Observer-Based Dynamic Event-Triggered Tracking Consensus for Switched Multi-Agent Systems
Abstract
1. Introduction
- A more general observer-based DET consensus protocol with a variable threshold is provided, where the controller includes discontinuous function and continuous function. Compared with most relative works that handle the consensus of switched MASs adopting static event-triggered strategies [25,26,28,29], this paper can further reduce the expenses associated with system resource usage.
2. Preliminaries
2.1. Graph Theory
2.2. Problem Statement
3. Main Results
3.1. DET Protocol with Discontinuous Term
| Algorithm 1 An algorithm to design the nonsmooth DET protocol |
If Assumptions 1–3 hold, the DET protocol can be taken into consideration in the following steps.
|
3.2. DET Protocol with Continuous Term
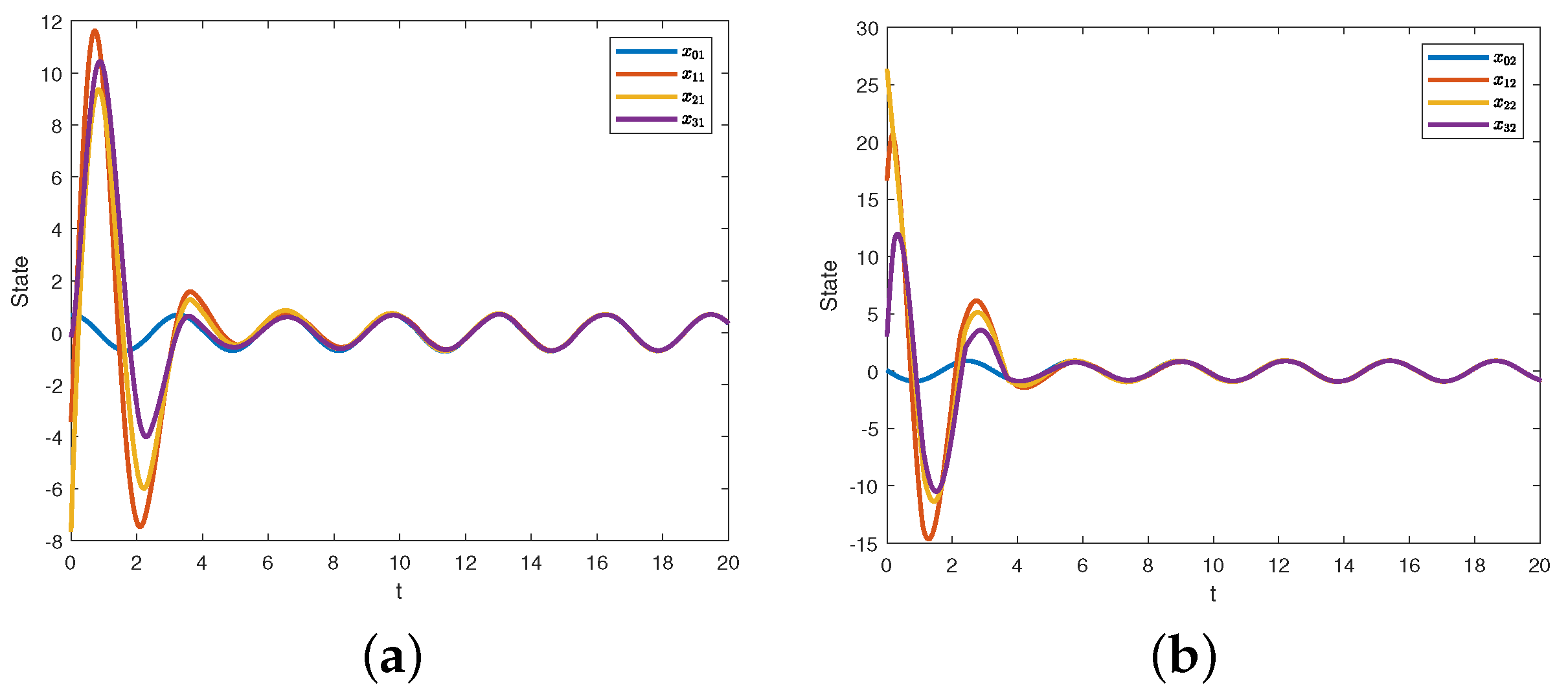
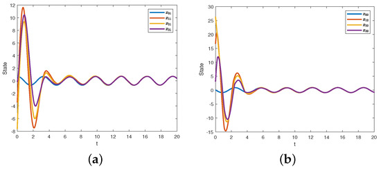
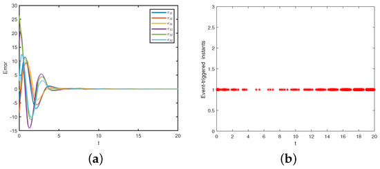
4. Numerical Simulation
5. Conclusions
Author Contributions
Funding
Data Availability Statement
Conflicts of Interest
References
- Hong, Y.; Hu, J.; Gao, L. Tracking control for multi-agent consensus with an active leader and variable topology. Automatica 2006, 42, 1177–1182. [Google Scholar] [CrossRef]
- Jadbabaie, A.; Jie, L.; Morse, A.S. Coordination of groups of mobile autonomous agents using nearest neighbor rules. IEEE Trans. Autom. Control 2003, 48, 988–1001. [Google Scholar] [CrossRef]
- Tang, Y.; Xing, X.; Karimi, H.R.; Kocarev, L.; Kurths, J. Tracking control of networked multi-agent systems under new characterizations of impulses and its applications in robotic systems. IEEE Trans. Ind. Electron. 2016, 63, 1299–1307. [Google Scholar] [CrossRef]
- Chen, S.; Ho, D.W.; Li, L.; Liu, M. Fault-tolerant consensus of multi-agent system with distributed adaptive protocol. IEEE Trans. Cybern. 2017, 45, 2142–2155. [Google Scholar] [CrossRef]
- Deng, C.; Wen, C.; Wang, W.; Li, X.; Yue, D. Distributed adaptive tracking control for high-order nonlinear multi-agent systems over event-triggered communication. IEEE Trans. Autom. Control 2022, 68, 1176–1183. [Google Scholar] [CrossRef]
- Guo, R.; Feng, J.; Wang, J.; Zhao, Y. Leader-following successive lag consensus of nonlinear multi-agent systems via observer-based event-triggered control. J. Frankl. Inst. 2022, in press. [Google Scholar] [CrossRef]
- Cao, X.; Zhang, C.; Zhao, D.; Sun, B.; Li, Y. Event-triggered consensus control of continuous-time stochastic multi-agent systems. Automatica 2022, 137, 110022. [Google Scholar] [CrossRef]
- Luand, A.; Yang, G. Observer-based control for cyber-physical systems under denial-of-service with a decentralized event-triggered scheme. IEEE Trans. Cybern. 2020, 50, 4886–4895. [Google Scholar]
- Dimarogonas, D.V.; Frazzoli, E.; Johansson, K.H. Distributed event-triggered control for multi-agent systems. IEEE Trans. Autom. Control 2012, 57, 1291–1297. [Google Scholar] [CrossRef]
- Qian, Y.; Liu, L.; Feng, G. Cooperative output regulation of linear multiagent systems: An event-triggered adaptive distributed observer approach. IEEE Trans. Autom. Control 2021, 66, 833–840. [Google Scholar] [CrossRef]
- Xu, Y.; Wu, Z. Observer-based asynchronous communication and adaptive control protocols with intermittent updating and interaction. IEEE Trans. Netw. Sci. Eng. 2023, 10, 452–462. [Google Scholar] [CrossRef]
- Gao, Y.; Wang, L. Sampled-data based consensus of continuous-time multi-agent systems with time-varying topology. IEEE Trans. Autom. Control 2011, 56, 1226–1231. [Google Scholar] [CrossRef]
- Girard, A. Dynamic triggering mechanisms for event-triggered control. IEEE Trans. Autom. Control 2015, 60, 1992–1997. [Google Scholar] [CrossRef]
- Ruan, X.; Feng, J.; Xu, C.; Wang, J. Observer-based dynamic event-triggered strategies for leader-following consensus of multi-agent systems with disturbances. IEEE Trans. Netw. Sci. Eng. 2020, 7, 3148–3158. [Google Scholar] [CrossRef]
- Ruan, X.; Xu, C.; Feng, J.; Wang, J.; Zhao, Y. Adaptive dynamic event-triggered control for multi-agent systems with matched uncertainties under directed topologies. Phys. A Stat. Mech. Appl. 2022, 586, 126450. [Google Scholar] [CrossRef]
- Hu, S.; Qiu, J.; Chen, X.; Zhao, F.; Jiang, X. Dynamic event-triggered control for leader-following consensus of multiagent systems with the estimator. IET Control Theory Appl. 2022, 16, 1475–1484. [Google Scholar] [CrossRef]
- Du, S.L.; Liu, T.; Ho, D.W. Dynamic event-triggered control for leader-following consensus of multiagent systems. IEEE Trans. Syst. Man Cybern. Syst. 2020, 50, 3243–3251. [Google Scholar] [CrossRef]
- Yang, Y.; Yue, D.; Xu, C. Dynamic event-triggered leader-following consensus control of a class of linear multi-agent systems. J. Frankl. Inst. 2018, 355, 7706–7734. [Google Scholar] [CrossRef]
- Loia, V.; Terzija, V.; Vaccaro, A.; Wall, P. An affine-arithmetic-based consensus protocol for smart-grid computing in the presence of data uncertainties. IEEE Trans. Ind. Electron. 2015, 62, 2973–2982. [Google Scholar] [CrossRef]
- Lu, Z.; Zhang, L.; Wang, L. Observability of multi-agent systems with switching topology. IEEE Trans. Circuits Syst. II Exp. Briefs 2017, 64, 1317–1321. [Google Scholar] [CrossRef]
- Liu, Y.; Min, H.; Wang, S.; Ma, L.; Liu, Z. Consensus for multiple heterogeneous Euler–Lagrange systems with time-delay and jointly connected topologies. J. Frankl. Inst. 2014, 351, 3351–3363. [Google Scholar] [CrossRef]
- Lee, T.; Sreenath, K.; Kumar, V. Geometric control of cooperating multiple quadrotor UAVs with a suspended payload. In Proceedings of the 52nd IEEE Conference on Decision and Control, Firenze, Italy, 10–13 December 2013; pp. 5510–5515. [Google Scholar]
- Ye, J.; Roy, S.; Godjevac, M.; Baldi, S. A switching control perspective on the offshore construction scenario of heavy-lift vessels. IEEE Trans. Control Syst. Technol. 2021, 29, 70–477. [Google Scholar] [CrossRef]
- Yuan, S.; Schutter, B.; Baldi, S. Robust adaptive tracking control of uncertain slowly switched linear systems. Nonlinear Anal. Hybrid Syst. 2018, 27, 1–12. [Google Scholar] [CrossRef]
- Yao, D.; Dou, C.; Yue, D.; Zhao, N.; Zhang, T. Event-triggered adaptive consensus tracking control for nonlinear switching multi-agent systems. Neurocomputing 2020, 38, 157–164. [Google Scholar] [CrossRef]
- Zou, W.; Xiang, Z. Event-triggered leader-following consensus of non-linear multi-agent systems with switched dynamics. IET Control Theory Appl. 2019, 13, 1222–1228. [Google Scholar] [CrossRef]
- Wang, S.; Zhao, C.; Zhang, B.; Jiang, Y. Event-triggered based security consensus control for multi-agent systems with DoS attacks. Neurocomputing 2022, 505, 214–224. [Google Scholar] [CrossRef]
- Li, S.; Liang, K.; He, W. Fully distributed event-triggered secure consensus of general linear multi-agent systems under sequential scaling attacks. ISA Trans. 2022, 127, 146–155. [Google Scholar] [CrossRef]
- Zou, W.; Shi, P.; Xiang, Z.; Shi, Y. Consensus tracking control of switched stochastic nonlinear multiagent systems via event-triggered strategy. IEEE Trans. Neural Netw. Learn. Syst. 2020, 31, 1036–1045. [Google Scholar] [CrossRef]
- Xiao, X.; Zhou, L.; Ho, D.W.C.; Lu, G. Event-triggered control of continuous-time switched linear systems. IEEE Trans. Autom. Control 2019, 64, 1710–1717. [Google Scholar] [CrossRef]
- Ma, Y.; Li, Z.; Zhao, L. Output consensus for switched multi-agent systems with bumpless transfer control and event-triggered communication. Inf. Sci. 2021, 544, 585–598. [Google Scholar] [CrossRef]
- He, G.; Zhao, J. Fully distributed event-triggered cooperative output regulation for switched multi-agent systems with combined switching mechanism. Inf. Sci. 2023, 638, 118970. [Google Scholar] [CrossRef]
- Demirel, B.; Ghadimi, E.; Quevedo, D.E.; Johansson, M. Optimal control of linear systems with limited control actions: Threshold-based event-triggered control. IEEE Trans. Control Netw. Syst. 2018, 5, 1275–1286. [Google Scholar] [CrossRef]
- Liu, W.; Yang, C.; Sun, Y.; Qin, J. Observer-based event-triggered tracking control of leader-follower systems with time delay. J. Syst. Sci. Complex. 2016, 29, 865–880. [Google Scholar] [CrossRef]
- Lv, Y.; Li, Z.; Duan, Z.; Chen, J. Distributed adaptive output feedback consensus protocols for linear systems on directed graphs with a leader of bounded input. Automatica 2016, 74, 308–314. [Google Scholar] [CrossRef]
- Wang, Q.; Yu, H.; Wu, Z.; Chen, G. Stability analysis for input saturated discrete-time switched systems with average dwell-time. IEEE Trans. Syst. Man Cybern. Syst. 2021, 51, 412–419. [Google Scholar] [CrossRef]
- Wen, G.; Wang, P.; Yu, X.; Yu, W.; Cao, J. Pinning synchronization of complex switching networks with a leader of nonzero control inputs. IEEE Trans. Circuits Syst. I Reg. Papers 2019, 66, 3100–3112. [Google Scholar] [CrossRef]
- Ma, D.; Zhao, J. Stabilization of networked switched linear systems: An asynchronous switching delay system approach. Syst. Control Lett. 2015, 77, 46–54. [Google Scholar] [CrossRef]
- Adkins, W.A.; Davidson, M.G. Ordinary Differential Equations; Springer: Berlin/Heidelberg, Germany, 2012. [Google Scholar]
- He, W.; Xu, B.; Han, Q.L.; Qian, F. Adaptive consensus control of linear multiagent systems with dynamic event-triggered strategies. IEEE Trans. Cybern. 2020, 50, 2996–3008. [Google Scholar] [CrossRef]
- Young, K.D.; Utkin, V.I.; Ozguner, U. A control engineer’s guide to sliding mode control. IEEE Trans. Control Syst. Technol. 1999, 7, 328–342. [Google Scholar] [CrossRef]






Disclaimer/Publisher’s Note: The statements, opinions and data contained in all publications are solely those of the individual author(s) and contributor(s) and not of MDPI and/or the editor(s). MDPI and/or the editor(s) disclaim responsibility for any injury to people or property resulting from any ideas, methods, instructions or products referred to in the content. |
© 2023 by the authors. Licensee MDPI, Basel, Switzerland. This article is an open access article distributed under the terms and conditions of the Creative Commons Attribution (CC BY) license (https://creativecommons.org/licenses/by/4.0/).
Share and Cite
Ruan, X.; Cai, J.; Wang, Z.; Wang, C.; Yang, H. Observer-Based Dynamic Event-Triggered Tracking Consensus for Switched Multi-Agent Systems. Mathematics 2023, 11, 2861. https://doi.org/10.3390/math11132861
Ruan X, Cai J, Wang Z, Wang C, Yang H. Observer-Based Dynamic Event-Triggered Tracking Consensus for Switched Multi-Agent Systems. Mathematics. 2023; 11(13):2861. https://doi.org/10.3390/math11132861
Chicago/Turabian StyleRuan, Xiaoli, Jiayi Cai, Zhaojing Wang, Chen Wang, and Huali Yang. 2023. "Observer-Based Dynamic Event-Triggered Tracking Consensus for Switched Multi-Agent Systems" Mathematics 11, no. 13: 2861. https://doi.org/10.3390/math11132861
APA StyleRuan, X., Cai, J., Wang, Z., Wang, C., & Yang, H. (2023). Observer-Based Dynamic Event-Triggered Tracking Consensus for Switched Multi-Agent Systems. Mathematics, 11(13), 2861. https://doi.org/10.3390/math11132861
