Calculation of the Magnetic Field of a Current-Carrying System
Abstract
:1. Introduction
2. Method for Calculating the Magnetic Field for a Three-Dimensional System
3. Method for Calculating the Magnetic Field for an Axisymmetric System
4. Verification of Expressions for Magnetic Field on a Graphics Accelerator
4.1. Calculation of the Magnetic Field in a Cylinder and a Ring
4.2. Calculation of the Magnetic Field in a Frustrum
4.3. Calculation of the Magnetic Field in a Hemisphere
5. Results of Calculations for a Three-Dimensional System
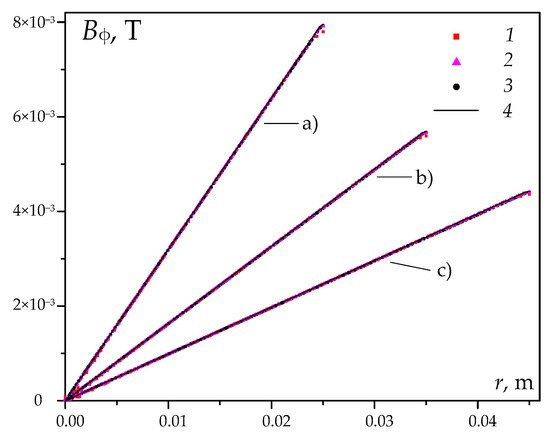
5.1. Results of Calculations in 3D-Cylinder with Ring
5.2. Results of Calculations in 3D-Frustum
5.3. Results of Calculations in 3D-Hemisphere
5.4. Perfomance in 3D-Cases
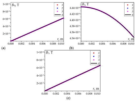
6. Results of Numerical Calculations for an Axisymmetric System
7. Notes on Using Commercial Codes
8. Conclusions
Author Contributions
Funding
Data Availability Statement
Acknowledgments
Conflicts of Interest
References
- Zhao, F.; Wang, W.; Zhou, W.; Zhou, X. Analytical model for calculation of the magnetic field of triaxial uniform coils in magnetically shielded cylinder. J. Phys. D Appl. Phys. 2022, 55, 345005. [Google Scholar] [CrossRef]
- Bojarevish, V.; Freibergs, Y.; Shilova, E.I.; Shcherbinin, E.V. Electrically Induced Vortical Flows; Kluwer Academic Publishers: Dordrecht, The Netherland; Boston, MA, USA; London, UK, 1989. [Google Scholar]
- Frick, P.; Mandrykin, S.; Eltishchev, V.; Kolesnichenko, I. Electro-vortex flows in a cylindrical cell under axial magnetic field. J. Fluid Mech. 2022, 949, A20. [Google Scholar] [CrossRef]
- Wu, S.; Zhang, X.; Wang, R.; Li, T. Progress and perspectives of liquid metal batteries. Energy Storage Mater. 2023, 57, 205–227. [Google Scholar] [CrossRef]
- Liu, G.; Kim, J.; Wang, M.; Woo, J.; Wang, L.; Zou, D.; Lee, J. Soft, Highly Elastic, and Discharge-Current-Controllable Eutectic Gallium–Indium Liquid Metal–Air Battery Operated at Room Temperature. Adv. Energy Mater. 2018, 8, 1703652. [Google Scholar] [CrossRef]
- Mikhailov, E.A.; Andreasyan, R.R. Initial Galactic Magnetic Fields and the Biermann Battery Mechanism. Astron. Rep. 2021, 65, 715–722. [Google Scholar] [CrossRef]
- Isakovic, J.; Dobbs-Dixon, I.; Chaudhury, D.; Mitrecic, D. Modeling of inhomogeneous electromagnetic fields in the nervous system: A novel paradigm in understanding cell interactions, disease etiology and therapy. Sci Rep. 2018, 8, 12909. [Google Scholar] [CrossRef] [PubMed]
- Yachikov, I.; Karandaeva, O.; Larina, T. Simulation of Electrovortex Flows in the Bath of the DC Electric Arc Furnace; NMSTU: Magnitogorsk, Russia, 2008; p. 231. [Google Scholar]
- Malyshev, K.; Mikhailov, E.; Teplyakov, I. Rapidly Convergent Series for Solving the Electrovortex Flow Problem in a Hemispherical Vessel. Comput. Math. Math. Phys. 2022, 62, 1158–1170. [Google Scholar] [CrossRef]
- Kharicha, A.; Teplyakov, I.; Ivochkin, Y.; Wu, M.; Ludwig, A.; Guseva, A. Experimental and numerical analysis of free surface deformation in an electrically driven flow. Exp. Therm. Fluid Sci. 2015, 62, 192–201. [Google Scholar] [CrossRef]
- Teplyakov, I.; Vinogradov, D.; Ivochkin, Y. Experimental Study of the Velocity of the Electrovortex Flow of In-Ga-Sn in Hemispherical Geometry. Metals 2021, 11, 1806. [Google Scholar] [CrossRef]
- Shcherbinin, E. Induction-free approximation in the theory of electrovortex flows. Magnetohydrodynamics 1991, 27, 308–311. [Google Scholar]
- Teplyakov, I.; Vinogrdov, D.; Ivochkin, Y.; Kharicha, A.; Serbin, P. Applicability of different MHD approximations in electrovortex flow simulation. Magnetohydrodynamics 2018, 54, 403–416. [Google Scholar] [CrossRef]
- Vinogradov, D.; Ivochkin, Y.; Teplyakov, I. Influence of the Earth’s Magnetic Field on the Structure of the Electrovortex Flow. Dokl. Phys. 2018, 483, 24–27. [Google Scholar] [CrossRef]
- Mur, G. Absorbing Boundary Conditions for the Finite-Difference Approximation of the Time-Domain Electromagnetic-Field Equations. IEEE Trans. Electromagn. Compat. 1981, EMC-23, 377–382. [Google Scholar] [CrossRef]
- Yachikov, I.; Zalyautdinov, R. Magnetic field in a dc arc-furnace bath with different current leads at the bottom electrode. Steel Transl. 2014, 44, 203–208. [Google Scholar] [CrossRef]
- Landau, L.D.; Lifshitz, E.M. Electrodynamics of Continuous Media, 2nd ed.; Nauka: Moscow, Russia, 1992; p. 164. [Google Scholar]
- Cody, W. Chebyshev Approximations for the Complete Elliptic Integrals K and E. Math. Comput. 1965, 19, 105–112. [Google Scholar] [CrossRef]
- Fukushima, T. Precise and fast computation of complete elliptic integrals by piecewise minimax rational function approximation. J. Comput. Appl. Math. 2015, 282, 71–76. [Google Scholar] [CrossRef]
- Walczyk, C.J.; Moroz, L.V.; Cieśliński, J.L. A Modification of the Fast Inverse Square Root Algorithm. Computation 2019, 7, 41. [Google Scholar] [CrossRef]
- Bolotnov, A.; Garifullina, S.; Nurislamova, E. The comparison of the effectiveness of the executable code generated by various compilers. In Proceedings of the 28th International Scientific-Practical Conference “Mathematical Modeling of Processes and Systems”, Sterlitamak, Russia, 30 October–1 November 2019. [Google Scholar]












| i | ai | bi |
|---|---|---|
| 1 | 1.494662175718133 × 10-4 | 3.185919565550157 × 10−5 |
| 2 | 0.002468503330460723 | 9.898332846225385 × 10−4 |
| 3 | 0.008638442173604074 | 0.006432146586438302 |
| 4 | 0.01077063503986646 | 0.01680402334636338 |
| 5 | 0.007820404060959554 | 0.02614501470031388 |
| 6 | 0.007595093422559433 | 0.03347894366576163 |
| 7 | 0.0115695957452954 | 0.0427178905473831 |
| 8 | 0.02183181167613048 | 0.05859366125553149 |
| 9 | 0.05680519456755916 | 0.09374999972120314 |
| 10 | 0.4431471805608895 | 0.2499999999999018 |
| i | ci | di |
| 1 | 1.393087857006647 × 10-4 | 2.970028096655561 × 10−5 |
| 2 | 0.002296634898396959 | 9.215546349632498 × 10−4 |
| 3 | 0.008003003980649986 | 0.005973904299155429 |
| 4 | 0.009848929322176894 | 0.0155309416319772 |
| 5 | 0.006847909282624506 | 0.02393191332311079 |
| 6 | 0.006179627446053318 | 0.03347894366576163 |
| 7 | 0.01493801353268717 | 0.03012484901289893 |
| 8 | 0.030885146271305198 | 0.0373777397586236 |
| 9 | 0.09657359028085626 | 0.0488280419068624 |
| 10 | 1.386294361119891 | 0.07031249973903836 |
| Used Method | Time, s |
|---|---|
| Intel 12400f | 415 |
| Intel 13900k | 125 |
| AMD RTX 3080 | 2.4 |
| AMD RTX 4090 | 0.84 |
| COMSOL (12400f) | 7 |
Disclaimer/Publisher’s Note: The statements, opinions and data contained in all publications are solely those of the individual author(s) and contributor(s) and not of MDPI and/or the editor(s). MDPI and/or the editor(s) disclaim responsibility for any injury to people or property resulting from any ideas, methods, instructions or products referred to in the content. |
© 2023 by the authors. Licensee MDPI, Basel, Switzerland. This article is an open access article distributed under the terms and conditions of the Creative Commons Attribution (CC BY) license (https://creativecommons.org/licenses/by/4.0/).
Share and Cite
Vinogradov, D.; Teplyakov, I.; Ivochkin, Y. Calculation of the Magnetic Field of a Current-Carrying System. Mathematics 2023, 11, 3623. https://doi.org/10.3390/math11173623
Vinogradov D, Teplyakov I, Ivochkin Y. Calculation of the Magnetic Field of a Current-Carrying System. Mathematics. 2023; 11(17):3623. https://doi.org/10.3390/math11173623
Chicago/Turabian StyleVinogradov, Dmitrii, Igor Teplyakov, and Yury Ivochkin. 2023. "Calculation of the Magnetic Field of a Current-Carrying System" Mathematics 11, no. 17: 3623. https://doi.org/10.3390/math11173623
APA StyleVinogradov, D., Teplyakov, I., & Ivochkin, Y. (2023). Calculation of the Magnetic Field of a Current-Carrying System. Mathematics, 11(17), 3623. https://doi.org/10.3390/math11173623
