Stability and Convergence Analysis of Multi-Symplectic Variational Integrator for Nonlinear Schrödinger Equation
Abstract
1. Introduction
2. Multi-Symplectic Variational Integrator for Nonlinear Schrdinger Equation with Variable Coefficients
3. Stability of the Multi-Symplectic Variational Integrator
4. Convergence Analysis of the Multi-Symplectic Variational Integrator
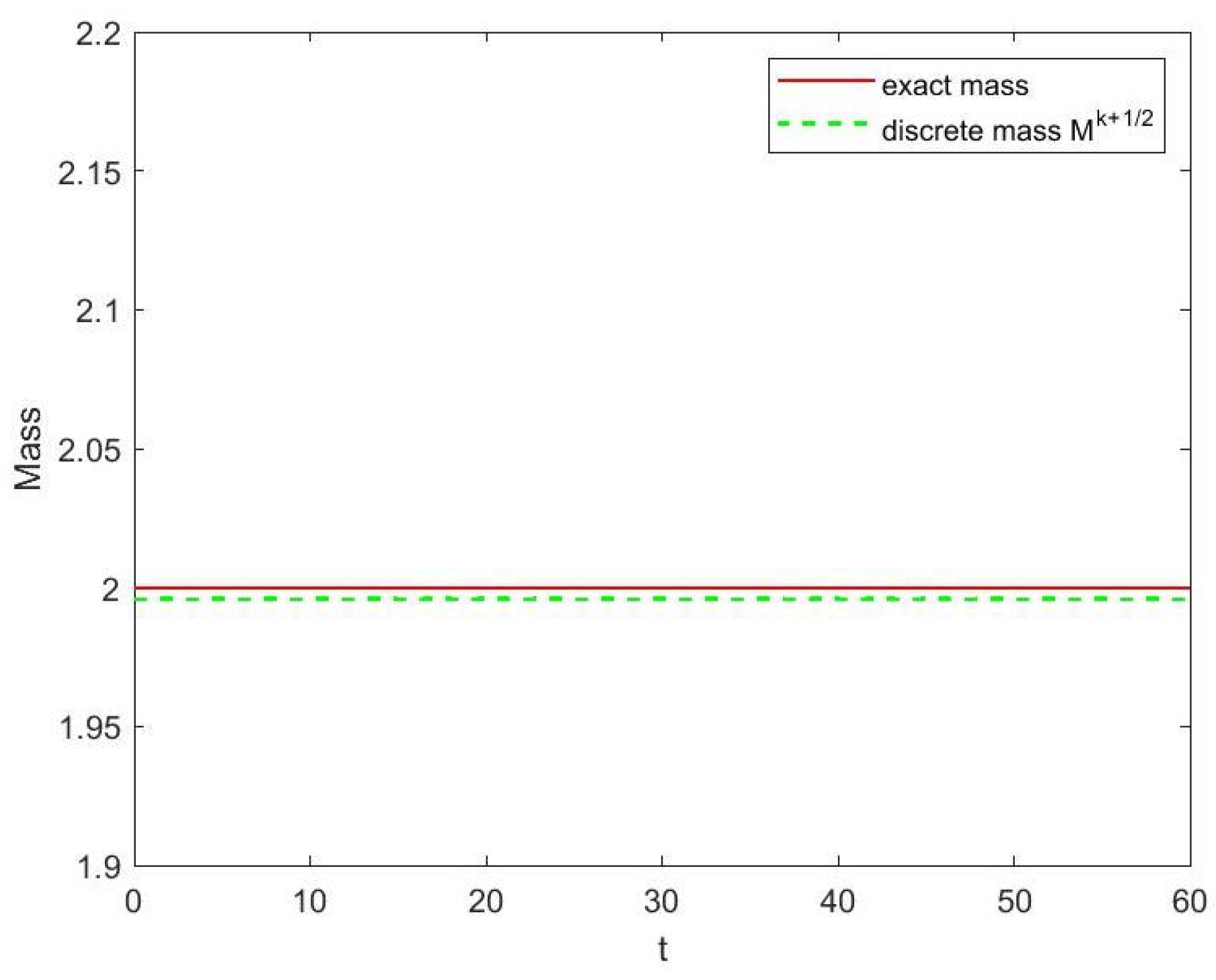
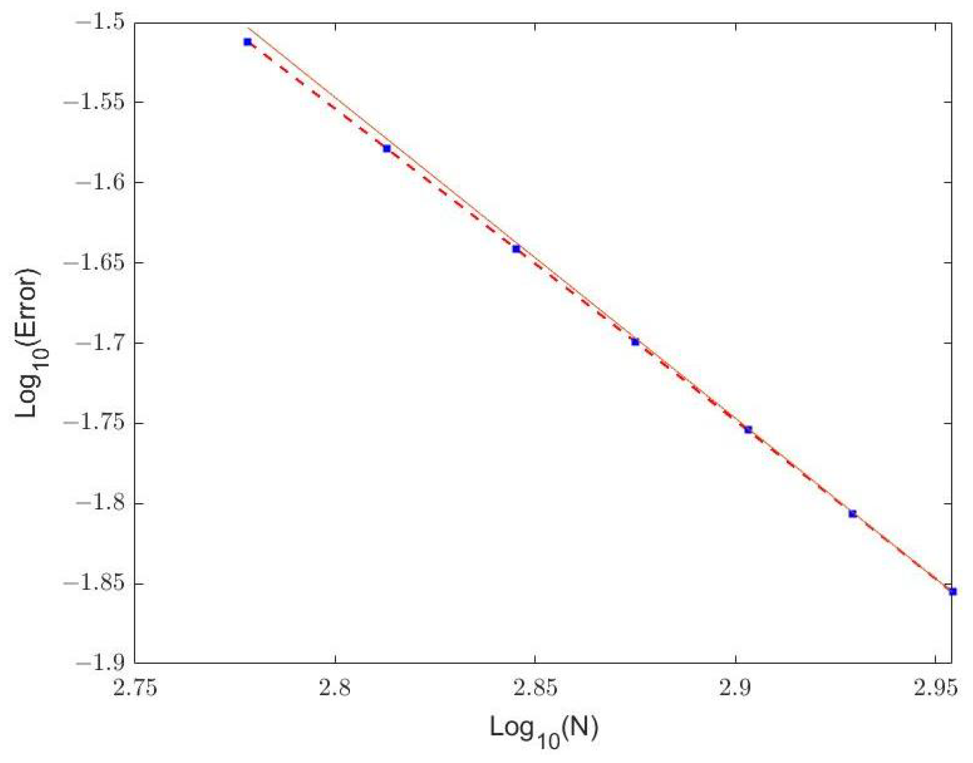
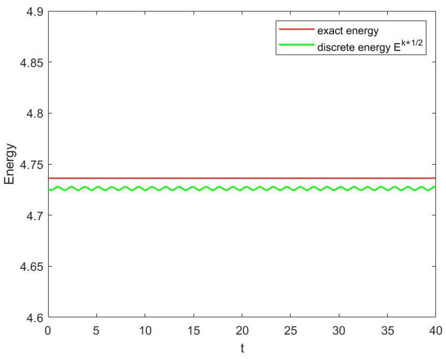
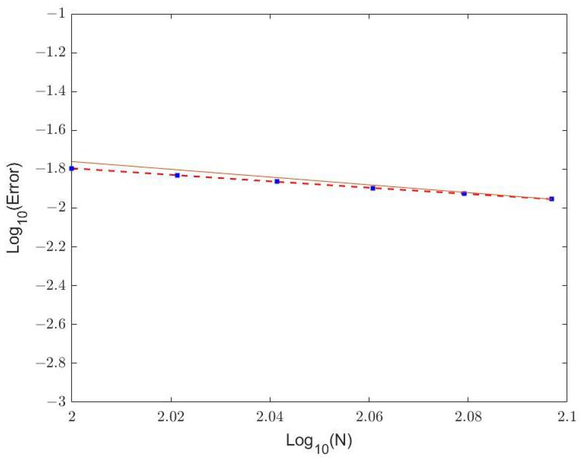
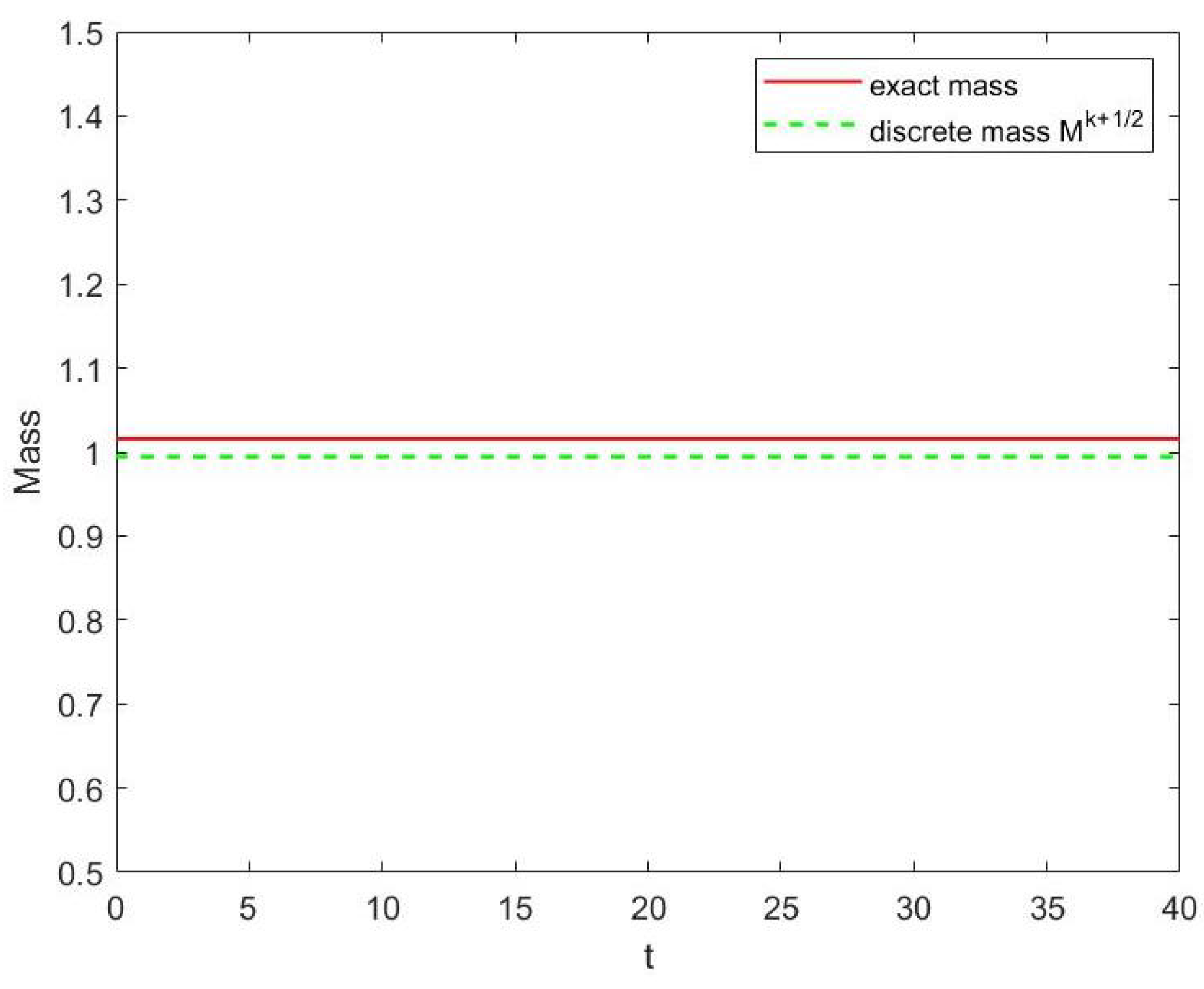
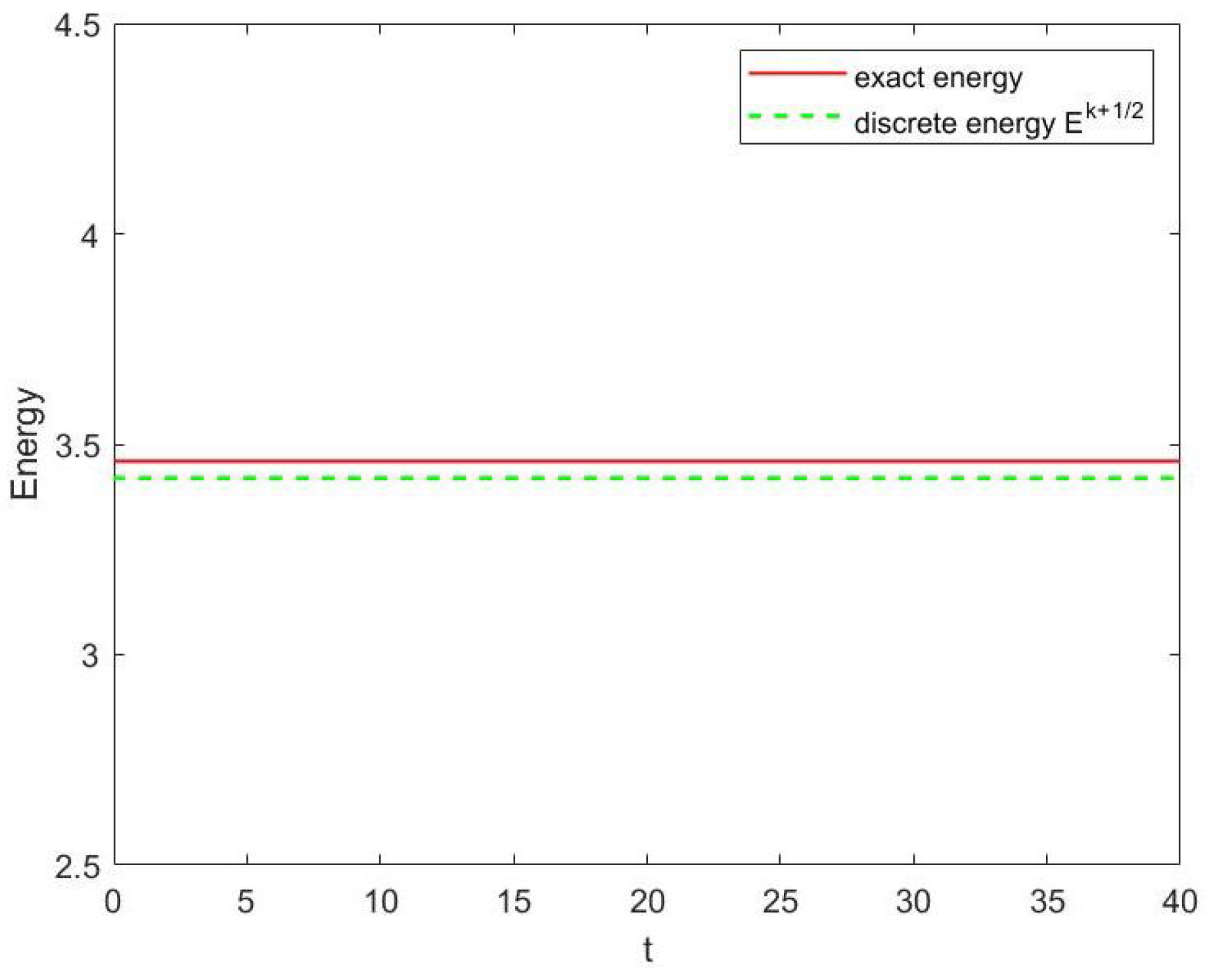
5. Numerical Examples
6. Conclusions
Author Contributions
Funding
Data Availability Statement
Conflicts of Interest
References
- Zhu, Y.; Zabaras, N.; Koutsourelakis, P.S.; Perdikaris, P. Physics-constrained deep learning for high-dimensional surrogate modeling and uncertainty quantification without labeled data. J. Comput. Phys. 2019, 394, 56–81. [Google Scholar] [CrossRef]
- Altman, M. Contractor directions and monotone operators. J. Integr. Equ. 1979, 1, 17–33. [Google Scholar]
- Popov, V.N. Functional Integrals in Quantum Field Theory and Statistical Phyics; Springer: Dordrecht, The Netherlands, 1983. [Google Scholar]
- Agrawal, G.P. Nonlinear Fiber Optics. In Nonlinear Science at the Dawn of the 21st Century; Christiansen, P.L., Sørensen, M.P., Scott, A.C., Eds.; Springer: Berlin/Heidelberg, Germany, 2000; pp. 195–211. [Google Scholar]
- Keller, J.B. Survey of Wave propagation and underwater acoustics. In Wave Propagation and Underwater Acoustics; Keller, J.B., Papadakis, J.S., Eds.; Springer: Berlin/Heidelberg, Germany, 1977; pp. 1–13. [Google Scholar]
- Wang, J.; Jin, J.; Tian, Z. Two-grid finite element method with Crank-Nicolson fully discrete scheme for the time-dependent Schrödinger equation. Numer. Math. Theor. Meth. Appl. 2020, 13, 334–352. [Google Scholar]
- Yuen, H.C.; Lake, B.M. Instabilities of waves on deep water. Annu. Rev. Fluid. Mech. 1980, 12, 303–334. [Google Scholar] [CrossRef]
- Zakharov, V.E. Stability of periodic waves of finite amplitude on the surface of a deep fluid. J. Appl. Mech. Tech. Phys. 1968, 9, 190–194. [Google Scholar] [CrossRef]
- Wang, L.; Li, M. Galerkin finite element method for damped nonlinear Schrödinger equation. Appl. Numer. Math. 2022, 178, 219–247. [Google Scholar] [CrossRef]
- Hasegawa, A.; Kodama, Y. Solitons in Optical Communications; Oxford University: New York, NY, USA, 1995. [Google Scholar]
- Henning, P.; Wärnegård, J. Numerical comparison of mass-conservative schemes for the Gross-Pitaevskii equation. Kinet. Relat. Models 2019, 12, 1247–1271. [Google Scholar] [CrossRef]
- He, S.; Liu, Y.; Li, H. A time two-mesh compact difference method for the one-dimensional nonlinear Schrödinger equation. Entropy 2022, 24, 806. [Google Scholar] [CrossRef]
- Antoine, X.; Bao, W.; Besse, C. Computational methods for the dynamics of the nonlinear Schrödinger/Gross-Pitaevskii equations. Comput. Phys. Commun. 2013, 184, 2621–2633. [Google Scholar] [CrossRef]
- Erdős, L.; Schlein, B.; Yau, H. Derivation of the cubic non-linear Schrödinger equation from quantum dynamics of many-body systems. Invent. Math. 2007, 167, 515–614. [Google Scholar] [CrossRef]
- Bao, W.; Cai, Y. Mathematical theory and numerical methods for Bose-Einstein condensation. Kinet. Relat. Models 2013, 6, 1–135. [Google Scholar] [CrossRef]
- Nordbrock, U.; Kienzler, R. Conservation laws derived by the Neutral-Action method. Eur. Phys. J. D 2007, 44, 407–410. [Google Scholar] [CrossRef]
- Marsden, J.E.; Patrick, G.W.; Shkoller, S. Multisymplectic geometry, variational integrators, and nonlinear PDEs. Commun. Math. Phys. 1998, 199, 351–403. [Google Scholar] [CrossRef]
- Marsden, J.E.; West, M. Discrete mechanics and variational integrators. Acta Numer. 2001, 10, 357–514. [Google Scholar] [CrossRef]
- Liao, C.; Cui, J.; Liang, J.; Ding, X. Multi-symplectic variational integrators for nonlinear Schrödinger equations with variable coefficients. Chin. Phys. B 2016, 25, 010205. [Google Scholar] [CrossRef]
- Cai, W.; He, D.; Pan, K. A linearized energy-conservative finite element method for the nonlinear Schrödinger equation with wave operator. Appl. Numer. Math. 2019, 140, 183–198. [Google Scholar] [CrossRef]
- Taha, T.R.; Ablowitz, M.I. Analytical and numerical aspects of certain nonlinear evolution equations. II. Numerical nonlinear Schrödinger equation. J. Comput. Phys. 1984, 55, 203–230. [Google Scholar] [CrossRef]
- Paasonen, V.I.; Fedoruk, M.P. A compact dissipative scheme for nonlinear Schrödinger equation. Comput. Tech. 2011, 16, 68–73. [Google Scholar]
- Zhang, G.; Huang, C.; Li, M. A mass-energy preserving Galerkin FEM for the coupled nonlinear fractional Schrödinger equations. Eur. Phys. J. 2018, 133, 155. [Google Scholar]
- Bai, D.; Wang, J. The time-splitting Fourier spectral method for the coupled Schrödinger-Boussinesq equations. Commun. Nonlinear Sci. Numer. Simul. 2012, 17, 1201–1210. [Google Scholar] [CrossRef]
- Xu, Z.; Cai, W.; Liang, C.; Wang, Y. On the L∞ convergence of a conservative Fourier pseudo-spectral method for the space fractional nonlinear Schrödinger equation. Numer. Methods Partial. Differ. Equ. 2021, 37, 1591–1611. [Google Scholar] [CrossRef]
- Iqbal, A.; Abd Hamid, N.N.; Md. Ismail, A.I. Soliton solution of Schrödinger equation using cubic B-spline Galerkin method. Fluids 2019, 4, 108. [Google Scholar] [CrossRef]
- Arora, G.; Rani, R.; Emadifar, H. Numerical solutions of nonlinear Schrödinger equation with applications in optical fiber communication. Optik 2022, 266, 169661. [Google Scholar] [CrossRef]
- Hu, H. Lp error estimate of nonlinear Schrödinger equation using a two-grid finite element method. Numer. Methods Partial. Differ. Equ. 2023, 39, 2865–2884. [Google Scholar] [CrossRef]
- Li, Y.; Luo, Q.; Feng, Q. The convergence of symmetric discretization models for nonlinear Schrödinger equation in dark solitons’ motion. Symmetry 2023, 15, 1229. [Google Scholar] [CrossRef]
- Shishina, M.I. A nonlinear Schrödinger equation for gravity-capillary waves on deep water with constant vorticity. Fluid Dyn. 2023, 58, 72–83. [Google Scholar] [CrossRef]
- Ignat, L.I.; Zuazua, E. Numerical dispersive schemes for the nonlinear Schrödinger equation. SIAM J. Numer. Anal. 2009, 47, 1366–1390. [Google Scholar] [CrossRef]
- Zhang, H.; Yin, J.; Jin, J. A two-grid finite-volume method for the Schrödinger equation. Adv. Appl. Math. Mech. 2021, 13, 176–190. [Google Scholar]
- Chen, C.; Lou, Y.; Hu, H. Two-grid finite volume element method for the time-dependent Schrödinger equation. Comput. Math. Appl. 2022, 108, 185–195. [Google Scholar] [CrossRef]
- Li, M.; Zhao, J.; Wang, N.; Chen, S. Conforming and nonconforming conservative virtual element methods for nonlinear Schrödinger equation: A unified framework. Comput. Methods Appl. Mech. Eng. 2021, 380, 113793. [Google Scholar] [CrossRef]
- Vankerschaver, J.; Liao, C.; Leok, M. Generating functionals and Lagrangian partial differential equations. J. Math. Phys. 2013, 54, 082901. [Google Scholar] [CrossRef]
- Leok, M.; Zhang, J. Discrete Hamiltonian variational integrators. IMA J. Numer. Anal. 2011, 31, 1497–1532. [Google Scholar] [CrossRef]
- Liu, S.; Liu, C.; Guo, Y. Geometric formulations and variational integrators of discrete autonomous Birkhoff systems. Chin. Phys. B 2011, 20, 034501. [Google Scholar] [CrossRef]
- Landes, R. On Galerkin’s method in the existence theory of quasilinear elliptic equations. J. Funct. Anal. 1980, 39, 123–148. [Google Scholar] [CrossRef][Green Version]
- Akrivis, G.D.; Dougalis, V.A.; Karakashian, O.A. On fully discrete Galerkin methods of second-order temporal accuracy for the nonlinear Schrödinger equation. Numer. Math. 1991, 59, 31–53. [Google Scholar] [CrossRef]
- Liao, C.; Shen, W.; Ding, X. Multi-symplectic variational integrators for the Gross-Pitaevskii equations in BEC. Appl. Math. Lett. 2016, 60, 120–125. [Google Scholar] [CrossRef]
- Zhou, Y. Applications of Discrete Functional Analysis to Finite Difference Method; International Academic: Beijing, China, 1990. [Google Scholar]
- Bao, W.; Cai, Y. Uniform error estimates of finite difference methods for the nonlinear Schrödinger equation with wave operator. SIAM J. Numer. Anal. 2012, 50, 492–521. [Google Scholar] [CrossRef]
- Li, X.; Qian, X.; Tang, L.; Song, S. A high-order conservative numerical method for Gross-Pitaevskii equation with time-varying coefficients in modeling BEC. Chin. Phys. Lett. 2017, 34, 060202. [Google Scholar] [CrossRef]
- Trofimov, V.A.; Peskov, N.V. Comparison of finite-difference schemes for the Gross-Pitaevskii equation. Math. Model. Anal. 2009, 14, 109–126. [Google Scholar] [CrossRef]











| Error | Order | Error | Order | |
|---|---|---|---|---|
| 0.2 | 1.3696 × 10 | − | 6.4490 × 10 | − |
| 0.1 | 3.2897 × 10 | 2.0577 | 1.7133 × 10 | 1.9123 |
| 0.05 | 7.8179 × 10 | 2.0731 | 3.9849 × 10 | 2.1042 |
| 0.025 | 1.7273 × 10 | 2.1783 | 9.3160 × 10 | 2.0968 |
| Error | Order | Error | Order | |
|---|---|---|---|---|
| 0.2 | 3.7257 × 10 | − | 1.1961 × 10 | − |
| 0.1 | 9.7965 × 10 | 1.9272 | 3.8205 × 10 | 1.6465 |
| 0.05 | 2.3969 × 10 | 2.0311 | 1.1173 × 10 | 1.7737 |
| 0.025 | 5.7507 × 10 | 2.0594 | 2.9607 × 10 | 1.9160 |
| Error | Order | Error | Order | |
|---|---|---|---|---|
| /4 | 5.1709 × 10 | − | 9.3577 × 10 | − |
| /8 | 1.3624 × 10 | 1.9243 | 2.6002 × 10 | 1.8475 |
| /16 | 3.2335 × 10 | 2.0750 | 6.6999 × 10 | 1.9564 |
| /32 | 8.2855 × 10 | 1.9644 | 1.7040 × 10 | 1.9752 |
Disclaimer/Publisher’s Note: The statements, opinions and data contained in all publications are solely those of the individual author(s) and contributor(s) and not of MDPI and/or the editor(s). MDPI and/or the editor(s) disclaim responsibility for any injury to people or property resulting from any ideas, methods, instructions or products referred to in the content. |
© 2023 by the authors. Licensee MDPI, Basel, Switzerland. This article is an open access article distributed under the terms and conditions of the Creative Commons Attribution (CC BY) license (https://creativecommons.org/licenses/by/4.0/).
Share and Cite
Lv, S.; Nie, Z.; Liao, C. Stability and Convergence Analysis of Multi-Symplectic Variational Integrator for Nonlinear Schrödinger Equation. Mathematics 2023, 11, 3788. https://doi.org/10.3390/math11173788
Lv S, Nie Z, Liao C. Stability and Convergence Analysis of Multi-Symplectic Variational Integrator for Nonlinear Schrödinger Equation. Mathematics. 2023; 11(17):3788. https://doi.org/10.3390/math11173788
Chicago/Turabian StyleLv, Siqi, Zhihua Nie, and Cuicui Liao. 2023. "Stability and Convergence Analysis of Multi-Symplectic Variational Integrator for Nonlinear Schrödinger Equation" Mathematics 11, no. 17: 3788. https://doi.org/10.3390/math11173788
APA StyleLv, S., Nie, Z., & Liao, C. (2023). Stability and Convergence Analysis of Multi-Symplectic Variational Integrator for Nonlinear Schrödinger Equation. Mathematics, 11(17), 3788. https://doi.org/10.3390/math11173788
