α 0 , n + 1 ) + 2 ( α 0 , n + 1 β n + 1 α 0 , n β n ) = 0 , f 0 2 : α 0 , n + 1 2 α 0 n 2 κ 02 ( α 0 , n + 1 + α 0 n ) = 0 , f 1 : κ 11 ( α 1 n + α 1 , n + 1 ) + 2 ( α 1 , n + 1 β n + 1 α 1 , n β n ) = 0 , f 1 2 : α 1 , n + 1 2 α 1 n 2 κ 12 ( α 1 , n + 1 + α 1 n ) = 0 , f 0 f 1 : ξ 01 ( α 1 n + α 1 , n + 1 ) + 2 ( α 0 , n + 1 α 1 , n + 1 α 0 , n α 1 , n ) = 0 .
Note that in the general case, the number of equations for determining the superpotential parameters in Equations (22) and (23) exceeds the number of unknowns. This leads to constraints on the potential parameters. Thus, the case of two independent potential-forming functions, in the general case, leads to conditionally exactly solvable potentials. However, in the special case, when κ 01 = κ 11 = 0 , w 01 = w 11 = 0 , β n = 0 , the problem is reduced to an unconditionally exactly solvable. The system of difference Equations (22) and (23) allows the exact analytical solution
α 00 = κ 02 2 ± κ 02 2 4 + w 02 , α 0 , n = α 00 + κ 02 n , α 1 , 0 = κ 12 2 ± κ 12 2 4 + w 12 , α 1 , n = α 1 , 0 + κ 12 n , β n = { 1 2 w 01 κ 01 w 02 / κ 02 κ 02 n + α 00 + 1 2 κ 01 κ 02 ( κ 02 n + α 00 ) , κ 02 0 , 1 2 ( w 01 α 00 + κ 01 ) + κ 01 n , κ 02 = 0 , ,
ε n = { w 0 κ 00 κ 02 w 02 + κ 01 2 κ 02 ( κ 01 κ 02 w 02 w 01 ) ( κ 01 2 4 κ 02 2 κ 00 κ 02 ) ( κ 02 n + α 00 ) 2 ( w 01 κ 01 w 02 / κ 02 ) 2 4 ( κ 02 n + α 00 ) 2 , κ 02 0 , w 0 + κ 00 ( κ 00 w 02 κ 01 2 w 01 κ 01 ) ( κ 01 n + w 01 2 α 00 + κ 01 2 α 00 κ 00 κ 01 ) 2 , κ 02 = 0 , κ 01 0 , w 0 w 01 2 4 w 02 + α 00 κ 00 ( 2 n + 1 ) , κ 01 = 0 , κ 02 = 0 . ,
constraint conditions : w 11 = { κ 11 κ 12 w 12 + ( κ 12 n + α 10 ) { w 01 κ 01 w 02 / κ 02 κ 02 n + α 00 + ( κ 01 κ 11 ) n + κ 01 κ 02 α 00 κ 11 κ 12 α 10 } , κ 02 , κ 12 0 , κ 11 κ 12 w 12 + ( κ 12 n + α 10 ) { w 01 α 00 κ 11 κ 12 α 10 + κ 01 + ( 2 κ 01 κ 11 ) n } , κ 12 0 , κ 02 = 0 , α 10 { w 01 κ 01 w 02 / κ 02 κ 02 n + α 00 + ( κ 01 2 κ 11 ) n + κ 01 κ 02 α 00 κ 11 } , κ 12 = 0 , κ 02 0 , α 10 { ( κ 01 κ 11 ) ( 2 n + 1 ) + w 01 α 00 } , κ 02 = 0 , κ 12 = 0 , , q 01 = { ξ 01 w 12 κ 12 + ( κ 12 n + α 10 ) { 2 α 00 ξ 01 κ 12 α 10 + ( 2 κ 02 ξ 01 ) n } , κ 12 0 , α 10 { 2 α 00 ξ 01 + 2 ( κ 02 ξ 01 ) n } , κ 12 = 0 .
Thus, in the case when the complete set of functions { f 0 , f 1 , f 0 2 , f 1 2 , f 0 f 1 } is linearly independent, there are two constraint conditions on the potential parameters. Although it is not required, we selected possible parameters w11 and q01 as dependent ones.
As an example of applying the solutions obtained above, consider the mixed Hellman–Morse potential
Φ ( u ) = 2 u + b e u u + λ 2 ( e 2 u 2 e u ) + l ( l + 1 ) u 2 .
For this potential, we choose f 0 ( u ) = 1 / u , f 1 ( u ) = exp ( u ) . Then, from (15), (16) and (17), we obtain
w 0 = 0 , w 01 = 2 , w 02 = l ( l + 1 ) , w 11 = 2 λ 2 , w 12 = λ 2 , q 01 = b , κ 00 = 0 , κ 01 = 0 , κ 02 = 1 , κ 11 = 1 , κ 12 = 0 , ξ 01 = 0 . ,
We substitute the found parameters (26) into (24) and obtain expressions for the energy spectrum, superpotential coefficients, and constraint conditions on the potential parameters
α 0 , n = l 1 n , α 1 , n = λ , β n = 1 n + l + 1 , ε n = 1 ( n + l + 1 ) 2 , Constraint   conditions :   λ = 1 n + l + 1 + n + 1 2 , b = 2 λ ( n + l + 1 ) .
As can be seen from (27), the potential spectrum coincides with the spectrum of the hydrogen-like potential and does not depend on the Yukawa and Morse potential parameters given in (25). The reason for this, apparently, is the constraint conditions on the parameters λ and b (see (27))
Next, consider the case when the set of functions { f 0 , f 1 , f 0 2 , f 1 2 , f 0 f 1 } is not completely linearly independent. In this case, the number of equations that impose constraint conditions on the parameters of the potential can be reduced to one. We search for the linear relationship between these functions using the first integral of the system of differential Equations (16) and (17):
1 f 1 = C e F e F e F κ 12 κ 00 + κ 01 f 0 + κ 02 f 0 2 d f 0 , F = κ 11 + ξ 01 f 0 κ 00 + κ 01 f 0 + κ 02 f 0 2 d f 0 ,
Table 2 shows possible cases leading to a linear relationship related to the selected set of functions.
From Table 2, it can be seen that it is sufficient to consider only two cases of linear dependence:
f 1 2 = a 0 + a 1 f 0 + a 2 f 0 2 ,
f 0 f 1 = b 0 + b 1 f 0 + b 2 f 1 ,
In the first case, the systems in Equations (22) and (23) are reduced to one equation that takes the form
n = 0 f 0 , 1 0 : ε 0 = w 0 + a 0 w 12 + α 00 κ 00 β 0 2 a 0 ( α 10 2 α 10 κ 12 ) , f 0 : 2 α 00 β 0 α 00 κ 01 + a 1 ( α 10 2 α 10 κ 12 ) = w 01 = w 01 + a 1 w 12 , f 0 2 : α 00 2 α 00 κ 02 + a 2 ( α 10 2 α 10 κ 12 ) = w 02 = w 02 + a 2 w 12 , f 1 : 2 α 10 β 0 α 10 κ 11 = w 11 , f 0 f 1 : 2 α 00 α 10 α 10 ξ 01 = q 01 .
n 1 f 0 , 1 0 : ε n + 1 = ε n + κ 00 ( α 0 n + α 0 , n + 1 ) ( β n + 1 2 β n 2 ) a 0 ( α 1 , n + 1 2 α 1 n 2 κ 12 ( α 1 , n + 1 + α 1 n ) ) , f 0 : κ 01 ( α 0 n + α 0 , n + 1 ) + 2 ( α 0 , n + 1 β n + 1 α 0 , n β n ) + a 1 ( α 1 , n + 1 2 α 1 n 2 κ 12 ( α 1 , n + 1 + α 1 n ) ) = 0 , f 0 2 : α 0 , n + 1 2 α 0 n 2 κ 02 ( α 0 , n + 1 + α 0 n ) + a 2 ( α 1 , n + 1 2 α 1 n 2 κ 12 ( α 1 , n + 1 + α 1 n ) ) = 0 , f 1 : κ 11 ( α 1 n + α 1 , n + 1 ) + 2 ( α 1 , n + 1 β n + 1 α 1 , n β n ) = 0 , f 0 f 1 : ξ 01 ( α 1 n + α 1 , n + 1 ) + 2 ( α 0 , n + 1 α 1 , n + 1 α 0 , n α 1 , n ) = 0 .
Despite the complexity of the equation system, it is amenable to an exact analytical solution.
α 00 = κ 02 2 ± 2 ( κ 02 2 + 4 w 02 + ( κ 02 2 + 4 w 02 ) 2 16 a 2 q 01 2 ) κ 02 2 + 4 w 02 ± ( κ 02 2 + 4 w 02 ) 2 16 a 2 q 01 2 16 a 2 q 01 , α 0 n = α 00 + κ 02 n , α 1 , n = α 01 = ± κ 02 2 + 4 w 02 ± ( κ 02 2 + 4 w 02 ) 2 16 a 2 q 01 2 8 a 2 , β n = { κ 01 2 κ 02 ( κ 02 n + α 00 ) + ( w 01 κ 01 w 02 / κ 02 α 10 2 ( a 1 κ 01 a 2 / κ 02 ) ) 2 ( κ 02 n + α 00 ) , κ 02 0 , w 01 + κ 01 α 00 a 1 α 01 2 2 α 00 + κ 01 n , κ 02 = 0 ,
ε n = w 0 + a 0 ( w 12 α 10 2 ) + κ 00 α 00 + κ 00 ( 2 α 00 n + κ 02 n 2 ) β n 2 .
Constraint   condition : w 11 = { α 10 { κ 01 κ 02 ( κ 02 n + α 00 ) ( 2 n + 1 ) κ 11 + ( w 01 κ 01 w 02 / κ 02 α 10 2 ( a 1 κ 01 a 2 / κ 02 ) ) ( κ 02 n + α 00 ) } , κ 02 0 , α 10 ( w 01 + κ 01 α 00 a 1 α 01 2 ) 2 α 00 + 2 α 10 ( κ 01 κ 11 ) n α 10 κ 11 , κ 02 = 0 .
When solving the system of equations, we set κ 12 = 0 (see Table 2).
As an example, consider a potential of the form
Φ ( u ) = μ sinh ( u ) λ cosh 2 ( u ) .
The exact solution for this potential is found in [3,24]. For this potential, we choose the potential-generating functions f 0 = tanh ( u ) , f 1 ( u ) = 1 / cosh ( u ) , which are related by the dependence of the form (29): f 1 2 = 1 f 0 2 . As a result, for potential (33) we obtain the following values for the input parameters:
w 0 = λ , w 01 = 0 , w 02 = λ , w 11 = 0 , w 12 = 0 , q 01 = μ , κ 00 = 1 , κ 01 = 0 , κ 02 = 1 , κ 11 = 0 , κ 12 = 0 , ξ 01 = 1 , a 0 = 1 , a 1 = 0 , a 2 = 1 .
Substituting these parameters into solutions (32), we obtain
α 00 = 1 2 + 1 4 2 + 8 λ + 2 16 μ 2 + ( 4 λ + 1 ) 2 , α 0 , n = α 00 n , α 1 , n = α 1 , 0 = 2 μ 1 + 4 λ + 16 μ 2 + ( 4 λ + 1 ) 2 , β n = 0 , ε n = λ ( α 00 n ) 2 .
There are no constraints on the parameters of the potential, so potential (33) is unconditionally exactly solvable.
Next, consider case (30). The system of equations in this case is also solvable and has the form
n = 0 f 0 , 1 0 : ε 0 = w 0 + b 0 q 01 + α 00 κ 00 β 0 2 2 b 0 α 00 α 10 , f 0 : 2 α 00 β 0 α 00 κ 01 + 2 b 1 α 00 α 10 = w 01 = w 01 + b 1 q 01 , f 0 2 : α 00 2 α 00 κ 02 = w 02 , f 1 : 2 α 10 β 0 α 10 κ 11 + 2 b 2 α 00 α 10 = w 11 = w 11 + b 2 q 01 , f 1 2 : α 10 2 α 10 κ 12 = w 12 ,
n 1 f 0 , 1 0 : ε n + 1 = ε n + κ 00 ( α 0 n + α 0 , n + 1 ) ( β n + 1 2 β n 2 ) 2 b 0 ( α 0 , n + 1 α 1 , n + 1 α 0 , n α 1 , n ) , f 0 : κ 01 ( α 0 n + α 0 , n + 1 ) + 2 ( α 0 , n + 1 β n + 1 α 0 , n β n ) + 2 b 1 ( α 0 , n + 1 α 1 , n + 1 α 0 , n α 1 , n ) = 0 , f 0 2 : α 0 , n + 1 2 α 0 n 2 κ 02 ( α 0 , n + 1 + α 0 n ) = 0 , f 1 : κ 11 ( α 1 n + α 1 , n + 1 ) + 2 ( α 1 , n + 1 β n + 1 α 1 , n β n ) + 2 b 2 ( α 0 , n + 1 α 1 , n + 1 α 0 , n α 1 , n ) = 0 , f 1 2 : α 1 , n + 1 2 α 1 n 2 κ 12 ( α 1 , n + 1 + α 1 n ) = 0 . ,
The system of Equation (36) again admits an exact solution that has the form
α 00 = κ 02 2 ± κ 02 2 4 + w 02 , α 0 , n = α 00 + κ 02 n , α 1 , 0 = κ 12 2 ± κ 12 2 4 + w 12 , α 1 , n = α 1 , 0 + κ 12 n , β n = { b 1 ( α 00 κ 12 κ 02 α 10 ) + ( κ 01 2 b 1 κ 12 ) 2 κ 02 ( κ 02 n + α 00 ) + w 01 κ 01 w 02 / κ 02 2 ( κ 02 n + α 00 ) , κ 02 0 , w 01 + κ 01 α 00 2 b 1 α 00 α 10 2 α 00 + ( κ 01 b 1 κ 12 ) n , κ 02 = 0 ,
ε n = w 0 + b 0 q 01 + α 00 ( κ 00 2 b 0 α 10 ) + 2 ( α 00 ( κ 00 b 0 κ 12 ) b 0 α 10 κ 02 ) n + κ 02 ( κ 00 2 b 0 κ 12 ) n 2 β n 2 .
Constraint   conditions : b 1 ( α 00 κ 12 κ 02 α 10 ) + ( κ 01 2 b 1 κ 12 ) 2 κ 02 ( κ 02 n + α 00 ) + w 01 κ 01 w 02 / κ 02 2 ( κ 02 n + α 00 ) = = b 2 ( α 10 κ 02 κ 12 α 00 ) + ( κ 11 2 b 2 κ 02 ) 2 κ 12 ( κ 12 n + α 10 ) + w 11 κ 11 w 12 / κ 12 2 ( κ 12 n + α 10 ) , κ 02 , κ 12 0 , w 01 + κ 01 α 00 2 b 1 α 00 α 10 2 α 00 + ( κ 01 b 1 κ 12 ) n = = b 2 ( α 10 κ 02 κ 12 α 00 ) + ( κ 11 2 b 2 κ 02 ) 2 κ 12 ( κ 12 n + α 10 ) + w 11 κ 11 w 12 / κ 12 2 ( κ 12 n + α 10 ) , κ 02 = 0 , κ 12 0 , b 1 ( α 00 κ 12 κ 02 α 10 ) + ( κ 01 2 b 1 κ 12 ) 2 κ 02 ( κ 02 n + α 00 ) + w 01 κ 01 w 02 / κ 02 2 ( κ 02 n + α 00 ) = = 1 2 ( w 11 α 10 + κ 11 2 b 2 α 00 ) + ( κ 11 b 2 κ 02 ) n , κ 02 0 , κ 12 = 0 , w 01 + κ 01 α 00 2 b 1 α 00 α 10 2 α 00 + ( κ 01 b 1 κ 12 ) n = 1 2 ( w 11 α 10 + κ 11 2 b 2 α 00 ) + ( κ 11 b 2 κ 02 ) n , κ 02 = 0 , κ 12 = 0 ,
As an example, consider the soft-core Coulomb potential in three dimensions
Φ ( u ) = λ u μ u + β + l ( l + 1 ) u 2 .
The exact solution for this potential in terms of the wave -function ansatz is considered in [12,28]. Here, we present results for this potential that are different from the results given in these papers. For this potential, we choose f 0 = 1 / u , f 1 = 1 / ( u + β ) , which are connected by relationship: f 0 f 1 = ( f 0 f 1 ) / β . For potential (38), we obtain the following values for the input parameters
w 0 = 0 , w 01 = λ , w 02 = l ( l + 1 ) , w 11 = μ , w 12 = 0 , q 01 = 0 , κ 00 = 0 , κ 01 = 0 , κ 02 = 1 , κ 11 = 0 , κ 12 = 1 , ξ 01 = 0 , b 0 = 0 , b 1 = β 1 , b 2 = β 1 , b 3 = 0 . ,
We substitute parameters (39) into solutions (37) and obtain
α 0 , n = ( n + l + 1 ) , α 1 , n = ( n + 1 ) , β n = μ λ 2 ( 2 n + l + 2 ) , ε n = β n 2 = ( μ λ ) 2 4 ( 2 n + l + 2 ) 2 , constraint condition : β = 2 ( n + 1 ) ( n + l + 1 ) ( 2 n + l + 2 ) μ ( n + l + 1 ) + λ ( n + 1 ) ,
Comparing the results (40) with those [12] for potential (38), we see that there is a difference in the constraint conditions for excited states. To determine the true constraint condition, apparently, it is necessary to perform a numerical solution of the Schrödinger equation. We note that in [15,16,17], using a numerical solution of the Schrödinger equation for some potentials, it was shown that the results of the wave-function ansatz method used in [12] do not agree with the numerical results for all excited states, in contrast to the superpotential ansatz method, which was used in this study.
Using the example of the soft-core Coulomb potential (38), we discuss the physical meaning of the results obtained. Potential (38) was proposed in [29] for modeling Coulomb screening in an atom. The authors of [29], using potential (38), within the framework of nonperturbative analysis, found approximate values for the energies of atoms, which are in excellent agreement with the experimental results.
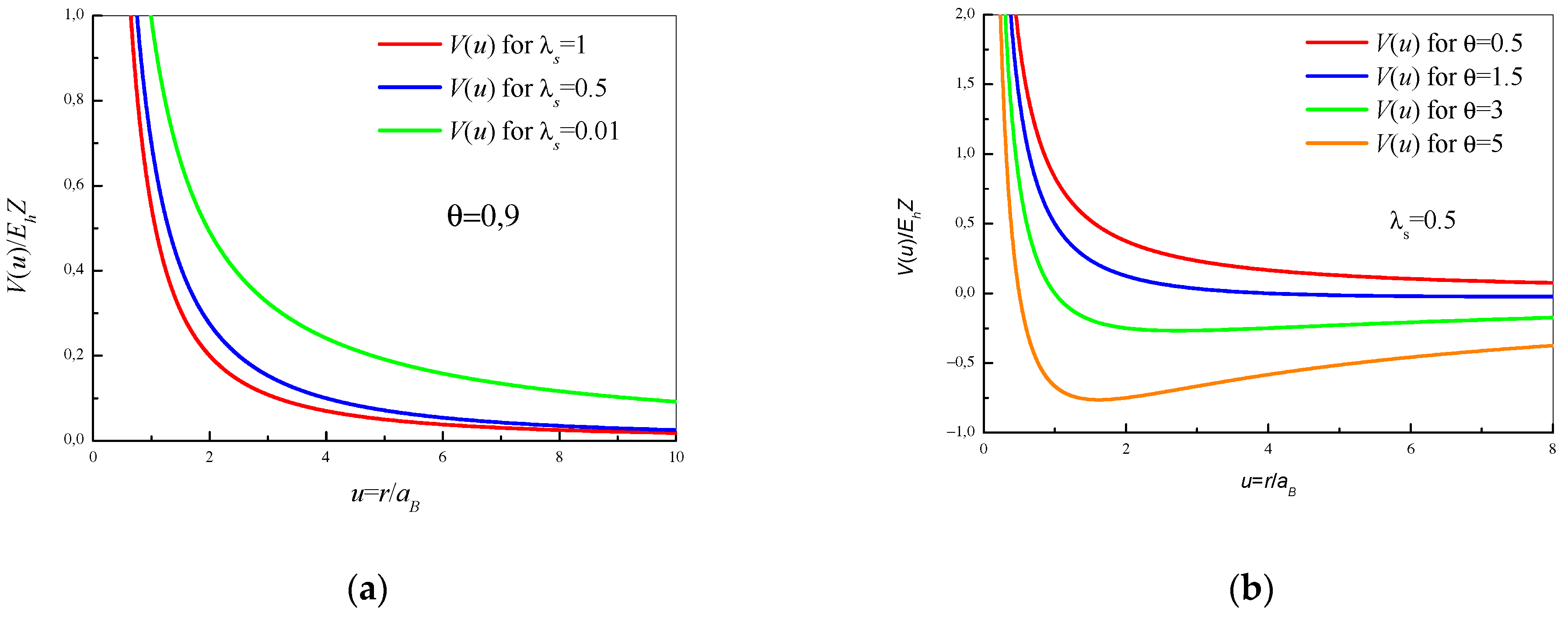
Potential (38) at λ = 2 Z , μ = 2 Z is a simple model of Coulomb screening with a repulsive center. In this case, screening is provided by introducing an additional effective charge equaling Z e
V ( u ) = E h ( Z u Z u + 1 / λ s ) .
Here, E h = 2 / m a B 2 is a characteristic energy scale, u = r / a B , and λ s = 1 / β is a screening parameter in dimensionless units. Figure 1 shows the graphs of potential (41) for different values of the screening parameter λ s and the parameter is equal to θ = Z / Z . As can be seen in Figure 1b, potential (41) at Z > Z has a characteristic minimum at r 0 = a B / λ s ( θ 1 ) . The exact energy spectrum for potential (41) follows from (40):
E n l = E h ( Z Z ) 2 ( 2 n + l + 2 ) 2 ;
But, for certain values, for example, the Z parameter, which are found from the constraint condition (see (40)),
Z = λ s ( n + 1 ) ( 2 n + l + 2 ) Z ( n + 1 ) n + l + 1 .
The text continues in Figure A1 and Table 2.
Therefore, for the ground state and the first excited state, from (42) and (43), we obtain
E 00 = E h ( Z Z ) 2 4 = E h ( Z λ s ) 2
E 10 = E h ( Z Z ) 2 16 = E h ( Z 4 λ s ) 2 4 , E 11 = E h ( Z Z ) 2 25 = E h ( Z 6 λ s ) 2 9
For s states, from (42) and (43), we obtain
E n 0 = E h ( Z n + 1 λ s ( n + 1 ) ) 2 ,
n = 0,1,2,…, nm= Z / λ s 1 .
The results for the soft-core Coulomb potential (screened Coulomb potential) (42)–(46) are required in plasma physics to compare the approximate values of energy levels obtained for potential (41), for example, using perturbation theory with respect to the screening parameter or an accurate estimate of the screening parameter from experimental data.
Note that it is required to include λ = 2 Z , μ = 2 Z in (38) when modeling screening in atoms having an attractive center. In this case, the exact solution is only feasible for a negative screening parameter value, as is evident from the constraint condition in (40). This difficulty can be overcome, for example, in case u < < β = 1 / λ s , representing the screened Coulomb potential (41) in the form
V ( u ) E h ( 2 Z u + 2 Z λ s ( 1 λ s u + λ s 2 u 2 ) ) ,
where E h = m e c 2 α 2 = 27 , 211 e V is the Hartree energy, and α is the fine structure constant. Potential (47) also admits an exact solution via the algorithm described in [27] with one potential-generating function f(u) = u or via the algorithm presented in this article by choosing f0(u) = 1/u and f1(u) = u. In this case, the problem is also conditionally exactly solvable, and the energy spectrum and the constraint condition have the form
E n l = E h ( Z 2 ( n + l + 1 ) 2 2 λ s Z + λ s 2 λ s Z ( 4 n + 2 l + 3 ) ) , λ s Z = 2 Z 2 ( n + l + 1 ) 2 ,
Note that potentials (41) and (47) are special cases of a more general screened Coulomb potential taken in the form
V ( u ) = 2 Z E h u k = 0 a k ( λ s u ) k ,
which was proposed in [30] to analyze screening effects. As demonstrated in [27], the spectral problem also enables one to obtain a conditionally exact solution within the unified approach based on the factorization method if the series in (49) is approximated using a finite polynomial.

4. Generalization of Unified Algorithm of Factorization Method to the Case of Many Independent Potential-Generating Functions

The aforementioned approach for using the factorization method in the situation of two independent potential-generating functions allows for the generalization to any number of potential-generating functions. One of these generalizations is shown below.
Let the potential be formed from an arbitrary number of N + 1 independent functions f k ( u ) ( k = 0 , 1 , 2 , , N ) and has the form
Φ ( u ) = w 0 + k = 0 N ( w k 1 f k ( u ) + w k 2 f k 2 ( u ) + m = 0 k 1 q m k f m ( u ) f k ( u ) ) ,
and the functions f k ( u ) satisfy the system of differential equations of the form
f 0 ( u ) = κ 00 + κ 01 f 0 ( u ) + κ 02 f 0 2 ( u ) , f k ( u ) = κ k 1 f k ( u ) + κ k 2 f k 2 ( u ) + m = 0 k 1 ξ m k f m ( u ) f k ( u ) , k = 1 , 2 , , N . ,
The choice of differential equations in the form (51) is due to the possibility of an exact analytical solution of system (51) in quadratures. Indeed, let us rewrite the system of Equation (51) in the form
f k ( u ) = S k 1 ( u ) f k ( u ) + κ k 2 f k 2 ( u ) , S k 1 ( u ) = κ k 1 + m = 0 k 1 ξ m k f m ( u ) , k = 1 , 2 , , N . ,
Then, for each k (k = 1, 2, …, N), we have the Bernoulli equation, which admits a solution in quadratures
f k ( u ) = exp ( S k 1 ( u ) d u ) C k κ k 2 exp ( S k 1 ( u ) d u ) d u , k = 1 , 2 , , N . ,
where Ck are constants, which are found from the boundary conditions.
In accordance with the algorithm described in the previous section, for the superpotential, we take the following ansatz
φ n ( u ) = k = 0 N α k n f k ( u ) + β n .
Finally, one can obtain the following system of equations for calculating the coefficients of the superpotential and the energy spectrum by substituting the superpotential (54) into Equations (5) and (11) and then equating the coefficients at the functions f k , f m f k    ( k , m = 0 , 1 , 2 , , N ) under the assumption that the entire set of functions { f k , f m f k }    ( k , m = 0 , 1 , 2 , , N ) is linearly independent
n = 0 : κ k 1 α k 0 + 2 α k 0 β 0 = w k 1 , κ k 2 α k 0 + α k 0 2 = w k 2 , k = 0 , 1 , , N , ξ m k α k 0 + 2 α k 0 α m 0 = q m k , m = 0 , 1 , 2 , , N 1 , k > m , ε 0 = w 0 + κ 00 α 00 β 0 2 .
n 1 : κ k 1 ( α k , n + 1 + α k , n ) + 2 ( α k , n + 1 β n + 1 α k , n β n ) = 0 , κ k 2 ( α k , n + 1 + α k , n ) + ( α k , n + 1 2 α k , n 2 ) = 0 , k = 0 , 1 , , N , ξ m k ( α k , n + 1 + α k , n ) + 2 ( α k , n + 1 α m , n + 1 α k , n α m , n ) = 0 , m = 0 , 1 , 2 , , N 1 , k > m , ε n + 1 = ε n + κ 00 ( α 0 , n + 1 + α 0 , n ) ( β n + 1 2 β n 2 ) ,
From the resulting system of Equation (55), it can be seen that, to determine N + 2 unknown parameters of the superpotential αk,n, βn (k = 0, 1, 2,…, N), for each n. we have N(N + 1)/2 + 2N + 2 equations. Therefore, in the general case, the number of equations that impose constraints on the parameters of the potential is N(N + 1)/2 + N.
Before presenting the solution of the system in Equation (53) in the general case, let us consider its solution in the particular case, when κ k 2 = 0 ( k = 0 , 1 , 2 , , N ) . In this case, as it follows from (55), we obtain
ξ m k = 0 , α k , n = α k , 0 = ± w k 2 , β n = 1 2 ( w 01 α 00 + κ 01 ) + κ 01 n ,
ε n = w 0 + κ 00 α 00 ( 2 n + 1 ) ( 1 2 ( w 01 α 00 + κ 01 ) + κ 01 n ) 2 , ,
Constraint c o n d i t i o n s : w k 1 α k 0 + κ k 1 ( 2 n + 1 ) = w 01 α 00 + κ 01 ( 2 n + 1 ) , k = 1 , 2 , , N , q m k = 2 α k 0 α m 0 , m = 0 , 1 , 2 , , N , k > m . ,
Next, we present solutions to the system in Equation (55) in the general case
α k , 0 = κ k 2 2 ± κ k 2 2 4 + w k 2 , α k , n = α k , 0 + κ k 2 n , k = 0 , 1 , 2 , , N , β n = κ 01 2 κ 02 ( κ 02 n + α 00 ) + 1 2 ( w 01 w 02 κ 01 / κ 02 ) ( κ 02 n + α 00 ) , ,
ε n = w 0 + κ 00 2 ( α 00 w 02 κ 02 ) + κ 02 2 κ 00 ( κ 00 n + α 00 ) 2 1 4 ( κ 01 κ 02 ( κ 02 n + α 00 ) + ( w 01 w 02 κ 01 / κ 02 ) ( κ 02 n + α 00 ) ) 2 ,
Constraint c o n d i t i o n s : κ k 1 κ k 2 ( κ k 2 n + α k 0 ) + ( w k 1 w k 2 κ k 1 / κ k 2 ) ( κ k 2 n + α k 0 ) = κ 01 κ 02 ( κ 02 n + α 00 ) + ( w 01 w 02 κ 01 / κ 02 ) ( κ 02 n + α 00 ) , k = 1 , 2 , , N , q m k = ξ m k w k 2 κ k 2 + ( α k 0 + κ k 2 n ) { 2 α m 0 ξ m k κ k 2 α k 0 + ( 2 κ m 2 ξ m k ) n } , m = 0 , 1 , 2 , , N , k > m .
As it can be seen from (57b), the general shape of the energy spectrum coincides with the shape of the spectra (24b).
The analytical expression for the energy spectrum of model systems allows one to accurately investigate their thermodynamic properties (see Appendix A).

5. Conclusions

In this study, we continued to build a new strategy for using the factorization technique suggested in [27] to obtain exact solutions. The simplicity of the approach and the potential for algorithmizing the process of finding the exact solution to spectrum problems are its key benefits. We extended the application of the new algorithm to obtain exact solutions for potentials constructed from a set of functions. Such a generalization significantly expands the possibilities of using the proposed algorithm and creates new opportunities for finding exact solutions to more complex potentials.
This strategy is based on the representation of the superpotential as a second-order polynomial in linearly independent functions that are solutions of coupled second-order differential equations. The shape of the energy spectrum is governed by differential equations and potential forms. As a comparison of the spectra for potentials constructed from a single function and from a set of functions shows, the shape of the spectrum remains unchanged. This finding led to the conclusion that the type of differential equation satisfied by the basic generating function of the potential (in the case of many potential-generating functions, this is the function f0(u)) determines the shape of the spectrum.
The choice of potential-forming functions that satisfy Equation (51) and the form of potentials (50) are not limitations of our approach. This technique can be used for potentials constructed from functions that satisfy other types of differential equations. The method can also be used in systems with two interacting particles because, for many potentials of pair interactions, the problem can be reduced to a conditionally exactly solvable one for an effective one-particle problem [31].
A direct generalization of the factorization approach and the concept of shape invariance are impossible in the case of a many-particle quantum system that includes more than two particles [31]. This is because, for more than two particles, the sum of pairwise interactions other than harmonic or inverse square interactions is not central in the global length variable.

Author Contributions

Conceptualization, R.R.N. and A.A.K.; methodology, R.R.N. and A.A.K.; software, A.A.K.; validation, R.R.N. and A.A.K.; formal analysis, R.R.N. and A.A.K.; investigation, R.R.N. and A.A.K.; writing—original draft preparation, R.R.N. and A.A.K.; writing—review and editing, R.R.N. and A.A.K.; visualization, A.A.K.; supervision, R.R.N.; project administration, R.R.N. All authors have read and agreed to the published version of the manuscript.

Funding

This research received no external funding.

Data Availability Statement

No new data were created or analyzed in this study. Data sharing is not applicable to this article.

Acknowledgments

A.A.K. is thankful for the support from the Kazan Federal University Strategic Academic Leadership Program (Priority-2030). R.R.N. acknowledges the Ministry of Science and Higher Education of the Russian Federation for the financial support within the framework of the “Priority 2030” program.

Conflicts of Interest

The authors declare no conflict of interest.

Appendix A. Thermodynamic Properties

An analysis of the spectra obtained in this work and in [27] for exactly resolvable and conditionally exactly resolvable potentials leads to the most general form of the spectrum
E n = 2 α 2 2 m { A B ( n + q 1 ) 2 C ( n + q 2 ) 2 } , n = 0 , 1 , 2 , , n m ,
where the parameters α, A, B, C, q1,2, and nm do not depend on n and are functions of the potential parameters and, possibly, the orbital quantum number. The parameter nm can tend to infinity. The general form of the spectrum (A1), of course, as mentioned above, is written only for the case when the potential-generating functions satisfy a Riccati-type differential equation. The existence of an exact spectrum in a closed form allows the accurate study of the thermodynamic properties of systems, which are described by model potentials that admit exact consideration. The starting point for studying the thermodynamics of a system is the calculation of the partition function
Z ( β ) = n = 0 n m e β E n , β = 1 k B T .
Substituting expression (A1) into Equation (A2), we obtain the following expression for the partition function
Z ( β ) = n = 0 n m exp ( β 2 α 2 2 m { A B ( n + q 1 ) 2 C ( n + q 2 ) 2 } ) .
Replacing summation by integration in (A3), we obtain
Z ( β ) 0 n m exp ( β 2 α 2 2 m { A B ( n + q 1 ) 2 C ( n + q 2 ) 2 } ) d n .
In closed form, the integral (A4) can be calculated only in the special case q1 = q2 = q
Z ( β ) = e β ξ 1 π 4 ξ 2 β { D n m + q + ( β ) + D n m + q ( β ) D q + ( β ) D q ( β ) } , D n ± ( β ) = e ± 2 β ξ 2 ξ 3 erf [ ( ξ 2 n ± ξ 3 n ) β ] , ξ 1 = A 2 α 2 2 m ,    ξ 2 = α B 2 m , ξ 3 = α C 2 m
Here, erf[z] is error function. To facilitate further calculations, we assume that nm >> q; then, considering the asymptotic behavior of the error function for large values of the argument, erf ( z ) 1 exp ( z 2 ) / z π , then simplify the expression for the partition function (A5)
Z ( β ) = e β ξ 1 π 4 ξ 2 β { e ξ 2 2 n m 2 β π β ξ 2 n m + e 2 β ξ 2 ξ 3 erfc [ ( ξ 2 q + ξ 3 q ) β ] + e 2 β ξ 2 ξ 3 erfc [ ( ξ 2 q ξ 3 q ) β ] } .
Here, erfc ( z ) = 1 erf ( z ) . Using the partition function (A6), it is possible to determine thermodynamic functions such as the average energy U(β), heat capacity C(β), and entropy S(β):
U ( β ) = β ln Z ( β ) = ξ 1 1 2 β + 1 π β ( ξ 2 n m + 1 2 β ξ 2 n m ) e ξ 2 2 n m 2 β 2 ξ 2 q π β e ( ξ 2 2 q 2 + ξ 3 2 q 2 ) β + 2 ξ 2 ξ 3 Q ( β ) e ξ 2 2 n m 2 β π β ξ 2 n m + Q + ( β ) , Q ± ( β ) = e 2 β ξ 2 ξ 3 Erfc [ ( ξ 2 q + ξ 3 q ) β ] ± e 2 β ξ 2 ξ 3 Erfc [ ( ξ 2 q ξ 3 q ) β ] ,
C ( β ) = k B β 2 β U ( β ) = k B 2 + k B β 2 ( 1 π β ( ξ 2 n m + 1 2 β ξ 2 n m ) e ξ 2 2 n m 2 β 2 ξ 2 q π β e ( ξ 2 2 q 2 + ξ 3 2 q 2 ) β + 2 ξ 2 ξ 3 Q ( β ) ) 2 ( e ξ 2 2 n m 2 β π β ξ 2 n m + Q + ( β ) ) 2 k B β 2 1 π β 3 ( ξ 2 n m + 3 4 β ξ 2 n m + β ( ξ 2 n m ) 3 ) e ξ 2 2 n m 2 β + 2 ξ 2 ξ 3 ( 2 ξ 2 q π β e ( ξ 2 2 q 2 + ξ 3 2 q 2 ) β + 2 ξ 2 ξ 3 Q + ( β ) ) e ξ 2 2 n m 2 β π β ξ 2 n m + Q + ( β ) ,
S ( β ) = ln Z ( β ) + β U ( β ) .
As a demonstration of the results obtained above, we analyze the thermodynamic properties of the system described by the spectrum (46). Accepting in (A6)–(A9) the A = 2 E h Z λ s , B = E h λ s 2 , C = E h Z 2 , we obtain the following expressions for the thermodynamic quantities of the screened Coulomb potential
Z ( β ) = π 4 λ s E h β { e 4 β E h λ s Z erfi [ 2 E h β λ s Z ] erfi [ E h β ( λ s Z ) ] e 4 β E h λ s Z erfi [ E h β ( λ s + Z ) ] } ,
U ( β ) = 1 2 β 4 E h λ s Z + 2 e β E h ( λ s Z ) 2 λ s E h / β E h λ s Z / β + π 2 E h λ s Z erfi [ E h β ( λ s Z ) ] π ( e 4 β E h λ s Z erfi [ 2 E h β λ s Z ] + erfi [ E h β ( λ s Z ) ] + e 4 β E h λ s Z erfi [ E h β ( λ s + Z ) ] ) ,
C ( β ) = 1 2 + 4 ( e β E h ( λ s + Z ) 2 E h β λ s e 4 β E h λ s Z E h β λ s Z + 2 π E h β λ s Z e 4 β E h λ s Z erfi [ E h β ( λ s Z ) ] ) 2 π ( erfi [ 2 E h β λ s Z ] e 4 β E h λ s Z erfi [ E h β ( λ s Z ) ] erfi [ E h β ( λ s + Z ) ] ) 2 + + ( e 4 β E h λ s Z E h β λ s Z ( 1 + 8 E h β λ s Z ) + e β E h ( λ s + Z ) 2 λ s E h β ( 1 + 2 E h β ( λ s 2 + 4 λ s Z Z 2 ) ) + 16 π β 2 E h 2 Z 3 / 2 λ s 2 e 4 β E h λ s Z erfi [ E h β ( λ s Z ) ] π ( erfi [ 2 E h β λ s Z ] e 4 β E h λ s Z erfi [ E h β ( λ s Z ) ] erfi [ E h β ( λ s + Z ) ] ) ,
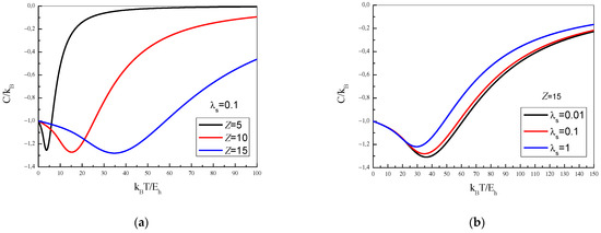
Here, erfi [ z ] = i erf [ i z ] . In Figure A1, for demonstration, the temperature dependences of the heat capacity (A12) are shown for some parameter values Z и λs.
Figure A1. Temperature dependences of the heat capacity of a system with a screened Coulomb potential for various values of the charge number Z (a) and various values of the screening parameter (b).
Figure A1. Temperature dependences of the heat capacity of a system with a screened Coulomb potential for various values of the charge number Z (a) and various values of the screening parameter (b).
Mathematics 11 03822 g0a1
Thus, the possibility of determining the exact spectrum of model systems makes it possible to describe their thermodynamic properties with good accuracy.

References

  1. Infeld, L.; Hull, T.E. The factorization method. Rev. Mod. Phys. 1951, 23, 21. [Google Scholar] [CrossRef]
  2. Dong, S.H. Factorization Method in Quantum Mechanics; Springer Science & Business Media: Amsterdam, The Netherlands, 2007; Volume 150. [Google Scholar]
  3. Serrano, F.A.; Gu, X.Y.; Dong, S.H. Qiang–Dong proper quantization rule and its applications to exactly solvable quantum systems. J. Math. Phys. 2010, 51, 082103. [Google Scholar] [CrossRef]
  4. Turbiner, A.V.; Ushveridze, A.G. Spectral singularities and quasi-exactly solvable quantal problem. Phys. Lett. A 1987, 126, 181–183. [Google Scholar] [CrossRef]
  5. Turbiner, A.V. Quasi-exactly-solvable problems and sl (2) algebra. Commun. Math. Phys. 1988, 118, 467–474. [Google Scholar] [CrossRef]
  6. Gonzalez-Lopez, A.; Kamran, N.; Olver, P.J. Normalizability of one-dimensional quasi-exactly solvable Schrödinger operators. Commun. Math. Phys. 1993, 153, 117–146. [Google Scholar] [CrossRef]
  7. Ushveridze, A.G. Quasi-Exactly Solvable Models in Quantum Mechanics; CRC Press: Bristol, UK, 2017. [Google Scholar]
  8. de Souza Dutra, A. Conditionally exactly soluble class of quantum potentials. Phys. Rev. A 1993, 47, R2435. [Google Scholar] [CrossRef]
  9. Dutt, R.; Khare, A.; Varshni, Y.P. New class of conditionally exactly solvable potentials in quantum mechanics. J. Phys. A Math. Gen. 1995, 28, L107. [Google Scholar] [CrossRef]
  10. Junker, G.; Roy, P. Conditionally exactly solvable problems and non-linear algebras. Phys. Lett. A 1997, 232, 155–161. [Google Scholar] [CrossRef]
  11. Zhang, Y.Z. Exact polynomial solutions of second order differential equations and their applications. J. Phys. A Math. Theor. 2012, 45, 065206. [Google Scholar] [CrossRef]
  12. Agboola, D.; Zhang, Y.Z. Unified derivation of exact solutions for a class of quasi-exactly solvable models. J. Math. Phys. 2012, 53, 042101. [Google Scholar] [CrossRef]
  13. Quesne, C. Point canonical transformation versus deformed shape invariance for position-dependent mass Schrödinger equations. SIGMA Symmetry Integr. Geom. Methods Appl. 2009, 5, 046. [Google Scholar] [CrossRef]
  14. Gangopadhyaya, A.; Khare, A.; Sukhatme, U.P. Methods for generating quasi-exactly solvable potentials. Phys. Lett. A 1995, 208, 261–268. [Google Scholar] [CrossRef]
  15. Chakrabarti, B.; Das, T.K. Existence of conditional shape invariance symmetry for singular power potential V(r) = a/(r^2) + b/(r^4) + c/(r^6). J. Phys. A Math. Gen. 2002, 35, 4701. [Google Scholar] [CrossRef]
  16. Chakrabarti, B. Energy eigenvalues of a quantum anharmonic oscillator from supersymmetry: The concept of conditional shape-invariance symmetry. J. Phys. A Math. Theor. 2008, 41, 405301. [Google Scholar] [CrossRef]
  17. Bera, S.; Chakrabarti, B.; Das, T.K. Application of conditional shape invariance symmetry to obtain the eigen-spectrum of the mixed potential V (r)= ar+ br^2+ c/r+ l (l+ 1)/r^2. Phys. Lett. A 2017, 381, 1356–1361. [Google Scholar] [CrossRef][Green Version]
  18. Sun, G.H.; Chen, C.Y.; Taud, H.; Yáñez-Márquez, C.; Dong, S.H. Exact solutions of the 1D Schrödinger equation with the Mathieu potential. Phys. Lett. A 2020, 384, 126480. [Google Scholar] [CrossRef]
  19. Schrödinger, E. A method of determining quantum-mechanical eigenvalues and eigenfunctions. Proc. R. Ir. Acad. A 1940, 46, 9–16. [Google Scholar]
  20. Schrödinger, E. Further studies on solving eigenvalue problems by factorization. Proc. R. Ir. Acad. Sect. A Math. Phys. Sci. 1941, 46, 183–206. [Google Scholar]
  21. Schrödinger, E. The factorization of the hypergeometric equation. Proc. R. Ir. Acad. A 1941, 47, 53–54. [Google Scholar]
  22. Witten, E. Dynamical breaking of supersymmetry. Nucl. Phys. B 1981, 188, 513–554. [Google Scholar] [CrossRef]
  23. Gendenshteïn, L.É. Derivation of exact spectra of the Schrödinger equation by means of supersymmetry. JETP Lett. 1983, 38, 356–359. [Google Scholar]
  24. Cooper, F.; Khare, A.; Sukhatme, U. Supersymmetry and quantum mechanics. Phys. Rep. 1995, 251, 267–385. [Google Scholar] [CrossRef]
  25. Cooper, F.; Khare, A.; Sukhatme, U. Superymmetry in Quantum Mechanics; World Scientific: Singapore, 2001. [Google Scholar]
  26. Bagchi, B.K. Supersymmetry in Quantum and Classical Mechanics; Chapman & Hall: Boca Raton, FL, USA, 2001. [Google Scholar]
  27. Nigmatullin, R.R.; Khamzin, A.A.; Baleanu, D. Unification and extension of the factorization method for constructing exactly and conditionally-exactly solvable potentials. The case of a single potential generating function. Results Phys. 2022, 41, 105945. [Google Scholar] [CrossRef]
  28. Znojil, M. Analytic green function and bound states for the screened coulomb potential V (r)= F/(r^2)+ G/r+ H/(r+ z^2). Phys. Lett. A 1983, 94, 120–124. [Google Scholar] [CrossRef]
  29. Mehta, C.H.; Patil, S.H. Nonperturbative approach to screened Coulomb potentials. Phys. Rev. A 1978, 17, 34. [Google Scholar] [CrossRef]
  30. Pratt, R.H.; Tseng, H.K. Behavior of electron wave functions near the atomic nucleus and normalization screening theory in the atomic photoeffect. Phys. Rev. A 1972, 5, 1063. [Google Scholar] [CrossRef]
  31. Chakrabarti, B.; Das, T.K. Conditionally exactly solvable singular even power potential in supersymmetric quantum mechanics. Mod. Phys. Lett. A 2002, 17, 1367–1375. [Google Scholar] [CrossRef]
Figure 1. Coordinate dependences of the screened Coulomb potential (41) for different values of screening parameter λs (a) and parameter θ = Z / Z (b).
Figure 1. Coordinate dependences of the screened Coulomb potential (41) for different values of screening parameter λs (a) and parameter θ = Z / Z (b).
Mathematics 11 03822 g001
Table 1. Expressions for function f1(u) satisfying Equation (17) when choosing a function from set (19).
Table 1. Expressions for function f1(u) satisfying Equation (17) when choosing a function from set (19).
f0(u)f1(u)
u ( C exp ( κ 11 u ξ 01 u 2 / 2 ) κ 12 2 ξ 01 π F ( κ 11 + ξ 01 u 2 ξ 01 ) ) 1
F(u) is the Dawson function
1 u u ξ 01 e κ 11 u ( C + κ 12 Γ ( ξ 01 + 1 , κ 11 u ) ) 1
Γ ( a , u ) is the incomplete gamma function
e u exp ( ξ 01 e u + κ 11 u ) ( C κ 12 exp ( ξ 01 e u + κ 11 u ) ) 1
tan ( a u + b ) e κ 11 u ( cos ( a u + b ) ) ξ 01 / a C κ 12 e κ 11 u ( cos ( a u + b ) ) ξ 01 / a d u
1 e u q ( C exp ( ( κ 11 + ξ 01 / q ) u ) ( e u q ) ξ 01 / q + κ 12 ( e u q ) κ 11 q + ξ 01 F 1 2 ( 1 , 1 + κ 11 , 1 + κ 11 + ξ 01 / q , q 1 e u ) ) 1
F 1 2 ( a , b , c , z ) is the hypergeometric function
Table 2. Possible types of linear relationship between functions from a set { f 0 , f 1 , f 0 2 , f 1 2 , f 0 f 1 } .
Table 2. Possible types of linear relationship between functions from a set { f 0 , f 1 , f 0 2 , f 1 2 , f 0 f 1 } .
Parameter Values Linear   Dependence   among   { f 0 , f 1 , f 0 2 , f 1 2 , f 0 f 1 } .Possible Choice for Function f0(u)Possible Expressions for the Function f1(u)
κ 00 = κ 01 = κ 11 = 0 , ξ 01 = 0 f 0 f 1 = 1 C ( κ 02 f 0 κ 12 f 1 ) 1 u 1 u + p
κ 11 = κ 01 , ξ 01 = 2 κ 02 κ 12 f 0 f 1 = C f 1 κ 00 κ 01 f 0 κ 02 f 0 2 u 1 u + p
1 u 1 u 2 + p u
e u 1 e u + p
1 e u q 1 e u + p
tan ( a u + b ) 1 tan ( a u + b ) + p
κ 00 = 0 , κ 11 = m κ 01 , ξ 01 = κ 02 , κ 12 = 0 m = 2 : κ 02 f 0 f 1 = C f 0 2 κ 01 f 1 . 1 u , 1 e u q u , e u
m = 1 : f 0 f 1 = C ( κ 01 + κ 02 f 0 ) 2 . e u , 1 e u q e u
m = 1 / 2 : f 1 2 = C ( κ 01 f 0 + κ 02 f 0 2 ) . e u , 1 e u q e u / 2 , 1 e u / 2 q e u / 2
κ 01 = κ 11 = κ 12 = 0 , ξ 01 = κ 02 f 1 2 = C ( κ 00 + κ 02 f 0 2 ) tan ( a u + b ) 1 cos ( a u + b )
Disclaimer/Publisher’s Note: The statements, opinions and data contained in all publications are solely those of the individual author(s) and contributor(s) and not of MDPI and/or the editor(s). MDPI and/or the editor(s) disclaim responsibility for any injury to people or property resulting from any ideas, methods, instructions or products referred to in the content.

Share and Cite

MDPI and ACS Style

Nigmatullin, R.R.; Khamzin, A.A. Unified Algorithm of Factorization Method for Derivation of Exact Solutions from Schrödinger Equation with Potentials Constructed from a Set of Functions. Mathematics 2023, 11, 3822. https://doi.org/10.3390/math11183822

AMA Style

Nigmatullin RR, Khamzin AA. Unified Algorithm of Factorization Method for Derivation of Exact Solutions from Schrödinger Equation with Potentials Constructed from a Set of Functions. Mathematics. 2023; 11(18):3822. https://doi.org/10.3390/math11183822

Chicago/Turabian Style

Nigmatullin, Raoul R., and Airat A. Khamzin. 2023. "Unified Algorithm of Factorization Method for Derivation of Exact Solutions from Schrödinger Equation with Potentials Constructed from a Set of Functions" Mathematics 11, no. 18: 3822. https://doi.org/10.3390/math11183822

APA Style

Nigmatullin, R. R., & Khamzin, A. A. (2023). Unified Algorithm of Factorization Method for Derivation of Exact Solutions from Schrödinger Equation with Potentials Constructed from a Set of Functions. Mathematics, 11(18), 3822. https://doi.org/10.3390/math11183822

Note that from the first issue of 2016, this journal uses article numbers instead of page numbers. See further details here.

Article Metrics

Back to TopTop