Modeling and Simulation for Non-Motorized Vehicle Flow on Road Based on Modified Social Force Model
Abstract
1. Introduction
- In the original SFM model, we introduced a behavioral force model, which involves three common interaction behaviors of non-motorized vehicles, namely, free movement, following and overtaking.
- The model was calibrated using trajectory data collected in Xi’an, Shanxi, China, and satisfactory performance was obtained. Simulations are used to determine how the number of bikes in the road affects the average speed of electric vehicles.
2. Methods
2.1. Modified Social Force Model
2.2. Decision for Free Movement, following and Overtaking Behaviors
2.3. Behavior Force Model
2.3.1. The Free Movement Force Model
2.3.2. The Bicycle-Following Force Model
2.3.3. The Overtaking Force Model
3. Case Study
3.1. Data
3.2. Model Calibration
3.3. Simulation Results and Discussion
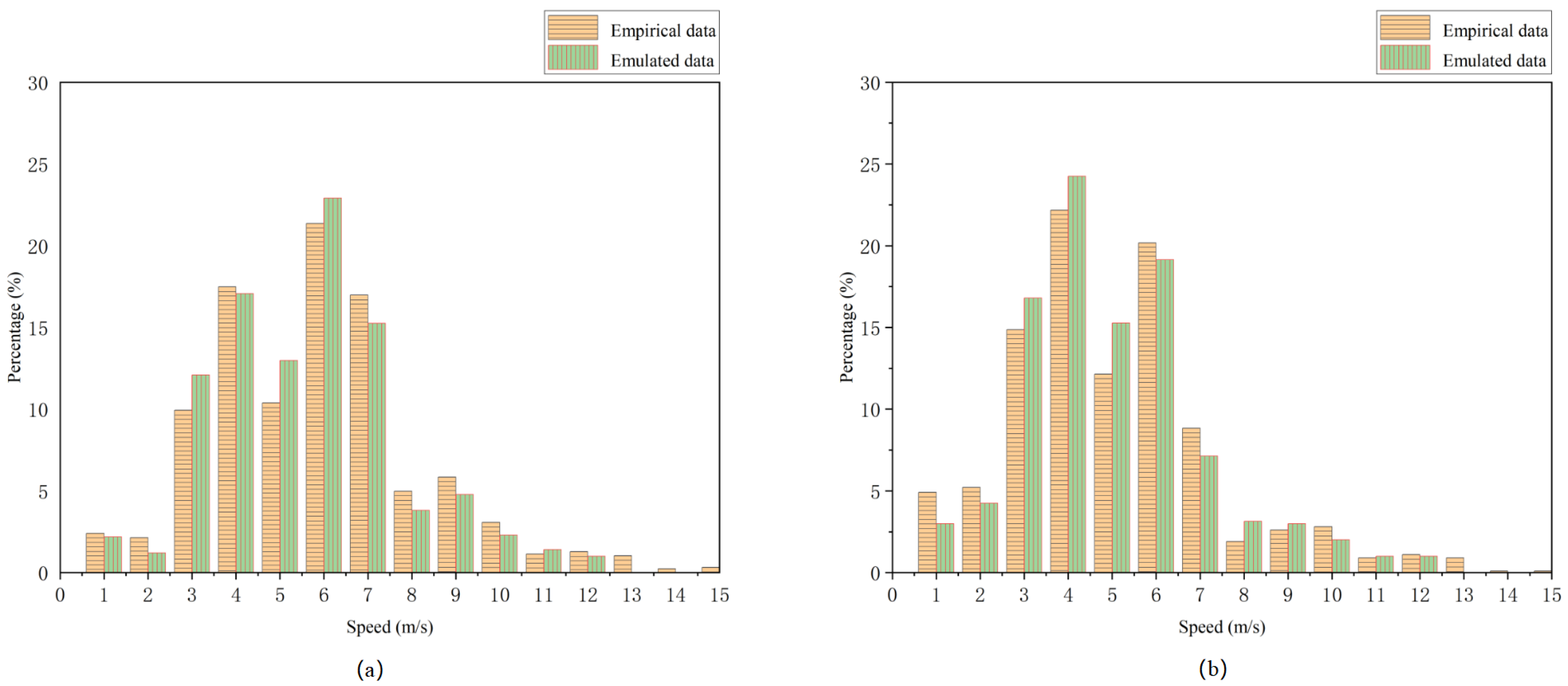
3.3.1. Speed Analysis
3.3.2. Decision Process Analysis
3.3.3. Model Comparison
3.4. Model Application
3.4.1. The Influence of Bicycle Ratio on the Speed of Electric Vehicles
3.4.2. The Impact of the Average Speed of Electric Vehicles on the Overall Traffic Speed
4. Conclusions
Author Contributions
Funding
Institutional Review Board Statement
Informed Consent Statement
Data Availability Statement
Conflicts of Interest
References
- Gavriilidou, A.; Wierbos, M.J.; Daamen, W.; Yuan, Y.; Knoop, V.L.; Hoogendoorn, S.P. Large-Scale Bicycle Flow Experiment: Setup and Implementation. Transp. Res. Rec. 2019, 5, 709–719. [Google Scholar] [CrossRef]
- Billot-Grasset, A.; Hours, M. How cyclist behavior affects bicycle accident configurations? Transp. Res. Part F Traffic Psychol. Behav. 2016, 41, 261–276. [Google Scholar] [CrossRef]
- Langford, B.C.; Chen, J.; Cherry, C.R. Risky riding: Naturalistic methods comparing safety behavior from conventional bicycle riders and electric bike riders. Accid. Anal. Prev. 2015, 82, 220–226. [Google Scholar] [CrossRef] [PubMed]
- Yuan, Y.; Daamen, W.; Goñi-Ros, B.; Hoogendoorn, S. Investigating cyclist interaction behavior through a controlled laboratory experiment. J. Transp. Land Use 2008, 11, 833–847. [Google Scholar] [CrossRef]
- Tang, T.Q.; Zhang, B.T.; Xie, C.Z. Modeling and simulation of pedestrian flow in university canteen. Simul. Model. Pract. Theory 2019, 95, 96–111. [Google Scholar] [CrossRef]
- Chen, L.; Tang, T.Q.; Huang, H.J.; Wu, J.J.; Song, Z. Modeling pedestrian flow accounting for collision avoidance during evacuation. Simul. Model. Pract. Theory 2018, 82, 1–11. [Google Scholar] [CrossRef]
- Cao, S.C.; Sun, F.Y.; Li, Y. A Cellular Automaton Simulation Model Considering Spatial-temporal Distribution for Mixed Bicycle Flows. J. Transp. Inf. Saf. 2022, 40, 98–107. [Google Scholar]
- Taherifar, N.; Hamedmoghadam, H.; Sree, S.; Saberi, M. A macroscopic approach for calibration and validation of a modified social force model for bidirectional pedestrian streams. Transp. Transp. Sci. 2019, 15, 1637–1661. [Google Scholar] [CrossRef]
- Li, J.; Liu, W.; Zhang, F.; Li, T.; Wang, R. A Ship Fire Escape Speed Correction Method Considering the Influence of Crowd Interaction. Mathematics 2022, 10, 2749. [Google Scholar] [CrossRef]
- Deng, K.; Zhang, Q.; Zhang, H.; Xiao, P.; Chen, J. Optimal Emergency Evacuation Route Planning Model Based on Fire Prediction Data. Mathematics 2022, 10, 3146. [Google Scholar] [CrossRef]
- Huang, L.; Gong, J.; Li, W.; Xu, T.; Shen, S.; Liang, J.; Feng, Q.; Zhang, D.; Sun, J. Social force model-based group behavior simulation in virtual geographic environments. ISPRS Int. J. Geo-Inf. 2018, 7, 79. [Google Scholar] [CrossRef]
- Han, Y.; Liu, H. Modified social force model based on information transmission toward crowd evacuation simulation. Physica A 2017, 469, 499–509. [Google Scholar] [CrossRef]
- Guo, Y.; Ma, S.; Wei, F.; Lu, L.; Sun, F.; Wang, J. Analysis of Behavior Characteristics for Pedestrian Twice-Crossing at Signalized Intersections Based on an Improved Social Force Model. Sustainability 2022, 14, 2003. [Google Scholar] [CrossRef]
- Qin, X.; Liu, H.; Zhang, H.; Liu, B. A collective motion model based on two-layer relationship mechanism for bi-direction pedestrian flow simulation. Simul. Model. Pract. Theory 2018, 84, 268–285. [Google Scholar] [CrossRef]
- Zhou, X.; Ji, Y.; Yuan, Y.; Zhang, F.; An, Q. Spatiotemporal characteristics analysis of commuting by shared electric bike: A case study of Ningbo, China. J. Clean. Prod. 2022, 362, 132337. [Google Scholar] [CrossRef]
- Li, M.; Chen, T.; Du, H.; Ma, N.; Xi, X. The speed and configuration of cyclist social groups: A field study. Phys. A Stat. Mech. Appl. 2022, 592, 126849. [Google Scholar] [CrossRef]
- Liu, Q.; Lu, L.; Zhang, Y.; Hu, M. Modeling the dynamics of pedestrian evacuation in a complex environment. Phys. A Stat. Mech. Appl.. 2022, 585, 126426. [Google Scholar] [CrossRef]
- Liu, M.; Chen, T.; Matunaga, C.; Oeda, Y.; Sumi, T. Simulation of dispersion effects by considering interactions of pedestrians and bicyclists using an agent space model. Comput. Environ. Urban Syst. 2022, 91, 101725. [Google Scholar] [CrossRef]
- Anvari, B.; Bell, M.; Sivakumar, A.; Ochieng, W.Y. Modelling shared space users via rule-based social force model. Transp. Res. Part C Emerg. Technol. 2015, 51, 83–103. [Google Scholar] [CrossRef]
- Luo, L.; Luo, Y.; Feng, Y.; Li, T.; Fu, Z. Experimental investigation on pedestrian–bicycle mixed merging flow in T-junction. Phys. A Stat. Mech. Appl. 2022, 600, 127492. [Google Scholar] [CrossRef]
- Schöttl, J.; Seitz, M.J.; Köster, G. Investigating the randomness of passengers’ seating behavior in suburban trains. Entropy 2019, 21, 600. [Google Scholar] [CrossRef] [PubMed]
- Han, Y.; Chao, Q.; Jin, X. A simplified force model for mixed traffic simulation. Comput. Animat. Virtual Worlds 2021, 32, e1974. [Google Scholar] [CrossRef]
- Lü, Y.X.; Wu, Z.X.; Guan, J.Y. Pedestrian dynamics with mechanisms of anticipation and attraction. Phys. Rev. Res. 2020, 2, 043250. [Google Scholar] [CrossRef]
- Qu, Z.; Cao, N.; Chen, Y.; Zhao, L.; Bai, Q.; Luo, R. Modeling electric bike–car mixed flow via social force model. Adv. Mech. Eng. 2017, 9, 1687814017719641. [Google Scholar] [CrossRef]
- Ma, Z.; Sun, J.; Wang, Y. A two-dimensional simulation model for modelling turning vehicles at mixed flow intersections. Transp. Res. Part C 2017, 75, 103–119. [Google Scholar] [CrossRef]
- Liang, X.; Xie, M.; Jia, X. New Microscopic Dynamic Model for Bicyclists’ Riding Strategies. J. Transp. Eng. Part A Syst. 2018, 144, 04018034. [Google Scholar] [CrossRef]
- Helbing, D.; Molnar, P. Social force model for pedestrian dynamics. Phys. Rev. E 1995, 51, 4282–4286. [Google Scholar] [CrossRef] [PubMed]
- Li, Y.X.; Ni, Y.; Sun, J. A modified social force model for high-density through bicycle flow at mixed-traffic intersections. Simul. Model. Pract. Theory 2021, 108, 102265. [Google Scholar] [CrossRef]
- Li, Y.X.; Ni, Y.; Sun, J.; Ma, Z. Modeling the illegal lane-changing behavior of bicycles on road segments: Considering lane-changing categories and bicycle heterogeneity. Phys. Stat. Mech. Its Appl. 2020, 541, 123302. [Google Scholar] [CrossRef]
- Hoogendoorn, S.; Daamen, W. Bicycle Headway Modeling and Its Applications. Transp. Res. Rec. J. Transp. Res. Board 2016, 2587, 34–40. [Google Scholar] [CrossRef]
- Jin, S.; Qu, X.; Zhou, D.; Xu, C.; Ma, D.; Wang, D. Estimating cycleway capacity and bicycle equivalent unit for electric bicycles. Transp. Res. Part A Policy Pract. 2015, 77, 225–248. [Google Scholar] [CrossRef]
- Gavriilidou, A.; Daamen, W.; Yuan, Y.; Hoogendoorn, S.P. Modelling cyclist queue formation using a two-layer framework for operational cycling behaviour. Transp. Res. Part Emerg. Technol. 2019, 105, 468–484. [Google Scholar] [CrossRef]
- Treiber, M.; Hennecke, A.; Helbing, D. Congested traffic states in empirical observations and microscopic simulations. Phys. Rev. E 2000, 62, 1805. [Google Scholar] [CrossRef]
- Treiber, M.; Kesting, A. The intelligent driver model with stochasticity-new insights into traffic flow oscillations. Transp. Res. Procedia 2017, 23, 174–187. [Google Scholar] [CrossRef]
- Zhu, M.; Wang, X.; Tarko, A.; Fang, S. Modeling car-following behavior on urban expressways in Shanghai: A naturalistic driving study. Transp. Nat. Res. C Emerg. Technol. 2018, 93, 425–445. [Google Scholar] [CrossRef]













| Decision Result | ||||||
|---|---|---|---|---|---|---|
| Have leading object | 6.31 | 3.36 | 1.29 | 2.07 | 0.43 | Overtaking |
| 5.54 | 4.43 | 1.96 | 0.32 | 0.58 | Following | |
| Others | - | - | - | - | - | Free movement |
| Model | Parameter Type | Parameter | Value | Description |
|---|---|---|---|---|
| Measurable state | 5.27 | Average bicycle speed expected (m/s) | ||
| parameters | 6.25 | Average expected speed of electric vehicles (m/s) | ||
| Overtaking force model | 0.98 | The average value of the lateral displacement of the bicycle over the bicycle (m) | ||
| 2.06 | The average value of the lateral displacement of the electric vehicle over the electric vehicle (m) | |||
| 1.28 | The average value of the lateral displacement of the bicycle super electric vehicle (m) | |||
| 1.18 | The average value of the lateral displacement of the electric vehicle overtaking the bicycle (m) | |||
| 1.95 | Average overtaking time for bicycles overtaking bicycles (s) | |||
| 2.00 | Average overtaking time of electric vehicles over electric vehicles (s) | |||
| 3.37 | Average overtaking time for bicycles over electric vehicles (s) | |||
| 2.07 | Average overtaking time for electric vehicles overtaking bicycles (s) | |||
| Calibration | n | 0.70 | Bicycle Overtaking Bicycle Overtaking Coefficient | |
| parameters | 1.40 | Electric vehicle overtaking electric vehicle overtaking coefficient | ||
| 0.70 | Bicycle overtaking electric vehicle overtaking coefficient | |||
| 0.88 | Electric vehicle overtaking bicycle overtaking coefficient | |||
| 2.00 | Overtaking interval (s) | |||
| Following | 9.01 | Bicycle to bicycle interval (s) | ||
| force model | 4.06 | The time interval between electric vehicles and electric vehicles(s) | ||
| 4.95 | Time between bicycles and electric vehicles (s) | |||
| 4.45 | Time between electric vehicles and bicycles (s) | |||
| 1.00 | Bicycle maximum acceleration/deceleration speed() | |||
| 1.10 | Maximum acceleration/deceleration speed of electric vehicle () | |||
| 2.20 | Bicycle and Bicycle Acceleration Index | |||
| 1.55 | Electric vehicle and electric vehicle acceleration index | |||
| 2.03 | Bicycle and electric vehicle acceleration index | |||
| 0.002 | Electric vehicle and bicycle acceleration index | |||
| 1.61 | Comfortable deceleration between bicycle and bicycle() | |||
| 2.32 | Comfortable deceleration of electric vehicles and electric vehicles () | |||
| 2.20 | Comfortable deceleration of bicycles and electric vehicles () | |||
| 1.24 | Comfortable deceleration of electric vehicles and bicycles () | |||
| 9.45 | Distance from bicycle to bicycle jam0 (m) | |||
| 2.65 | The distance between electric vehicles and electric vehicles0 (m) | |||
| 4.98 | The distance between bicycles and electric vehicles0 (m) | |||
| 4.76 | The distance between electric vehicles and bicycles0 (m) | |||
| 6.23 | Distance from bicycle to bicycle jam1 (m) | |||
| 3.76 | The distance between electric vehicles and electric vehicles1 (m) | |||
| 2.01 | The distance between bicycles and electric vehicles1 (m) | |||
| 4.47 | The distance between electric vehicles and bicycles 1 (m) | |||
| 1.34 | The time gap between bicycle and bicycle safety time (s) | |||
| 1.75 | The time gap between electric vehicles and electric vehicles (s) | |||
| 1.50 | The time gap between the safety time of bicycles and electric vehicles (s) | |||
| 2.09 | The time gap between electric vehicles and bicycles (s) | |||
| Boundary | 1.20 | Boundary force | ||
| force model | 600 | |||
| Driving force model | 0.20 | Buffer time | ||
| Repulsive | 0.48 | Repulsive force | ||
| force model | 600 |
Disclaimer/Publisher’s Note: The statements, opinions and data contained in all publications are solely those of the individual author(s) and contributor(s) and not of MDPI and/or the editor(s). MDPI and/or the editor(s) disclaim responsibility for any injury to people or property resulting from any ideas, methods, instructions or products referred to in the content. |
© 2022 by the authors. Licensee MDPI, Basel, Switzerland. This article is an open access article distributed under the terms and conditions of the Creative Commons Attribution (CC BY) license (https://creativecommons.org/licenses/by/4.0/).
Share and Cite
Qin, J.; Ma, S.; Zhang, L.; Wang, Q.; Feng, G. Modeling and Simulation for Non-Motorized Vehicle Flow on Road Based on Modified Social Force Model. Mathematics 2023, 11, 170. https://doi.org/10.3390/math11010170
Qin J, Ma S, Zhang L, Wang Q, Feng G. Modeling and Simulation for Non-Motorized Vehicle Flow on Road Based on Modified Social Force Model. Mathematics. 2023; 11(1):170. https://doi.org/10.3390/math11010170
Chicago/Turabian StyleQin, Jiaying, Sasa Ma, Lei Zhang, Qianling Wang, and Guoce Feng. 2023. "Modeling and Simulation for Non-Motorized Vehicle Flow on Road Based on Modified Social Force Model" Mathematics 11, no. 1: 170. https://doi.org/10.3390/math11010170
APA StyleQin, J., Ma, S., Zhang, L., Wang, Q., & Feng, G. (2023). Modeling and Simulation for Non-Motorized Vehicle Flow on Road Based on Modified Social Force Model. Mathematics, 11(1), 170. https://doi.org/10.3390/math11010170

