Hierarchical Quantum Information Splitting of an Arbitrary Two-Qubit State Based on a Decision Tree
Abstract
1. Introduction
2. Overall Design of the Scheme
- (1)
- First, use the decision tree algorithm to make the optimal communication decision for channel particle allocation.
- (2)
- Then, we assume that Alice is the sender; and the communication participants are Bob1, Bob2, Charlie1, Charlie2, and Charlie3. According to the decision, Bob1 and Bob2 are high-level communicators, and Charlie1, Charlie2, and Charlie3 are low-level communicators. Different receivers have different particle distribution schemes.
- (3)
- Next, Alice conducts Bell-state measurement on the particle pair (A, 1), (B, 2). When the receiver is a high-level communicator, only one of Bob2 and a low-level communicator is required to perform a Z-based single particle measurement; after the measurement operation is performed, the result is reported to the receiver through the classical channel. When the receiver is a low-level communicator, all communication participants need to perform the measurement, and the low-level communicator needs to perform X-based single-particle measurements. Then, the communicator sends the result to the receiver.
- (4)
- Finally, after receiving all the measurement results, the receiver conducts a unitary operation on the collapsed state using the corresponding results. It can recover any two-qubit state information that Alice intends to send.
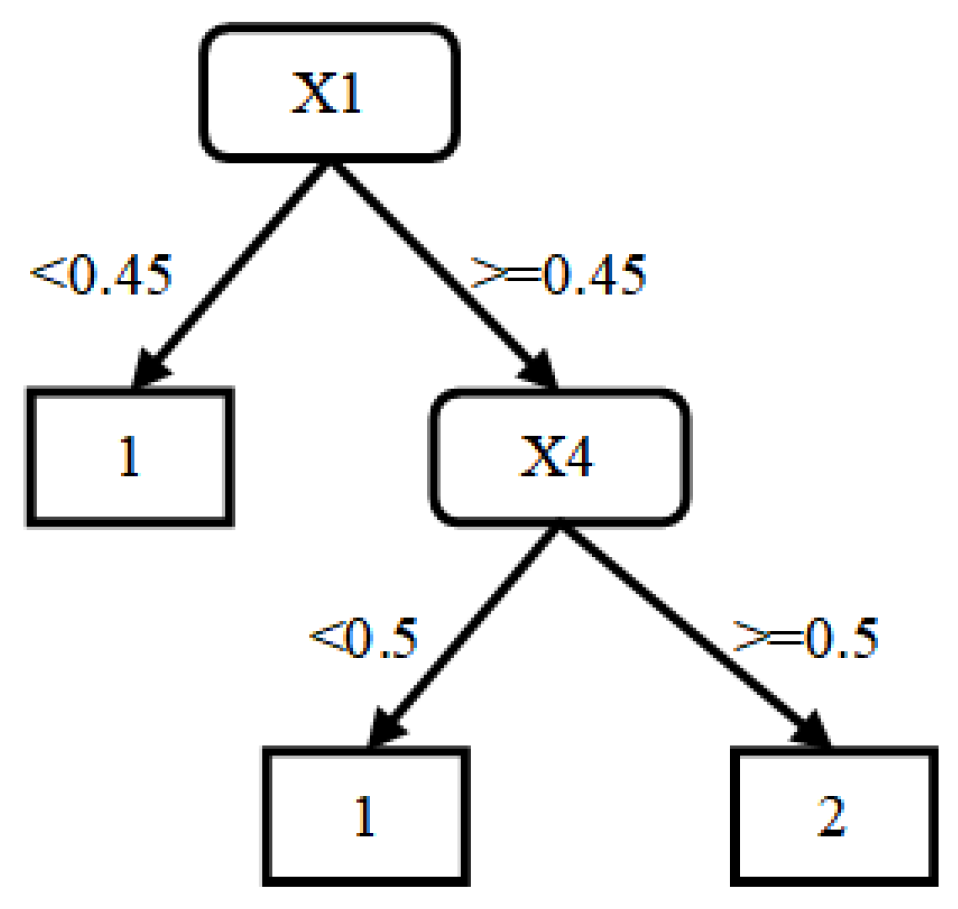
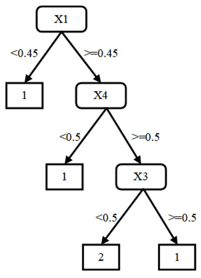
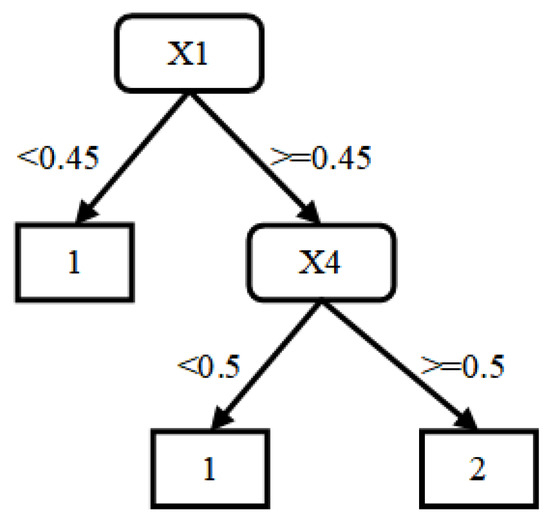
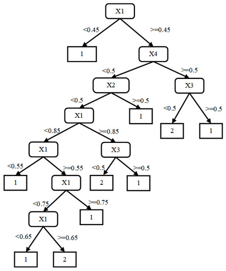
3. An Optimal Allocation Model of Channel Particles Based on a Decision Tree
3.1. Data Preprocessing
3.2. Model Establishment and Evaluation Analysis
3.3. Optimal Allocation Model of Channel Particles
4. Hierarchical Quantum Information Splitting Scheme for Arbitrary Two-Qubit State Based on Multi-Qubit State
4.1. Information Splitting When Receiver Authority Is High
4.2. Information Splitting When Receiver Authority Is Low
4.3. The Hierarchical Quantum Information Splitting Protocol Based on N-Party
5. Experiment and Analysis
5.1. Experiments on Hierarchical Quantum Information Splitting Schemes
5.2. Security Analysis
5.3. Scheme Comparison Analysis
6. Discussion
7. Conclusions
Author Contributions
Funding
Data Availability Statement
Acknowledgments
Conflicts of Interest
References
- Hillery, M.; Buzek, V. Secret sharing via quantum entanglement. Acta Phys. Slovaca 1999, 49, 533–540. [Google Scholar]
- Murao, M.; Jonathan, D.; Plenio, M.; Vedral, V. Quantum telecloning and multiparticle entanglement. Phys. Rev. 1999, 59, 156. [Google Scholar] [CrossRef]
- Grudka, A.; Wójcik, A. Multiparty d-dimensional quantum information splitting. arXiv 2002, arXiv:quant-ph/0205111. [Google Scholar] [CrossRef]
- Brádler, K.; Dušek, M. Secret-message sharing via direct transmission. J. Opt. Quantum Semiclassical Opt. 2003, 6, 63. [Google Scholar] [CrossRef]
- Xu, G.; Wang, C.; Yang, Y.X. Hierarchical quantum information splitting of an arbitrary two-qubit state via the cluster state. Quantum Inf. Process. 2014, 13, 43–57. [Google Scholar] [CrossRef]
- Panigrahi, P.K.; Karumanchi, S.; Muralidharan, S. Minimal classical communication and measurement complexity for quantum information splitting of a two-qubit state. Pramana 2009, 73, 499–504. [Google Scholar] [CrossRef]
- Zhang, W.; Liu, Y.m.; Zhang, Z.j.; Cheung, C.Y. Splitting a qudit state via Greenberger–Horne–Zeilinger states of qubits. Opt. Commun. 2010, 283, 628–632. [Google Scholar] [CrossRef]
- Bai, M.Q.; Mo, Z.W. Hierarchical quantum information splitting with eight-qubit cluster states. Quantum Inf. Process. 2013, 12, 1053–1064. [Google Scholar] [CrossRef]
- Shukla, C.; Pathak, A. Hierarchical quantum communication. Phys. Lett. 2013, 377, 1337–1344. [Google Scholar] [CrossRef]
- Ma, P.C.; Chen, G.B.; Li, X.W.; Zhan, Y.B. Hierarchical controlled remote state preparation by using a four-qubit cluster state. Int. J. Theor. Phys. 2018, 57, 1748–1755. [Google Scholar] [CrossRef]
- Zha, X.W.; Miao, N.; Wang, H.F. Hierarchical quantum information splitting of an arbitrary two-qubit using a single quantum resource. Int. J. Theor. Phys. 2019, 58, 2428–2434. [Google Scholar] [CrossRef]
- Wang, X.W.; Zhang, D.Y.; Tang, S.Q.; Zhan, X.G.; You, K.M. Hierarchical quantum information splitting with six-photon cluster states. Int. J. Theor. Phys. 2010, 49, 2691–2697. [Google Scholar] [CrossRef]
- Zhang, Q.Y.; Zhan, Y.B. Quantum information splitting by using asymmetric multi-particle state. Int. J. Theor. Phys. 2012, 51, 3037–3044. [Google Scholar] [CrossRef]
- Xu, G.; Shan, R.T.; Chen, X.B.; Dong, M.; Chen, Y.L. Probabilistic and hierarchical quantum information splitting based on the non-maximally entangled cluster state. Cmc-Comput. Mater. Contin. 2021, 69, 339–349. [Google Scholar] [CrossRef]
- Guo, W.M.; Qin, L.R. Hierarchical and probabilistic quantum information splitting of an arbitrary two-qubit state via two cluster states. Chin. Phys. B 2018, 27, 110302. [Google Scholar] [CrossRef]
- Li, S.W.; Jiang, M.; Jiang, F.; Chen, X.P. Multi-qudit information splitting with multiple controllers. Quantum Inf. Process. 2014, 13, 1057–1066. [Google Scholar] [CrossRef]
- Huang, G.Q.; Luo, C.L. Splitting Quantum Information with Five-Atom Cluster State in Cavity QED. Int. J. Theor. Phys. 2011, 50, 401–406. [Google Scholar] [CrossRef]
- Li, Y.h.; Li, X.l.; Sang, M.h.; Nie, Y.y. Splitting unknown two-qubit state using five-qubit entangled state. Int. J. Theor. Phys. 2014, 53, 111–115. [Google Scholar] [CrossRef]
- Jouguet, P.; Kunz-Jacques, S.; Leverrier, A.; Grangier, P.; Diamanti, E. Experimental demonstration of long-distance continuous-variable quantum key distribution. Nat. Photonics 2013, 7, 378–381. [Google Scholar] [CrossRef]
- Boaron, A.; Boso, G.; Rusca, D.; Vulliez, C.; Autebert, C.; Caloz, M.; Perrenoud, M.; Gras, G.; Bussières, F.; Li, M.J.; et al. Secure quantum key distribution over 421 km of optical fiber. Phys. Rev. Lett. 2018, 121, 190502. [Google Scholar] [CrossRef]
- Yin-Ju, L. A novel practical quantum secure direct communication protocol. Int. J. Theor. Phys. 2021, 60, 1159–1163. [Google Scholar] [CrossRef]
- Zhang, Y.Q.; Yang, L.J.; He, Q.L.; Chen, L. Machine learning on quantifying quantum steerability. Quantum Inf. Process. 2020, 19, 263. [Google Scholar] [CrossRef]
- Wallnöfer, J.; Melnikov, A.A.; Dür, W.; Briegel, H.J. Machine learning for long-distance quantum communication. PRX Quantum 2020, 1, 010301. [Google Scholar] [CrossRef]
- Lamata, L. Quantum reinforcement learning with quantum photonics. Photonics 2021, 8, 33. [Google Scholar] [CrossRef]
- Al-Mohammed, H.A.; Al-Ali, A.; Yaacoub, E.; Qidwai, U.; Abualsaud, K.; Rzewuski, S.; Flizikowski, A. Machine Learning Techniques for Detecting Attackers During Quantum Key Distribution in IoT Networks With Application to Railway Scenarios. IEEE Access 2021, 9, 136994–137004. [Google Scholar] [CrossRef]
- Ren, Z.A.; Chen, Y.P.; Liu, J.Y.; Ding, H.J.; Wang, Q. Implementation of machine learning in quantum key distributions. IEEE Commun. Lett. 2020, 25, 940–944. [Google Scholar] [CrossRef]
- Bebrov, G.; Dimova, R. Efficient quantum secure direct communication protocol based on Quantum Channel compression. Int. J. Theor. Phys. 2020, 59, 426–435. [Google Scholar] [CrossRef]
- Verma, V. Bidirectional quantum teleportation by using two GHZ-states as the quantum channel. IEEE Commun. Lett. 2020, 25, 936–939. [Google Scholar] [CrossRef]
- Feng, Z.J.; Tang, L.; Xiang, Y.; Mo, Z.W.; Bai, M.Q. Authenticated quantum dialogue protocol based on four-particle entangled states. Mod. Phys. Lett. 2021, 36, 2150189. [Google Scholar] [CrossRef]
- Choudhury, B.S.; Samanta, S. A Controlled Asymmetric Quantum Conference. Int. J. Theor. Phys. 2022, 61, 14. [Google Scholar] [CrossRef]
- Wang, P.; Yan, Z.; Han, G.; Yang, H.; Zhao, Y.; Lin, C.; Wang, N.; Zhang, Q. A2E2: Aerial-assisted energy-efficient edge sensing in intelligent public transportation systems. J. Syst. Archit. 2022, 129, 102617. [Google Scholar] [CrossRef]
- Liang, J.; Qin, Z.; Xiao, S.; Ou, L.; Lin, X. Efficient and secure decision tree classification for cloud-assisted online diagnosis services. IEEE Trans. Dependable Secur. Comput. 2019, 18, 1632–1644. [Google Scholar] [CrossRef]
- Yan, X.; Cui, B.; Xu, Y.; Shi, P.; Wang, Z. A method of information protection for collaborative deep learning under GAN model attack. IEEE/ACM Trans. Comput. Biol. Bioinform. 2019, 18, 871–881. [Google Scholar] [CrossRef] [PubMed]
- Kamiński, B.; Jakubczyk, M.; Szufel, P. A framework for sensitivity analysis of decision trees. Cent. Eur. J. Oper. Res. 2018, 26, 135–159. [Google Scholar] [CrossRef]
- Wang, P.; Zhao, Y.; Obaidat, M.S.; Wei, Z.; Qi, H.; Lin, C.; Xiao, Y.; Zhang, Q. Blockchain-Enhanced Federated Learning Market with Social Internet of Things. IEEE J. Sel. Areas Commun. 2022. [Google Scholar] [CrossRef]
- Wang, P.; Pan, Y.; Lin, C.; Qi, H.; Ren, J.; Wang, N.; Yu, Z.; Zhou, D.; Zhang, Q. Graph Optimized Data Offloading for Crowd-AI Hybrid Urban Tracking in Intelligent Transportation Systems. IEEE Trans. Intell. Transp. Syst. 2022. [Google Scholar] [CrossRef]








| Model | Resampling Error | Cross-Validation Error |
|---|---|---|
| Model 1 | 0 | 0 |
| Model 1(a) | 0.002 | 0.002 |
| Model | Resampling Error | Cross-Validation Error |
|---|---|---|
| Model 2 | 0.007 | 0.009 |
| Model 2(a) | 0.015 | 0.015 |
| Model 2(b) | 0.007 | 0.01 |
| Model | Resampling Error | Cross-Validation Error |
|---|---|---|
| Model 3(a) | 0.009 | 0.015 |
| Model 3(b) | 0.018 | 0.021 |
| Model 3(c) | 0.01 | 0.016 |
| The Measurement of Alice | The Collapse State after Measurement |
|---|---|
| Measurement Results of Bob2, Charlie1, Charlie2 and Charlie3 1 | The State Obtained by Bob1 | Unitary Operation |
|---|---|---|
| Alice’s Measurements | Measurement Results of Bob1 and Bob2 | Measurement Results of Charlie2 and Charlie3 | Unitary Operation |
|---|---|---|---|
| States | Shots | Frequency (%) |
|---|---|---|
| 2072 | 25.3% | |
| 1999 | 24.4% | |
| 2114 | 25.8% | |
| 2007 | 24.5% |
Publisher’s Note: MDPI stays neutral with regard to jurisdictional claims in published maps and institutional affiliations. |
© 2022 by the authors. Licensee MDPI, Basel, Switzerland. This article is an open access article distributed under the terms and conditions of the Creative Commons Attribution (CC BY) license (https://creativecommons.org/licenses/by/4.0/).
Share and Cite
Li, D.; Zheng, Y.; Liu, X.; Zhou, J.; Tan, Y.; Yang, X.; Liu, M. Hierarchical Quantum Information Splitting of an Arbitrary Two-Qubit State Based on a Decision Tree. Mathematics 2022, 10, 4571. https://doi.org/10.3390/math10234571
Li D, Zheng Y, Liu X, Zhou J, Tan Y, Yang X, Liu M. Hierarchical Quantum Information Splitting of an Arbitrary Two-Qubit State Based on a Decision Tree. Mathematics. 2022; 10(23):4571. https://doi.org/10.3390/math10234571
Chicago/Turabian StyleLi, Dongfen, Yundan Zheng, Xiaofang Liu, Jie Zhou, Yuqiao Tan, Xiaolong Yang, and Mingzhe Liu. 2022. "Hierarchical Quantum Information Splitting of an Arbitrary Two-Qubit State Based on a Decision Tree" Mathematics 10, no. 23: 4571. https://doi.org/10.3390/math10234571
APA StyleLi, D., Zheng, Y., Liu, X., Zhou, J., Tan, Y., Yang, X., & Liu, M. (2022). Hierarchical Quantum Information Splitting of an Arbitrary Two-Qubit State Based on a Decision Tree. Mathematics, 10(23), 4571. https://doi.org/10.3390/math10234571

