Next Article in Journal
A Unified Multi-Objective Optimization Framework for UAV Cooperative Task Assignment and Re-Assignment
Next Article in Special Issue
Germeier’s Scalarization for Approximating Solution of Multicriteria Matrix Games
Previous Article in Journal
Fixed Point Theorems on Almost (φ,θ)-Contractions in Jleli-Samet Generalized Metric Spaces
Previous Article in Special Issue
A Dynamic Multi-Objective Duopoly Game with Capital Accumulation and Pollution
 
 
Font Type:
Arial Georgia Verdana
Font Size:
Aa Aa Aa
Line Spacing:
Column Width:
Background:
Article

Dynamic Multicriteria Game with Pollution Externalities

1
School of Mathematics and Statistics, Qingdao University, Qingdao 266071, China
2
Institute of Applied Mathematical Research, Karelian Research Center of RAS, Pushkinskaya Str. 11, 185910 Petrozavodsk, Russia
Mathematics 2022, 10(22), 4238; https://doi.org/10.3390/math10224238
Submission received: 20 October 2022 / Revised: 9 November 2022 / Accepted: 10 November 2022 / Published: 13 November 2022
(This article belongs to the Special Issue Multicriteria Games)

Abstract

The multicriteria approach deals with real-life applications of game theory. However, the existing game-theoretic statements with the joint analysis of resource extraction and pollution dynamics have not considered the multiple objectives of the players. To address this issue, a dynamic multicriteria game is proposed: many players exploit a common resource and seek to optimize different criteria under pollution externalities. Two interconnected state variables (resource stock and pollution level) are introduced and studied. The pollution level depends on exploitation strategies, and the players have an environmental objective to reduce the accumulated pollution. The noncooperative and cooperative behavioral strategies of the players are analyzed. A linear dynamic multicriteria bioresource management problem with pollution externalities is investigated to illustrate the solution concepts proposed. The differences between the noncooperative and cooperative cases, as well as between the models with and without environmentally concerned players, are treated analytically and numerically. As shown by the results, the cooperative behavior reduces pollution in both statements, bringing to sparing bioresource exploitation.

1. Introduction

Rational exploitation primarily aims at the sustainable development of natural resources. The crucial role of cooperation for “common resource” exploitation was stressed by Nobel prize winner E. Ostrom [1]. There is extensive literature on renewable resources management in economics, operations research and optimal control theory. The game-theoretic approach to resource exploitation was pioneered by Munro [2] and Clark [3], who combined the models of fisheries with Nash equilibrium. The optimal noncooperative and cooperative strategies of players in harvesting problems were obtained by Hamalainen et al. [4,5]. Levhari and Mirman [6] presented a fish war model to analyze discrete-time bioresource exploitation processes. Many other authors applied game theory to resource management problems (e.g., see [7,8,9] for optimal behavior in fishery economics).
Numerous publications were devoted to game-theoretic models with pollution externalities. The pioneering papers [10,11] considered the noncooperative and cooperative behavior in international pollution control. Ploeg [10] and Hoel [12] demonstrated that cooperation and investments in green technology reduce the level of pollution. The survey by Jørgensen et al. [13] was focused on dynamic games in the economics and management of pollution, whereas Long’s survey [14] on the applications of dynamic games to global and transboundary issues. The negative impact of production processes causing pollution was investigated in [15].
Commonly, resource exploitation and environmental issues are treated separately. There exists a relatively small amount of literature combining the optimal resource management problem and pollution accumulation; e.g., see [16,17,18]. Tahvonen [16] paid attention to steady-state solutions assuming that pollution affects the growth and quality of the resource stock. Xepapadeas [17] suggested implementing tax policies to maintain cooperative behavior.
The recent contributions [19,20,21] considered the exploitation of a productive asset under pollution externalities and strategic behavior. Zaccour et al. [19] assumed that harvesting activities damage the environment and the resource growth rate depends on the accumulated pollution. For the model with many players maximizing welfare over an infinite planning horizon, the authors constructed noncooperative and cooperative equilibria. Feichtinger et al. [21] studied a differential game combining pollution dynamics with resource growth and showed the effects of taxation and investments in green technologies for the long-run sustainability of resource extraction.
This paper is closer to contributions on the exploitation of a productive asset under pollution externalities. However, the existing game-theoretic statements with the joint analysis of resource extraction and pollution dynamics have not considered the multiple objectives of the players.
Game-theoretic models with several objectives of the players [22] better correspond to real-life applications. In many practical problems of economics and operations research, decision makers seek to optimize multiple criteria. Moreover, these objectives are often noncomparable or conflicting. For example, consider duopoly problems where firms produce several goods or rival simultaneously in different markets. Such a duopoly model becomes a two-person multicriteria game. The multicriteria approach is natural in economic problems when firms compete in prices along with market share [23,24] or quantities under demand uncertainty [25], when players have equity considerations in addition to personal gains [26], or when producers are environmentally concerned [27].
In recent years, much attention has been paid to games with multiple noncomparable criteria. Different solution concepts have been proposed for such games in the static statement (e.g., the ideal Nash equilibrium [28] and the E-equilibrium [29]). However, the contributions addressing dynamic multicriteria games are very scant. Hayek [30] obtained necessary and sufficient conditions for Pareto optimality in infinite-horizon multi-objective optimal control problems and applied the Pareto-optimal solution to a dynamic multicriteria Cournot duopoly [27,31]. Some approaches to obtaining the optimal behavior of players in dynamic multicriteria games were proposed in [32,33,34,35]. Multicriteria noncooperative equilibrium [32] was conceptualized by combining multi-objective optimization (nadir points [36]) with noncooperative game theory (Nash equilibrium [37]). The cooperative equilibrium [33] was constructed using an approach to define equilibria in the problems with asymmetric players [38,39]. An individually rational method to determine cooperative behavior in dynamic multicriteria games was presented in [34,35]. Kuzyutin et al. [40,41] developed a cooperative game theory for dynamic multistage multicriteria games. However, there is no universally accepted solution concept for multi-objective problems.
In view of the existing contributions, this paper aims to apply the multicriteria approach to the joint analysis of dynamic games of renewable resource extraction and pollution control. (Note that dynamic or state-space games differ from repeated games: the state variable evolves over time in response to the actions of players, and their payoffs depend on the actions and state simultaneously.)
While being related to Hayek [27,31], this research has several differences. In [27], the authors considered a dynamic duopoly of multi-objective firms with financial (profit maximization) and environmental (pollution control) concerns. It was assumed that the level of pollution (the single state variable) depends on emissions. As established, environmentally concerned firms reduce production, but the reduction is sharper than it would be if the firms cooperated. This model was extended in [31] to the case with capital accumulation: two state variables (the capital equal to production and the pollution stocks) were introduced. The authors applied the multi-objective approach as the firms seek to maximize profits and minimize pollution simultaneously. As demonstrated, the firms can over-reduce pollution in a noncooperative equilibrium compared to the cooperative one.
Similar to [31], this paper considers the discrete-time multicriteria game model with two state variables and environmentally concerned players. In contrast to [27,31] with infinite-horizon pollution control, the resource management problem is investigated on a finite horizon here. The vector payoff functions of players describe an objective to reduce the accumulated pollution along with two other economic (egoistic) objectives, unlike the single financial one in [27,31]. The approaches to constructing multicriteria equilibria bear no resemblance to Hayek’s ones, who applied the Pareto-optimal solution for multi-objective problems. To design a multicriteria Nash equilibrium, the bargaining solution [32,33] is adopted and a modified bargaining scheme [35] is applied in the cooperative case.
To clarify and illustrate the difference between the noncooperative and cooperative behavior as well as between the models with and without environmental concern, a linear dynamic multicriteria bioresource management problem with many players and pollution externalities is investigated. The analysis yields the following findings. When the players are environmentally concerned, the optimal noncooperative and cooperative behaviors differ from those in the case of purely economic players. Cooperation reduces pollution in both statements, bringing to sparing bioresource exploitation. Moreover, cooperation under environmental concern is preferable for the exploited system state along with the accumulated pollution level.
The further exposition has the following structure. Section 2 describes the multicriteria dynamic game model with pollution externalities as well as the noncooperative and cooperative solutions. A discrete-time multicriteria dynamic harvesting game with pollution is presented in Section 3. Finally, Section 4 provides the basic results, including a discussion.

2. A Dynamic Multicriteria Game with Pollution Externalities

Consider a multicriteria dynamic game in discrete time. Let players 1 , , n exploit a common resource with the evolution
x t + 1 = f ( x t , u 1 t , , u n t ) , x 1 = x , t { 1 , , m } ,
where x t 0 denotes the resource stock at step t 1 , f ( x t , u 1 t , , u n t ) is the resource growth function, and u i t 0 gives the exploitation rate of player i at step t, i N = { 1 , , n } .
In this paper, the exploitation activities of players are assumed to generate emissions. To simplify the analysis, let the emissions be equal to the exploitation rates. The dynamics of the pollution level has the form
z t + 1 = h ( z t , u 1 t , , u n t ) , z 1 = z , t { 1 , , m } ,
where z t 0 denotes the pollution level accumulated at step t 1 , h ( z t , u 1 t , , u n t ) is the pollution growth function including the natural decay, and u i t 0 gives the emission rate of player i at step t, i N .
The linear resource growth function and the linear pollution decay rate are considered in Section 3.
Each player has several objectives to optimize. In [32,33,34,35], two or n criteria depending on the exploitation rates were considered. In particular examples, the players were supposed to maximize the revenue from the resource sales and minimize the exploitation costs. To capture the negative environmental impact of exploitation processes and the players’ concerns about the pollution caused, one more goal function depending on the pollution level is examined here. Environmental concern can be formalized as the players’ objective to reduce the accumulated pollution over the planning horizon; for details, see Section 3. The vector payoff functions of the players on a finite planning horizon [ 1 , m ] have the form
J i = J i 1 = t = 1 m δ t g i 1 ( x t , u 1 t , , u n t ) J i 2 = t = 1 m δ t g i 2 ( x t , u 1 t , , u n t ) J i 3 = t = 1 m δ t g i 3 ( z t , u 1 t , , u n t ) , i N ,
where g i j ( · ) 0 , j = 1 , 2 , 3 , i N , are the instantaneous payoff functions, δ ( 0 , 1 ) denotes the discount factor, and x t and z t have the dynamics (1) and (2), respectively.

2.1. Multicriteria Nash Equilibrium

As mentioned in the Introduction, there is no universally accepted solution concept for multicriteria dynamic games. To determine the noncooperative behavior in dynamic games with vector payoffs, the ideas of multi-objective optimization were combined with Nash equilibrium in [32,33]. New payoff functions of players, referred to as the multicriteria ones, were constructed as the products of the distances to guaranteed points (the Nash products). In the proposed optimal noncooperative behavior, each player maximizing the multicriteria payoff function has no incentive to deviate from the equilibrium strategies unilaterally, as in the classical Nash equilibrium. The guaranteed objective values of all the criteria were determined in [32] in several ways to implement the idea of nadir points for the multicriteria payoff functions. As shown, the guaranteed points obtained in the form of the noncooperative equilibrium payoffs in the corresponding dynamic games lead to better solution for the exploited system state.
Adopting the described approach for the dynamic multicriteria game with pollution externalities requires first constructing the guaranteed payoffs as they play the role of status quo points in the Nash products. Namely,
G 1 j , , G n j , j = 1 , 2 , 3 , are the noncooperative equilibrium payoffs in the dynamic game x t , z t , N , { U i = [ 0 , ) } i = 1 n , { J i j } i = 1 n . To find the equilibrium strategy of player i, i N , it is necessary to maximize his jth criteria under the resource (1) and pollution (2) dynamics provided that the other N { i } players apply the equilibrium strategies. (The equilibrium is unique [42] in the case of linear dynamics and linear or quadratic payoff functions (criteria) [32,33]. However, if the corresponding dynamic game has multiple noncooperative equilibria, one of the equilibrium payoffs should be chosen, e.g., the maximum one.)
The multicriteria payoff functions of players are constructed [32] as the Nash products with the guaranteed payoffs playing the role of the status quo or nadir points:
H 1 ( u 1 t , , u n t ) = ( J 1 1 G 1 1 ) ( J 1 2 G 1 2 ) ( J 1 3 G 1 3 ) = ( t = 1 m δ t g 1 1 ( x t , u 1 t , , u n t ) G 1 1 ) · ( t = 1 m δ t g 1 2 ( x t , u 1 t , , u n t ) G 1 2 ) ( t = 1 m δ t g 1 3 ( z t , u 1 t , , u n t ) G 1 3 ) , H n ( u 1 t , , u n t ) = ( J n 1 G n 1 ) ( J n 2 G n 2 ) ( J n 3 G n 3 ) = ( t = 1 m δ t g n 1 ( x t , u 1 t , , u n t ) G n 1 ) · ( t = 1 m δ t g n 2 ( x t , u 1 t , , u n t ) G n 2 ) ( t = 1 m δ t g n 3 ( z t , u 1 t , , u n t ) G n 3 ) .
Hence, according to the proposed noncooperative solution concept, the players seek to maximize the product of the distances to the guaranteed payoff points. The multicriteria Nash equilibrium strategies are constructed in the feedback form u i t N = u i t N ( x t , z t ) , i N , t { 1 , , m } .
Definition 1. 
A strategy profile u t N = u t N ( x t , z t ) = ( u 1 t N , , u n t N ) is referred to as a multicriteria Nash equilibrium [32] of Problem (1)–(3) if
H i ( u t N ) H i ( u 1 t N , , u i 1 t N , u i t , u i + 1 t N , , u n t N ) u i t U i , i N , t { 1 , , m } .

2.2. Multicriteria Cooperative Equilibrium

To design cooperative behavior, an approach originally presented in [35] for a dynamic multicriteria game with asymmetric players is adopted. This solution concept leads to individually rational cooperation: the cooperative payoffs of the players are not smaller than the noncooperative counterparts. That is, the cooperative strategies and payoffs of the players are obtained using the modified bargaining solution that combines compromise programming [36] and the Nash bargaining scheme [38,39]. The noncooperative payoffs of the players employing the multicriteria Nash equilibrium strategies u t N play the role of the status quo points:
J i N = J i 1 N = t = 1 m δ t g i 1 ( x t N , u t N ) J i 2 N = t = 1 m δ t g i 1 ( x t N , u t N ) J i 3 N = t = 1 m δ t g i 3 ( z t N , u t N ) ,
where the noncooperative trajectories x t N and z t N have the dynamics (1) and (2), respectively, with u i t = u i t N , i N , t { 1 , , m } .
The cooperative strategies in the feedback form u i t c = u i t c ( x t , z t ) , i N , t { 1 , , m } , and the corresponding payoffs are the solution of the following problem:
( V 1 1 c J 1 1 N ) ( V 1 2 c J 1 2 N ) ( V 1 3 c J 1 3 N ) + + ( V n 1 c J n 1 N ) ( V n 2 c J n 2 N ) ( V n 3 c J n 3 N ) = ( t = 1 m δ t g 1 1 ( x t , u 1 t , , u n t ) J 1 1 N ) ( t = 1 m δ t g 1 2 ( x t , u 1 t , , u n t ) J 1 2 N ) · ( t = 1 m δ t g 1 3 ( z t , u 1 t , , u n t ) J 1 3 N ) + + ( t = 1 m δ t g n 1 ( x t , u 1 t , , u n t ) J n 1 N ) · ( t = 1 m δ t g n 2 ( x t , u 1 t , , u n t ) J n 2 N ) ( t = 1 m δ t g n 3 ( z t , u 1 t , , u n t ) J n 3 N ) max u 1 t , , u n t ,
where J i j N are the noncooperative payoffs given by (6), i N , j = 1 , 2 , 3 .
Definition 2. 
A strategy profile u t c = u t c ( x t , z t ) = ( u 1 t c , , u n t c ) that is the solution of Problem (7) is called a rational multicriteria cooperative equilibrium [35] of Problem (1)–(3).
This approach resembles the classical cooperation concept as the players maximize the sum of their individual payoffs. The individual objectives are the maximum distances to the noncooperative payoffs; under cooperation, the players optimize them jointly. As proved in [35], defining cooperative behavior in dynamic multicriteria games in such a way ensures individual rationality.
Next, a dynamic multicriteria game with many players related to the bioresource management problem (harvesting) with pollution externalities is considered to illustrate the solution concepts and compare the resulting behavior of players with the case of environmentally unconcerned participants.

3. The Linear Dynamic Multicriteria Exploitation Game with Pollution Externalities

Consider a dynamic resource management problem with linear dynamics in the discrete-time statement. Let n players (countries or firms) exploit a bioresource stock during m > 1 steps. The bioresource evolves according to the equation
x t + 1 = ε x t u 1 t u n t , x 1 = x ,
where x t 0 is the resource stock at step t 1 , ε 1 denotes the natural birth rate, and u i t 0 gives the exploitation strategy of player i at step t 0 , i N = { 1 , , n } , t { 1 , , m } .
The players’ exploitation activities generate emissions supposedly equal to the exploitation rates. The dynamics of the pollution level has the form
z t + 1 = u 1 t + + u n t + θ z t , z 1 = z ,
where z t 0 denotes the pollution level accumulated at step t 1 , t { 1 , , m } , and 0 < θ < 1 is the natural pollution decay rate.
Each player has three objectives: two egoistic (maximize the revenue from resource sales and minimize the exploitation costs) and one related to environmental concern. The market prices of the resource are assumed to differ for the players, whereas the costs depending on the exploitation rates in a quadratic manner are the same. Environmental concern means that the players minimize the total accumulated pollution on the time interval [ 1 , m ] . The vector payoff functions of the players take the form
J 1 = J 1 1 = t = 1 m δ t p 1 u 1 t J 1 2 = t = 1 m δ t c u 1 t 2 J 1 3 = t = 1 m δ t z t , , J n = J n 1 = t = 1 m δ t p n u n t J n 2 = t = 1 m δ t c u n t 2 J n 3 = t = 1 m δ t z t ,
where p i 0 is the market price of the resource for player i, i N , c 0 denotes the exploitation cost, and δ ( 0 , 1 ) gives the discount factor.

3.1. Multicriteria Nash Equilibrium

First, we construct the guaranteed payoffs using an approach from [32]. Namely, the guaranteed payoff points G 1 1 , , G n 1 will be defined as the noncooperative equilibrium payoffs in the dynamic game x t , z t , N , { U i } i = 1 n , { J i 1 } i = 1 n .
Bellman’s optimality principle applied to the linear strategies and value functions yields the Nash equilibrium strategies
u 1 t = = u n t = ε 2 n x t θ 2 n z t ,
and the dynamics become
x t + 1 = ε 2 x t + θ 2 z t , z t + 1 = ε 2 x t + θ 2 z t .
Hence,
x t = z t = ( ε + θ ) t 1 2 t ( ε x 1 + θ z 1 ) .
Then, the guaranteed payoff points take the form
G 1 1 = p 1 ( A 1 x 1 + A 2 z 1 ) , , G n 1 = p n ( A 1 x 1 + A 2 z 1 ) ,
where
A 1 = ε ( ε θ ) 2 n ( δ ( ε + θ ) ) m + 1 2 m + 1 2 m ( ε + θ ) ( δ ε + δ θ 2 ) , A 2 = A 1 θ ε .
Similarly, we find the noncooperative equilibrium in the dynamic game with the second criterion for all players x t , z t , N , { U i } i = 1 n , { J i 2 } i = 1 n . As a result, n guaranteed payoff points are equal to zero:
G 1 2 = = G n 2 = 0 .
As for the dynamic game with the third criterion, the Nash equilibrium strategies are equal to zero, and the dynamics become
x t = ε t x 1 , z t = θ t z 1 .
Then, the guaranteed payoff points take the form
G 1 3 = = G n 3 = M z 1 ,
where
M = 1 ( δ θ ) m + 1 1 δ θ .
To design the multicriteria Nash equilibrium of the game (8)–(10) (see Definition 1), the following problem has to be solved:
p 1 c ( t = 1 m δ t u 1 t A 1 x A 2 z ) ( t = 1 m δ t u 1 t 2 ) ( t = 1 m δ t z t + M z ) max u 1 t , p n c ( t = 1 m δ t u n t A 1 x A 2 z ) ( t = 1 m δ t u n t 2 ) ( t = 1 m δ t z t + M z ) max u n t .
Proposition 1. 
The multicriteria Nash equilibrium strategies in Problem (8)–(10) are given by u i t N = γ i m t + 1 x N x t + γ i m t + 1 z N z t , i N , where
γ 1 t x N = = γ n t x N = γ t x N = ε t 1 γ 1 x N 1 + n γ 1 x N j = 0 t 2 ε j n γ 1 z N j = 0 t 2 θ j , t = 2 , , m ,
γ 1 t z N = = γ n t z N = γ t z N = θ t 1 γ 1 z N 1 + n γ 1 x N j = 0 t 2 ε j n γ 1 z N j = 0 t 2 θ j , t = 2 , , m .
The players’ strategies at the last step, γ 1 x N and γ 1 z N , are
γ 1 x N = 2 A 1 θ m 1 3 ( ε θ ) m 1 j = 0 m 1 δ j + 2 n A 2 ε m 1 j = 0 m 2 θ j 2 n A 1 θ m 1 j = 0 m 2 ε j , γ 1 z N = ε m 2 θ m 2 γ 1 x N .
Proof. 
First, consider the one-step game. To determine the noncooperative strategies, we solve the problems
( V i 1 1 ( u i ; x , z ) A 1 x A 2 z ) V i 1 2 ( u i ; x , z ) ( V i 1 3 ( u i ; x , z ) + M z ) = ( u i A 1 x A 2 z ) ( u i 2 ) ( z + M z ) max u i , i N .
The first-order optimality conditions give the strategies
u i = γ 1 x x + γ 1 z z = 2 3 A 1 x + 2 3 A 2 z , i N .
Therefore, we can construct the Nash equilibrium strategies in the linear form u i t = γ i t x x + γ i t z z .
Consider Problem (10) for the two-step game. The objective functions for the first and second criteria become
V i 2 1 ( u 1 , , u n , γ i 1 x , γ i 1 z ; x , z ) = u i + δ γ i 1 x ( ε x j = 1 n u j ) + δ γ i 1 z ( j = 1 n u j + θ z ) ,
V i 2 2 ( u 1 , , u n , γ i 1 x , γ i 1 z ; x , z ) = u i 2 δ ( γ i 1 x ( ε x j = 1 n u j ) + γ i 1 z ( j = 1 n u j + θ z ) ) 2 ,
and the one for the third criterion is
V i 2 3 ( u 1 , , u n , γ i 1 x , γ i 1 z ; x , z ) = z δ ( j = 1 n u j + θ z ) .
We determine the noncooperative strategies in this game by solving the problems
( V i 2 1 ( u 1 , , u n , γ i 1 x , γ i 1 z ; x , z ) A 1 x A 2 z ) V i 2 2 ( u 1 , , u n , γ i 1 x , γ i 1 z ; x , z ) · · ( V i 2 3 ( u 1 , , u n , γ i 1 x , γ i 1 z ; x , z ) + M z ) max u i , γ i 1 x , γ i 1 z , i N .
From the first-order optimality conditions, we again establish that the strategies have the linear forms u i = γ i 2 x x + γ i 2 z z ,
γ 1 j x = = γ n j x = γ j x , γ 1 j z = = γ n j z = γ j z , j = 1 , 2 .
Hence, the players’ strategies in the one- and two-step games are related by
γ 2 x = ε γ 1 x 1 + n γ 1 x n γ 1 z , γ 2 z = θ γ 1 z 1 + n γ 1 x n γ 1 z .
The players’ strategies at the last step, γ 1 x and γ 1 z , take the form
γ 1 x = 2 A 1 θ 3 ε θ ( 1 + δ ) 4 A 1 θ + 4 A 2 ε , γ 1 z = 2 A 2 ε 3 ε θ ( 1 + δ ) 4 A 1 θ + 4 A 2 ε .
Following the described procedure for the games with 3,…, m steps, we finally arrive at the noncooperative strategies (12)–(14). □
Corollary 1. 
The players’ exploitation rate increases in time as a function of the resource stock and decreases in time as a function of the pollution level:
γ t + 1 x N γ t x N , γ t + 1 z N γ t z N , t { 1 , , m 1 } .
Proof. 
First, due to the relation
γ t z N = ε m t 1 θ m t 1 γ t x N , t { 1 , , m } ,
the players’ exploitation rates satisfy the inequality
γ t z N > γ t x N , t { 1 , , m } .
Let us compare γ t x N and γ t + 1 x N :
γ t + 1 x N γ t x N = ε t 1 γ 1 x N ( 1 + n γ 1 x N j = 0 t 1 ε j n γ 1 z N j = 0 t 1 θ j ) ( 1 + n γ 1 x N j = 0 t 2 ε j n γ 1 z N j = 0 t 2 θ j ) · · [ ( ε 1 ) ( 1 + n γ 1 x N j = 0 t 2 ε j n γ 1 z N j = 0 t 2 θ j ) + n ( γ 1 x N ε t 1 + γ 1 z N θ t 1 ) ] .
The first expression in square brackets is non-negative since γ t x N 0 and ε 1 ; the second one is
γ 1 x N ε t 1 + γ 1 z N θ t 1 = γ 1 x N ε m 2 θ m t 1 ε t 1 .
The function ε m 2 θ m t 1 ε t 1 decreases in time and vanishes at t = m 1 , hence being non-negative.
Therefore,
γ t + 1 x N γ t x N , t { 1 , , m 1 } .
A similar analysis for the exploitation rate as a function of the pollution level gives γ t + 1 z N γ t z N , t { 1 , , m 1 } . □

3.2. Cooperative Equilibrium

To design the cooperative behavior, the modified bargaining scheme [35] is adopted. First, it is necessary to find the noncooperative payoffs of the players employing the multicriteria Nash strategies. Then, it is required to construct the sum of the Nash products with the noncooperative payoffs acting as the status quo points.
According to Proposition 1, the noncooperative payoffs have the form
J i 1 N ( x , z ) = t = 1 m δ t p i ( γ t x N x t + γ t z N z t ) , J i 2 N ( x , z ) = c t = 1 m δ t ( γ t x N x t + γ t z N z t ) 2 , J i 3 N ( x , z ) = t = 1 m δ t z t , i N .
To determine the cooperative equilibrium of the multicriteria game (8)–(10) (see Definition 2), the following problem has to be solved:
p 1 ( t = 1 m δ t u 1 t c K 1 x K 2 z ) ( t = 1 m δ t ( u 1 t c ) 2 + M 1 x 2 + M 2 z 2 + M 12 x z ) + + p n ( t = 1 m δ t u n t c K 1 x K 2 z ) ( t = 1 m δ t ( u n t c ) 2 + M 1 x 2 + M 2 z 2 + M 12 x z ) max u 1 t c , , u n t c ,
where K 1 = t = 1 m δ t γ t x N , K 2 = t = 1 m δ t γ t z N , M 1 = t = 1 m δ t ( γ t x N ) 2 , M 2 = t = 1 m δ t ( γ t z N ) 2 , and M 12 = 2 t = 1 m δ t γ t x N γ t z N .
Similar to Proposition 1, the cooperative behavior of players is constructed using the procedure starting from the one-step game to the m-step one.
Proposition 2. 
The multicriteria rational cooperative equilibrium strategies in Problem (8)–(10) are given by u i t c = γ i m t + 1 x c x t + γ i m t + 1 z c z t , i N , where
γ 1 t x c = = γ n t x c = γ t x c = ε t 1 γ 1 x c 1 + n γ 1 x c j = 0 t 2 ε j n γ 1 z c j = 0 t 2 θ j , t = 2 , , m ,
γ 1 t z c = = γ n t z c = γ t z c = θ t 1 γ 1 z c 1 + n γ 1 x c j = 0 t 2 ε j n γ 1 z c j = 0 t 2 θ j , t = 2 , , m .
The players’ strategies at the last step, γ 1 x c and γ 1 z c , are
γ 1 x c = θ m 1 ( K 1 + K ¯ 1 ) 3 ( ε θ ) m 1 j = 0 m 1 δ j + n ε m 1 j = 0 m 2 θ j ( K 2 + K ¯ 2 ) n θ m 1 j = 0 m 2 ε j ( K 1 + K ¯ 1 ) , γ 1 z c = ε m 1 θ m 1 K 2 + K ¯ 2 K 1 + K ¯ 1 γ 1 x c , K ¯ 1 = K 1 2 + 3 M 1 j = 0 m 1 δ j , K ¯ 2 = K 2 2 + 3 M 2 j = 0 m 1 δ j .
Remark 1. 
The cooperative strategies are similar to the noncooperative counterparts. Hence, Corollary 1 is also valid for the cooperative case.

3.3. Behavior Analysis

This section is intended to compare the behavior of players in the multicriteria game with pollution externalities and indicate the differences from the model without environmental concern. In view of Propositions 1 and 2, the noncooperative strategies can be compared with the cooperative ones analytically.
Proposition 3. 
The players’ noncooperative exploitation rate as a function of the resource stock is higher than the cooperative one. The players’ noncooperative exploitation rate as a function of the pollution level is smaller than the cooperative one. That is,
γ t x N γ t x c , γ t z N γ t z c , t { 1 , , m } .
Proof. 
Let us compare γ t x N and γ t x c :
γ t x N γ t x c = ε t 1 ( 1 + n γ 1 x N j = 0 t 2 ε j n γ 1 z N j = 0 t 2 θ j ) ( 1 + n γ 1 x c j = 0 t 2 ε j n γ 1 z c j = 0 t 2 θ j ) · · [ γ 1 x N γ 1 x c + n j = 0 t 2 θ j ε m 2 θ m 2 γ 1 x c γ 1 x N ( 1 ε ( K 2 + K ¯ 2 ) θ ( K 1 + K ¯ 1 ) ) ] .
The expression in square brackets can be reduced to
1 3 ( ε θ ) m 1 j = 0 m 1 δ j + 2 n A 2 ε m 1 j = 0 m 2 θ j 2 n A 1 θ m 1 j = 0 m 2 ε j · 1 3 ( ε θ ) m 1 j = 0 m 1 δ j + n ε m 1 j = 0 m 2 θ j ( K 2 + K ¯ 2 ) n θ m 1 j = 0 m 2 ε j ( K 1 + K ¯ 1 ) · ( 3 ( ε θ ) m 1 j = 0 m 1 δ j ( 2 A 1 K 1 K ¯ 1 ) + 2 n A 1 ε m 2 ( j = 0 m 2 θ j j = 0 t 2 θ j ) ( ε ( K 2 + K ¯ 2 ) θ ( K 1 + K ¯ 1 ) ) ) ,
which is non-negative due to K 2 K 1 and A 1 K 1 .
Hence, γ t x N γ t x c , t { 1 , , m } .
To prove the second inequality, first note that
1 + n γ 1 x N j = 0 t 2 ε j n γ 1 z N j = 0 t 2 θ j 1 + n γ 1 x c j = 0 t 2 ε j n γ 1 z c j = 0 t 2 θ j t { 2 , , m }
since γ 1 x N γ 1 x c and γ 1 z N γ 1 z c .
Therefore,
γ t z N = θ t 1 γ 1 z N 1 + n γ 1 x N j = 0 t 2 ε j n γ 1 z N j = 0 t 2 θ j θ t 1 γ 1 z c 1 + n γ 1 x c j = 0 t 2 ε j n γ 1 z c j = 0 t 2 θ j = γ t z c .
Due to the explicit form of the noncooperative and cooperative strategies of the players in Problem (8)–(10), the exploited system state and the accumulated pollution can be compared analytically as well.
Proposition 4. 
If the initial stocks satisfy the relation x 1 K 2 + K ¯ 2 K 1 + K ¯ 1 z 1 , the resource stock is larger and the pollution level is smaller under cooperation:
x t c x t N , z t c z t N , t { 2 , , m } .
Proof. 
Let us prove this result by induction. Base case: we show that x 2 c x 2 N and z 2 c z 2 N . Consider
x 2 N = ε x 1 n γ m x N x 1 γ m z N z 1 = ε x 1 n γ m x N ( x 1 + θ ε z 1 ) , x 2 c = ε x 1 n γ m x c x 1 γ m z c z 1 = ε x 1 n γ m x c ( x 1 + K 2 + K 2 ¯ K 1 + K 1 ¯ z 1 ) .
Using Proposition 3, we have
x 2 N x 2 c = K 2 + K ¯ 2 K 1 + K ¯ 1 γ m x c z 1 γ m x N x 1 + ( γ m x c x 1 θ ε γ m x N z 1 ) γ m x N K 2 + K ¯ 2 K 1 + K ¯ 1 z 1 x 1 γ m x c ( θ ε z 1 x 1 ) K 2 + K ¯ 2 K 1 + K ¯ 1 z 1 x 1 ( γ m x N γ m x c ) 0 .
Hence, x 2 c x 2 N if x 1 K 2 + K ¯ 2 K 1 + K ¯ 1 z 1 . A similar analysis for the pollution level yields z 2 c z 2 N .
Induction step: we assume that x t c x t N and z t c z t N .
Consider
x t + 1 N = ε x t N n γ m t + 1 x N ( x t N + ε t 2 θ t 2 z t N ) , x t + 1 c = ε x t c n γ m t + 1 x c ( x t c + ε t 1 θ t 1 K 2 + K 2 ¯ K 1 + K 1 ¯ z t c ) .
According to Proposition 3,
x t + 1 c x t + 1 N = ε ( x t c x t N ) n ( γ m t + 1 x c x t c γ m t + 1 x N x t N ) + n ε t 2 θ t 2 ( γ m t + 1 x N z t N ε θ K 2 + K 2 ¯ K 1 + K 1 ¯ z t c ) ( ε γ m t + 1 x N ) ( x t c x t N ) + n γ m t + 1 x N ( z t N ε θ K 2 + K 2 ¯ K 1 + K 1 ¯ z t c ) ( ε γ m t + 1 x N ) ( x t c x t N z t N + z t c ) .
The dynamics yield
x t c + z t c = ( ε θ ) j = 2 t 1 θ t j 1 x j c + θ t 2 ( ε x 1 + θ z 1 ) , x t N + z t N = ( ε θ ) j = 2 t 1 θ t j 1 x j N + θ t 2 ( ε x 1 + θ z 1 ) .
Consequently, (24) can be written as
x t + 1 c x t + 1 N ( ε γ m t + 1 x N ) ( ε θ ) j = 2 t 1 θ t j 1 ( x j c x j N ) 0 .
A similar analysis for the pollution level gives z t + 1 c z t + 1 N . Thus,
x t c x t N , z t c z t N t { 2 , , m } .
As demonstrated by the analysis, cooperation reduces pollution. Moreover, the exploited system state is better as the cooperative harvesting activities are sparing compared to the noncooperative ones.
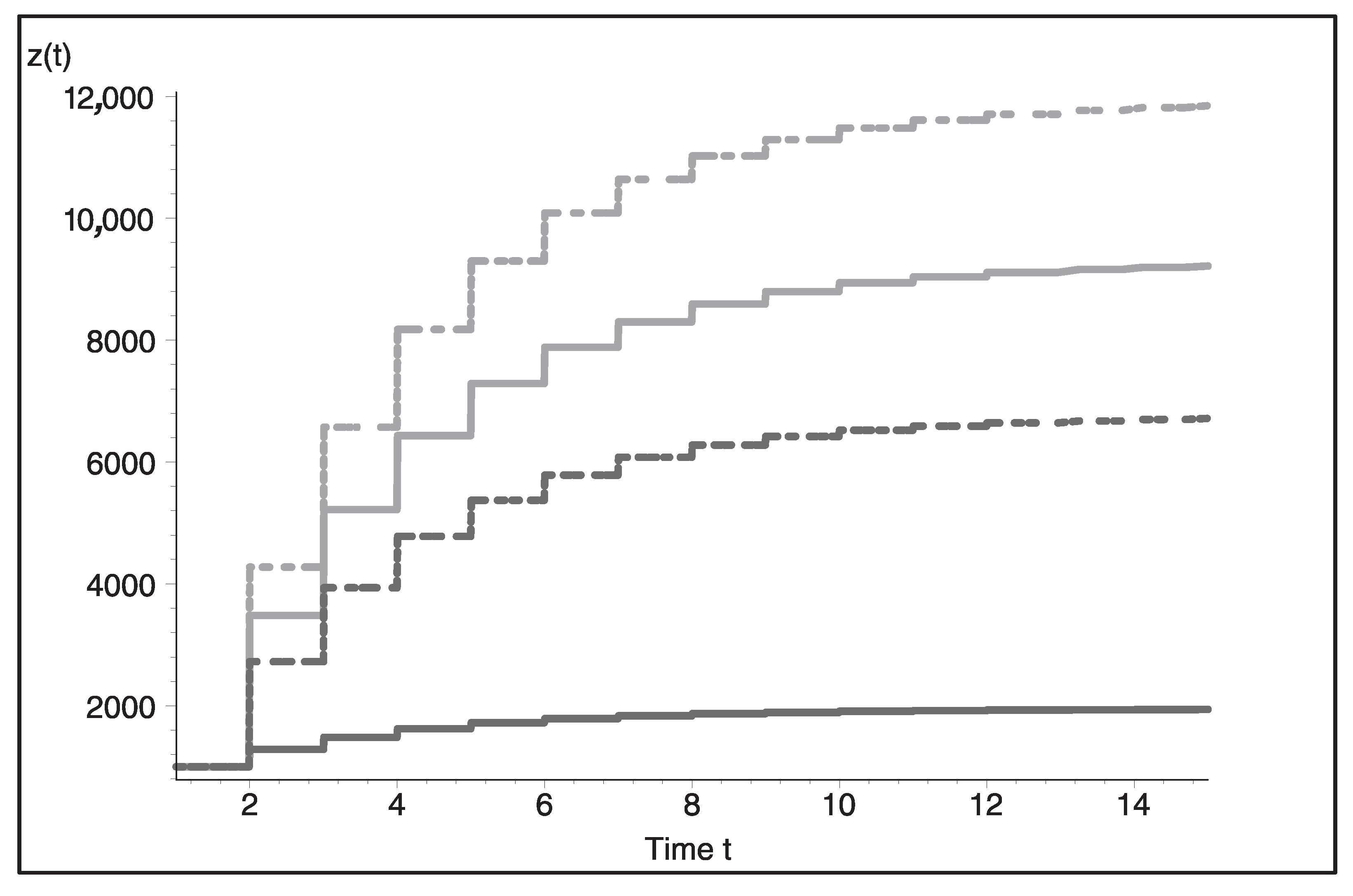
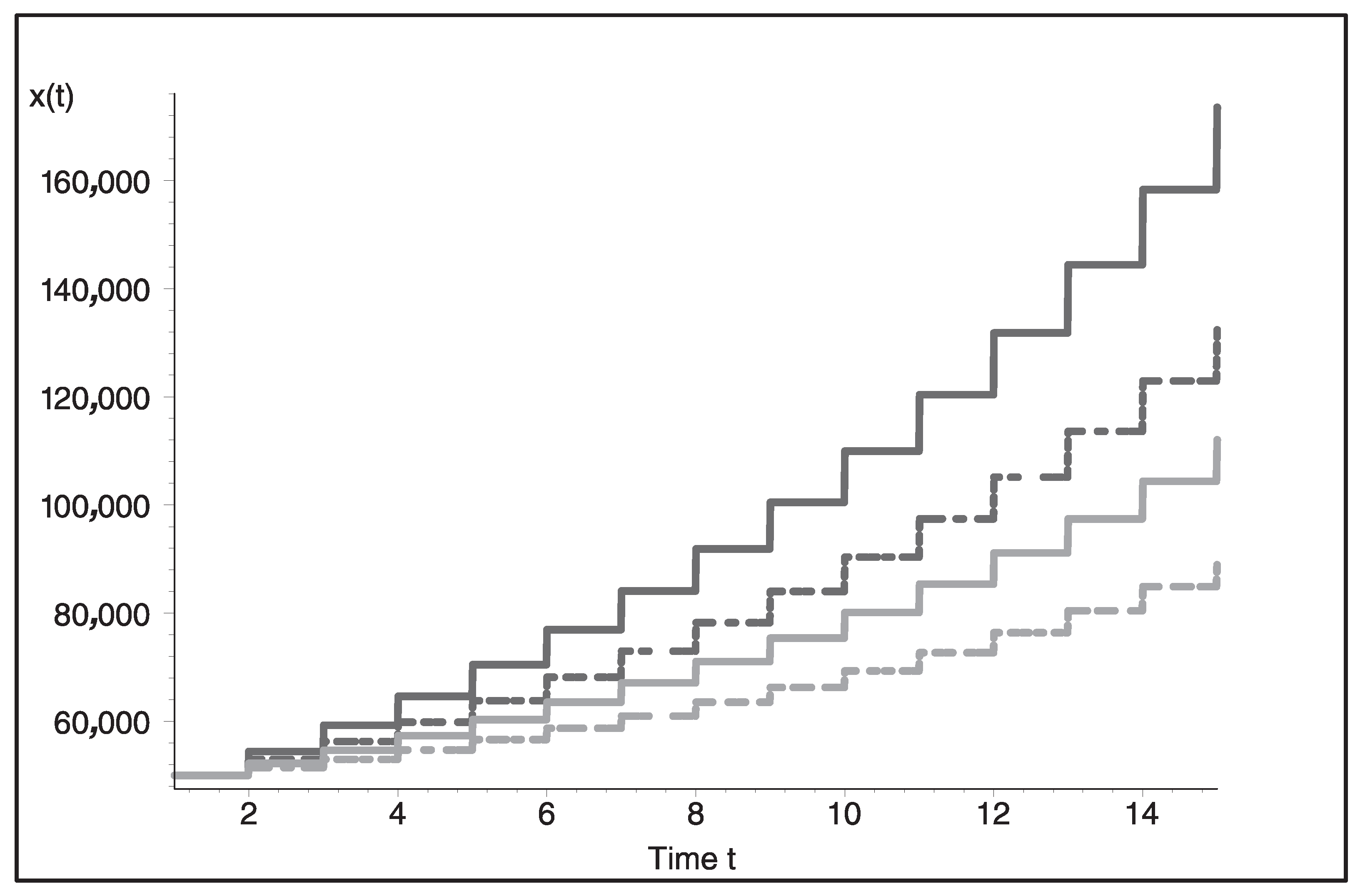
To show the difference between the models with and without environmentally concerned players, numerical simulations for the symmetric case with the following parameters: m = 15 , n = 10 , ε = 1.1 , p 1 = = p 10 = 100 , c = 50 , δ = 0.8 , θ = 0.7 were performed. (The parameter ε was taken as the linear approximation of the natural growth function estimated in [38] for the fish species in the Karelian lake. Note that the price and cost parameters can be set arbitrarily: they do not affect the form of the players’ strategies.) The noncooperative and cooperative optimal behaviors of the players obtained in [33] were used to compare the model with pollution externalities and the model with environmentally unconcerned players. Figure 1 presents the bioresource dynamics, and Figure 2 shows the pollution level for both models and behavior types.
Note that cooperation improves the ecological situation in both statements by limiting bioresource exploitation. The population size increases faster in the model with environmentally concerned players. Cooperation under pollution externalities is preferable for the bioresource stock: the population size increases from x 1 = 50 , 000 to 170,000.
The same observation can be made for the pollution level. As expected, the accumulated pollution level is lower in the model with environmentally concerned players. Unfortunately, the pollution level is increasing in both statements, but much less and more slowly in the cooperative case. Again, cooperation under pollution externalities is the most desirable behavior of the players in terms of pollution: the accumulated pollution level increases from z 1 = 1000 to a minimum of 2000.
The numerical simulations demonstrate that the optimal noncooperative and cooperative behavior of environmentally concerned players differs from that of purely economic players. The main finding is that considering the generated emissions improves the ecological situation both for the resource stock and the accumulated pollution level.

4. Conclusions

Resource exploitation and environmental issues are usually treated separately. Even when game-theoretic models include joint analysis, they consider only the single objectives of the players. The framework proposed in this paper allows examining dynamic resource management and pollution control problems jointly under several noncomparable objectives of the players. A multicriteria dynamic game with pollution externalities is presented to capture the fact that harvesting activities damage the environment. Two interconnected state variables (resource stock and pollution level) are introduced and studied. The pollution level depends on exploitation strategies, and the players separately pursue two economic (egoistic) objectives and one environmental (social) objective. The noncooperative and cooperative equilibria are constructed via the modified bargaining schemes. This methodology to characterize optimal behavior can be applied to similar problems with different objective functions and state dynamics.
A linear dynamic multicriteria bioresource management problem with many players and pollution externalities is considered to clarify the presented approaches and illustrate the difference between the noncooperative and cooperative behavior as well as between the models with and without environmental concern. The players are supposed to be environmentally concerned: in addition to the egoistic objectives, they seek to decrease the accumulated pollution level. Due to the linear simplification, the optimal behavior is characterized by higher interpretability. The multicriteria Nash and rational cooperative equilibria strategies are derived analytically. The analysis suggests the following findings. For the multicriteria model with pollution externalities, cooperation is preferable to competition both in terms of the resource stock and the pollution level. When the players have environmental objectives, the optimal behavior differs from that of purely economic players. Cooperation reduces pollution in both game-theoretic statements, bringing sparing harvesting activities. As naturally expected, the ecological situation (the exploited system state and the accumulated pollution level) improves when the players care about the generated emissions.
The presented multicriteria approach can be applied in biological, economic, and other game-theoretic models with several state variables and vector payoff functions of the agents. For example, the duopoly of firms with financial and environmental objectives [31] or multispecies fisheries with pollution externalities can be analyzed by analogy. The natural extensions for further research are capturing the negative impact of the accumulated pollution level on the resource stock or relaxing the linearity assumptions for the growth functions and environmental objective functions.

Funding

This research was supported by National Natural Science Foundation of China (No. 72171126) and Russian Science Foundation grant No. 22-11-20015.

Conflicts of Interest

The author declares no conflict of interest.

References

  1. Ostrom, E. Governing the Commons: The Evolution of Institutions for Collective Action; Cambridge University Press: Cambridge, UK, 1990. [Google Scholar]
  2. Munro, G.R. The optimal management of transboundary renewable resources. Can. J. Econ. 1979, 12, 355–376. [Google Scholar] [CrossRef]
  3. Clark, C.W. Bioeconomic Modelling and Fisheries Management; Wiley: New York, NY, USA, 1985. [Google Scholar]
  4. Hamalainen, R.P.; Kaitala, V.; Haurie, A. Bargaining on whales: A differential game model with Pareto optimal equilibria. Oper. Res. Lett. 1984, 3, 5–11. [Google Scholar] [CrossRef]
  5. Ehtamo, H.; Hamalainen, R.P. A cooperative incentive equilibrium for a resource management problem. J. Econ. Dyn. Control 1993, 17, 659–678. [Google Scholar] [CrossRef]
  6. Levhari, D.; Mirman, L.J. The great fish war: An example using a dynamic Cournot-Nash solution. Bell J. Econ. 1980, 11, 322–334. [Google Scholar] [CrossRef]
  7. Plourde, C.G.; Yeung, D. Harvesting of a transboundary replenishable fish stock: A noncooperative game solution. Mar. Econ. 1989, 6, 57–70. [Google Scholar] [CrossRef]
  8. Petrosyan, L.A.; Zakharov, V.V. Mathematical Models in Ecology; SPbSU: Saint-Petersburg, Russia, 1997. [Google Scholar]
  9. Lindroos, M.; Kaitala, V.T.; Kronbak, L.G. Coalition games in fishery economics. In Advances in Fishery Economics; Blackwell Publishing: Oxford, UK, 2007; pp. 184–195. [Google Scholar]
  10. Van der Ploeg, F.; de Zeeuw, A.J. International aspects of pollution control. Environ. Res. Econ. 1992, 2, 117–139. [Google Scholar] [CrossRef]
  11. Dockner, E.J.; Long, V.N. International pollution control: Cooperative versus noncooperative strategies. J. Environ. Econ. Manag. 1993, 25, 13–29. [Google Scholar] [CrossRef]
  12. Hoel, M. Intertemporal properties of an international carbon tax. Resour. Energy Econ. 1993, 15, 51–70. [Google Scholar] [CrossRef]
  13. Jørgensen, S.; Martin-Herran, G.; Zaccour, G. Dynamic games in the economics and management of pollution. Environ. Model. Assess. 2010, 15, 433–467. [Google Scholar] [CrossRef]
  14. Long, V.N. Dynamic games in the economics of natural resources: A survey. Dyn. Games Appl. 2011, 1, 115–148. [Google Scholar] [CrossRef]
  15. Lambertini, L.; Palestini, A.; Tampieri, A. CSR in an asymmetric duopoly with environmental externality. South. Econ. J. 2016, 83, 236–252. [Google Scholar] [CrossRef]
  16. Tahvonen, O. On the dynamics of renewable resource harvesting and pollution control. Environ. Res. Econ. 1991, 1, 97–117. [Google Scholar]
  17. Xepapadeas, A. Managing the international commons: Resource use and pollution control. Environ. Res. Econ. 1995, 5, 375–391. [Google Scholar] [CrossRef]
  18. Wirl, F. Sustainable growth, renewable resources and pollution: Thresholds and cycles. J. Econ. Dyn. Control 2004, 28, 1149–1157. [Google Scholar] [CrossRef]
  19. Vardar, B.; Zaccour, G. Exploitation of a Productive Asset in the Presence of Strategic Behavior and Pollution Externalities; Technical report, Les Cahiers du GERAD G-2018-43; GERAD, HEC Montreal: Montréal, QC, Canada, 2018. [Google Scholar]
  20. Dahmouni, I.; Vardar, B.; Zaccour, G. A fair and time-consistent sharing of the joint exploitation payoff of a fishery. Nat. Resour. Model. 2019, 32, 12216. [Google Scholar] [CrossRef]
  21. Feichtinger, G.; Lambertini, L.; Leitmann, G.; Wrzaczek, S. Managing the tragedy of commons and polluting emissions: A unified view. Eur. J. Oper. Res. 2022, 303, 487–499. [Google Scholar] [CrossRef]
  22. Shapley, L.S. Equilibrium points in games with vector payoffs. Nav. Res. Log. Quart. 1959, 6, 57–61. [Google Scholar] [CrossRef]
  23. Bade, S. Nash equilibrium in games with incomplete preferences. Econ. Theory 2005, 26, 309–332. [Google Scholar] [CrossRef]
  24. Mármol, A.M.; Monroy, L.; Caraballo, M.A.; Zapata, A. Equilibria with vector-valued utilities and preference information. The analysis of a mixed duopoly. Theory Decis. 2017, 83, 365–383. [Google Scholar] [CrossRef]
  25. Caraballo, M.A.; Mármol, A.M.; Monroy, L.; Buitrago, E.M. Cournot competition under uncertainty: Conservative and optimistic equilibria. Rev. Econ. Des. 2015, 19, 145–165. [Google Scholar] [CrossRef]
  26. Lejano, R.P.; Ingram, H. Modeling the commons as a game with vector payoffs. J. Theor. Politics 2012, 24, 66–89. [Google Scholar] [CrossRef]
  27. Crettez, B.; Hayek, N. A Dynamic multi-objective duopoly game with environmentally concerned firms. Int. Game Theory Rev. 2021, 24, 2150008. [Google Scholar] [CrossRef]
  28. Voorneveld, M.; Grahn, S.; Dufwenberg, M. Ideal equilibria in noncooperative multicriteria games. Math. Methods Oper. Res. 2000, 52, 65–77. [Google Scholar] [CrossRef]
  29. Pusillo, L.; Tijs, S. E-equilibria for multicriteria games. Ann. ISDG 2013, 12, 217–228. [Google Scholar]
  30. Hayek, N. Infinite-horizon multiobjective optimal control problems for bounded processes. Discret. Contin. Dyn. Syst. Ser. S 2018, 11, 1121–1141. [Google Scholar] [CrossRef]
  31. Crettez, B.; Hayek, N.; Kort, P.M. A Dynamic multi-objective duopoly game with capital accumulation and pollution. Mathematics 2021, 9, 1983. [Google Scholar] [CrossRef]
  32. Rettieva, A.N. Equilibria in dynamic multicriteria games. Int. Game Theory Rev. 2017, 19, 1750002. [Google Scholar] [CrossRef]
  33. Rettieva, A.N. Dynamic multicriteria games with finite horizon. Mathematics 2018, 6, 156. [Google Scholar] [CrossRef]
  34. Rettieva, A.N. Rational behavior in dynamic multicriteria games. Mathematics 2020, 8, 1485. [Google Scholar] [CrossRef]
  35. Rettieva, A.N. Dynamic multicriteria games with asymmetric players. J. Glob. Optim. 2022, 83, 521–537. [Google Scholar] [CrossRef]
  36. Zeleny, M. Compromising Programming, Multiple Criteria Decision Making; University of South Carolina Press: Columbia, SC, USA, 1973. [Google Scholar]
  37. Nash, J. The bargaining problem. Econometrica 1950, 18, 155–162. [Google Scholar] [CrossRef]
  38. Mazalov, V.V.; Rettieva, A.N. Asymmetry in a cooperative bioresource management problem. In Game-Theoretic Models in Mathematical Ecology; Nova Science Publishers: Hauppauge, NY, USA, 2015; pp. 113–152. [Google Scholar]
  39. Sorger, G. Recursive Nash bargaining over a productive asset. J. Econ. Dyn. Control 2006, 30, 2637–2659. [Google Scholar] [CrossRef]
  40. Kuzyutin, D.; Gromova, E.; Pankratova, Y. Sustainable cooperation in multicriteria multistage games. Oper. Res. Lett. 2018, 46, 557–562. [Google Scholar] [CrossRef]
  41. Kuzyutin, D.; Smirnova, N.; Gromova, E. Long-term implementation of the cooperative solution in a multistage multicriteria game. Oper. Res. Perspect. 2019, 6, 100107. [Google Scholar] [CrossRef]
  42. Basar, T.; Olsder, G.J. Dynamic Noncooperative Game Theory; SIAM Classics: Philadelphia, PA, USA, 1999. [Google Scholar]
Figure 1. Population size: dark—cooperation, light—Nash equilibrium, dotted line—the model without pollution externalities.
Figure 1. Population size: dark—cooperation, light—Nash equilibrium, dotted line—the model without pollution externalities.
Mathematics 10 04238 g001
Figure 2. Pollution level: dark—cooperation, light—Nash equilibrium, dotted line—the model without pollution externalities.
Figure 2. Pollution level: dark—cooperation, light—Nash equilibrium, dotted line—the model without pollution externalities.
Mathematics 10 04238 g002
Publisher’s Note: MDPI stays neutral with regard to jurisdictional claims in published maps and institutional affiliations.

Share and Cite

MDPI and ACS Style

Rettieva, A. Dynamic Multicriteria Game with Pollution Externalities. Mathematics 2022, 10, 4238. https://doi.org/10.3390/math10224238

AMA Style

Rettieva A. Dynamic Multicriteria Game with Pollution Externalities. Mathematics. 2022; 10(22):4238. https://doi.org/10.3390/math10224238

Chicago/Turabian Style

Rettieva, Anna. 2022. "Dynamic Multicriteria Game with Pollution Externalities" Mathematics 10, no. 22: 4238. https://doi.org/10.3390/math10224238

APA Style

Rettieva, A. (2022). Dynamic Multicriteria Game with Pollution Externalities. Mathematics, 10(22), 4238. https://doi.org/10.3390/math10224238

Note that from the first issue of 2016, this journal uses article numbers instead of page numbers. See further details here.

Article Metrics

Back to TopTop