An Adaptive Controller Design for Nonlinear Active Air Suspension Systems with Uncertainties
Abstract
1. Introduction
2. Problem Formulation and Controller Design
3. Simulation Verification
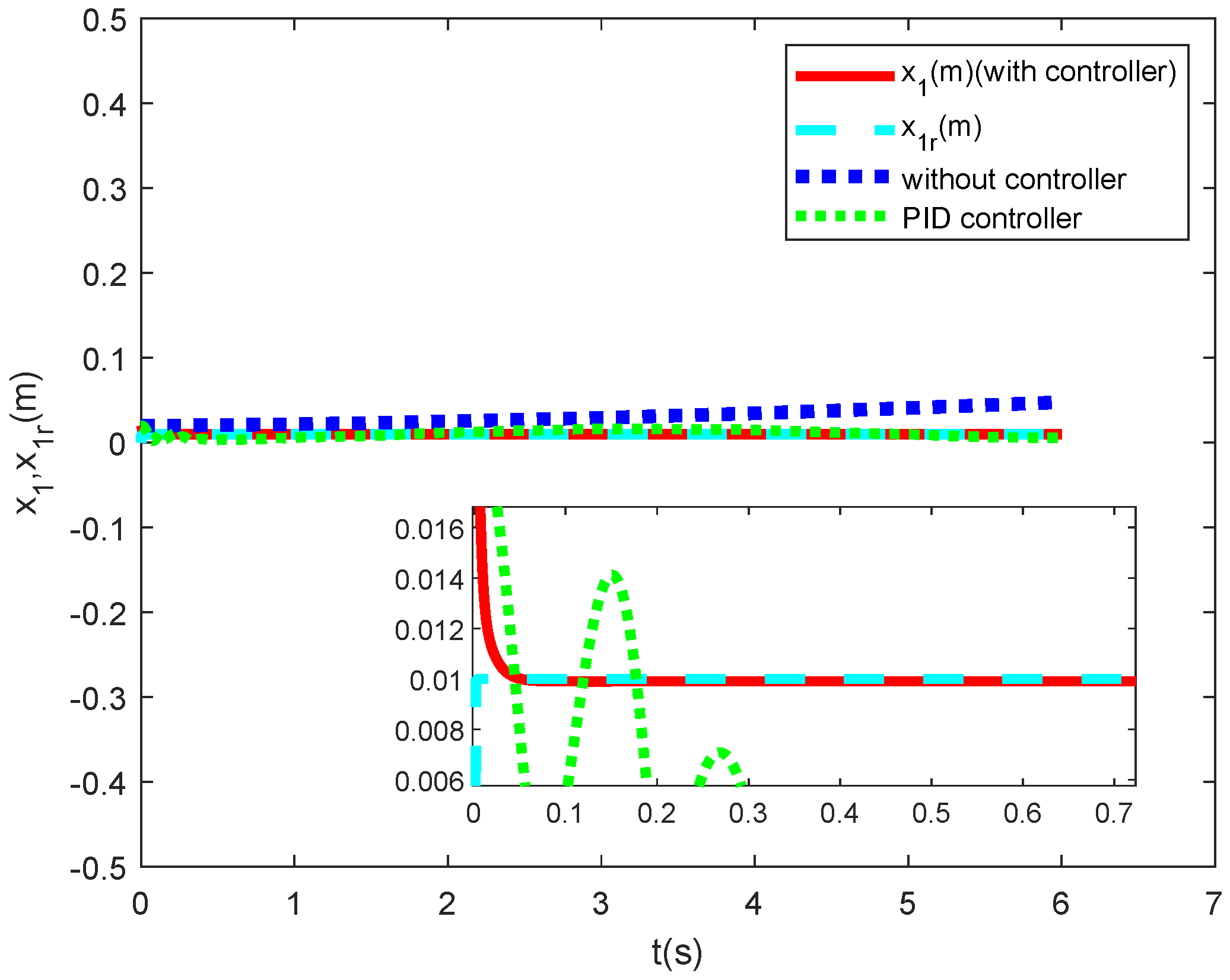
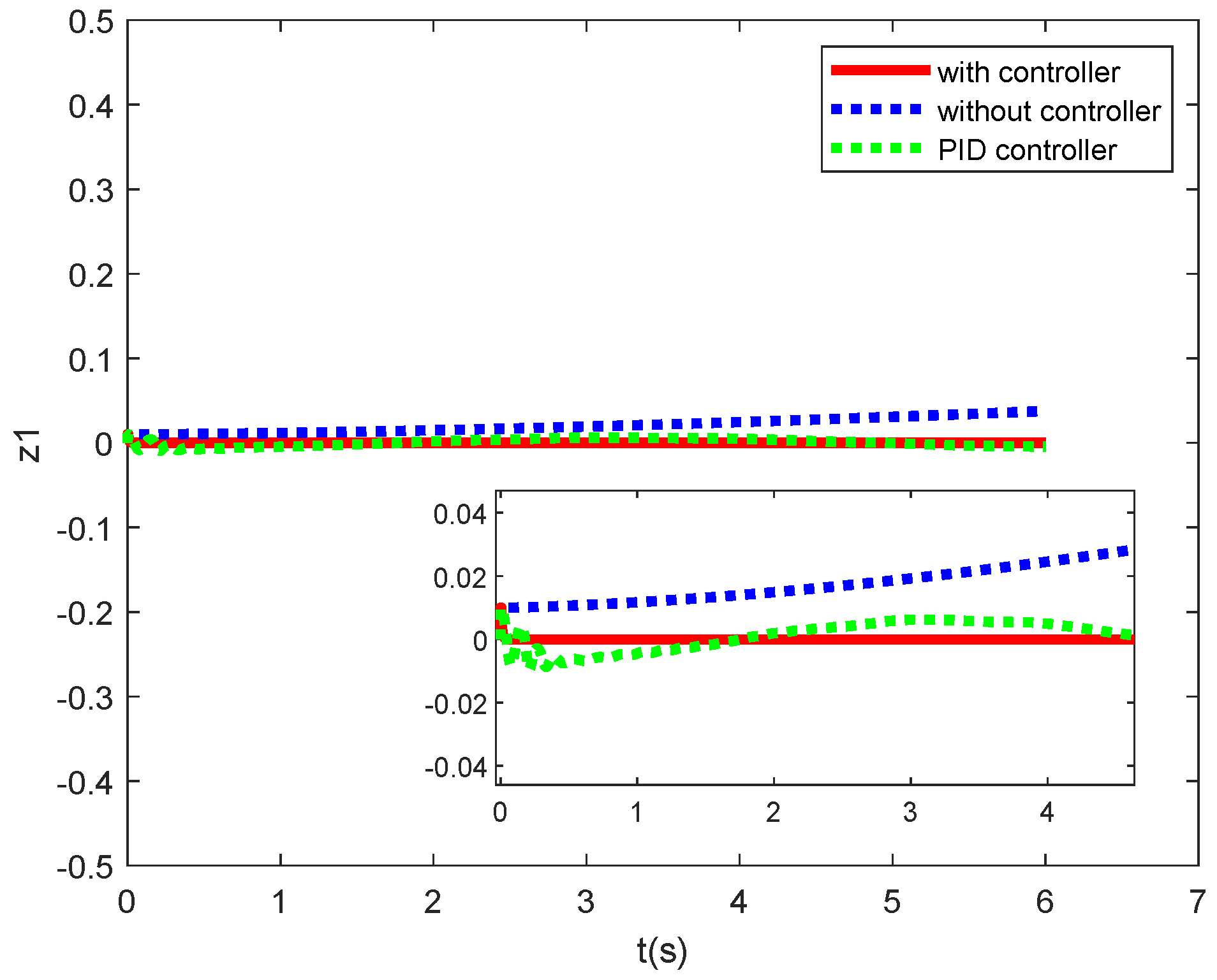
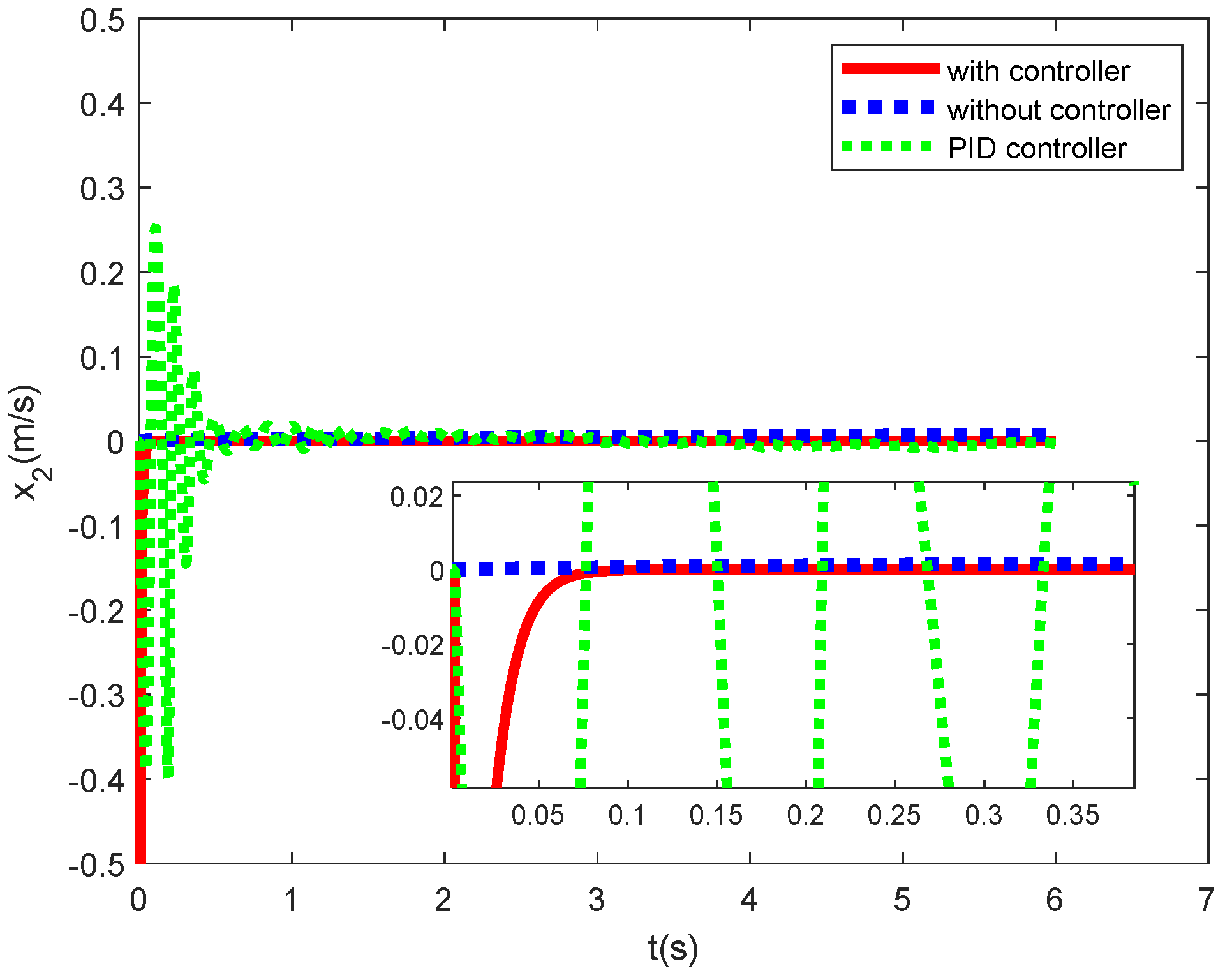
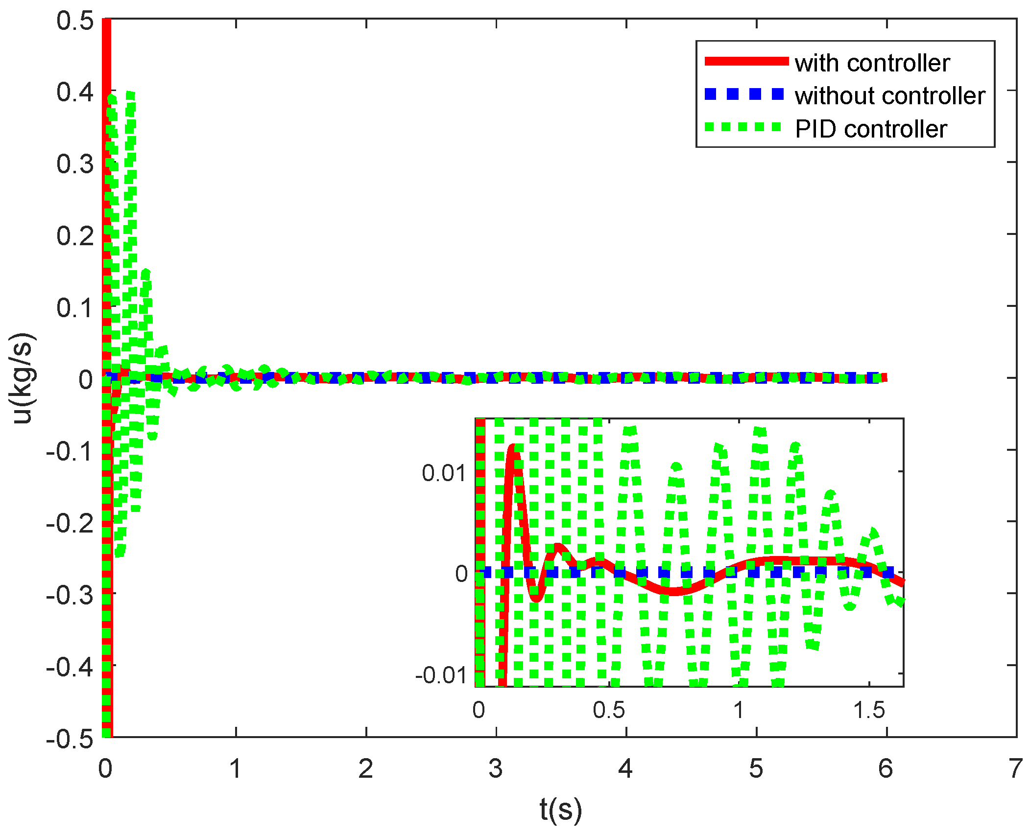
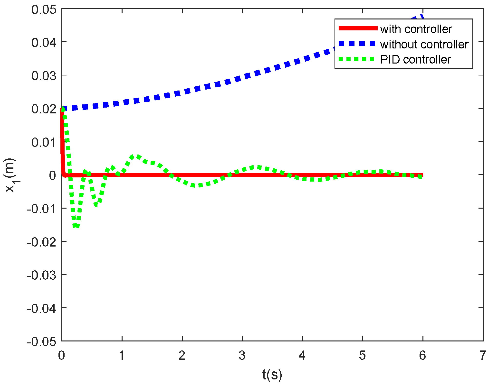
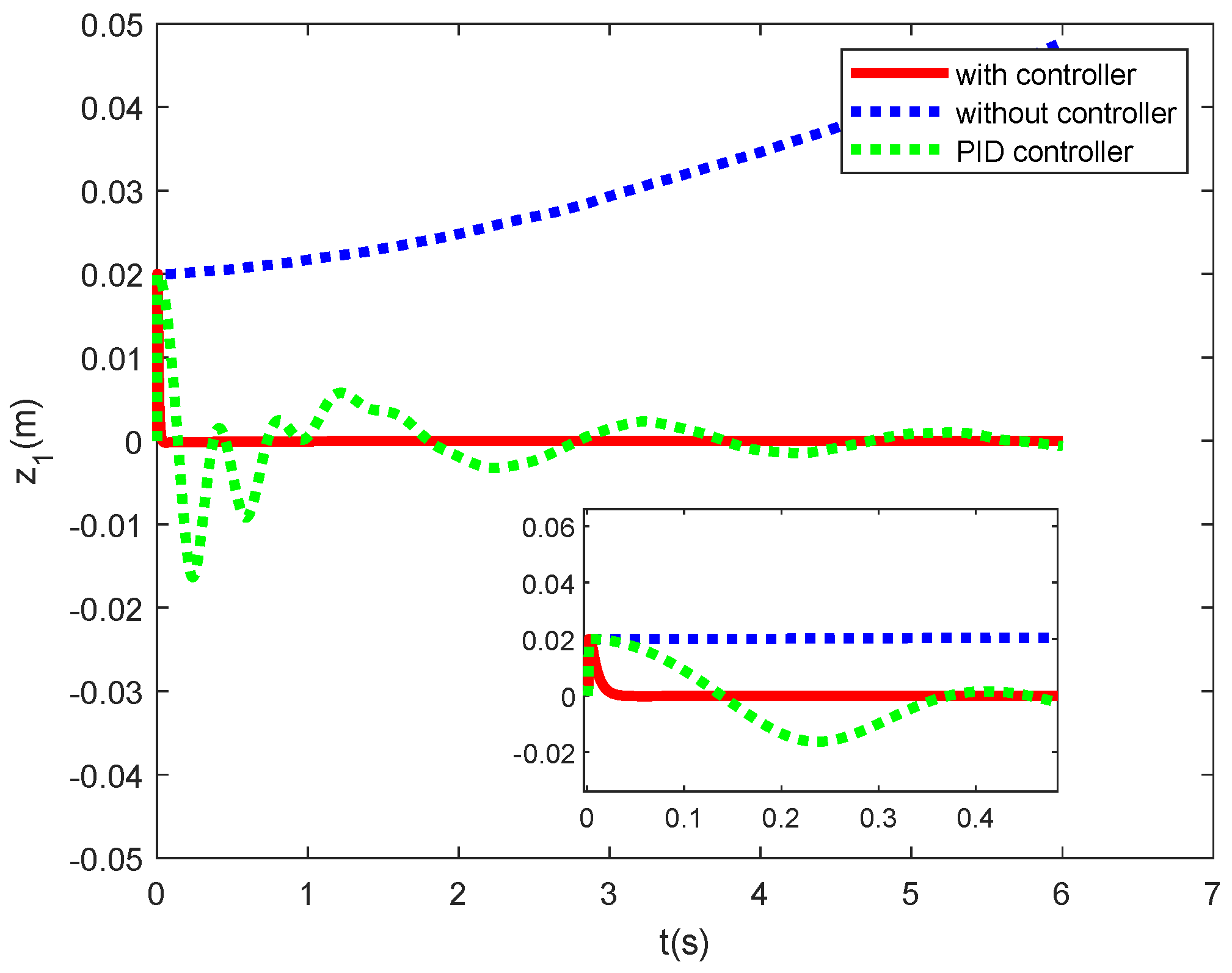
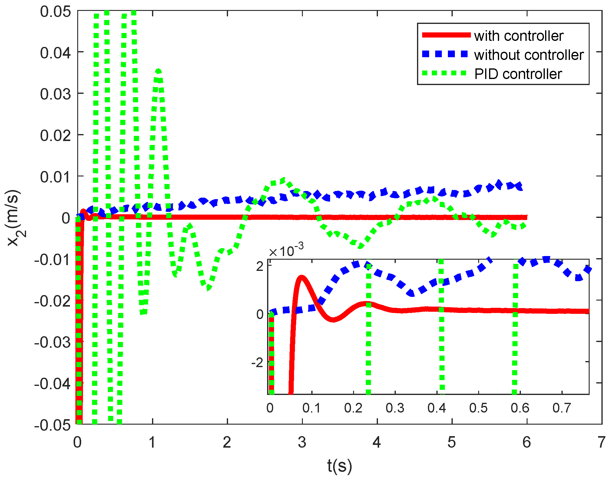
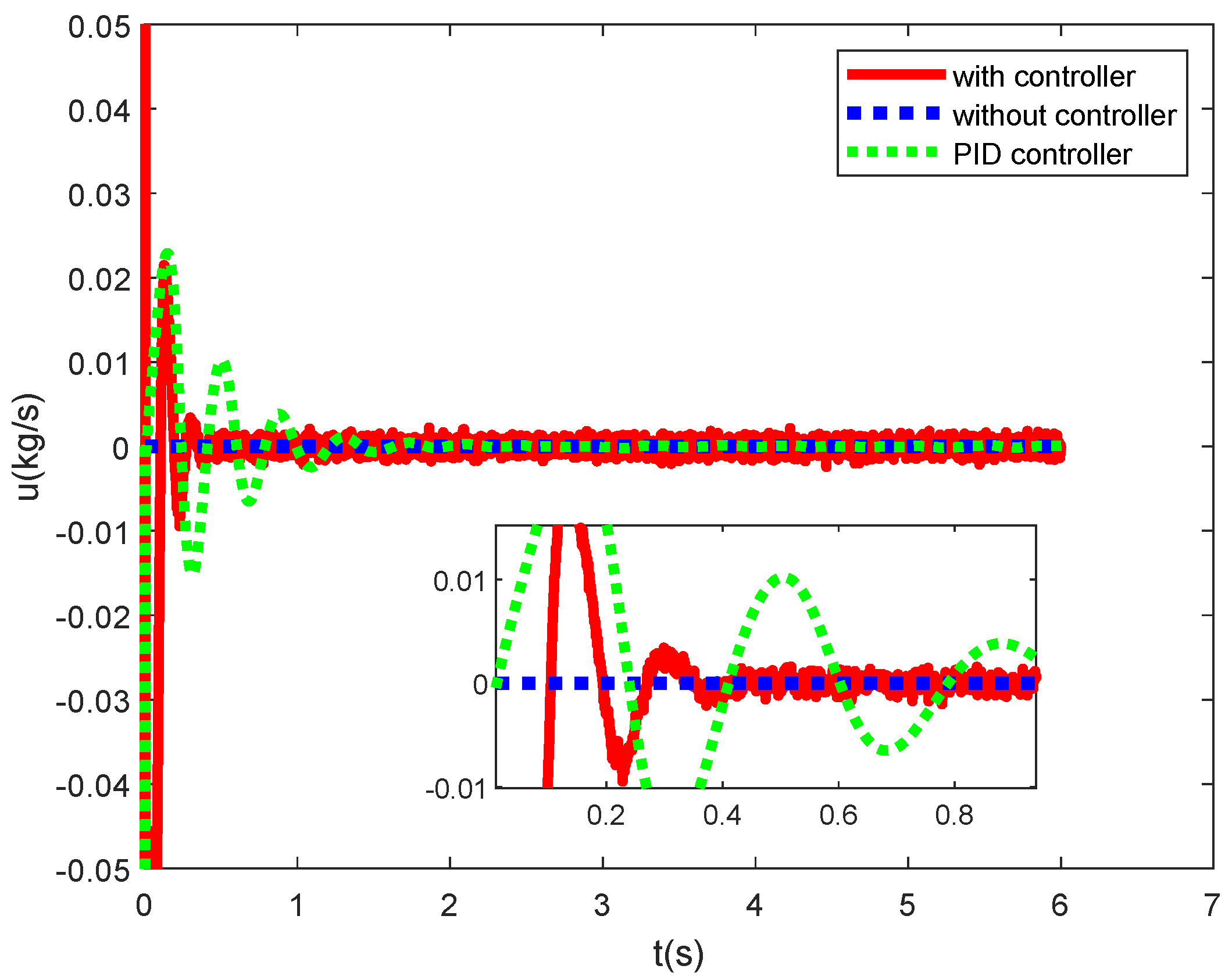
3.1. Sinusoidal Road Input
3.2. Random Road Input
4. Conclusions
Author Contributions
Funding
Data Availability Statement
Conflicts of Interest
References
- Zhang, J.; Sun, W.; Du, H. Integrated Motion Control Scheme for Four-Wheel-Independent Vehicles Considering Critical Conditions. IEEE Trans. Veh. Technol. 2019, 68, 7488–7497. [Google Scholar] [CrossRef]
- Jin, X.; Wang, J.; Sun, S.; Li, S.; Yang, J.; Yan, Z. Design of Constrained Robust Controller for Active Suspension of In-Wheel-Drive Electric Vehicles. Mathematics 2021, 9, 249. [Google Scholar] [CrossRef]
- Jin, X.; Wang, J.; Yang, J. Development of Robust Guaranteed Cost Mixed Control System for Active Suspension of In-Wheel-Drive Electric Vehicles. Math. Probl. Eng. 2022, 2022, 4628539. [Google Scholar] [CrossRef]
- Fu, Z.J.; Dong, X.Y. H infinity optimal control of vehicle active suspension systems in two time scales. Automatika 2021, 62, 284–292. [Google Scholar] [CrossRef]
- Zhang, J.; Sun, W.; Feng, Z. Vehicle yaw stability control via H∞ gain scheduling. Mech. Syst. Signal Process. 2018, 106, 62–75. [Google Scholar] [CrossRef]
- Veselov, G.; Sinicyn, A. Synthesis of sliding control system for automotive suspension under kinematic constraints. J. Vibroeng. 2021, 23, 1446–1455. [Google Scholar] [CrossRef]
- Zhang, W.; Fan, X. Observer-based event-triggered control and application in active suspension vehicle systems. Syst. Sci. Control Eng. 2022, 10, 282–288. [Google Scholar] [CrossRef]
- Unguritu, M.G.; Nichitelea, T.C.; Selisteanu, D. Design and Performance Assessment of Adaptive Harmonic Control for a Half-Car Active Suspension System. Complexity 2022, 2022, 3190520. [Google Scholar] [CrossRef]
- Wu, K.; Ren, C. Control and Stability Analysis of Double Time-Delay Active Suspension Based on Particle Swarm Optimization. Shock Vib. 2020, 2020, 8873701. [Google Scholar] [CrossRef]
- Zhang, J.; Sun, W.; Jing, H. Nonlinear Robust Control of Antilock Braking Systems Assisted by Active Suspensions for Automobile. IEEE Trans. Control Syst. Technol. 2019, 27, 1352–1359. [Google Scholar] [CrossRef]
- Pan, F.; Luo, J.; Wu, W. Active Disturbance Rejection Control of Voice Coil Motor Active Suspension Based on Displacement Feedback. Actuators 2022, 11, 351. [Google Scholar] [CrossRef]
- Fu, B.; Giossi, R.L.; Persson, R.; Stichel, S.; Bruni, S.; Goodall, R. Active suspension in railway vehicles: A literature survey. Railw. Eng. Sci. 2020, 28, 3–35. [Google Scholar] [CrossRef]
- Jiang, H.; Xu, G.; Zeng, W.; Gao, F.; Chong, K. Lateral Stability of a Mobile Robot Utilizing an Active Adjustable Suspension. Appl. Sci. 2019, 9, 4410. [Google Scholar] [CrossRef]
- Zhang, J.; Sun, W.; Liu, Z.; Zeng, M. Comfort braking control for brake-by-wire vehicles. Mech. Syst. Signal Process. 2019, 133, 106255. [Google Scholar] [CrossRef]
- Zhang, J.; Wang, M. Integrated Adaptive Steering Stability Control for Ground Vehicle with Actuator Saturations. Appl. Sci. 2022, 12, 8502. [Google Scholar] [CrossRef]
- Gao, S.; Zhang, B.; Sun, J. Research on the Design Method of a Bionic Suspension Workpiece Based on the Wing Structure of an Albatross. Appl. Bionics Biomech. 2019, 2019, 2539410. [Google Scholar] [CrossRef]
- Rui, B. Nonlinear adaptive sliding-mode control of the electronically controlled air suspension system. Int. J. Adv. Robot. Syst. 2019, 16, 1729881419881527. [Google Scholar] [CrossRef]
- Ha, D.V.; Tan, V.V.; Niem, V.T.; Sename, O. Evaluation of Dynamic Load Reduction for a Tractor Semi-Trailer Using the Air Suspension System at all Axles of the Semi-Trailer. Actuators 2022, 11, 12. [Google Scholar] [CrossRef]
- Chen, B.; Dong, G.; Shi, Y.; Tan, X.Y. Research on Damping Mode of Passenger Vehicle Air Suspension System. In Proceedings of the 3rd International Workshop on Renewable Energy and Development (IWRED), Guangzhou, China, 8–10 March 2019; Volume 267. [Google Scholar] [CrossRef]
- Sun, L.; Wang, Y.; Li, Z.; Geng, G.; Liao, Y.G. H-infinity Robust Control of Interconnected Air Suspension Based on Mode Switching. IEEE Access 2022, 10, 62377–62390. [Google Scholar] [CrossRef]
- Li, Z.; Zhou, Y.; Zhang, X.; Jiang, H.; Xue, H. Interconnected State Control Method and Simulations of Four-corner Interconnected Air Suspension. In Proceedings of the 6th International Conference on Mechanical, Materials and Manufacturing (ICMMM), Boston, MA, USA, 12–14 October 2019; Volume 689. [Google Scholar] [CrossRef]
- Zhao, Y.; Sun, X.; Wang, G.; Fan, Y. Adaptive Backstepping Sliding Mode Tracking Control for Underactuated Unmanned Surface Vehicle With Disturbances and Input Saturation. IEEE Access 2021, 9, 1304–1312. [Google Scholar] [CrossRef]
- Qian, F.; Cai, J.; Wang, B.; Yu, R. Adaptive Backstepping Control for a Class of Nonlinear Systems with Unknown Time Delay. IEEE Access 2020, 8, 229–236. [Google Scholar] [CrossRef]
- Jeon, B.J.; Seo, M.G.; Shin, H.S.; Tsourdos, A. Closed-loop Analysis with Incremental Backstepping Controller considering Measurement Bias. IFAC Pap. 2019, 52, 405–410. [Google Scholar] [CrossRef]
- Brummelhuis, K.; Saikumar, N.; Van Wingerden, J.W.; HosseinNia, S.H. Adaptive Feedforward Control For Reset Feedback Control Systems—Application in Precision Motion Control. In Proceedings of the 2021 European Control Conference (ECC), Delft, The Netherlands, 29 Jun–2 July 2021; pp. 2450–2457. [Google Scholar]
- Alwan, N.A.S.; Hussain, Z.M. Deep Learning for Robust Adaptive Inverse Control of Nonlinear Dynamic Systems: Improved Settling Time with an Autoencoder. Sensors 2022, 22, 5935. [Google Scholar] [CrossRef]
- Quang, L.H.; Putov, V.V.; Sheludko, V.N. Adaptive robust control of a multi-degree-of-freedom mechanical plant with resilient properties. In Proceedings of the 14th International Symposium on Intelligent Systems, ELECTR NETWORK, Montreal, QC, Canada, 14–16 December 2020; Zelinka, I., Pereira, F., Das, S., Ilin, A., Diveev, A., Nikulchev, E., Eds.; 2021; Volume 186, pp. 611–619. [Google Scholar] [CrossRef]
- Sun, W.; Zhang, J. Heavy Vehicle Air Suspension Control Considering Ride Comfort and Height Regulation. Control Theory Appl. 2022, 39, 1002–1010. [Google Scholar]













| Parament | Value | Parament | Value |
|---|---|---|---|
| 1535 kg | 400 kg | ||
| 10,000 Ns/m | 650,000 Ns/m | ||
| 11,086 Ns/m | K | 1.4 | |
| T | 293.15 k | R | 287.1 |
| Parament | Value | Parament | Value |
|---|---|---|---|
| 100 | 100 | ||
| 100 | 100 |
Disclaimer/Publisher’s Note: The statements, opinions and data contained in all publications are solely those of the individual author(s) and contributor(s) and not of MDPI and/or the editor(s). MDPI and/or the editor(s) disclaim responsibility for any injury to people or property resulting from any ideas, methods, instructions or products referred to in the content. |
© 2023 by the authors. Licensee MDPI, Basel, Switzerland. This article is an open access article distributed under the terms and conditions of the Creative Commons Attribution (CC BY) license (https://creativecommons.org/licenses/by/4.0/).
Share and Cite
Zhang, J.; Yang, Y.; Hu, C. An Adaptive Controller Design for Nonlinear Active Air Suspension Systems with Uncertainties. Mathematics 2023, 11, 2626. https://doi.org/10.3390/math11122626
Zhang J, Yang Y, Hu C. An Adaptive Controller Design for Nonlinear Active Air Suspension Systems with Uncertainties. Mathematics. 2023; 11(12):2626. https://doi.org/10.3390/math11122626
Chicago/Turabian StyleZhang, Jinhua, Yi Yang, and Cheng Hu. 2023. "An Adaptive Controller Design for Nonlinear Active Air Suspension Systems with Uncertainties" Mathematics 11, no. 12: 2626. https://doi.org/10.3390/math11122626
APA StyleZhang, J., Yang, Y., & Hu, C. (2023). An Adaptive Controller Design for Nonlinear Active Air Suspension Systems with Uncertainties. Mathematics, 11(12), 2626. https://doi.org/10.3390/math11122626
