One-Step Suicide Substrate Inactivation Kinetics of a Ping-Pong Reaction with One Substrate Undergoing Disproportionation: A Theoretical Approach with Approximate Solutions
Abstract
1. Introduction
2. Materials and Methods
3. Results and Discussion
3.1. Approximate Analytical Solutions for the Irreversible Uni–Uni Michaelis–Menten Model in the Absence of Suicide Substrate Inactivation
3.1.1. Case A:
3.1.2. Case B:
3.2. Approximate Analytical Solution for the Irreversible Uni–Uni Michaelis–Menten Model in the Presence of Suicide Substrate Inactivation
3.3. Analytical Solutions for an Enzyme-Catalyzed Ping-Pong Reaction with One Substrate Undergoing Disproportionation in the Absence of Suicide Substrate Inactivation
3.3.1. Case A:
3.3.2. Case B:
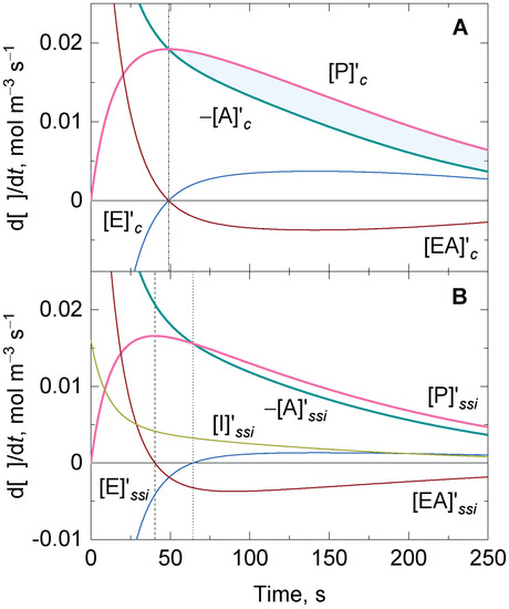
3.4. Analytical Solutions for an Enzyme-Catalyzed Ping-Pong Reaction with One Substrate Undergoing Disproportionation in the Presence of Suicide Substrate Inactivation
3.4.1. Case A: Suicide Substrate Inactivation on E
3.4.2. Case B: Suicide Substrate Inactivation on F
4. Conclusions
Supplementary Materials
Author Contributions
Funding
Data Availability Statement
Acknowledgments
Conflicts of Interest
References
- Mons, E.; Roet, S.; Kim, R.Q.; Mulder, M.P.C. A comprehensive guide for assessing covalent inhibition in enzymatic assays illustrated with kinetic simulations. Curr. Protoc. 2022, 2, e419. [Google Scholar] [CrossRef] [PubMed]
- Purich, D.L. Kinetic behavior of enzyme inhibitors. In Enzyme Kinetics: Catalysis and Control; Elsevier: London, UK, 2010; pp. 485–574. ISBN 978-0-12-380924-7. [Google Scholar]
- Hiratake, J. Enzyme inhibitors as chemical tools to study enzyme catalysis: Rational design, synthesis, and applications. Chem. Rec. 2005, 5, 209–228. [Google Scholar] [CrossRef] [PubMed]
- Geronikaki, A. Recent trends in enzyme inhibition and activation in drug design. Molecules 2021, 26, 17. [Google Scholar] [CrossRef] [PubMed]
- Copeland, R.A. Evaluation of Enzyme Inhibitors in Drug Discovery: A Guide for Medicinal Chemists and Pharmacologists, 2nd ed.; Wiley: London, UK, 2013; ISBN 9781118488133. [Google Scholar]
- Punekar, N.S. Enzymes: Catalysis, Kinetics and Mechanisms; Springer: Singapore, 2018; ISBN 978-981-13-0784-3. [Google Scholar]
- Bisswanger, H. Enzyme Kinetics: Principles and Methods; Wiley: Weinheim, Germany, 2009; ISBN 978-3-527-30343-4. [Google Scholar]
- Segel, H.L. Enzyme Kinetics. Behavior and Analysis of Rapid Equilibrium and Steady-State Enzyme Systems; John Wiley & Sons, Ltd: New York, NY, USA, 1975; ISBN 978-0-471-30309-1. [Google Scholar]
- Whiteley, C.G. Mechanistic and kinetic studies of inhibition of enzymes. Cell Biochem. Biophys. 2000, 33, 217–225. [Google Scholar] [CrossRef]
- Silverman, R.B. Mechanism-based enzyme inactivators. Methods Enzymol. 1995, 249, 240–283. [Google Scholar] [CrossRef]
- Abeles, R.H.; Maycock, A.L. Suicide enzyme inactivators. Acc. Chem. Res. 1976, 9, 313–319. [Google Scholar] [CrossRef]
- Walsh, C.T. Suicide substrates, mechanism-based enzyme inactivators: Recent developments. Annu. Rev. Biochem. 1984, 53, 493–535. [Google Scholar] [CrossRef]
- Waley, S.G. Kinetics of suicide substrates. Biochem. J. 1980, 185, 771–773. [Google Scholar] [CrossRef]
- Tatsunami, S.; Yago, N.; Hosoe, M. Kinetics of suicide substrates steady-state treatments and computer-aided exact solutions. Biochim. Biophys. Acta. 1981, 662, 226–235. [Google Scholar] [CrossRef]
- Michaelis, L.; Menten, M. The kinetics of the inversion effect. Biochem. Z. 1913, 49, 333–369. [Google Scholar]
- Henri, V. Théorie générale de l’action de quelques diastases par Victor Henri. C.R. Acad. Sci. Paris 1902, 135, 916–919. [Google Scholar] [CrossRef]
- Borghans, J.A.M.; De Boer, R.J.; Segel, L.A. Extending the quasi-steady state approximation by changing variables. Bull. Math. Biol. 1996, 58, 43–63. [Google Scholar] [CrossRef] [PubMed]
- Bersani, A.M.; Bersani, E.; Dell’Acqua, G.; Pedersen, M.G. New trends and perspectives in nonlinear intracellular dynamics: One century from Michaelis–Menten paper. Contin. Mech. Thermodyn. 2015, 27, 659–684. [Google Scholar] [CrossRef]
- Briggs, G.E.; Haldane, J.B.S. A note on the kinetics of enzyme action. Biochem. J. 1925, 19, 338. [Google Scholar] [CrossRef]
- Swoboda, P.A. The kinetics of enzyme action. Biochim. Biophys. Acta 1957, 23, 70–80. [Google Scholar] [CrossRef]
- Hommes, F.A. Integrated Michaelis-Menten equation. Arch. Biochem. Biophys. 1962, 96, 28–31. [Google Scholar] [CrossRef]
- Laidler, K.J. Theory of the transient phase in kinetics, with special reference to enzyme systems. Can. J. Chem. 1955, 33, 1614–1624. [Google Scholar] [CrossRef]
- Segel, L.A. On the validity of the steady state assumption of enzyme kinetics. Bull. Math. Biol. 1988, 50, 579–593. [Google Scholar] [CrossRef]
- Schnell, S. Validity of the Michaelis-Menten equation—Steady-state or reactant stationary assumption: That is the question. FEBS J. 2014, 281, 464–472. [Google Scholar] [CrossRef]
- Waley, S.G. Kinetics of suicide substrates. Practical procedures for determining parameters. Biochem. J. 1985, 227, 843–849. [Google Scholar] [CrossRef]
- Goeke, A.; Schilli, C.; Walcher, S.; Zerz, E. A note on the kinetics of suicide substrates. J. Math. Chem. 2012, 50, 1373–1377. [Google Scholar] [CrossRef]
- Wang, Z.X. Kinetics of suicide substrates. J. Theor. Biol. 1990, 147, 497–508. [Google Scholar] [CrossRef]
- Dhatt, S. Indicators for suicide substrate inactivation: A kinetic investigation. J. Chem. Sci. 2017, 129, 1921–1928. [Google Scholar] [CrossRef][Green Version]
- Galvez, J.; Varon, R.; Garcia-Carmona, F., III. Kinetics of enzyme reactions with inactivation steps. J. Theor. Biol. 1981, 89, 37–44. [Google Scholar] [CrossRef]
- Duggleby, R.G. Progress curves of reactions catalyzed by unstable enzymes. A theoretical approach. J. Theor. Biol. 1986, 123, 67–80. [Google Scholar] [CrossRef]
- Tudela, J.; Garcia-Canovas, F.; Varon, R.; Garcia-Carmona, F.; Galvez, J.; Lozano, J.A. Transient-phase kinetics of enzyme inactivation induced by suicide substrates. Biochim. Biophys. Acta 1987, 912, 408–416. [Google Scholar] [CrossRef]
- Varon, R.; Garcia, M.; Garcia-Canovas, F.; Tudela, J. Transient-phase kinetics of enzyme inactivation induced by suicide substrates: Enzymes involving two substrates. J. Mol. Catal. 1990, 59, 97–118. [Google Scholar] [CrossRef]
- Galvez, J.; Varon, R.I. Transient phase kinetics of enzyme reactions. J. Theor. Biol. 1981, 89, 1–17. [Google Scholar] [CrossRef]
- Feuers, R.J.; Pattillo, F.M.; Osborn, C.K.; Adams, K.L.; DeLuca, D.; Grady Smith, W. Application of an integrated rate equation to the inactivation of catalase. Free Radic. Biol. Med. 1993, 15, 223–226. [Google Scholar] [CrossRef]
- Moosavi Movahedi, A.A.; Nazari, K.; Ghadermarzi, M. Suicide inactivation of peroxidase by H2O2: Kinetic equations for peroxidatic oxidation reaction of guaiacol and determination of the kinetic parameters. Ital. J. Biochem. 1999, 48, 9–17. [Google Scholar]
- Nazari, K.; Mahmoudi, A.; Khosraneh, M.; Haghighian, Z.; Moosavi-Movahedi, A.A. Kinetic analysis for suicide-substrate inactivation of microperoxidase-11: A modified model for bisubstrate enzymes in the presence of reversible inhibitors. J. Mol. Catal. B Enzym. 2009, 56, 61–69. [Google Scholar] [CrossRef]
- Nicholls, P.; Fita, I.; Loewen, P.C. Enzymology and structure of catalases. In Advances in Inorganic Chemistry; Sykes, A.G., Mauk, G., Eds.; Academic Press: San Diego, CA, USA, 2001; Volume 51, pp. 51–106. ISBN 0-12-023651-6. [Google Scholar]
- Trawczyńska, I. New method of determining kinetic parameters for decomposition of hydrogen peroxide by catalase. Catalysts 2020, 10, 323. [Google Scholar] [CrossRef]
- Miłek, J. Estimation of the kinetic parameters for H2O2 enzymatic decomposition and for catalase deactivation. Braz. J. Chem. Eng. 2018, 35, 995–1004. [Google Scholar] [CrossRef]
- DeLuca, D.C.; Dennis, R.; Smith, W.G. Inactivation of an animal and a fungal catalase by hydrogen peroxide. Arch. Biochem. Biophys. 1995, 320, 129–134. [Google Scholar] [CrossRef] [PubMed]
- Bendou, O.; Gutiérrez-Fernández, I.; Marcos-Barbero, E.L.; Bueno-Ramos, N.; González-Hernández, A.I.; Morcuende, R.; Arellano, J.B. Theoretical and experimental considerations for a rapid and high throughput measurement of catalase in vitro. Antioxidants 2022, 11, 21. [Google Scholar] [CrossRef] [PubMed]
- Wolfram Research, Inc. Mathematica, Version 12.2; Wolfram Research, Inc.: Champaign, IL, USA, 2020. [Google Scholar]
- Schnell, S.; Mendoza, C. Closed form solution for time-dependent enzyme kinetics. J. Theor. Biol. 1997, 187, 207–212. [Google Scholar] [CrossRef]
- Fridovich, I. Superoxide dismutase. In Encyclopedia of Biological Chemistry, 2nd ed.; Lennarz, W., Lane, M., Eds.; Academic Press: Amsterdam, The Netherlands, 2013; pp. 352–354. ISBN 9780123786319. [Google Scholar]
- Galvez, J.; Varon, R.; Garcia-Canovas, F.; Carmona, F.G., IV. Transient phase of the uni-bi mechanisms. J. Theor. Biol. 1982, 94, 413–420. [Google Scholar] [CrossRef]
- Maguire, R.J.; Hijazi, N.H.; Laidler, K.J. Transient-phase kinetics of α-chymotrypsin and other enzyme systems. Biochim. Biophys. Acta 1974, 341, 1–14. [Google Scholar] [CrossRef]
- Alberty, R.A. The relationship between Michaelis constants, maximum velocities and the equilibrium constant for an enzyme-catalyzed reaction. J. Am. Chem. Soc. 1953, 75, 1928–1932. [Google Scholar] [CrossRef]
- King, E.L.; Altman, C. A schematic method of deriving the rate laws for enzyme-catalyzed reactions. J. Phys. Chem. 1956, 60, 1375–1378. [Google Scholar] [CrossRef]







| Nomenclature | Definition |
|---|---|
| Compounds | |
| A | Reaction (suicide) substrate |
| E | Active enzyme |
| EA | Intermediate substrate–enzyme complex |
| EX | Second intermediate substrate–enzyme complex in the Waley model |
| F | Intermediate active enzyme of a ping-pong reaction |
| FA | Intermediate substrate–enzyme complex of a ping-pong reaction |
| Inactive enzyme of the Waley model | |
| Inactive enzyme of a one-step suicide substrate inactivation reaction | |
| P | (First) reaction product (of a ping-pong reaction) |
| Q | Second reaction product of a ping-pong reaction |
| Constants | |
| , mol·m−3 | |
| , mol·m−3 | |
| , mol·m−3 | |
| Second-order forward rate constant, m3·(mol·s)−1 | |
| Second-order rate constant for H2O2 decomposition, m3·(mol·s)−1 | |
| First-order backward rate constant, s−1 | |
| First-order forward rate constant, s−1 | |
| Second-order forward rate constant, m3·(mol·s)−1 | |
| First-order backward rate constant, s−1 | |
| First-order forward rate constant, s−1 | |
| , s−1 | |
| Second-order forward rate constant for the formation of I, m3·(mol·s)−1 | |
| Second-order rate constant for catalase inactivation, m3·(mol·s)−1 | |
| First-order forward rate constant for the decomposition of EX, s−1 | |
| First-order forward rate constant for the formation of EX, s−1 | |
| , m3·(mol·s)−1 | |
| , m3·(mol·s)−1 | |
| , m3·(mol·s)−1 | |
| Subscripts | |
| E | Enzyme state inactivated by suicide substrate |
| F | Intermediate enzyme state inactivated by suicide substrate |
| max | Maximum |
| (n)ss | (Non)quasi-steady state |
| n | Grade of the polynomial of a power expansion series |
| ssi | Suicide substrate inactivation |
| 0 | |
Publisher’s Note: MDPI stays neutral with regard to jurisdictional claims in published maps and institutional affiliations. |
© 2022 by the authors. Licensee MDPI, Basel, Switzerland. This article is an open access article distributed under the terms and conditions of the Creative Commons Attribution (CC BY) license (https://creativecommons.org/licenses/by/4.0/).
Share and Cite
Gutiérrez-Fernández, I.; Bendou, O.; Bueno-Ramos, N.; Marcos-Barbero, E.L.; Morcuende, R.; Arellano, J.B. One-Step Suicide Substrate Inactivation Kinetics of a Ping-Pong Reaction with One Substrate Undergoing Disproportionation: A Theoretical Approach with Approximate Solutions. Mathematics 2022, 10, 4240. https://doi.org/10.3390/math10224240
Gutiérrez-Fernández I, Bendou O, Bueno-Ramos N, Marcos-Barbero EL, Morcuende R, Arellano JB. One-Step Suicide Substrate Inactivation Kinetics of a Ping-Pong Reaction with One Substrate Undergoing Disproportionation: A Theoretical Approach with Approximate Solutions. Mathematics. 2022; 10(22):4240. https://doi.org/10.3390/math10224240
Chicago/Turabian StyleGutiérrez-Fernández, Ismael, Ouardia Bendou, Nara Bueno-Ramos, Emilio L. Marcos-Barbero, Rosa Morcuende, and Juan B. Arellano. 2022. "One-Step Suicide Substrate Inactivation Kinetics of a Ping-Pong Reaction with One Substrate Undergoing Disproportionation: A Theoretical Approach with Approximate Solutions" Mathematics 10, no. 22: 4240. https://doi.org/10.3390/math10224240
APA StyleGutiérrez-Fernández, I., Bendou, O., Bueno-Ramos, N., Marcos-Barbero, E. L., Morcuende, R., & Arellano, J. B. (2022). One-Step Suicide Substrate Inactivation Kinetics of a Ping-Pong Reaction with One Substrate Undergoing Disproportionation: A Theoretical Approach with Approximate Solutions. Mathematics, 10(22), 4240. https://doi.org/10.3390/math10224240

