Seismic Bearing Capacity Solution for Strip Footings in Unsaturated Soils with Modified Pseudo-Dynamic Approach
Abstract
1. Introduction
2. Theoretical Framework of Seismic Bearing Capacity
2.1. Kinematic Method of Limit Analysis
2.2. Pseudo-Dynamic Approach
2.3. Cohesion of Unsaturated Soils
3. Formulation of Seismic Bearing Capacity
3.1. Multi-Block Failure Mechanism
3.2. Calculation of External Work Rate
3.3. Seismic Bearing Capacity Solution
4. Results and Discussion
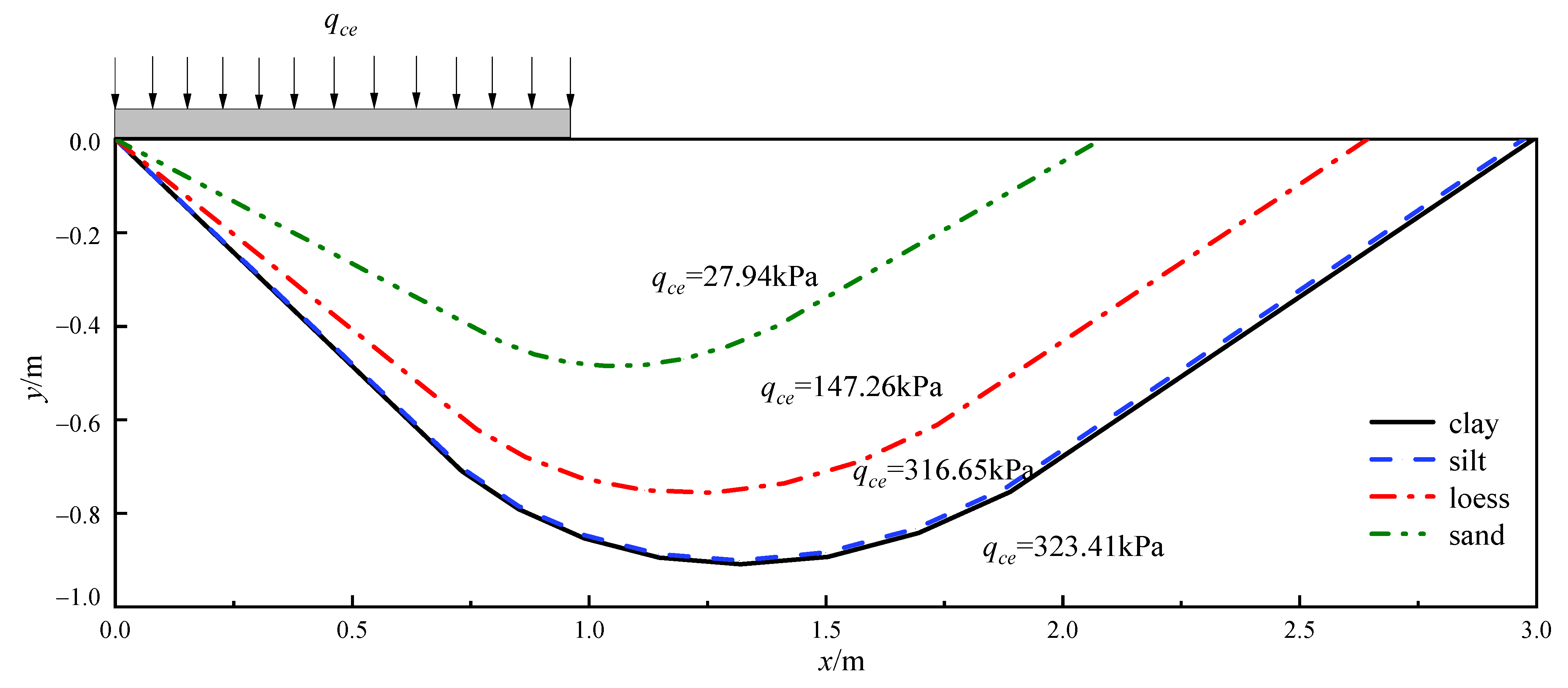
4.1. Comparisons
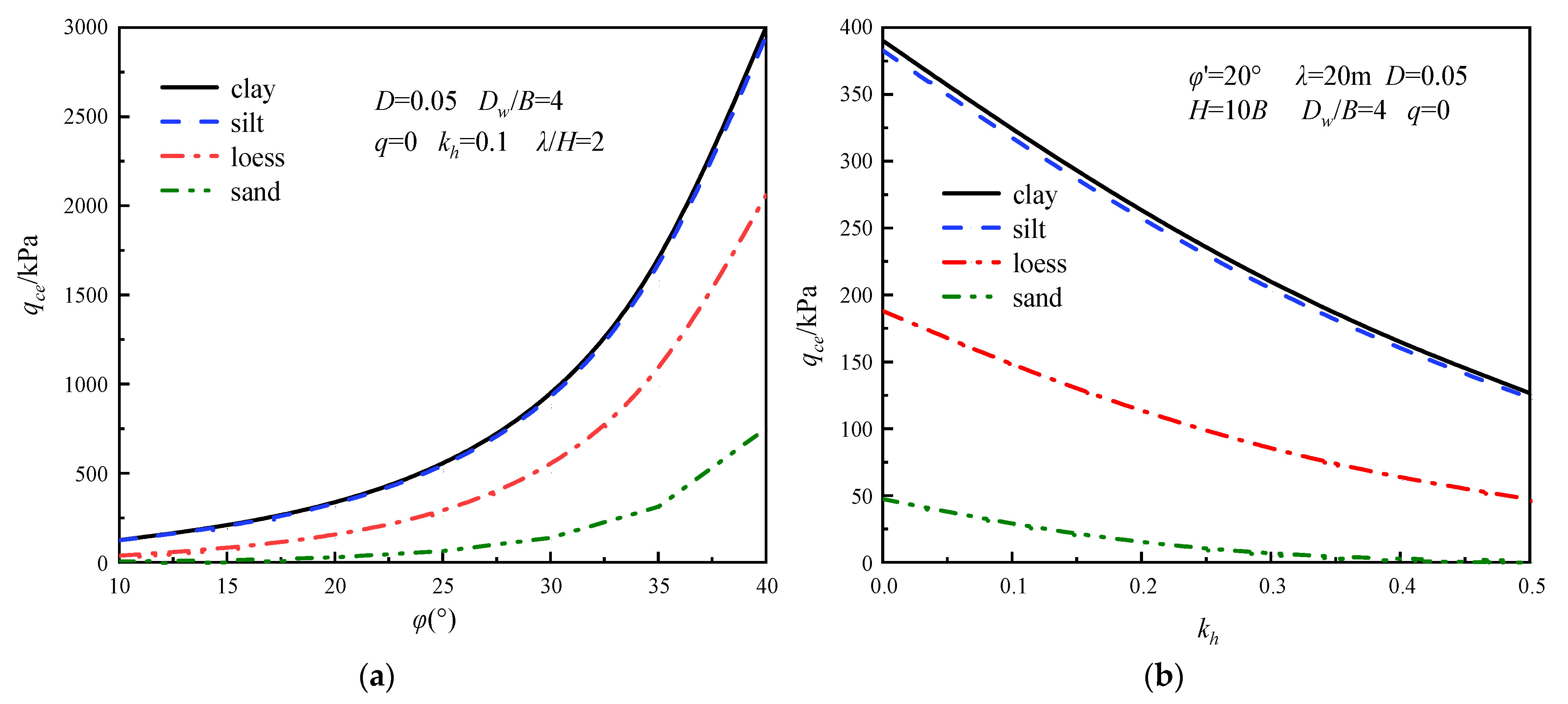
4.2. Effect of Earthquake Action
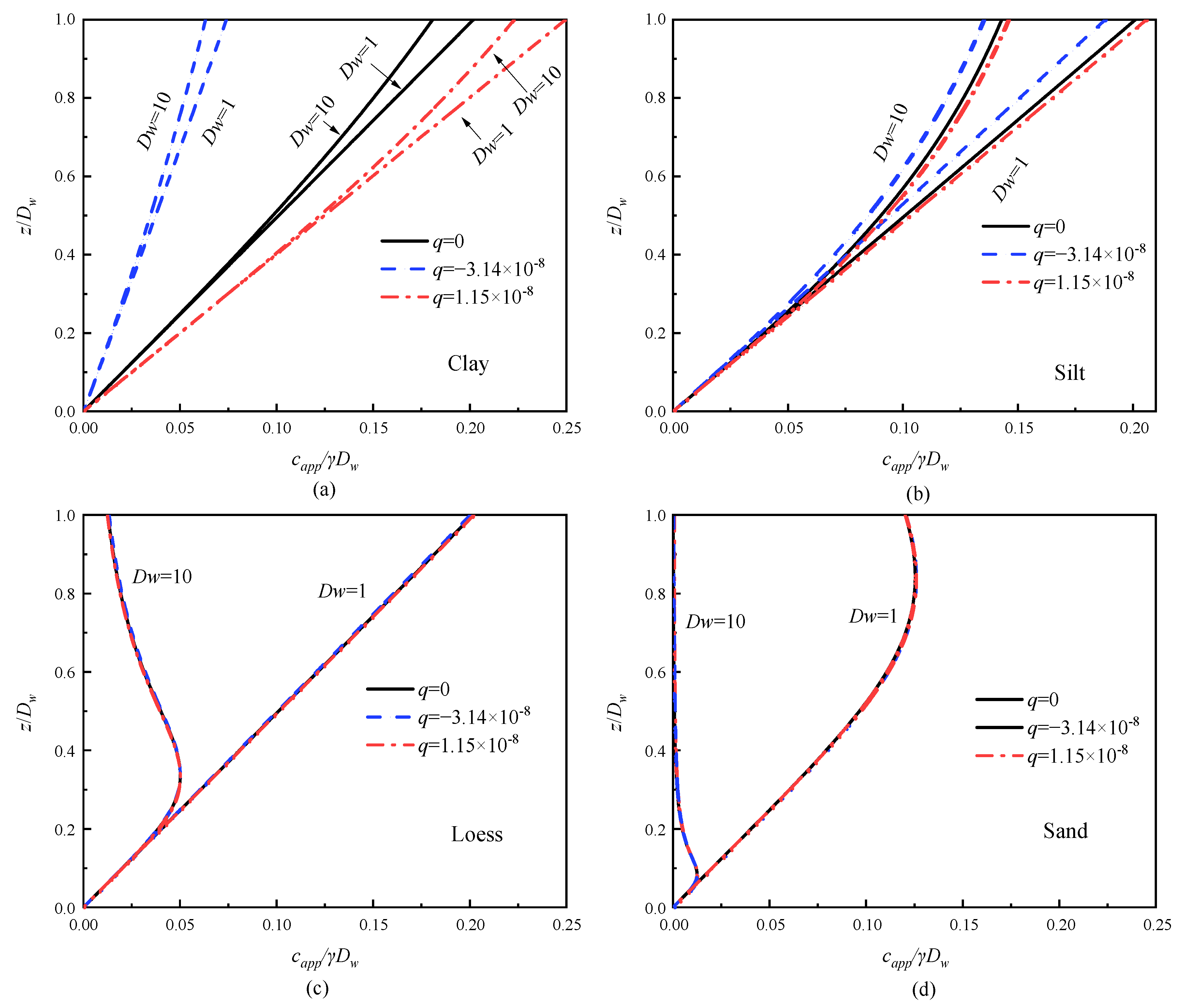
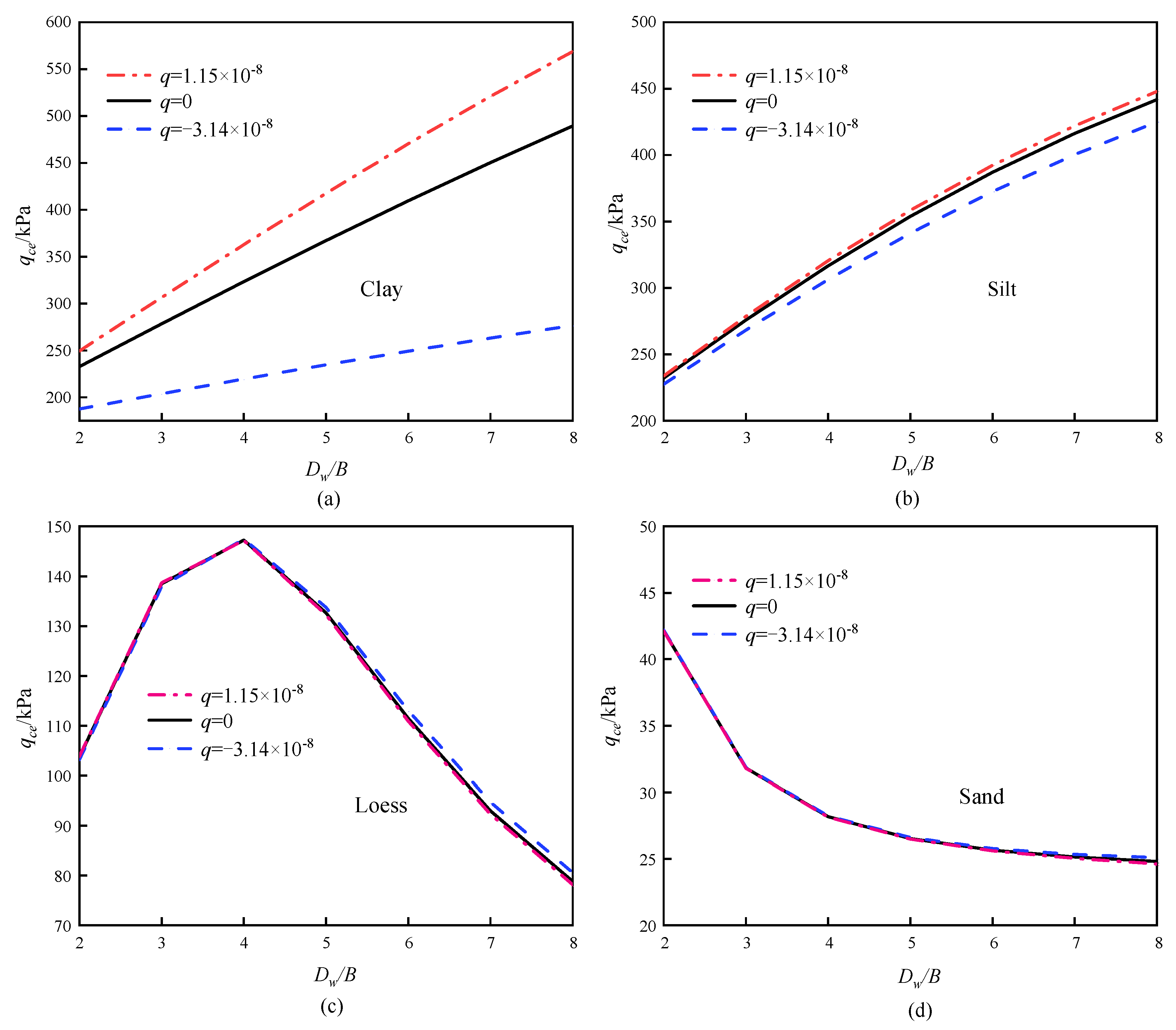
4.3. Effect of Steady Flow
5. Conclusions
Author Contributions
Funding
Data Availability Statement
Conflicts of Interest
Appendix A
References
- Priyanka, G.; Deepankar, C. Seismic bearing capacity factors for shallow strip footings by pseudo-dynamic approach. Disaster Adv. 2011, 4, 34–42. [Google Scholar]
- Saha, A.; Ghosh, S. Modified pseudo-dynamic bearing capacity analysis of shallow strip footing considering total seismic wave. Int. J. Geotech. Eng. 2020, 14, 101–109. [Google Scholar] [CrossRef]
- Debnath, L.; Ghosh, S. Modified Pseudo-dynamic Bearing Capacity of Strip Footing Resting on Layered Soil. Iran. J. Sci. Technol. Trans. Civ. Eng. 2021, 45, 2733–2763. [Google Scholar] [CrossRef]
- Soubra, A.-H. Upper-Bound Solutions for Bearing Capacity of Foundations. J. Geotech. Geoenvironmental Eng. 1999, 125, 59–68. [Google Scholar] [CrossRef]
- Liu, J.; Xu, S.; Yang, X.-L. Modified pseudo–dynamic bearing capacity of strip footing on rock masses. Comput. Geotech. 2022, 150, 104897. [Google Scholar] [CrossRef]
- Chen, B.H.; Luo, W.J.; Xu, X.Y.; Hu, R.Q.; Yang, X.L. Seismic Bearing Capacity of Strip Footing with Nonlinear Mohr—Coulomb Failure Criterion. Int. J. Géoméch. 2022, 22, 06022029. [Google Scholar] [CrossRef]
- Yang, X.-L.; Yin, J.-H. Slope Stability Analysis with Nonlinear Failure Criterion. J. Eng. Mech. 2004, 130, 267–273. [Google Scholar] [CrossRef]
- Yang, X.; Wang, J. Ground movement prediction for tunnels using simplified procedure. Tunn. Undergr. Space Technol. 2011, 26, 462–471. [Google Scholar] [CrossRef]
- Keshavarz, A.; Jahanandish, M.; Ghahramani, A. Seismic bearing capacity analysis of reinforced soils by the method of stress characteristics. Iran. J. Sci. Technol. 2011, 35, 185–197. [Google Scholar]
- Ganesh, R.; Kumar, J. Seismic Bearing Capacity of Strip Foundations with Nonlinear Power-Law Yield Criterion Using the Stress Characteristics Method. J. Geotech. Geoenvironmental Eng. 2022, 148, 04022083. [Google Scholar] [CrossRef]
- Lu, N.; Likos, W.J. Suction stress characteristic curve for unsaturated soil. J. Geotech. Geoenvironmental Eng. 2006, 132, 131–142. [Google Scholar] [CrossRef]
- Fredlund, D.G.; Morgenstern, N.R.; Widger, R.A. The shear strength of unsaturated soils. Can. Geotech. J. 1978, 15, 313–321. [Google Scholar] [CrossRef]
- Oloo, S.Y.; Fredlund, D.G.; Gan, J.K.M. Bearing capacity of unpaved roads. Can. Geotech. J. 1997, 34, 398–407. [Google Scholar] [CrossRef]
- Oh, W.T.; Vanapalli, S.K. Modelling the applied vertical stress and settlement relationship of shallow foundations in saturated and unsaturated sands. Can. Geotech. J. 2011, 48, 425–438. [Google Scholar] [CrossRef]
- Lu, N.; Godt, J.W.; Wu, D.T. A closed-form equation for effective stress in unsaturated soil. Water Resour. Res. 2010, 46, 8646. [Google Scholar] [CrossRef]
- Vahedifard, F.; Robinson, J.D. Unified Method for Estimating the Ultimate Bearing Capacity of Shallow Foundations in Variably Saturated Soils under Steady Flow. J. Geotech. Geoenvironmental Eng. 2016, 142, 1445. [Google Scholar] [CrossRef]
- Zhang, Z.; Yang, X. Unified solution of safety factors for three-dimensional compound slopes considering local and global instability. Comput. Geotech. 2023, 155, 105227. [Google Scholar] [CrossRef]
- Zhong, J.-H.; Yang, X.-L. Pseudo-dynamic stability of rock slope considering Hoek–Brown strength criterion. Acta Geotech. 2021, 17, 2481–2494. [Google Scholar] [CrossRef]
- Li, Z.-W.; Yang, X.-L. Stability assessment of 3D reinforced soil structures under steady unsaturated infiltration. Geotext. Geomembr. 2022, 50, 371–382. [Google Scholar] [CrossRef]
- Yang, X.; Huang, F. Collapse mechanism of shallow tunnel based on nonlinear Hoek–Brown failure criterion. Tunn. Undergr. Space Technol. 2011, 26, 686–691. [Google Scholar] [CrossRef]
- Hou, C.T.; Yang, X.L. 3D stability analysis of tunnel face with influence of unsaturated transient flow. Tunn. Undergr. Space Technol. 2022, 123, 104414. [Google Scholar] [CrossRef]
- Zhong, J.-H.; Yang, X.-L. Kinematic analysis of the three-dimensional stability for tunnel faces by pseudodynamic approach. Comput. Geotech. 2020, 128, 103802. [Google Scholar] [CrossRef]
- Yang, X.-L.; Yin, J.-H. Upper bound solution for ultimate bearing capacity with a modified Hoek–Brown failure criterion. Int. J. Rock Mech. Min. Sci. 2005, 42, 550–560. [Google Scholar] [CrossRef]
- Steedman, R.S.; Zeng, X. The influence of phase on the calculation of pseudo-static earth pressure on a retaining wall. Géotechnique 1990, 40, 103–112. [Google Scholar] [CrossRef]
- GB 50011-2010; Chinese Standard in English. Code for Seismic Design of Buildings. Chinese Standard: San Jose, CA, USA, 2010.
- Bellezza, I. A New Pseudo-dynamic Approach for Seismic Active Soil Thrust. Geotech. Geol. Eng. 2014, 32, 561–576. [Google Scholar] [CrossRef]
- Gardner, W.R. Some steady-state solutions of the unsaturated moisture flow equation with application to evaporation from a water table. Soil Sci. 1958, 85, 228–232. [Google Scholar] [CrossRef]
- Maghferati, S.P.; Chenari, R.J.; Lajevardi, S.H.; Payan, M.; Mirhosseini, S.M. Seismic combined bearing capacity of strip footings on partially saturated soils using lower bound theorem of finite element limit analysis and second-order cone programming. Comput. Geotech. 2023, 157, 105327. [Google Scholar] [CrossRef]
- Tavakoli, M.A.; Fathipour, H.; Payan, M.; Chenari, R.J.; Ahmadi, H. Seismic bearing capacity of shallow foundations subjected to inclined and eccentric loading using modified pseudo-dynamic method. Transp. Geotech. 2023, 40, 100979. [Google Scholar] [CrossRef]
- Fathipour, H.; Tajani, S.B.; Payan, M.; Chenari, R.J.; Senetakis, K. Impact of Transient Infiltration on the Ultimate Bearing Capacity of Obliquely and Eccentrically Loaded Strip Footings on Partially Saturated Soils. Int. J. Géoméch. 2023, 23, 04022290. [Google Scholar] [CrossRef]
- Zhong, J.; Li, Y.; Yang, X. Estimation of the seismic bearing capacity of shallow strip footings based on a pseudodynamic approach. Int. J. Geomech. 2022, 22, 04022143. [Google Scholar] [CrossRef]
- Conti, R. Simplified formulas for the seismic bearing capacity of shallow strip foundations. Soil Dyn. Earthq. Eng. 2018, 104, 64–74. [Google Scholar] [CrossRef]
- Ghosh, P. Upper bound solutions of bearing capacity of strip footing by pseudo-dynamic approach. Acta Geotech. 2008, 3, 115–123. [Google Scholar] [CrossRef]
- Soufi, G.R.; Chenari, R.J.; Javankhoshdel, S. Conventional vs. modified pseudo-dynamic seismic analyses in the shallow strip footing bearing capacity problem. Earthq. Eng. Eng. Vib. 2021, 20, 993–1006. [Google Scholar] [CrossRef]
- Du, D.; Zhuang, Y.; Sun, Q.; Yang, X.; Dias, D. Bearing capacity evaluation for shallow foundations on unsaturated soils using discretization technique. Comput. Geotech. 2021, 137, 104309. [Google Scholar] [CrossRef]
- Du, J.; Ye, F. The bearing capacity of strip footings adjacent to the crest of unsaturated soil slopes. Environ. Earth Sci. 2021, 80, 664. [Google Scholar] [CrossRef]












| Soil Types | Name and Properties of Soils | |
|---|---|---|
| Medium hard soil | ; hard loess | |
| Medium soft soil | , plastic new loess | |
| Soft soil | , flow plastic loess |
| Design Earthquake Grouping | Site Classification | ||||
|---|---|---|---|---|---|
| II | III | IV | |||
| Group 1 | 0.20 | 0.25 | 0.35 | 0.45 | 0.65 |
| Group 1 | 0.25 | 0.30 | 0.40 | 0.55 | 0.75 |
| Group 1 | 0.30 | 0.35 | 0.45 | 0.65 | 0.90 |
| Soil Types | ψ | ||||
|---|---|---|---|---|---|
| Clay | 2 | 0.005 | 5 × 10−8 | 10 | 18 |
| Silt | 2 | 0.01 | 5 × 10−7 | 10 | 18 |
| Loess | 4 | 0.025 | 5 × 10−6 | 0 | 18 |
| Sand | 4 | 0.1 | 5 × 10−5 | 0 | 18 |
| Constraints/Conditions | |
|---|---|
| Geometric compatibility | |
| Kinematic admissibility | |
| Range of values |
| Difference (%) | ||
|---|---|---|
| 3 | 339.64 | |
| 4 | 330.17 | 2.79 |
| 5 | 326.76 | 1.03 |
| 6 | 325.16 | 0.49 |
| 7 | 324.29 | 0.27 |
| 8 | 323.76 | 0.16 |
| 9 | 323.41 | 0.10 |
Disclaimer/Publisher’s Note: The statements, opinions and data contained in all publications are solely those of the individual author(s) and contributor(s) and not of MDPI and/or the editor(s). MDPI and/or the editor(s) disclaim responsibility for any injury to people or property resulting from any ideas, methods, instructions or products referred to in the content. |
© 2023 by the authors. Licensee MDPI, Basel, Switzerland. This article is an open access article distributed under the terms and conditions of the Creative Commons Attribution (CC BY) license (https://creativecommons.org/licenses/by/4.0/).
Share and Cite
Xu, S.; Zhou, D. Seismic Bearing Capacity Solution for Strip Footings in Unsaturated Soils with Modified Pseudo-Dynamic Approach. Mathematics 2023, 11, 2692. https://doi.org/10.3390/math11122692
Xu S, Zhou D. Seismic Bearing Capacity Solution for Strip Footings in Unsaturated Soils with Modified Pseudo-Dynamic Approach. Mathematics. 2023; 11(12):2692. https://doi.org/10.3390/math11122692
Chicago/Turabian StyleXu, Sheng, and De Zhou. 2023. "Seismic Bearing Capacity Solution for Strip Footings in Unsaturated Soils with Modified Pseudo-Dynamic Approach" Mathematics 11, no. 12: 2692. https://doi.org/10.3390/math11122692
APA StyleXu, S., & Zhou, D. (2023). Seismic Bearing Capacity Solution for Strip Footings in Unsaturated Soils with Modified Pseudo-Dynamic Approach. Mathematics, 11(12), 2692. https://doi.org/10.3390/math11122692
