Optimal Robust Tracking Control of Injection Velocity in an Injection Molding Machine
Abstract
1. Introduction
- (1)
- The dynamic mathematical modeling of the speed servo system of the variable speed pump-controlled hydraulic cylinder in a typical IMM is carried out, and the differential plane flatness characteristics of the nonlinear dynamic system are proven.
- (2)
- The underlying nonlinear dynamic system is high-fidelity linearized using Taylor series expansion, which can help further streamline the design of the ensuing robust controller.
- (3)
- A stabilizing optimal controller is proposed for the actuator, and it is demonstrated that the suggested feedback controller exhibits properties of global stability based on a rigorous Lyapunov theoretical analysis.
- (4)
- Sufficient numerical experimental results verify the viability and efficiency of the proposed approach.
2. Problem Formulation
2.1. Mathematical Model of the IMM
2.2. Objective Function
3. Optimal Robust Controller Design
3.1. Differential Flatness Properties of System (7)
3.2. Taylor Series Expansion
3.3. Optimal Robust Controller Design
4. Lyapunov Stability Analysis
- (i)
- to be continuous and to have a continuous first order derivative at .
- (ii)
- , if and .
- (iii)
- , .
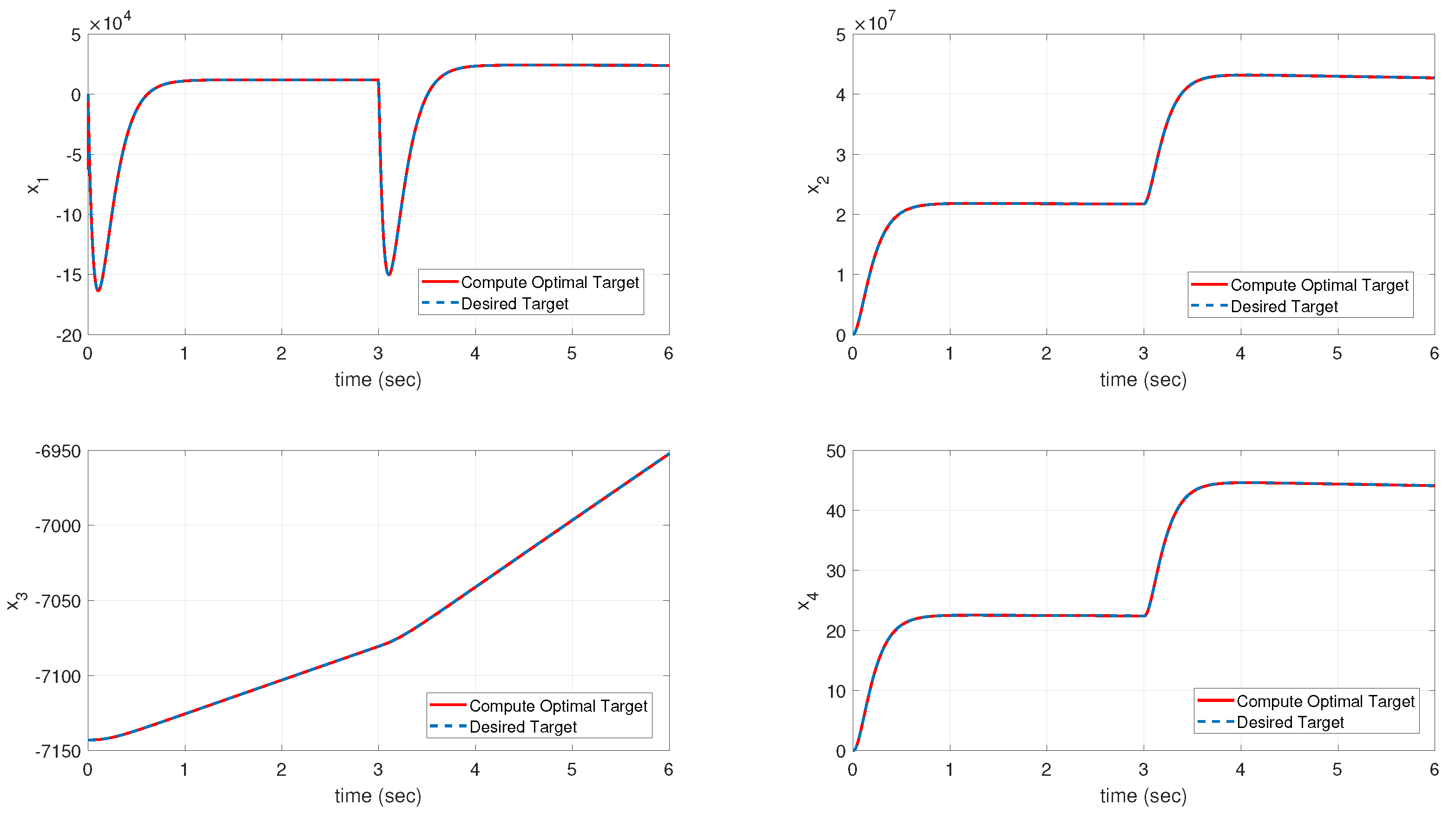
5. Numerical Simulations
6. Conclusions
Author Contributions
Funding
Data Availability Statement
Conflicts of Interest
References
- Zheng, R.; Tanner, R.I.; Fan, X.-J. Injection Molding: Integration of Theory and Modeling Methods; Springer Science & Business Media: Berlin/Heidelberg, Germany, 2011. [Google Scholar]
- Chaoyan, L. Progress of World Plastics Industry (I), 2020; General Plastics: Nanjing, China, 2021; Volume 50, pp. 1–16. [Google Scholar]
- Fernandes, C.; Pontes, A.J.; Viana, J.C.; Gaspar-Cunha, A. Modeling and optimization of the injection-molding process: A review. Adv. Polym. Technol. 2018, 37, 2018. [Google Scholar] [CrossRef]
- Gao, H.; Zhang, Y.; Zhou, X.; Li, D. Intelligent methods for the process parameter determination of plastic injection molding. Front. Mech. Eng. 2018, 13, 85–95. [Google Scholar] [CrossRef]
- Fu, H.; Xu, H.; Liu, Y.; Yang, Z.; Kormakov, S.; Wu, D.; Sun, J. Overview of injection molding technology for processing polymers and their composites. ES Mater. Manuf. 2020, 8, 3–23. [Google Scholar] [CrossRef]
- Huang, S.; Tan, K.K.; Lee, T.H. Predictive control of ram velocity in injection molding. Polym.-Plast. Technol. Eng. 1999, 38, 285–303. [Google Scholar] [CrossRef]
- Dubay, R.; Pramujati, B.; Han, J.; Strohmaier, F. An investigation on the application of predictive control for controlling screw position and velocity on an injection molding machine. Polym. Eng. Sci. 2007, 47, 390–399. [Google Scholar] [CrossRef]
- Zhao, P.; Zhang, J.; Dong, Z.; Huang, J.; Zhou, H.; Fu, J.; Turng, L.-S. Intelligent injection molding on sensing, optimization, and control. Adv. Polym. Technol. 2020, 2020, 1–22. [Google Scholar] [CrossRef]
- Tan, K.K.; Huang, S.; Jiang, X. Adaptive control of ram velocity for the injection moulding machine. IEEE Trans. Control. Syst. Technol. 2001, 9, 663–671. [Google Scholar] [CrossRef]
- Reiter, M.; Stemmler, S.; Hopmann, C.; Reßmann, A.; Abel, D. Model predictive control of cavity pressure in an injection moulding process. IFAC Proc. Vol. 2014, 47, 4358–4363. [Google Scholar] [CrossRef]
- Wu, S.; Jin, Q.; Zhang, R.; Zhang, J.; Gao, F. Improved design of constrained model predictive tracking control for batch processes against unknown uncertainties. ISA Trans. 2017, 69, 273–280. [Google Scholar] [CrossRef]
- Zou, T.; Wu, S.; Zhang, R. Improved state space model predictive fault-tolerant control for injection molding batch processes with partial actuator faults using ga optimization. ISA Trans. 2018, 73, 147–153. [Google Scholar] [CrossRef]
- Froehlich, C.; Kemmetmüller, W.; Kugi, A. Control-oriented modeling of servo-pump driven injection molding machines in the filling and packing phase. Math. Comput. Model. Dyn. Syst. 2018, 24, 451–474. [Google Scholar] [CrossRef]
- Han, C.; Jia, L.; Peng, D. Model predictive control of batch processes based on two-dimensional integration frame. Nonlinear Anal. Hybrid Syst. 2018, 28, 75–86. [Google Scholar] [CrossRef]
- Froehlich, C.; Kemmetmüller, W.; Kugi, A. Model-predictive control of servo-pump driven injection molding machines. IEEE Trans. Control Syst. Technol. 2019, 28, 1665–1680. [Google Scholar] [CrossRef]
- Wu, S.; Zhang, R. A two-dimensional design of model predictive control for batch processes with two-dimensional (2D) dynamics using extended non-minimal state space structure. J. Process. Control 2019, 81, 172–189. [Google Scholar] [CrossRef]
- Khosravani, M.R.; Nasiri, S. Injection molding manufacturing process: Review of case-based reasoning applications. J. Intell. Manuf. 2020, 31, 847–864. [Google Scholar] [CrossRef]
- Liu, J.; Guo, F.; Gao, H.; Li, M.; Zhang, Y.; Zhou, H. Defect detection of injection molding products on small datasets using transfer learning. J. Manuf. Process. 2021, 70, 400–413. [Google Scholar] [CrossRef]
- Ren, Z.; Li, Y.; Wu, Z.; Xie, S. Deep learning-based predictive control of injection velocity in injection molding machines. Adv. Polym. Technol. 2022, 2022, 7662264. [Google Scholar] [CrossRef]
- Cho, Y.; Cho, H.; Lee, C.-O. Optimal open-loop control of the mould filling process for injection moulding machines. Optim. Control. Appl. Methods 1983, 4, 1–12. [Google Scholar] [CrossRef]
- Havlicsek, H.; Alleyne, A. Nonlinear control of an electrohydraulic injection molding machine via iterative adaptive learning. IEEE/ASME Trans. Mechatronics 1999, 4, 312–323. [Google Scholar] [CrossRef]
- Dubay, R. Self-optimizing MPC of melt temperature in injection moulding. ISA Trans. 2002, 41, 81–94. [Google Scholar] [CrossRef]
- Yao, K.; Gao, F. Optimal start-up control of injection molding barrel temperature. Polym. Eng. Sci. 2007, 47, 254–261. [Google Scholar] [CrossRef]
- Chen, W.-C.; Tai, P.-H.; Wang, M.-W.; Deng, W.-J.; Chen, C.-T. A neural network-based approach for dynamic quality prediction in a plastic injection molding process. Expert Syst. Appl. 2008, 35, 843–849. [Google Scholar] [CrossRef]
- Xia, W.; Luo, B.; Liao, X. An enhanced optimization approach based on gaussian process surrogate model for process control in injection molding. Int. J. Adv. Manuf. Technol. 2011, 56, 929C942. [Google Scholar] [CrossRef]
- Farahani, S.; Khade, V.; Basu, S.; Pilla, S. A data-driven predictive maintenance framework for injection molding process. J. Manuf. Process. 2022, 80, 887–897. [Google Scholar] [CrossRef]
- Xiao, H.; Meng, Q.-X.; Lai, X.-Z.; Yan, Z.; Zhao, S.-Y.; Wu, M. Design and trajectory tracking control of a novel pneumatic bellows actuator. Nonlinear Dyn. 2022, 111, 1–18. [Google Scholar] [CrossRef]
- Ren, Z.; Wu, G.; Wu, Z.; Xie, S. Hybrid dynamic optimal tracking control of hydraulic cylinder speed in injection molding industry process. J. Ind. Manag. Optim. 2023, 19, 5209–5229. [Google Scholar] [CrossRef]
- Ruan, Y.; Gao, H.; Li, D. Improving the consistency of injection molding products by intelligent temperature compensation control. Adv. Polym. Technol. 2019, 2019, 1591204. [Google Scholar] [CrossRef]
- Stemmler, S.; Vukovic, M.; Ay, M.; Heinisch, J.; Lockner, Y.; Abel, D.; Hopmann, C. Quality control in injection molding based on norm-optimal iterative learning cavity pressure control. IFAC-PapersOnLine 2020, 53, 10380–10387. [Google Scholar] [CrossRef]
- Guo, F.; Zhou, X.; Liu, J.; Zhang, Y.; Li, D.; Zhou, H. A reinforcement learning decision model for online process parameters optimization from offline data in injection molding. Appl. Soft Comput. 2019, 85, 105828. [Google Scholar] [CrossRef]
- Tian, Y.-C.; Gao, F. Injection velocity control of thermoplastic injection molding via a double controller scheme. Ind. Eng. Chem. Res. 1999, 38, 3396–3406. [Google Scholar] [CrossRef]
- Yang, A.; Guo, W.; Han, T.; Zhao, C.; Zhou, H.; Cai, J. Feedback control of injection rate of the injection molding machine based on pid improved by unsaturated integral. Shock Vib. 2021, 2021, 1–9. [Google Scholar] [CrossRef]
- Wang, J.; Mao, Q.; Jiang, N.; Chen, J. Effects of injection molding parameters on properties of insert-injection molded polypropylene single-polymer composites. Polymers 2021, 14, 23. [Google Scholar] [CrossRef] [PubMed]
- Bartle, R.G.; Sherbert, D.R. Introduction to Real Analysis; Wiley: New York, NY, USA, 2000. [Google Scholar]
- Nguyen, N.T. Lyapunov stability theory. In Model-Reference Adaptive Control: A Primer; Springer: Berlin/Heidelberg, Germany, 2018; pp. 47–81. [Google Scholar]
- Farkas, B.; Wegner, S.-A. Variations on barbălat’s lemma. Am. Math. Mon. 2016, 123, 825–830. [Google Scholar] [CrossRef]






| Variable | Variable Symbol | Value |
|---|---|---|
| Speed gain | 100 | |
| Time constant | 0.005 | |
| Oil viscosity | ||
| Elastic modulus of oil volume | ||
| Total volume of high pressure chamber | ||
| Effective area of rodless chamber | ||
| Displacement of quantitative pump | ||
| Leakage coefficient of quantitative pump |
| 102.1911 | ||||
| 147.2880 | ||||
| 180.0929 | ||||
| 417.7483 | ||||
| 464.5643 | ||||
| 509.3806 |
| 102.1911 | ||||
| 147.2576 | ||||
| 541.8267 | ||||
| 625.1940 | ||||
| 471.6619 | ||||
| 508.2908 |
| 464.2767 | ||||
| 464.8364 | ||||
| 465.3996 | ||||
| 466.5362 | ||||
| 467.1095 | ||||
| 468.2659 |
Disclaimer/Publisher’s Note: The statements, opinions and data contained in all publications are solely those of the individual author(s) and contributor(s) and not of MDPI and/or the editor(s). MDPI and/or the editor(s) disclaim responsibility for any injury to people or property resulting from any ideas, methods, instructions or products referred to in the content. |
© 2023 by the authors. Licensee MDPI, Basel, Switzerland. This article is an open access article distributed under the terms and conditions of the Creative Commons Attribution (CC BY) license (https://creativecommons.org/licenses/by/4.0/).
Share and Cite
Wu, G.; Ren, Z.; Li, J.; Wu, Z. Optimal Robust Tracking Control of Injection Velocity in an Injection Molding Machine. Mathematics 2023, 11, 2619. https://doi.org/10.3390/math11122619
Wu G, Ren Z, Li J, Wu Z. Optimal Robust Tracking Control of Injection Velocity in an Injection Molding Machine. Mathematics. 2023; 11(12):2619. https://doi.org/10.3390/math11122619
Chicago/Turabian StyleWu, Guoshen, Zhigang Ren, Jiajun Li, and Zongze Wu. 2023. "Optimal Robust Tracking Control of Injection Velocity in an Injection Molding Machine" Mathematics 11, no. 12: 2619. https://doi.org/10.3390/math11122619
APA StyleWu, G., Ren, Z., Li, J., & Wu, Z. (2023). Optimal Robust Tracking Control of Injection Velocity in an Injection Molding Machine. Mathematics, 11(12), 2619. https://doi.org/10.3390/math11122619

