Numerical Investigation on Suction Flow Control Technology for a Blunt Trailing Edge Hydrofoil
Abstract
:1. Introduction
2. Model and Numerical Techniques
2.1. Geometry
2.2. Turbulence Models
2.3. Numerical Method and Mesh
3. Verification
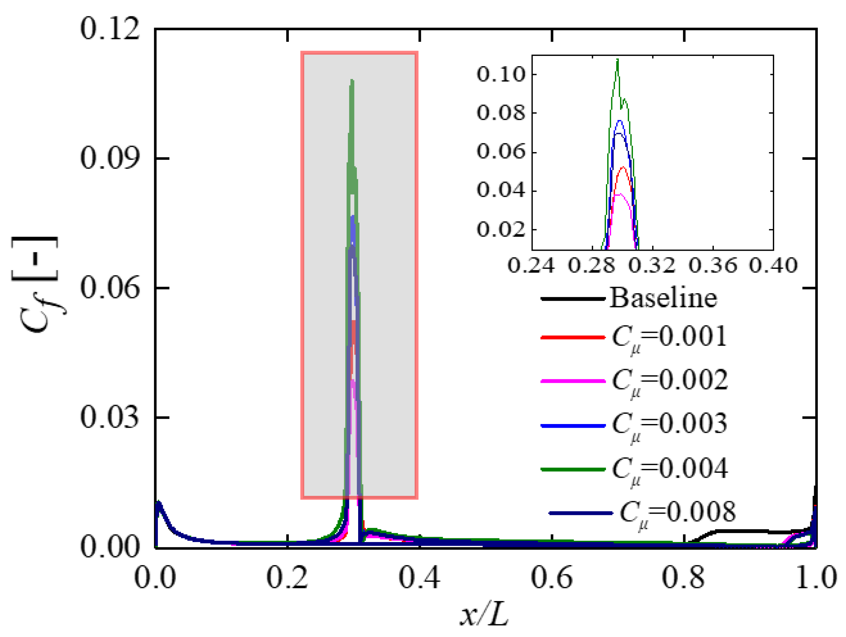
3.1. Friction Coefficient
3.2. Boundary Layer Thickness
3.3. Shedding Vortex Frequency
4. Suction Control Impact on the Hydrofoil Flow Field
4.1. Structure and Parameters
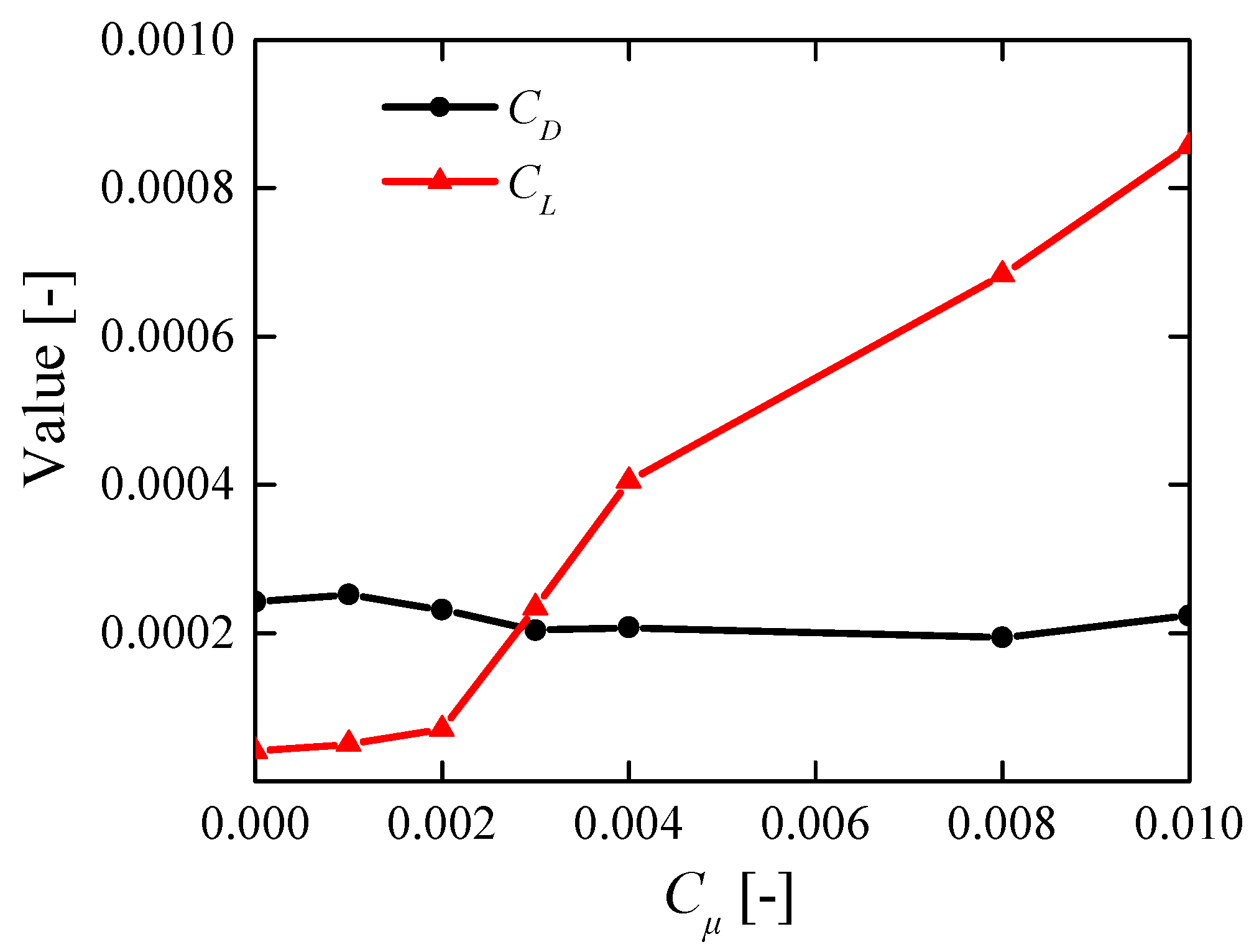
4.2. Effect of Suction Coefficient
4.3. Effect of Suction Position
5. Conclusions
- (1)
- The transition model can be applied to effectively forecast the features of the flow field within the boundary layer and the wake area, among which the γ transition model is better than the γ-Reθt model.
- (2)
- Adopting suction control, the hydrofoil experiences an increase in its lift/drag ratio when it gets more efficient. The momentum and mass flow loss in the boundary layer decreases, the velocity gradient increases, and the transition position is delayed. The wake zone experiences a drop in terms of the regularity of vortex shedding; moreover, the peak value of velocity fluctuation also experiences a decrease.
- (3)
- When the suction coefficient Cμ = 0.003, the thinnest layers in the boundary layer are those with momentum and displacement, and the velocity fluctuation amplitude in the wake region is the smallest. When the suction slots are placed at the leading edge, the momentum loss in the boundary layer is small, and the velocity fluctuation intensity in the wake region is weak.
Author Contributions
Funding
Data Availability Statement
Acknowledgments
Conflicts of Interest
Nomenclature
| L | chord length, m |
| B | spanwise width, m |
| h | height of blunt edge, m |
| γ | intermittent factor |
| Reθt | transition momentum thickness Reynolds number |
| Reθc | transition critical momentum thickness Reynolds number |
| Cf | friction coefficient |
| Cμ | suction coefficient |
| v | velocity of the suction slot, m/s |
| δ* | displacement thickness, mm |
| δ** | momentum thickness, mm |
| GCI | grid convergence index |
References
- Kan, K.; Chen, H.; Zheng, Y.; Zhou, D.; Binama, M.; Dai, J. Transient characteristics during power-off process in a shaft extension tubular pump by using a suitable numerical model. Renew. Energy 2021, 164, 109–121. [Google Scholar] [CrossRef]
- Luo, H.; Zhou, P.; Shu, L.; Mou, J.; Zheng, H.; Jiang, C.; Wang, Y. Energy Performance Curves Prediction of Centrifugal Pumps Based on Constrained PSO-SVR Model. Energies 2022, 15, 3309. [Google Scholar] [CrossRef]
- Rashidi, S.; Hayatdavoodi, M.; Esfahani, J.A. Vortex shedding suppression and wake control: A review. Ocean Eng. 2016, 126, 57–80. [Google Scholar] [CrossRef]
- Sun, J.; Ottavy, X.; Liu, Y.; Lu, L. Corner separation control by optimizing blade end slots in a linear compressor cascade. Aerosp. Sci. Technol. 2021, 114, 106737. [Google Scholar] [CrossRef]
- Akhter, M.Z.; Omar, F.K. Review of flow-control devices for wind-turbine performance enhancement. Energies 2021, 14, 1268. [Google Scholar] [CrossRef]
- Prandtl, L. Über Flüssigkeitsbewegung bei sehr kleiner Reibung. In Proceedings of the III Internationalen Mathematiker-Kongresses, Heidelberg, Germany, 8–13 August 1904. [Google Scholar]
- Lei, J.; Liu, Q.; Li, T. Suction control of laminar separation bubble over an airfoil at low Reynolds number. Proc. Inst. Mech. Eng. Part G J. Aerosp. Eng. 2019, 233, 81–90. [Google Scholar] [CrossRef]
- Wang, J.; Huang, S.; Hou, L.; Wang, Y. Influence of suction flow control on energy extraction characteristics of flapping foil. Int. J. Green Energy 2022, 19, 888–903. [Google Scholar] [CrossRef]
- Fahland, G.; Stroh, A.; Frohnapfel, B.; Atzori, M.; Vinuesa, R.; Schlatter, P.; Gatti, D. Investigation of blowing and suction for turbulent flow control on airfoils. AIAA J. 2021, 59, 4422–4436. [Google Scholar] [CrossRef]
- Kornilov, V. Combined Blowing/Suction Flow Control on Low-Speed Airfoils. Flow Turbul. Combust. 2021, 106, 81–108. [Google Scholar] [CrossRef]
- Chen, Z.; Shi, Z.; Chen, S.; Yao, Z. Stall flutter suppression of NACA 0012 airfoil based on steady blowing. J. Fluids Struct. 2022, 109, 103472. [Google Scholar] [CrossRef]
- Rosas, C.R. Numerical Simulation of Flow Separation Control by Oscillatory Fluid Injection; Texas A&M University: College Station, TX, USA, 2005; pp. 124–168. [Google Scholar]
- Beliganur, N.K.; Raymond, P. Application of evolutionary algorithms to flow control optimization. Rep. Univ. Kentuchky 2007. [Google Scholar]
- Akcayoz, E.; Tuncer, I.H. Numerical investigation of flow control over an airfoil using synthetic jets and its optimization. In Proceedings of the 5th Ankara International Aerospace Conference, Ankara, Turkey, 17–19 August 2009. [Google Scholar]
- Muddada, S.; Patnaik, B. Active flow control of vortex induced vibrations of a circular cylinder subjected to non-harmonic forcing. Ocean Eng. 2017, 142, 62–77. [Google Scholar] [CrossRef]
- Ramsay, J.; Sellier, M.; Ho, W.H. Non-uniform suction control of flow around a circular cylinder. Int. J. Heat Fluid Flow 2020, 82, 108559. [Google Scholar] [CrossRef]
- Akbarzadeh, P.; Akbarzadeh, E. Hydrodynamic characteristics of blowing and suction on sheet-cavitating flows around hydrofoils. Ocean Eng. 2016, 114, 25–36. [Google Scholar] [CrossRef]
- De Giorgi, M.G.; Fontanarosa, D.; Ficarella, A. Active Control of Unsteady Cavitating Flows Over Hydrofoil. J. Fluids Eng. 2020, 142, 111201. [Google Scholar] [CrossRef]
- Royset, J.O.; Bonfiglio, L.; Vernengo, G.; Brizzolara, S. Risk-Adaptive Set-Based Design and Applications to Shaping a Hydrofoil. J. Mech. Des. 2017, 139, 101403. [Google Scholar] [CrossRef]
- Wang, H.; Ding, L.; Zhang, L.; Zou, Q.; Sharma, R.N. Control of two-degree-of-freedom vortex induced vibrations of a circular cylinder using synthetic Jets: Effect of synthetic jet orientation angle and phase difference. Ocean Eng. 2020, 217, 107906. [Google Scholar] [CrossRef]
- Goodarzi, M.; Rahimi, M.; Fereidouni, R. Investigation of active flow control over NACA0015 airfoil via blowing. Int. J. Aerosp. Sci. 2012, 1, 57–63. [Google Scholar]
- Chen, Q.; Liu, Y.; Wu, Q.; Wang, Y.; Liu, T.; Wang, G. Global cavitation patterns and corresponding hydrodynamics of the hydrofoil with leading edge roughness. Acta Mech. Sin. 2020, 36, 1202–1214. [Google Scholar] [CrossRef]
- Yousefi, K.; Saleh, R.; Zahedi, P. Numerical study of blowing and suction slot geometry optimization on NACA 0012 airfoil. J. Mech. Sci. Technol. 2014, 28, 1297–1310. [Google Scholar] [CrossRef]
- Fransson, J.; Konieczny, P.; Alfredsson, P. Flow around a porous cylinder subject to continuous suction or blowing. J. Fluids Struct. 2004, 19, 1031–1048. [Google Scholar] [CrossRef]
- Moffat, R.J.; Kays, W.M. The turbulent boundary layer on a porous plate: Experimental heat transfer with uniform blowing and suction. Int. J. Heat Mass Transf. 1968, 11, 1547–1566. [Google Scholar] [CrossRef]
- Durbin, P.A. Some Recent Developments in Turbulence Closure Modeling. Annu. Rev. Fluid Mech. 2018, 50, 77–103. [Google Scholar] [CrossRef]
- Menter, F.R.; Langtry, R.B.; Likki, S.R.; Suzen, Y.B.; Huang, P.G.; Völker, S. A Correlation-Based Transition Model Using Local Variables—Part I: Model Formulation. J. Turbomach. 2006, 128, 413–422. [Google Scholar] [CrossRef]
- Menter, F.R.; Matyushenko, A.; Lechner, R.; Stabnikov, A.; Garbaruk, A. An Algebraic LCTM Model for Laminar–Turbulent Transition Prediction. Flow Turbul. Combust. 2022, 109, 841–869. [Google Scholar] [CrossRef]
- Rahman, M.M.; Hasan, K.; Pan, H. Capturing transition around low-Reynolds number hydrofoil with zero-equation transition model. Phys. Fluids 2022, 34, 074115. [Google Scholar] [CrossRef]
- Zeng, Y.; Yao, Z.; Gao, J.; Hong, Y.; Wang, F.; Zhang, F. Numerical Investigation of Added Mass and Hydrodynamic Damping on a Blunt Trailing Edge Hydrofoil. J. Fluids Eng. 2019, 141, 081108. [Google Scholar] [CrossRef]
- Zeng, Y.; Zhang, M.; Du, Y.; Yao, Z.; Wu, Q.; Wang, F. Influence of attack angle on the hydrodynamic damping characteristic of a hydrofoil. Ocean Eng. 2021, 238, 109692. [Google Scholar] [CrossRef]
- Ye, C.L.; Wang, C.Y.; Zi, D.; Tang, Y.; van Esch, B.P.; Wang, F.J. Improvement of the SST γ-Reθt transition model for flows along a curved hydrofoil. J. Hydrodyn. 2021, 33, 520–533. [Google Scholar] [CrossRef]
- Ye, C.; Tang, Y.; An, D.; Wang, F.; Zheng, Y.; van Esch, B. Investigation on stall characteristics of marine centrifugal pump considering transition effect. Ocean Eng. 2023, 280, 114823. [Google Scholar] [CrossRef]
- Menter, F.R.; Smirnov, P.E.; Liu, T.; Avancha, R. A One-Equation Local Correlation-Based Transition Model. Flow Turbul. Combust. 2015, 95, 583–619. [Google Scholar] [CrossRef]
- Wang, R.; Xiao, Z. Transition effects on flow characteristics around a static two-dimensional airfoil. Phys. Fluids 2020, 32, 035113. [Google Scholar] [CrossRef]
- Cui, B.; Wang, X.; Wang, R.; Xiao, Z. Numerical investigation of transonic axial compressor rotor flows using an improved transition-sensitized turbulence model. Phys. Fluids 2021, 33, 035149. [Google Scholar] [CrossRef]
- Rubino, G.; Visonneau, M. Improved crossflow transition predictions for the one-equation γ transition model. Comput. Fluids 2022, 245, 105580. [Google Scholar] [CrossRef]
- Ausoni, P. Turbulent Vortex Shedding from a Blunt Trailing Edge Hydrofoil; EPFL: Lausanne, Switzerland, 2009; pp. 56–168. [Google Scholar] [CrossRef]
- Wang, C.; Wang, F.; Li, C.; Chen, W.; Wang, H.; Lu, L. Investigation on energy conversion instability of pump mode in hydro-pneumatic energy storage system. J. Energy Storage 2022, 53, 105079. [Google Scholar] [CrossRef]
- Roache, P.J. Verification and Validation in Computational Science and Engineering; Hermosa Publishers: Albuquerque, NM, USA, 1998. [Google Scholar]
- Li, D.; Yang, Q.; Yang, W.; Chang, H.; Wang, H. Bionic leading-edge protuberances and hydrofoil cavitation. Phys. Fluids 2021, 33, 093317. [Google Scholar] [CrossRef]
- Moussavi, S.A.; Ghaznavi, A. Effect of boundary layer suction on performance of a 2 MW wind turbine. Energy 2021, 232, 121072. [Google Scholar] [CrossRef]


















| Input Parameter | Magnitude | Input Parameter | Magnitude |
|---|---|---|---|
| Time analysis | Unsteady | Temperature | 25 °C |
| Density of fluid | Water (998.2 kg/m3) | Wall | No slip |
| Reynolds number | Vary with inlet velocity | Length | 0.1 m |
| Angle of attack | 0° | Dynamic viscosity | 0.001003 kg/(m·s) |
| Parameter | Value |
|---|---|
| N1, N2, N3 | 3,615,753; 4,824,863; 6,275,698 |
| r21 | 1.33 |
| r32 | 1.27 |
| P | 11.02–13.18 |
| Pave | 12.72 |
| GCI | 0.000006–0.367258% |
| GCIave | 0.042535% |
| Methods | f (Hz) | △f |
|---|---|---|
| Test | 1428 | |
| γ-Reθt transition model | 1361 | 4.69% |
| γ transition model | 1398 | 2.10% |
Disclaimer/Publisher’s Note: The statements, opinions and data contained in all publications are solely those of the individual author(s) and contributor(s) and not of MDPI and/or the editor(s). MDPI and/or the editor(s) disclaim responsibility for any injury to people or property resulting from any ideas, methods, instructions or products referred to in the content. |
© 2023 by the authors. Licensee MDPI, Basel, Switzerland. This article is an open access article distributed under the terms and conditions of the Creative Commons Attribution (CC BY) license (https://creativecommons.org/licenses/by/4.0/).
Share and Cite
Yang, P.; Zhang, C.; Yan, H.; Ren, Y.; Ye, C.; Heng, Y.; Zheng, Y. Numerical Investigation on Suction Flow Control Technology for a Blunt Trailing Edge Hydrofoil. Mathematics 2023, 11, 3618. https://doi.org/10.3390/math11163618
Yang P, Zhang C, Yan H, Ren Y, Ye C, Heng Y, Zheng Y. Numerical Investigation on Suction Flow Control Technology for a Blunt Trailing Edge Hydrofoil. Mathematics. 2023; 11(16):3618. https://doi.org/10.3390/math11163618
Chicago/Turabian StyleYang, Peng, Chiye Zhang, Hongyeyu Yan, Yifan Ren, Changliang Ye, Yaguang Heng, and Yuan Zheng. 2023. "Numerical Investigation on Suction Flow Control Technology for a Blunt Trailing Edge Hydrofoil" Mathematics 11, no. 16: 3618. https://doi.org/10.3390/math11163618
APA StyleYang, P., Zhang, C., Yan, H., Ren, Y., Ye, C., Heng, Y., & Zheng, Y. (2023). Numerical Investigation on Suction Flow Control Technology for a Blunt Trailing Edge Hydrofoil. Mathematics, 11(16), 3618. https://doi.org/10.3390/math11163618

