Entropy-Based Informational Study of the COVID-19 Series of Data
Abstract
1. Introduction
2. Informational Quantifiers: Entropy and Statistical Complexity
3. Probability Distribution Functions
3.1. Permutational Bandt–Pompe Approach
3.2. Wavelet Analysis
3.3. About the Data Used and the Computational Implementation of the Quantifiers
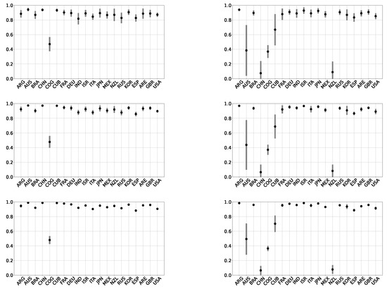
4. Results and Discussion
4.1. Increasing Intervals
4.2. Rolling Windows
5. Conclusions
Author Contributions
Funding
Data Availability Statement
Conflicts of Interest
References
- James, L.P.; Salomon, J.A.; Buckee, C.O.; Menzies, N.A. The use and misuse of mathematical modeling for infectious disease policymaking: Lessons for the COVID-19 pandemic. Med. Decis. Mak. 2021, 41, 379–385. [Google Scholar] [CrossRef]
- Loève, M. Probability theory II. In Graduate Texts in Mathematics, 4th ed.; Springer: Berlin/Heidelberg, Germany, 1978; Volume 46. [Google Scholar]
- Falsone, G.; Laudani, R. Probability transformation method for the evaluation of derivative, integral and Fourier transform of some stochastic processes. J. Eng. Math. 2021, 131, 12. [Google Scholar] [CrossRef]
- Türkşen, I.B. (Ed.) Chapter 1—Introduction. In An Ontological and Epistemological Perspective of Fuzzy Set Theory; Elsevier Science: Amsterdam, The Netherlands, 2006; pp. 55–75. [Google Scholar]
- Kowalski, A.M.; Rossignoli, R.D.; Curado, E.M.F. (Eds.) Concepts and Recent Advances in Generalized Information Measures and Statistics; Bentham Science Publishers: Sharjah, United Arab Emirates, 2013. [Google Scholar]
- Shannon, C.E. A Mathematical Theory of Communication. Bell Syst. Tech. J. 1948, 27, 379–423. [Google Scholar] [CrossRef]
- Zanin, M.; Zunino, L.; Rosso, O.A.; Papo, D. Permutation entropy and its main biomedical and econophysics applications: A review. Entropy 2012, 14, 1553–1577. [Google Scholar] [CrossRef]
- Henry, M.; Judge, G. Permutation entropy and information recovery in nonlinear dynamic economic time series. Econometrics 2019, 7, 10. [Google Scholar] [CrossRef]
- Arouxet, M.B.; Bariviera, A.F.; Pastor, V.E.; Vampa, V. COVID-19 impact on cryptocurrencies: Evidence from a wavelet-based Hurst exponent. Physica A 2022, 596, 127170. [Google Scholar] [CrossRef]
- Zozor, S.; Portesi, M.; Lamberti, P.W.; Bosyk, G.M.; Bercher, J.-F. Special Issue “Entropies, Divergences, Information, Identities and Inequalities”. Entropy 2022. [Google Scholar]
- Li, X.; Ouyang, G.; Richards, D. Predictability analysis of absence seizures with permutation entropy. Epilepsy Res. 2007, 77, 70–74. [Google Scholar] [CrossRef]
- Ouyang, G.; Li, J.; Liu, X.; Li, X. Dynamic characteristics of absence EEG recordings with multiscale permutation entropy analysis. Epilepsy Res. 2013, 104, 246–252. [Google Scholar] [CrossRef]
- Kumar, M.; Pachori, R.; Acharya, U. Automated diagnosis of myocardial infarction ECG signals using sample entropy in flexible analytic wavelet transform framework. Entropy 2017, 19, 488. [Google Scholar] [CrossRef]
- Valverde, E.; Clemente, G.; Arini, P.; Vampa, V. Wavelet-based entropy and complexity to identify cardiac electrical instability in patients post myocardial infarction. Biomed. Signal Process. Control 2021, 69, 102846. [Google Scholar] [CrossRef]
- Shiner, J.S.; Davison, M.; Landsberg, P.T. Simple measure for complexity. Phys. Rev. E 1999, 59, 1459. [Google Scholar] [CrossRef]
- López-Ruiz, R.; Mancini, H.; Calbet, X. A statistical measure of complexity. Phys. Lett. A 1995, 209, 321–326. [Google Scholar] [CrossRef]
- Kowalski, A.M.; Martín, M.T.; Plastino, A.L.; Proto, A.; Rosso, O.A. Wavelet statistical complexity analysis of classical limit. Phys. Lett. A 2003, 311, 180–191. [Google Scholar] [CrossRef]
- Kowalski, A.M.; Martín, M.T.; Plastino, A.; Rosso, O.A. Bandt–Pompe approach to the classical-quantum transition. Physica D 2007, 233, 21–31. [Google Scholar] [CrossRef]
- Kowalski, A.M.; Plastino, A.; Rossignoli, R. Complexity of a matter-field Hamiltonian in the vicinity of a quantum instability. Physica A 2019, 513, 767–774. [Google Scholar] [CrossRef]
- Calbet, X.; López-Ruiz, R. Tendency towards maximum complexity in a nonequilibrium isolated system. Phys. Rev. E 2001, 63, 066116. [Google Scholar] [CrossRef]
- Sanchez, J.R.; López-Ruiz, R. A method to discern complexity in two-dimensional patterns generated by coupled map lattices. Physica A 2005, 355, 633–640. [Google Scholar] [CrossRef][Green Version]
- López-Ruiz, R. Complexity in some physical systems. Int. J. Bif. Chaos 2001, 11, 2669–2673. [Google Scholar] [CrossRef]
- Crutchfield, J.P.; Young, K. Inferring statistical complexity. Phys. Rev. Lett. 1989, 63, 105–108. [Google Scholar] [CrossRef]
- Rosso, O.A.; Larrondo, H.A.; Martín, M.T.; Plastino, A.L.; Fuentes, M.A. Distinguishing Noise from Chaos. Phys. Rev. Lett. 2007, 99, 154102. [Google Scholar] [CrossRef] [PubMed]
- Zunino, L.; Zanind, M.; Tabake, B.M.; Pérez, D.G.; Rosso, O.A. Complexity-entropy causality plane: A useful approach to quantify the stock market inefficiency. Physica A 2010, 389, 1891–1901. [Google Scholar] [CrossRef]
- Lamberti, P.W.; Martín, M.T.; Plastino, A.L.; Rosso, O.A. Entropic nontriviality measure. Physica A 2004, 334, 119–131. [Google Scholar] [CrossRef]
- Rosso, O.A.; Micco, L.D.; Larrondo, H.A.; Martín, M.T.; Plastino, A.L. Generalized statistical complexity measure. Int. J. Bif. Chaos 2010, 20, 775–785. [Google Scholar] [CrossRef]
- Rosso, O.A.; Craig, H.; Moscato, P. Shakespeare and other English renaissance authors as characterized by information theory complexity quantifiers. Physica A 2009, 388, 916–926. [Google Scholar] [CrossRef]
- Rosso, O.A.; Blanco, S.; Jordanova, J.; Kolev, V.; Figliola, A.; Schürmann, M.; Başar, E. Wavelet entropy: A new tool for analysis of short duration brain electrical signals. J. Neurosc. Methods 2001, 105, 65–75. [Google Scholar] [CrossRef]
- Rosso, O.A.; Mairal, L. Characterization of time dynamical evolution of electroencephalographic records. Physica A 2002, 312, 469–504. [Google Scholar] [CrossRef]
- Bandt, C.; Pompe, B. Permutation entropy: A natural complexity measure for time series. Phys. Rev. Lett. 2002, 88, 174102. [Google Scholar] [CrossRef]
- Rosso, O.A.; Micco, L.D.; Plastino, A.L.; Larrondo, H.A. Info-quantifiers’ map-characterization revisited. Physica A 2010, 389, 4604–4612. [Google Scholar] [CrossRef]
- Blanco, S.; Figliola, A.; Quiroga, R.Q.; Rosso, O.A.; Serrano, E. Time-frequency analysis of electroencephalogram series. III. Wavelet packets and information cost function. Phys. Rev. E 1998, 57, 932. [Google Scholar] [CrossRef]
- Gamero, L.; Plastino, A.L.; Torres, M.E. Wavelet analysis and nonlinear dynamics in a nonextensive setting. Physica A 1997, 246, 487–509. [Google Scholar] [CrossRef]
- Chui, C.K. An Introduction to Wavelets; Academic Press: New York, NY, USA, 1992. [Google Scholar]
- Ritchie, H.; Ortiz-Ospina, E.; Beltekian, D.; Mathieu, E.; Hasell, J.; Macdonald, B.; Giattino, C.; Appel, C.; Rodés-Guirao, L.; Roser, M. Coronavirus Pandemic (COVID-19). 2020. Available online: https://www.ourworldindata.org/coronavirus (accessed on 3 August 2021).
- Ouyang, G. Permutation Entropy. MATLAB Central File Exchange. 2021. Available online: https://www.mathworks.com/matlabcentral/fileexchange/37289-permutation-entropy (accessed on 23 June 2021).
- Daubechies, I. Ten lectures on wavelets. In CBMS-NSF Regional Conference Series in Applied Mathematics; Society for Industrial and Applied Mathematics: Philadelphia, PA, USA, 1992. [Google Scholar]









Publisher’s Note: MDPI stays neutral with regard to jurisdictional claims in published maps and institutional affiliations. |
© 2022 by the authors. Licensee MDPI, Basel, Switzerland. This article is an open access article distributed under the terms and conditions of the Creative Commons Attribution (CC BY) license (https://creativecommons.org/licenses/by/4.0/).
Share and Cite
Kowalski, A.M.; Portesi, M.; Vampa, V.; Losada, M.; Holik, F. Entropy-Based Informational Study of the COVID-19 Series of Data. Mathematics 2022, 10, 4590. https://doi.org/10.3390/math10234590
Kowalski AM, Portesi M, Vampa V, Losada M, Holik F. Entropy-Based Informational Study of the COVID-19 Series of Data. Mathematics. 2022; 10(23):4590. https://doi.org/10.3390/math10234590
Chicago/Turabian StyleKowalski, Andres M., Mariela Portesi, Victoria Vampa, Marcelo Losada, and Federico Holik. 2022. "Entropy-Based Informational Study of the COVID-19 Series of Data" Mathematics 10, no. 23: 4590. https://doi.org/10.3390/math10234590
APA StyleKowalski, A. M., Portesi, M., Vampa, V., Losada, M., & Holik, F. (2022). Entropy-Based Informational Study of the COVID-19 Series of Data. Mathematics, 10(23), 4590. https://doi.org/10.3390/math10234590

