A Finite-Time Sliding Mode Control Approach for Constrained Euler–Lagrange System
Abstract
1. Introduction
2. Dynamic Model and Preliminaries
2.1. Dynamic Model
2.2. Conventional Nonsingular TSMC
2.3. Control Barrier Function
3. Controller Design
3.1. NFTSM Controller Design
3.2. High-Order CBF Design
3.3. ECBF-Based QP Design
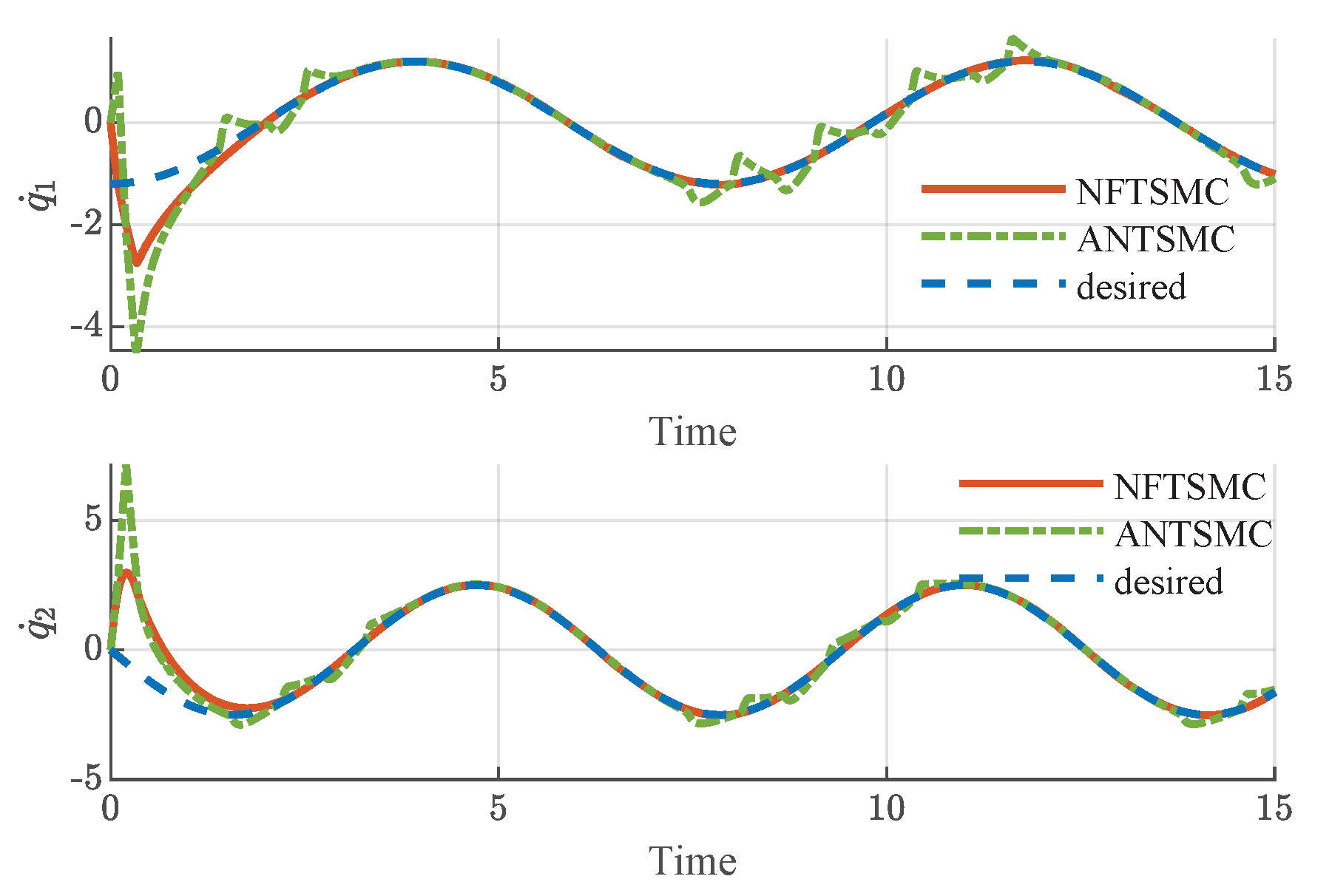
4. Numerical Simulation
4.1. Controllers for Comparison
4.2. States Constrained
4.3. Safety Behavior
5. Conclusions
Author Contributions
Funding
Data Availability Statement
Conflicts of Interest
Abbreviations
| SMC | Sliding mode control |
| TSMC | Terminal sliding mode control |
| ATNTSM | Three letter acronym |
| NFTSMC | Nonsingular fast terminal sliding mode control |
| QP | Quadratic programming |
| CBF | Control barrier function |
References
- Cai, X.; de Queiroz, M. Adaptive rigidity-based formation control for multirobotic vehicles with dynamics. IEEE Trans. Control Syst. Technol. 2015, 23, 389–396. [Google Scholar] [CrossRef]
- Roy, S.; Roy, S.B.; Kar, I.N. Adaptive-Robust Control of Euler-Lagrange Systems with Linearly Parametrizable Uncertainty Bound. IEEE Trans. Control Syst. Technol. 2018, 26, 1842–1850. [Google Scholar] [CrossRef]
- Shao, X.; Sun, G.; Yao, W.; Liu, J.; Wu, L. Adaptive Sliding Mode Control for Quadrotor UAVs with Input Saturation. IEEE/ASME Trans. Mechatron. 2022, 27, 1498–1509. [Google Scholar]
- De Marinis, A.; Iavernaro, F.; Mazzia, F. A minimum-time obstacle-avoidance path planning algorithm for unmanned aerial vehicles. Numer. Algorithms 2022, 89, 1639–1661. [Google Scholar]
- Shakouri, A.; Shakouri, A. Prescribed-Time Control for Perturbed Euler-Lagrange Systems with Obstacle Avoidance. IEEE Trans. Autom. Control 2022, 67, 3754–3761. [Google Scholar] [CrossRef]
- Mobayen, S.; Alattas, K.A.; Assawinchaichote, W. Adaptive continuous barrier function terminal sliding mode control technique for disturbed robotic manipulator. IEEE Trans. Circuits Syst. I Regul. Pap. 2021, 68, 4403–4412. [Google Scholar]
- Chen, L.; Guo, Y.; Li, C.; Huang, J. Satellite Formationcontainment flying control with collision avoidance. AIAA J. Aerosp. Inf. Syst. 2018, 15, 253–270. [Google Scholar]
- Spong, M.W.; Hutchinson, S.; Vidyasagar, M. Robot Dynamics and Control; John Wiley & Sons: Hoboken, NJ, USA, 2008. [Google Scholar]
- Andrade, R.; Raffo, G.V.; Normey-Rico, J.E. Model predictive control of a tilt-rotor UAV for load transportation. In Proceedings of the 2016 European Control Conference (ECC), Aalborg, Denmark, 19 June–1 July 2016; pp. 2165–2170. [Google Scholar]
- Scaglioni, B.; Previtera, L.; Martin, J.; Norton, J.; Obstein, K.L.; Valdastri, P. Explicit Model Predictive Control of a Magnetic Flexible Endoscope. IEEE Robot. Autom. Lett. 2019, 4, 716–723. [Google Scholar] [PubMed]
- Song, Z.; Sun, K. Adaptive Sliding Mode Tracking Control for Uncertain Euler-Lagrange System. IEEE Access 2019, 7, 56817–56825. [Google Scholar]
- Li, H.; Li, X. Distributed Model Predictive Consensus of Heterogeneous Time-Varying Multi-Agent Systems: With and Without Self-Triggered Mechanism. IEEE Trans. Circuits Syst. I Regul. Pap. 2020, 67, 5358–5368. [Google Scholar]
- Mehrabian, A.; Khorasani, K. Distributed Formation Recovery Control of Heterogeneous Multiagent Euler–Lagrange Systems Subject to Network Switching and Diagnostic Imperfections. IEEE Trans. Control Syst. Technol. 2016, 24, 2158–2166. [Google Scholar] [CrossRef]
- Hou, H.; Yu, X.; Xu, L.; Rsetam, K.; Cao, Z. Finite-Time Continuous Terminal Sliding Mode Control of Servo Motor Systems. IEEE Trans. Ind. Electron. 2020, 67, 5647–5656. [Google Scholar]
- Feng, Y.; Yu, X.; Man, Z. Non-singular terminal sliding mode control of rigid manipulators. Automatica 2002, 38, 2159–2167. [Google Scholar]
- Zhai, J.; Xu, G. A novel non-singular terminal sliding mode trajectory tracking control for robotic manipulators. IEEE Trans. Circuits Syst. II Express Briefs 2021, 68, 391–395. [Google Scholar] [CrossRef]
- Labbadi, M.; Cherkaoui, M. Robust adaptive nonsingular fast terminal sliding-mode tracking control for an uncertain quadrotor UAV subjected to disturbances. ISA Trans. 2020, 99, 290–304. [Google Scholar] [PubMed]
- Moser, D.; Schmied, R.; Waschl, H.; del Re, L. Flexible Spacing Adaptive Cruise Control Using Stochastic Model Predictive Control. IEEE Trans. Control Syst. Technol. 2018, 26, 114–127. [Google Scholar]
- Hu, J.; Zhang, H.; Liu, L.; Zhu, X.; Zhao, C.; Pan, Q. Convergent Multiagent Formation Control With Collision Avoidance. IEEE Trans. Robot. 2020, 36, 1805–1818. [Google Scholar]
- Lee, J.H. Model predictive control: Review of the three decades of development. Int. J. Control Autom. Syst. 2011, 9, 415–424. [Google Scholar]
- Zhang, Z.; Wu, Y. Adaptive Fuzzy Tracking Control of Autonomous Underwater Vehicles with Output Constraints. IEEE Trans. Fuzzy Syst. 2021, 29, 1311–1319. [Google Scholar] [CrossRef]
- Zhang, J.; Li, K.; Li, Y. Output-Feedback Based Simplified Optimized Backstepping Control for Strict-Feedback Systems with Input and State Constraints. IEEE/CAA J. Autom. Sin. 2021, 8, 1119–1132. [Google Scholar]
- Jiang, X.; Zhao, D. Event-triggered fault detection for nonlinear discrete-time switched stochastic systems: A convex function method. Sci. China Inf. Sci. 2021, 64, 200204. [Google Scholar] [CrossRef]
- Zhang, T.; Deng, F.; Sun, Y.; Shi, P. Fault estimation and fault-tolerant control for linear discrete time-varying stochastic systems. Sci. China Inf. Sci. 2021, 60, 200201. [Google Scholar]
- Ames, A.D.; Grizzle, J.W.; Tabuada, P. Control Barrier Function based Quadratic Programs with Application to Adaptive Cruise Control. In Proceedings of the 53rd IEEE Conference on Decision and Control, Los Angeles, CA, USA, 15–17 December 2014; pp. 6271–6278. [Google Scholar]
- Wang, L.; Ames, A.D.; Egerstedt, M. Safety Barrier Certificates for Collisions-Free Multirobot Systems. IEEE Trans. Robot. 2017, 33, 661–674. [Google Scholar]
- Wang, L.; Ames, A.D.; Egerstedt, M. Safe certificate-based maneuvers for teams of quadrotors using differential flatness. In Proceedings of the 2017 IEEE International Conference on Robotics and Automation (ICRA), Singapore, 29 May–3 June 2017; pp. 3293–3298. [Google Scholar]
- Grandia, R.; Taylor, A.J.; Ames, A.D.; Hutter, M. Multi-layered safety for legged robots via control barrier functions and model predictive control. In Proceedings of the 2021 IEEE International Conference on Robotics and Automation (ICRA), Xi’an, China, 30 May–5 June 2021; pp. 8352–8358. [Google Scholar]
- Hsu, S.C.; Xu, X.; Ames, A.D. Control barrier function based quadratic programs with application to bipedal robotic walking. In Proceedings of the 2015 American Control Conference (ACC), Chicago, IL, USA, 1–3 July 2015; pp. 4542–4548. [Google Scholar]
- Yu, S.; Yu, X.; Shirinzadeh, B.; Man, Z. Continuous finite-time control for robotic manipulators with terminal sliding mode. Automatica 2005, 41, 1957–1964. [Google Scholar] [CrossRef]
- Ames, A.D.; Coogan, S.; Egerstedt, M.; Notomista, G.; Sreenath, K.; Tabuada, P. Control barrier functions: Theory and applications. In Proceedings of the 2019 18th European Control Conference (ECC), Napoli, Italy, 25–28 June 2019; pp. 3420–3431. [Google Scholar]
- Ames, A.D.; Xu, X.; Grizzle, J.W.; Tabuada, P. Control Barrier Function Based Quadratic Programs for Safety Critical Systems. IEEE Trans. Autom. Control 2017, 62, 3861–3876. [Google Scholar]
- Nguyen, Q.; Sreenath, K. Exponential control barrier functions for enforcing high relative-degree safety-critical constraints. In Proceedings of the 2016 American Control Conference (ACC), Boston, MA, USA, 6–8 July 2016; pp. 322–328. [Google Scholar]
- Xu, X. Constrained control of input-output linearizable systems using control sharing barrier functions. Automatica 2018, 87, 195–201. [Google Scholar]












| Variables | Values | Variables | Values |
|---|---|---|---|
| 1 | 600 | ||
| 2 | 50 | ||
| 1 | |||
| 2 | |||
| 5 | |||
| 3 | |||
| k | 2.5 | ||
Disclaimer/Publisher’s Note: The statements, opinions and data contained in all publications are solely those of the individual author(s) and contributor(s) and not of MDPI and/or the editor(s). MDPI and/or the editor(s) disclaim responsibility for any injury to people or property resulting from any ideas, methods, instructions or products referred to in the content. |
© 2023 by the authors. Licensee MDPI, Basel, Switzerland. This article is an open access article distributed under the terms and conditions of the Creative Commons Attribution (CC BY) license (https://creativecommons.org/licenses/by/4.0/).
Share and Cite
Sun, G.; Zeng, Q. A Finite-Time Sliding Mode Control Approach for Constrained Euler–Lagrange System. Mathematics 2023, 11, 2788. https://doi.org/10.3390/math11122788
Sun G, Zeng Q. A Finite-Time Sliding Mode Control Approach for Constrained Euler–Lagrange System. Mathematics. 2023; 11(12):2788. https://doi.org/10.3390/math11122788
Chicago/Turabian StyleSun, Guhao, and Qingshuang Zeng. 2023. "A Finite-Time Sliding Mode Control Approach for Constrained Euler–Lagrange System" Mathematics 11, no. 12: 2788. https://doi.org/10.3390/math11122788
APA StyleSun, G., & Zeng, Q. (2023). A Finite-Time Sliding Mode Control Approach for Constrained Euler–Lagrange System. Mathematics, 11(12), 2788. https://doi.org/10.3390/math11122788

