Abstract
To alleviate farmer poverty, this paper investigates the effect of a retailer’s different socially responsible practices on a two-echelon supply chain consisting of one rural (poor) farmer, one suburban farmer, and one common retailer. Different from a commercial supply chain (whose members’ objectives are to maximize their profits) and a humanitarian supply chain (whose objective is to save more people, rather than to prioritize profits), the paper aims to study a development supply chain where the CSR-conscious retailer aims to lift the poor farmer out of poverty through cost sharing, altruistic practices, or fairness practices. Can the CSR-conscious retailer (and the development supply chain) do well by doing good? To answer the above question, four models of potential CSR investment are established and analyzed. Considering the different influences of the retailer’s CSR practices, this paper uses a Stackelberg game to analyze the decisions and profits of the farmers and the retailer in these four models. Our study finds that, first, the retailer’s CSR practices can improve the whole supply chain’s performance, which means that the supply chain has the potential to achieve the Pareto improvement for both the farmers and the retailer. Second, the retailer’s CSR practices yield benefits while implementing cost-sharing or fairness practices. Third, the rural farmer always benefits from the retailer’s CSR practices and may prefer the altruistic practice from which they can benefit the most. In addition, to benefit their profit more, the rural farmer should grow high- or low-value-added crops rather than medium-value-added ones. Fourth, from the suburban farmer’s perspective, the retailer’s CSR practices are not beneficial for their performance. However, the extent to which the suburban farmer’s performance decreases is much lower than the extent to which the rural farmer’s performance improves. The results of this paper might be used by stakeholders to alleviate poverty.
Keywords:
socially responsible practices; development supply chain; emerging markets; operational improvements; poverty alleviation; game theory MSC:
91C99; 91A80; 90B50
1. Introduction
In emerging markets, the agricultural sector accounts for a significant portion of economic activities. Most farmers in developing economies such as India or China remain poor, partly because most farmers have limited access to advanced farming practices, low-cost logistics systems, efficient sale channels, and reliable market information, in addition to other obstacles such as access to traffic, credit, loans, land, electricity, and water [1]. It is an obstacle for farmers in developing areas to make a living since they have a cost disadvantage over farmers in developed markets [2,3]. In contrast, many large, modern firms are expanding rapidly in developed regions. For example, with the reform and opening up in China, many firms have grown, e.g., the Yonghui retail superstore. Facing these challenges, many companies try to help poor farmers out of poverty [1]. The question of how to help people in impoverished areas to escape poverty through the efforts of firms from developed areas is a vital topic in economic imbalance, poverty alleviation, or corporate social responsibility (CSR) research.
Many companies take poverty alleviation as social responsibility in developing countries. However, since industrial poverty alleviation requires overcoming the harsh business environment, companies have to invest considerable money. This will bring tremendous financial pressure to CSR-conscious companies, which means that implementing corporate social responsibility does not necessarily increase profits in the short term. They believe that conducting CSR is strategic philanthropy. They hope that, in the long run, it may be helpful to increase their product quality, reputation, or marketing effectiveness, and even increase profits [4]. For example, the Yonghui superstore invested 50 million RMB in building value-added food industrial parks and organizing product deep-processing workshops in Min county of China to support local people to establish their businesses, which helped at least 5000 households to escape poverty in 2019. As a leading domestic retail company, Yonghui actively fought against poverty with its abundant supply chain resources and perfect sales channels through altruism, charity, and fairness. Yonghui also created the “charity supermarket” model, aiming to target poverty alleviation by various means of profit surrender [5]. Purchasing and using more products and services from poor areas is an effective strategy to help poor people to increase their incomes and eliminate poverty. The Chinese government advocates for supporting some role-model firms, which take the lead in poverty alleviation through purchasing and reselling products from poor areas under the same conditions as those in developed regions [6]. With the government’s pro-poor initiative as an endorsement and the proper profit surrender from CSR-conscious firms, farmers can provide quality products and sell them at reasonable prices rather than accept the market price passively. For example, by the end of August 2020, Hubei province had included 15,235 consumer poverty-relief products, with a total sale volume of 21.25 billion yuan, effectively offsetting the impact of the price drop on the income of poor households due to the epidemic. In addition to low-value-added (i.e., low-profit-margin) products such as vegetables and shiitake mushrooms, farmers can plant more high-value-added products such as tea and crayfish [7].
A commercial supply chain consists of individual players whose objective is to maximize their profits. Whereas a humanitarian supply chain does not maximize its profit, it always aims to minimize the loss of life and alleviate suffering after a disaster. It does not matter if it ends up with a higher cost. Unlike a humanitarian or commercial supply chain, a development supply chain aims for the economic development of the poor [8]. Specifically, a development supply chain refers to the integration of farmers from poor areas into the supply chain system as suppliers or distributors [9], in which the core firms implement corresponding strategies according to the characteristics of poor farmers, such as providing technologies, information, and funds, to improve the performance of poor farmers and/or the supply chain. CSR-conscious core firms help poor farmers through cost sharing, altruistic preference, or fairness concerns during this process. These firms might sacrifice their profits to lift poor farmers out of poverty, and, by doing so, the whole supply chain’s performance might improve. Such supply chain poverty alleviation practice is of great help in developing poor areas around the world [10]. All transactions in the development supply chain are commercial. Unlike commercial supply chains, they require core firms to implement CSR practices to support farmers struggling to make a living. Such supply chains can play an essential role in developing areas to bridge the period in which humanitarian assistance has ended and the economy has grown enough to allow commercial supply chains to function. Moreover, eventually, farmers from rural areas can make a living under the competition of suburban farmers, which is a key feature of the development supply chain.
Typically, rural farmers incur higher costs than suburban farmers in planting the same types of crops due to the previously mentioned technical and infrastructure disadvantages and obstacles. A CSR-conscious retailer can help the rural farmer to survive via different practices, e.g., cost sharing, profit surrendering, or selling more rural products. Doing so might cause competition between rural farmers and suburban farmers. Our research purports to study the impact of the retailer’s different CSR practices on the development supply chain in the presence of competition. Specifically, given a 2-to-1 development supply chain with one rural farmer (poor farmer), one suburban farmer (modern farmer), and one common retailer, our model is intended to examine the following research questions: (1) What are the effects of the retailer’s CSR practices on the development (i.e., anti-poverty) supply chain? (2) How can the poor farmer benefit from the retailer’s CSR practices? (3) Are the retailer’s CSR practices financially sustainable (i.e., can the retailer and the development supply chain do well by doing good)? (4) What are the determining factors that affect the performance of the anti-poverty actions and their sustainability?
To examine the research questions, we use a game-theoretic framework to capture the underlying strategic interactions among three parties: a poor farmer, a suburban farmer, and a retailer. Our core contribution is to study a development supply chain where the retailer may sacrifice their profit to lift the poor farmer out of poverty through cost sharing, altruistic preference, or fairness concerns. Our analysis shows that, with the retailer’s CSR practices, the performance of poor farmers and even the supply chain has been improved significantly, providing theoretical support for the development supply chain and poverty alleviation in impoverished areas. Specifically, our key findings are as follows. (1) The retailer’s CSR practices improve the whole supply chain’s performance, which means that the supply chain has the potential to achieve the Pareto improvement for both farmers and the retailer. (2) The retailer’s CSR practices also yield benefits while implementing cost-sharing or fairness practices. (3) The rural farmer always benefits from the retailer’s CSR practices. The effect of altruistic preference practice and fairness concern practice on the rural farmer’s profit is better than the cost-sharing practice. In addition, to benefit their profit more, the rural farmer should grow high- or low-value-added crops rather than medium-value-added ones. (4) From the suburban farmer’s perspective, the retailer’s CSR practices are not good for their performance. However, the extent to which the suburban farmer’s performance decreases is much less than the rural farmer’s performance gains.
The rest of this study is organized as follows. In Section 2, we review the relevant literature. Section 3 describes the model formulations. In Section 4 and Section 5, we carry out the equilibrium analysis and compare four models to articulate the management implications. Section 6 presents numerical results and insights. Finally, Section 7 concludes the paper.
2. Literature Review
This paper is related to two streams in the literature. The first studies the development supply chain and the second research stream focuses on CSR practices in the supply chain.
2.1. Development Supply Chain
Agricultural production is easily affected by the weather. Thus, the output is random, and the demand volatility is high. Coupled with the perishability factor, farmers in an unstable environment are faced with tremendous pressure and many risks [11]. For areas with better infrastructure, contract farming is an essential aspect of agricultural institutions that aid in the transition to modern agriculture [12]. However, farmers in poverty areas usually face higher production costs and lower profit margins because they are isolated from main production areas and markets and lack the infrastructure, knowledge, technology, and information [13]. Although there are cases in which individual enterprises have led the implementation of initiatives for poverty alleviation, this type of initiative typically requires resources that an average enterprise would not possess [14]. Thus, an enterprise without a sense of CSR will tend not to participate in poverty alleviation.
In the development supply chain literature, it can be seen that CSR practices have attracted considerable attention. To alleviate farmer poverty, enterprises, governments, and nongovernmental organizations are developing different mechanisms for aiding farmers in developing countries. Specifically, Zhou et al. [15] examine whether the broader dissemination of information will always benefit farmers. Providing information to only one farmer is optimal, but providing information to all farmers can be detrimental. Chen et al. [16] investigate a new business model in which I.T.C. Limited developed the “e-Choupals” for the rural areas of India, and they find that the implicit agreement behaves as a formal contract, regardless of the price elasticity of the local market. Upon reaching an agreement with I.T.C., the farmers always give priority to delivering directly to I.T.C. Since most consumers in rural areas of developing countries cannot afford to purchase certain livelihood improvement products such as home appliances, Yu et al. [17] develop a parsimonious model to determine the optimal subsidy program in different settings to gain a better understanding about the conditions under which it is optimal for the government to subsidize consumers only, manufacturers only, or both, and they find that the structure of the optimal subsidy program depends on (a) whether there is a well-established market selling price for the products; and (b) the relative emphasis that the government places on consumer welfare versus manufacturer profit.
Although these studies examine the issues of economic value creation for farmers in different ways, they all lack the investigation of the CSR practices of supply chain enterprises. They do not study the issue of whether CSR contributes to improving the economic performance of the supply chain.
2.2. CSR Practices in Supply Chains
There is limited modeling literature on socially responsible operations because this topic is an emerging research area in operations management [18,19]. Accordingly, most of the relevant articles are recent. They are divided into three categories: cost-sharing practice, altruistic preference practice, and fairness concern practice.
Cost-sharing practice. Zhou et al. [20] investigate a two-echelon supply chain where the retailer provides customers with some pre-sales services, which positively impacts the market demand. Moreover, the manufacturer’s online channel benefits from the retailer’s pre-sales services by sharing the retailer’s sales effort cost. The findings show that a service-cost-sharing contract can effectively stimulate the retailer to improve their service level, the manufacturer would share a larger proportion of the service cost, and the retailer would set a higher service level in the differential pricing scenario than in the non-differential pricing scenario if the degree of free-riding is not very high. Xie et al. [21] investigate a dual-channel closed-loop supply chain combining the revenue-sharing contract in the forward channel with the channel investment cost-sharing contract and introduce the Stackelberg game to explore the contract coordination mechanism. The results show that the proposed contract can increase the profits of supply chain members. Li et al. [22] investigate the impact of revenue-sharing and cost-sharing contracts offered by a retailer on emission reduction efforts and firms’ profitability. The findings suggest that supply chain coordination and the range of sharing rates depend critically on parameters. Hosseini-Motlagh et al. [23] propose a cost-sharing contract to explore the coordination issue in a manufacturer–retailer supply chain where the manufacturer is socially responsible and invests in CSR activities.
Altruistic preference practice. Wang et al. [24] investigate the influence of a government subsidy and a remanufacturer’s altruistic preference on the decision making in a low-carbon e-commerce closed-loop supply chain, and find that the altruistic preference behavior increases the revenue of the e-commerce platform and improves the efficiency of the supply chain, but is not advantageous to the remanufacturer. In addition, the effects of altruistic behavior on promoting the recycling of waste products are inferior to the impact of government subsidies of the same strength. Wan et al. [25] construct a dual-channel supply chain network equilibrium model comprising hotels, online travel agent platforms, and demand markets to study the influence of the decision-maker’s altruistic preference and the consumers’ low-carbon preference on decision-making behavior in all layers of a dual-channel environmental hotel supply chain, and they find that the altruistic preferences have different impacts on the supply chain under the merchant mode and the agency mode. Xu and Wang [26] propose a competitive–cooperative strategy based on altruistic behavior for the dual-channel supply chain by applying the theory of the co-competition game, and prove the existence of the equilibrium strategy and the stability of the proposed model through mathematical deduction. In the same context, Wang et al. [27,28] study the decision making, coordination contracts, and altruistic preferences of an e-commerce supply chain composed of a manufacturer and a third-party e-commerce platform, and find that altruistic preferences help to improve sales prices and sales service levels.
Fairness concerns practice. Guan et al. [29] examine channel coordination under fairness concerns in a supply chain. They determine the optimal strategies by differential game models. A dominant channel member’s sensitivity to fairness is more significant in the decision-making process and channel efficiency. Caliskan-Demirag et al. [30] extend the model developed by Cui et al. [31] to a nonlinear demand setting. They find that compared to the linear demand, the conditions to coordinate the decentralized channel are relaxed, in which only the retailer has fairness concerns. Yang et al. [32] investigate the effect of the retailer’s fairness concerns on a distribution channel composed of a manufacturer and a retailer. They find that there exists a Pareto improvement for the supply chain member’s profit when the retailer has changed from having no fairness concerns to being fair-minded. Zheng et al. [33] propose three coordination mechanisms to allocate surplus profit and examine how the retailer’s fairness concerns practice affects profit allocation in a three-echelon closed-loop supply chain (CLSC). Zhou et al. [34] consider a low-carbon supply chain channel with a manufacturer and a retailer and show how the optimal decision and coordination change when a retailer has fairness concerns. Shen et al. [35] construct decentralized decision models with and without fairness concerns to study the impact of network externalities and fairness concerns on platform supply chain advertising strategies.
There is literature that considers CSR in other contexts. Arslan and Turkay [36] investigate the EOQ model with sustainability considerations that include environmental and social responsibility criteria and conventional economic considerations. Modak et al. [37] develop a socially responsible closed-loop supply chain (CLSC) model that considers donation as a CSR activity and recycling of the used products for environmental sustainability to investigate the optimal channel structures. Considering the main reasons behind the lack of social responsibility of multinational corporations, Liu et al. [38] develop a model with punishment to analyze whether the penalty rate will impact corporate social responsibility’s input and how it will affect the self-interest of supply chain members.
However, the papers above do not address the comparison of different CSR practices in a development supply chain with two representative farmers and a retailer. In other words, they do not give reasonable explanations of how different CSR practices influence the supply chain equilibrium in different ways. In sum, the literature positioning of this article is shown in Table 1 by incorporating the supply chain, poor farmer, CSR practices (cost-sharing practice; altruistic practice; fairness concerns practice), competition, and game theory. Most existing studies have not considered poor farmers in developing areas. In addition, although some study the poor farmer in the supply chain (e.g., Sodhi and Tang [9,39]), they adopt the conceptual approach and do not consider the competition context, which is one of the main factors that influences pricing decisions in the supply chain. On the other hand, the researchers including CSR practices in a supply chain usually focus on a noncompetitive context and ignore the poor farmer’s characteristics and their impact on the decisions with game theory, which is an essential phenomenon in a development supply chain. Thus, we will fill the research gap by introducing the poor farmer’s characteristics, the competition, and the CSR practices in the context of the supply chain structure.
Table 1.
Positioning of this article.
This study extends the literature related to the development supply chain and CSR practices and contributes to the literature in the following ways. First, we assume a positive relationship between CSR practices and consumers’ purchasing intention and propose the corresponding analytical models to study the optimal decisions of farmers and retailers. Second, we deploy three retailers’ CSR practices, i.e., cost-sharing practice, altruistic preference practice, and fairness concern practice, and investigate whether these CSR practices have the same or different implications for the development supply chain.
3. Model Assumptions
We analyze a two-level supply chain that has two representative farmers (“she”) who produce and sell similar agricultural products to a common retailer (“he”), as depicted in Figure 1. The farmer (farmer 1) from a poor rural area can label their crops as anti-poverty products, which are certified by the government (e.g., in China) so that customers know they are purchasing an anti-poverty product at the point of purchase. The crops produced by the farmer (farmer 2) from a suburban area are considered a general product. The farmers offer a reasonable wholesale price for their agricultural products before the sale season. The retailer signs a purchase contract that specifies the agreed price and volume with the farmers to meet the demand of the retail market. We assume that the farmers engage in the Bertrand competition, which is similar to those used in prior literature [16,18,41]. Farmer 1 incurs a unit production cost , and farmer 2 incurs a unit production cost . Without loss of generality, let and the unit production cost to the retailer is 0. In this development supply chain, the retailer implements social responsibility practices through cost sharing, altruistic preference, and fairness concerns to support the farmers from rural areas. Consumers have become more sensitive to CSR practices over the past few decades, which strongly influences corporate strategies and decisions [40]. Existing literature suggests that CSR practices have often positively influenced consumers’ purchase intentions and company profitability [42,43]. According to a survey conducted by Yuen et al. [44], CSR practices positively affect consumer satisfaction and consumers are willing to pay extra premiums for CSR. For example, Chongqing municipality created a public poverty-alleviation brand, which can be used for all identified anti-poverty products and enhance added value through the brand effect. In 2020, the sales of anti-poverty products in Chongqing amounted to 2 billion yuan, increasing by 7.1 percent over 2019.
Figure 1.
Two-echelon two-to-one development supply chain structure.
We assume that consumers are willing to pay extra money for each anti-poverty-labeled product 1 (, , ), where (, , ) represents the degree of retailer’s different types of CSR practices on farmer 1, as depicted in Table 2. represents the extent to which consumers perceive the retailer’s CSR practices. means that even if the retailer implements CSR practices, the practices are not perceived by consumers, which is equivalent to the effect when there is no anti-poverty label. means that consumers can perceive the retailer’s CSR practices, and the larger , the more pronounced the degree of perception. We consider a one-period model. The two farmers set the wholesale price and first, and the retailer sets the order quantities and after observing the wholesale prices. The market prices and without the retailer’s CSR practices follow a downward-sloping inverse demand function:
Table 2.
Explanation of CSR practices.
This type of inverse demand function is widely used in alternative products [45,46]. and correspond to the market potential. Since these two products come from different regions and brands (anti-poverty products, general products), and are different and relatively independent. For example, Yangshan, a poor county in China, is known for chicken farming, and the selling price in the Guangzhou wholesale market is very competitive (). On the other hand, the two products from the farmers are popular commodities whose quantities sensitivity and cross-quantities sensitivity are very close. For the convenience of processing, we assume that the quantities sensitivity and cross-quantities sensitivity are the same in these two inverse demand functions. b represents quantities sensitivity, and cross-quantities sensitivity reflects the degree to which the products of the two farmers are substitutes (). All parameters are positive. Table 3 lists the definitions of the symbols used in the paper.
Table 3.
Summary of notations.
Four models are established and analyzed based on three CSR practices. For expositional simplicity, the basic model without any CSR practice, the model with the CSR practice being the retailer sharing the cost proactively, the model with the CSR practice being the retailer’s altruistic preference, and the model with the CSR practice being the retailer’s fairness concerns strategy are denoted as Model N, Model S, Model A, and Model F, respectively.
4. Model Analysis
4.1. Model N: The Base Model
In Model N, the supply chain members are rational economic individuals who make decisions to maximize their profits. This model is a benchmark to analyze the effect of retailers’ CSR practices.
Farmer 1’s profit is determined by
Farmer 2’s profit is determined by
The retailer’s profit is determined by
The following proposition details the equilibrium results for the two-stage game, which can be solved analytically using the backward induction method, and we obtain Lemma 1.
Lemma 1.
In model N, the farmers’ equilibrium wholesale prices are
All the proofs are given in Appendix A.
We next examine the effects of the model parameters on the farmers’ wholesale prices, the retailer’s order quantities, the market prices, and the supply chain member’s profits in sequence. Specifically, we study the effects of the cost difference .
Proposition 1.
(i), , , , increase with, decreases with; (ii)decreases withμ, andincreases with; (iii)increases withifis positive; otherwise, it decreases with, where.
Proposition 1 indicates that, on the one hand, the higher the cost difference , the higher the wholesale price will be established to maintain farmer 1’s optimal profit. It will force the retailer to increase the market price , which leads to the lower demand for product 1, and then affects the profit of product 1; that is, farmer 1 obtains a lower profit. On the other hand, farmer 2 has a competitive advantage over farmer 1 for the increasing cost difference, which always benefits farmer 2. Since the demand of product 1 can be transferred to product 2 through competition, thus, not only the wholesale price and the market price will be set higher, but also the demand for product 2 increases, which will increase farmer 2’s profit. As the retailer’s profit is affected by product 1 and product 2, only if the maximum unit profit of product 1 () is greater than that of product 2 () will the retailer’s profit decrease with the increasing cost difference .
4.2. Model S: Model with a Cost-Sharing Retailer
Next, we explore a scenario in which the retailer implements social responsibility through cost sharing with farmers from rural areas. Since the consumers are willing to pay more for an anti-poverty product labeled with the retailer’s cost-sharing practices, the demand functions of product 1 become [42,43], and the demand functions of product 2 remain the same as 2. Thus, farmer 1’s profit is determined by
Farmer 2’s profit is determined by
The retailer’s profit is determined by
Lemma 2.
In Model S, (i) the farmers’ equilibrium wholesale prices are
The retailer’s equilibrium order quantities are
(ii) The retailer’s equilibrium profit is , and farmer 1’s equilibrium profit and farmer 2’s equilibrium profit are as follows:
We next examine the effects of the model parameters on the farmers’ wholesale prices, the retailer’s order quantities, the market prices, and the supply chain member’s profits in sequence. Specifically, we study the effects of the cost difference and the degree of the retailer’s cost sharing .
Proposition 2.
(i)increases withif, and decreases withif; (ii), , , increase with, anddecreases with; (iii), decrease withandincrease with; (iv) when, decreases with; when, increases with, where.
Proposition 2 indicates that when the degree of the retailer’s CSR practice is low (), the retailer shares a small proportion of the cost difference, and farmer 1 still bears most of the cost difference. The higher the cost difference , the higher the wholesale price will be established to maintain farmer 1’s optimal profit. It will force the retailer to increase the market price (), which leads to the lower demand for product 1 (), and then affects the profit of product 1; that is, farmer 1 obtains a lower profit. When the degree of the retailer’s CSR practice is high (), most of the cost difference will be transferred to the retailer. Farmer 1 will set a lower wholesale price despite facing a higher cost difference . However, it will induce the retailer to set a higher market price for product 1, leading to a lower demand for product 1. Thus, farmer 1 still obtains a lower profit; the cost difference always hurts farmer 1. As we know from Proposition 1, farmer 2 has a competitive advantage over farmer 1 for the increasing cost difference, which always benefits farmer 2. Since the demand of product 1 can be transferred to product 2 through competition, thus, not only the wholesale price and the market price will be set higher, but also the demand for product 2 increases, which will increase farmer 2’s profit. As for the retailer, even though his profit is affected by product 1 and product 2, he takes on a certain proportion of the cost difference as implementing social responsibility. Thus, his profit will decrease with increasing cost differences.
However, the impact of cost difference on supply chain profit falls into two cases, which are affected by the relationship between the elasticity of the sale price and the potential markets of product 1 and product 2 (). When the cost difference is small (), the supply chain profit will decrease with . The reason is that a smaller cost difference () means that the consumers are willing to pay more for the retailer’s CSR practice (a larger κ) and prefer product 1 over product 2 (). There may be little room for the retailer’s CSR practice to be effective; that is, the increase in farmer 1’s profit is less than the retailer’s giveaway. As for case two, when the cost difference is slightly higher than the threshold (), the supply chain profit may benefit from . The probable reason is that a high cost difference may undermine the advantage of product 1 over product 2, which means that the retailer’s CSR practice is effective, allowing farmer 1 to obtain more profit than what the retailer provides. Therefore, in poverty alleviation, on the one hand, firms and governments should improve the business infrastructure to minimize cost differences for those anti-poverty products that will help the supply chain to obtain a better profit (case one). On the other hand, for those anti-poverty products with a relatively high cost difference, firms should seek methods to improve the effectiveness of CSR practices, which may help to improve the supply chain profit, e.g., taking measures of publicity to strengthen consumers’ recognition of CSR. Otherwise, it may need support from the government.
Proposition 3.
(i)increases withif; otherwise, it decreases; (ii), increase with, and, , decrease with; (iii), increase with, anddecreases with; (iv) when, decreases with, and when, increases with, where.
Proposition 3 indicates that, relative to the cost difference, when the elasticity of the sale price concerning the degree of cost sharing is large (), consumers are more willing to pay extra money for product 1 after observing the retailer’s CSR practice. With a higher degree of cost sharing , not only the wholesale price and the market price will be set higher, but also the demand of product 1 increases, which will increase farmer 1’s profit. Furthermore, relative to the cost difference, when the elasticity of the sale price concerning the degree of cost sharing is small (), farmer 1 will set a lower wholesale price even though the retailer implements a higher degree of cost sharing . However, because of the consumer purchasing intention, the retailer still can set a higher market price and obtain a higher demand for product 1 at the same time, which means that farmer 1 obtains a higher profit. Thus, the retailer’s cost-sharing practices always benefit farmer 1.
Farmer 2 has a competitive disadvantage over farmer 1 for the increasing degree of the retailer’s cost sharing, which always hurts farmer 2. Since the demand of product 2 can be transferred to product 1 through competition, thus, not only the wholesale price and the market price will be set lower, but also the demand of product 2 will decrease, which will decrease farmer 2’s profit.
Since the retailer’s profit is affected by product 1 and product 2, the retailer’s profit will increase with an increasing degree of cost sharing , which means that the retailer’s cost-sharing practice benefits not only farmer 1 but also himself. It proves that the consumer market recognizes the retailer’s CSR practice to some extent. Thus, higher cost sharing may help the retailer to obtain better profits.
As for the supply chain, the effect of the cost sharing on its profit depends on the relationship between the elasticity of the sale price , the potential markets of product 1 , and the cost difference . For example, a higher degree of cost sharing may induce a higher supply chain profit because consumers are willing to pay more for the retailer’s CSR practice (a larger ) and prefer product 1 with a low cost difference than product 2 (). Thus, the management implication is similar to Proposition 2. In poverty alleviation, on the one hand, firms and governments should build brands for poverty-alleviation products and pay attention to quality, packaging, advertising, etc., to improve their market potential. On the other hand, firms can organize various activities to promote CSR, which may help to strengthen consumers’ recognition of their CSR behaviors.
Let to capture the added value of the anti-poverty product. is the supply chain profit in Model S. Substituting into , we obtain Proposition 4.
Proposition 4.
(i) When, decreases first and then increases with; when, it increases with; (ii) when, decreases first and then increases with; when, increases with, where, .
Proposition 4 shows the interaction effect of the added value and the degree of cost sharing on the supply chain profit. To obtain a higher supply chain profit, on the one hand, from the retailer’s perspective, if farmer 1 has produced high-value-added products, e.g., medicinal materials, then the retailer should implement a higher degree of CSR practice—that is, to share a greater proportion of the cost difference. If farmer 1 has produced low-value-added products, e.g., rice or soybeans, the retailer should implement a slightly lower CSR practice to avoid reducing the supply chain profit. When farmer 1 has planted low-value-added products, a higher retailer’s CSR practice may make competition between farmers fiercer, which will not help to increase the supply chain profit.
On the other hand, from farmer 1’s perspective, if the retailer has a high degree of CSR practice, farmer 1 should plant products with high added value. If the retailer performs a low degree of CSR practice, farmer 1 should grow low-value-added products. Farmer 1 should not grow medium-value-added products, which do not help to increase the supply chain profit. The possible reason may be that the threshold for farmer 1 to plant high-value-added products is relatively high. The added value can compensate for the threshold cost, causing the supply chain to profit at a higher level. For example, it requires farmer 1 to have increased operational capacity and investment to produce rare medicinal materials, but the added value of these products is much higher than the cost. However, the value of medium-value-added products cannot cover the threshold cost for farmer 1. For instance, farmers from poor areas in China invest in such medium-value-added products as fruits, e.g., mandarin oranges. Even if such a product does not require a significant investment, it cannot help them to obtain a better profit since it cannot be sold at a higher price.
4.3. Model A: Model with an Altruistic Preference Retailer
Altruistic preference behavior is another type of retailer’s CSR practice in which the retailer takes farmers’ profit into account when making decisions. Let the degree of the retailer’s altruistic preference for farmer 1 be (), which means that the retailer favors farmer 1. The consumers are willing to pay more for an anti-poverty product labeled with the retailer’s altruistic preference practice. Thus, the demand function of product 1 becomes [42,43], and the demand function of product 2 remains the same as .
Farmer 1’s profit is determined by
Farmer 2’s profit is determined by
The retailer’s utility is determined by
Lemma 3.
In Model A, (i) the farmers’ equilibrium wholesale prices are
The retailer’s equilibrium order quantities are
(ii) The retailer’s equilibrium profit is
, and farmers 1’s equilibrium profit and farmer 2’s equilibrium profit are as follows:
We next examine the effects of the model parameters on the farmers’ wholesale prices, the retailer’s order quantities, the market prices, and the supply chain member’s profits in sequence. Specifically, we study the effects of the cost difference and the degree of the retailer’s altruistic preference for farmer 1.
Proposition 5.
(i)increases withif, and decreases withif, where; (ii), , , increase with; anddecreases with; (iii)decreases with, andincreases with; (iv) If (), then when , decreases (increases) with ; and when , increases (decreases) with , where , ; (v) when , decreases with ; and when , increases with , where .
Proposition 5 indicates that when the degree of the retailer’s CSR practice is low ()—that is, the retailer takes a small proportion of farmers’ profit into account when making decisions—the higher the cost difference , the higher the wholesale price will be established to maintain farmer 1’s optimal profit. It will force the retailer to increase the market price (), which leads to the lower demand of product 1, and then affects the profit of product 1; that is, farmer 1 obtains a lower profit. When the degree of the retailer’s CSR practice is high (), it means that the retailer is willing to transfer a higher part of the profit to farmer 1 when making a decision. Farmer 1 will set a lower wholesale price despite facing a higher cost difference. However, this will induce the retailer to set a higher market price for product 1, which leads to a lower demand of product 1. Thus, farmer 1 still obtains a lower profit; that is, the cost difference always hurts farmer 1. As we know from Propositions 1 and 2, farmer 2 has a competitive advantage over farmer 1 for the increasing cost difference, which always benefits farmer 2. Since the demand of product 1 can be transferred to product 2 through competition, thus, not only the wholesale price and the market price will be set higher, but also the demand of product 2 increases, which will increase farmer 2’s profit.
As we know, the retailer’s profit is affected by product 1 and product 2. There are two ways for the retailer to increase his profit when facing the increasing cost difference. The first one is that when the cost difference is low (), the retailer can implement a high degree of CSR practice (). The reason is that a high degree of CSR practice helps to mitigate the double marginal effect between farmer 1 and the retailer, which results in a better profit. The second one is that when the cost difference is high (), the retailer can implement a low degree of CSR practice (). It means that farmer 1 bears most of the increasing cost difference, which may cause the retailer to take part of the profit from farmer 1.
From the perspective of the supply chain, the impact of the cost difference on the supply chain profit is affected by the relationship between the elasticity of the sale price and the potential markets of product 1 () and product 2 (), which is similar to Proposition 2(iv). For example, when the cost difference is slightly higher than the threshold (), the supply chain profit may benefit from . The reason may be that with a slightly higher cost difference, the marginal revenue of the retailer’s CSR practice for farmer 1 is higher than the marginal cost of CSR for the retailer, which means that the retailer’s CSR practice is effective.
Proposition 6.
(i)increases (decreases) withif; (ii) , increase with; and, , decrease with; (iii)decreases with; (iv) when, decreases with; whenor, increases with; (v) when, decreases with; when, increases with, where.
Proposition 6 indicates that if the maximum unit profit of product 1 is relatively greater than that of product 2 , farmer 1 will set a higher wholesale price even though the retailer implements a higher degree of altruistic preference. On the other hand, if the maximum unit profit of product 1 is relatively smaller than that of product 2 , the higher degree of the retailer’s altruistic preference for farmer 1 leads to a lower wholesale price . However, because of consumers’ purchasing intentions, the retailer can still set a higher market price and obtain a higher demand of product 1. Thus, farmer 1 may obtain a higher profit when the retailer performs a higher level of altruistic preference. Since the retailer’s altruistic preference practice is motivated by helping farmer 1, farmer 2 has a competitive disadvantage over farmer 1, which is always not beneficial for farmer 2. The higher the degree of altruistic preference, the more demand of product 2 can be transferred to product 1 through competition. Thus, not only the wholesale price and the market price will be set lower, but also the demand of product 2 will decrease, which will decrease farmer 2’s profit. The effect of the retailer’s altruistic preference practice on the supply chain profit depends on the relationship between the elasticity of the sale price , the potential markets of product 1, and the cost difference , which is similar to Proposition 3(iv). For example, a higher degree of altruistic preference may induce a higher supply chain profit because the consumers are willing to pay more for the retailer’s altruistic preference practice (a larger ) and prefer product 1 with a low cost difference than product 2 (). Thus, in addition to the measures proposed in Proposition 3, firms and governments can work together to improve the business infrastructure to reduce cost differentials, which may help in poverty alleviation.
Let to capture the added value of a poverty-alleviation-labeled product. is the supply chain profit. Substituting into , we have Proposition 7.
Proposition 7.
(i) When, decreases first and then increases with; when, increases with; (ii) when, decreases first and then increases with; when,increases with, where; .
Proposition 7 shows the interaction effect of the added value and the degree of the retailer’s altruistic preference on the supply chain profit. From the perspective of farmer 1, she should produce crops with high added value after observing the retailer implementing a high level of altruistic preference. Otherwise, farmer 1 should produce crops with low added value. From the perspective of the retailer, if farmer 1 has produced high-value-added crops, the retailer should perform a high degree of altruistic preference. If farmer 1 has produced low-value-added products, the retailer should implement a slightly lower degree of CSR practice to avoid reducing the supply chain profit. Thus, only the retailer and farmer 1 cooperate well, which can maximize the supply chain profit.
4.4. Model F: Model with a Fair-Minded Retailer
Fairness concerns practice is a type of retailer’s indirect CSR practice for farmer 1, and will affect the distribution of supply chain profits in the supply chain [47]. The fair-minded retailer takes the order quantities of product 1 and product 2 into account when making decisions. We model fairness concerns practice as quantities inequity aversion such that the fair-minded retailer is willing to “give up some monetary payoff to move in the direction of more equitable outcomes” [31,48]. Let the degree of the retailer’s fairness concerns be . Since farmer 2 has an advantage over farmer 1 because of the cost difference, the retailer’s fairness concerns practice means caring for farmer 1. Since the consumers are willing to pay more for an anti-poverty product labeled with the retailer’s fairness concern practice, the demand function of product 1 becomes [42,43] and the demand function of product 2 remains the same as .
Farmer 1’s profit is determined by
Farmer 2’s profit is determined by
The retailer’s profit is determined by
The retailer’s utility is determined by
Lemma 4.
In Model F, (i) the farmers’ equilibrium wholesale prices are
The retailer’s equilibrium order quantities are
(ii) The retailer’s equilibrium profit is , and farmer 1’s equilibrium profit and farmer 2’s equilibrium profit are as follows:
We next examine the effects of the model parameters on the farmers’ wholesale prices, the retailer’s order quantities, the market prices, and the supply chain member’s profits in sequence. Specifically, we study the effects of the cost difference μ and the degree of retailer’s fairness concerns here.
Proposition 8.
(i), , , , , increase with; (ii), decrease with; (iii)decreases within, and increases with in , where ; (iv) decreases with in , and increases with in , where .
Proposition 8 indicates that, on the one hand, the higher the cost difference , the higher the wholesale price will be established to maintain farmer 1’s optimal profit. The higher wholesale price will force the retailer to increase the market price , which leads to the lower demand of product 1, affecting the profit of product 1; that is, farmer 1 obtains a lower profit. On the other hand, farmer 2 has a competitive advantage over farmer 1 for the increasing cost difference, which always benefits farmer 2. Since the demand of product 1 can be transferred to product 2 through competition, thus, not only the wholesale price and the market price will be set higher, but also the demand of product 2 increases, which will increase farmer 2’s profit.
However, the effect of the cost difference on the retailer’s profit and supply chain profit are similar. When the cost difference is small (, ), both the retailer’s profit and supply chain profit will decrease. A small cost difference means that the competitive advantages of product 1 and product 2 are similar. Thus, there may be little room for the retailer’s CSR practice to be effective; the increase in farmer 1’s profit is less than the retailer’s giveaway.
When the cost difference is slightly higher than the threshold (, ), both the retailer’s profit and supply chain profit may benefit from . In this situation, farmer 1 has a competitive disadvantage over farmer 2, which means that the marginal revenue of the retailer’s CSR practice for farmer 1 is high. To some extent, it demonstrates the retailer’s CSR practice’s effectiveness.
Proposition 9.
(i), increase with; (ii), , decrease with; (iii) when, increases (decreases) with; when, increases (decreases) with; when, increases with.
Proposition 9 shows that a retailer’s greater fairness concern can help farmer 1 to obtain a higher profit if consumers have relatively high recognition of the retailer’s CSR practice (). On the one hand, if consumers have relatively high recognition of the retailer’s CSR practice (), the market price of product 1 will be higher. On the other hand, a fair-minded retailer is more willing to purchase from farmer 1 (larger ), which may help farmer 1 to increase slightly the wholesale price . Thus, farmer 1 will obtain a higher profit. As for farmer 2, since the retailer’s purchases are skewed towards farmer 1, farmer 2 has a competitive disadvantage over farmer 1, which means that the order quantity of product 2 will decrease. Furthermore, the market price of product 2 will also decrease due to consumers preferring product 1, which can lead to a lower wholesale price of product 2. Thus, farmer 2 will also obtain a lower profit.
Let to capture the added value of the anti-poverty product. is the supply chain profit. Substituting into , we obtain Proposition 10.
Proposition 10.
(i) When, decreases first and then increases with; when, increases with; (ii) when, decreases first and then increases with; when, increases with, whereand.
Proposition 10 shows the interaction effect of the added value and the degree of retailer’s fairness concerns on supply chain profit. There is a game between farmer 1 and the retailer to maximize the supply chain profit; each one can adopt a strategy based on the other’s action. From the perspective of farmer 1, she should produce crops with high value-added after observing a retailer with high fairness concerns. Otherwise, farmer 1 should produce crops with low added value. From the retailer’s perspective, if farmer 1 has produced high-value-added crops, the retailer should perform a high degree of fairness concern. If farmer 1 has produced low-value-added products, the retailer should implement a slightly lower degree of CSR practice to avoid reducing the supply chain profit. Thus, the retailer and farmer 1 can work together to maximize the supply chain profit.
5. Comparison of Four Models
This section discusses the comparison of Model N, Model S, Model A, and Model F. Since the two farmers seek competitive pricing policies while the retailer is making optimal quantities decisions, each player considers interaction with the competitor to maximize their individual profit. We compare the equilibria of each player in the same degree of the retailer’s CSR practice and let .
Proposition 11.
(i), , , , ; when, . (ii), , , , , . (iii), , , , ; when, .
Proposition 11 shows the comparison of decision equilibria between the four models. In Models A and S, the decision equilibria of product 2 are the same (, , ). Furthermore, the order quantities and market price of product 1 remain the same. It means that the form of the retailer’s CSR practices will not affect the overall profit of the supply chain, but will affect the profit distribution among the supply chain in Model A and Model S. As for Model F, compared with Models S and A, the retailer will order more product 1 (, ), but has a lower market price (, ). However, the retailer will order product 2 in a lower quantity (, ), but has a higher market price (, ). Thus, the retailer implementing different CSR practices can affect the strategic equilibria of supply chain members.
Proposition 12.
(i), , , , ; (ii) there exists awhereby, when, , and when, .
Proposition 12 indicates that the retailer’s CSR practices are beneficial for farmer 1, which means that the retailer’s CSR practices are conducive to poverty alleviation (, , ). Furthermore, from farmer 1’s perspective, both the retailer’s altruistic preference practice and fairness concerns practice are better than the cost-sharing practice (, ). However, the question of which CSR practice is the best for farmer 1 depends on the extent to which the retailer implements it. When the retailer implements a lower degree of CSR practice (), the retailer’s fairness concerns practice is better than the altruistic preference practice (). Otherwise, the retailer’s altruistic preference practice is better (). Therefore, the retailer should adopt corresponding CSR practices according to the effort he wishes to make.
Proposition 13.
, , , , , .
Proposition 13 indicates that the retailer’s CSR practices are not always beneficial for farmer 2 (, , ). As we know from Proposition 11(i), the decision equilibria of product 2 are the same in Models A and S, which means that farmer 2’s profit will be the same in these two models (). Compared with Models A and S, farmer 2 will achieve the lowest profit if the retailer implements a fairness concerns practice (, ). It means that the CSR practices implemented by the retailer always benefit farmer 1, but inevitably hurt farmer 2. Therefore, the retailer has to consider a tradeoff to decide which CSR practice is the most appropriate.
Proposition 14.
(i), ; (ii) When, .
Proposition 14 indicates that, compared with Model N and Model A, the retailer’s profit has increased in Model S (, ), which is consistent with what we find in Proposition 3. However, compared with the fairness concern practice, whether the retailer’s cost-sharing practice is better for his profit depends on the competitive advantage between product 1 and product 2. When the potential market of product 1 has a competitive advantage over that of product 2 (), the cost-sharing practice is the retailer’s best strategy (), which also helps the retailer to achieve a win–win result at the same time; that is, the cost-sharing practice benefits not only farmer 1 but also the retailer himself.
Proposition 15.
(i) When, and; (ii).
Proposition 15 indicates that the effect of the retailer’s CSR practices on the supply chain profit depends on the relationship between the elasticity of the sale price , the potential markets of products (, ), and the cost difference , which is consistent with the previous discussion. For example, the retailer’s fairness concern practice may be better than the cost-sharing practice and the altruistic preference practice for the supply chain profit (, ) under the condition that consumers are willing to pay more for the retailer’s CSR practice (a larger ) and prefer product 1 with the low cost difference than product 2 (). As we know from Proposition 11(i), the form of the retailer’s CSR practices will not affect the supply chain profit in Models A and S; the retailer’s altruistic preference practice and cost-sharing practice are equally effective for the supply chain profit (). Thus, since it can change the effectiveness of CSR practices for the supply chain by adjusting , , , and , this may be the optimal solution for management to implement the retailer’s best CSR practices.
6. Numerical Analysis
This section verifies the above results and further analyzes the impact of and the retailer’s CSR practices on the four models’ pricing, demand, and profit. A series of numerical analyses are carried out using MATLAB software. According to the allowed range of the parameters, let us set , , , , , , and then change the values of parameters , , and .
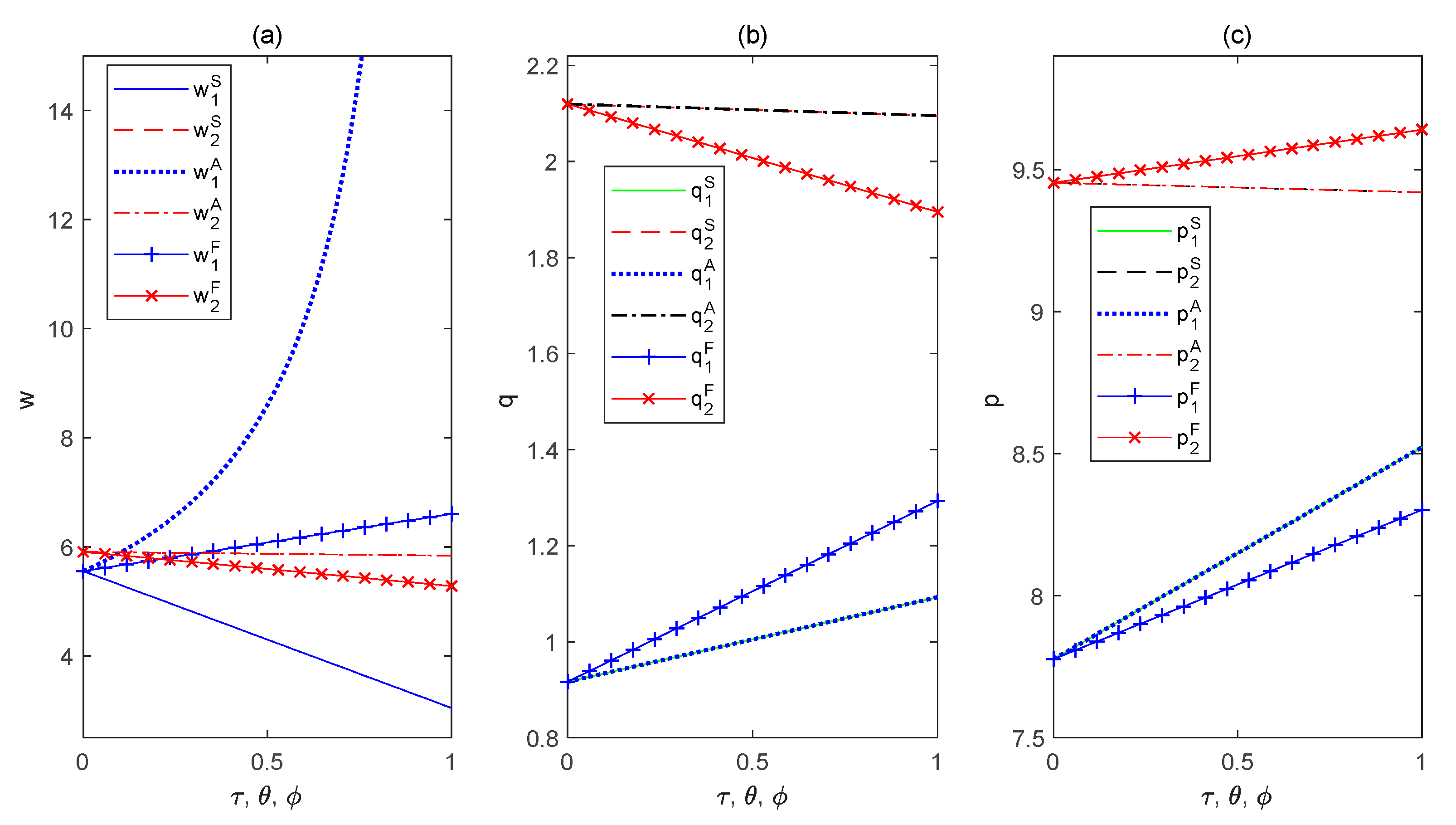
Figure 2a shows that without the retailer’s CSR practices, the wholesale price of product 1 is lower than of product 2. Moreover, the influence of the retailer’s different CSR practices on the wholesale prices is different. Firstly, with the increasing degree of cost-sharing practice, both wholesale prices and decrease. Secondly, with the growing degree of the retailer’s altruistic preference and fairness concerns, the wholesale price of product 1 increases while the wholesale price of product 2 decreases. In addition, the wholesale price of product 1 with the altruistic preference practice is the highest, while that with cost-sharing practice is the lowest. Moreover, the wholesale price of product 2 with the altruistic preference practice is equal to that with the cost-sharing practice, while that with the retailer’s fairness concern practice is the lowest. We also observe that there are interactions between and . With a lower degree of the retailer’s altruistic preference and fairness concern, is lower than , while, with a higher degree of the retailer’s altruistic preference and fairness concern, becomes higher than . This may give the retailer an opportunity to manage farmers’ decisions and by implementing different CSR practices in different degrees.
Figure 2.
(a) Effects of the retailer’s CSR practices on and . (b) Effects of the retailer’s CSR practices on and . (c) Effects of the retailer’s CSR practices on and .
Figure 2b shows that without the retailer’s CSR practices, the order quantity of product 1 is lower than of product 2. Moreover, the effect of the retailer’s different CSR practices on order quantities is similar. With the increasing degree of the retailer’s CSR practices, the order quantity of product 1 increases while that of product 2 decreases. We can also observe that the order quantity of products 1 and 2 in Model A is equal to that in Model S. In addition, the order quantity of product 1 with the cost-sharing practice is higher than that with the retailer’s altruistic preference practice and fairness concern practice, and the order quantity of product 2 with the fairness concern practice is lower than that with the altruistic preference practice and cost-sharing practice.
Figure 2c shows that without the retailer’s CSR practices, the market price of product 1 is lower than of product 2. Moreover, the effect of the retailer’s different CSR practices on market prices is different. Firstly, with the increasing degree of the cost-sharing practice and altruistic preference practice, the market price of product 1 increases while that of product 2 decreases. Secondly, with the increasing degree of the retailer’s fairness concern, both the market prices of product 1 and 2 increase. We can also observe that both the market prices of product 1 and 2 in Model A are equal to those in Model S. In addition, the market price of product 1 with the retailer’s cost-sharing practice and altruistic preference practice is higher than that with the fairness concern practice, and the market price of product 2 with the fairness concern practice is higher than that with the cost-sharing practice and altruistic preference practice.
Figure 3a shows that without the retailer’s CSR practices, farmer 1’s profit is lower than farmer 2’s profit . Moreover, the effect of the retailer’s different CSR practices on farmers’ profits is similar. The retailer’s CSR practices always benefit farmer 1’s profit, while decreasing farmer 2’s profit slightly. In addition, farmer 2’s profit with the retailer’s cost-sharing practice is equal to that with the altruistic preference practice, which is higher than that with the retailer’s fairness concerns practice. However, with the retailer’s altruistic preference practice, farmer 1’s profit is higher than that with the retailer’s fairness concern practice, which is higher than that with the cost-sharing practice.
Figure 3.
(a) Effect of retailer’s CSR practice on and . (b) Effect of retailer’s CSR practice on . (c) Effect of retailer’s CSR practice on .
Figure 3b shows that the retailer’s profit will increase when he implements the cost-sharing practice and fairness concern practice, and his profit will decrease if he implements an altruistic preference practice. In addition, the retailer will obtain the highest profit when he implements fairness concern practice, and the lowest profit when he implements altruistic preference practice.
Figure 3c shows that the supply chain profit will increase when the retailer implements CSR practices, and the effect of cost-sharing practice and altruistic preference practice on supply chain profit are the same. In addition, with the retailer’s cost-sharing practice and altruistic preference practice, the supply chain profit is higher than that with the retailer’s fairness concerns practice.
Figure 4 demonstrates the effect of , , , and on supply chain profit under different retailer CSR practices. Through the calculation, (1) we obtain . It can be observed from Figure 4a that when , decreases with and increases with . Furthermore, when , decreases with . When is large, e.g., , increases with . Thus, Figure 4a can verify Proposition 4.
Figure 4.
(a) Effect of and on supply chain profit under retailer’s cost-sharing practice. (b) Effect of and on supply chain profit under retailer’s altruistic preference practice. (c) Effect of and on supply chain profit under retailer’s fairness concern practice.
(2) Since , we can observe that the property of Figure 4b is similar to Figure 4a. On one hand, when , decreases with and increases with ; when , increases with . On the other hand, when , decreases with . When is large, e.g., , increases with . Thus, Figure 4b can verify Proposition 7.
(3) It also can be observed from Figure 4c that, when is small, e.g., , decreases with . When is large, e.g., , increases with .
Figure 5 shows the comparison of supply chain profit under the retailer’s CSR practices. The upper plane of Figure 5 shows the supply chain profit under the retailer’s altruistic preference practice and cost-sharing practice, and the bottom plane shows the supply chain profit under the retailer’s fairness concern practice. The three planes intersect when the retailer does not implement any CSR practice. We can find that, in this situation, the retailer’s altruistic preference practice and cost-sharing practice are better for supply chain profit than the fairness concern practice.
Figure 5.
Comparison of the supply chain profit under the retailer’s different CSR practices.
7. Conclusions
This paper has investigated a development supply chain where two representative farmers produce and sell a similar crop through a common retailer. The farmers from poor rural areas can label their crops as anti-poverty products, which are certified by the government, and the crops produced by the farmers from suburban areas are considered as general products. By an analytical modeling framework, we have examined the impacts of the retailer’s CSR practices (i.e., cost-sharing practice, altruistic preference practice, and fairness concerns practice) on the decision equilibria and profits of the farmers and retailer. Findings are derived and summarized as follows.
First, compared with Model N, each of the retailer’s three CSR practices can increase the whole supply chain’s profit, which means that the supply chain has the potential to achieve the Pareto improvement for both the farmers and the retailer. From a supply chain perspective, the retailer’s altruistic preference and cost-sharing practice are equally effective and better than the fairness concern practice. The results show that the development supply chain can do well by doing good, i.e., the whole development supply chain’s performance is improved with the retailer’s consideration of the poor farmer rather than their own shareholder value. Therefore, poverty alleviation initiatives that promote the implementation of different CSR practices by core enterprises in the supply chain (e.g., retailers) can generate both economic and social value.
Second, the retailer’s CSR practices also benefit them while implementing cost-sharing practice or fairness concern practice. Both CSR practices can create a win–win result for both farmer 1 and the retailer. When implementing the altruistic preference practice, the retailer’s situation deteriorates; however, the whole supply chain’s performance improves. In this case, a contract can be designed to coordinate the three parties to improve the retailer’s performance. The traditional supply chain coordination contracts, such as two-part tariff contracts, can be used to achieve the Pareto improvement among supply chain members. As the core enterprise in the poverty alleviation supply chain, the retailer can realize the incentive conditions and participation constraints of implementing altruistic preference practices among members through contract design. In addition, when the potential market of product 1 has a competitive advantage over that of product 2, the cost-sharing practice is the retailer’s dominant strategy. When the retailer implements cost-sharing practice, the wholesale prices of both products will increase if the elasticity of the sale price is large, and will decrease if the elasticity of the sale price is small. In sum, since the development supply chain system becomes better and the retailer can also benefit from CSR behavior, such CSR practices are viable and sustainable, and thus the farmer’s poverty can be alleviated.
Third, the rural farmer always benefits from the retailer’s CSR practices, and the effect of the altruistic preference practice and fairness concern practice on the rural farmer’s profit are better than those of the cost-sharing practice. The cost difference between farmer 1 and 2 always hurts farmer 1, which means that poverty is an obstacle for farmer 1 in making a living. However, the retailer’s CSR practices always benefit farmer 1, which means that the retailer’s CSR practices are highly effective in alleviating poverty. In addition, farmer 1 should not produce medium-value-added products, which may not help significantly in her profit (shown in Figure 5), while she should develop high-value-added products (e.g., medicinal materials) or low-value-added products (e.g., rice and soybeans), which will benefit her profit more. This form of management may indicate that, from a short-term perspective, the retailer’s CSR practices can effectively improve the rural farmer’s profits and help them to eliminate poverty. However, in the long run, improving the production efficiency of rural farmers and eliminating the factors leading to poverty, such as upgrading skills, upgrading equipment, and improving infrastructure, are stable strategies to prevent the return to poverty and achieve shared prosperity.
Fourth, from the suburban farmer’s perspective, the retailer’s CSR practices are not beneficial for their performance. However, the extent to which the suburban farmer’s performance decreases is much less than the rural farmer’s performance gains. Furthermore, the whole supply chain’s performance has been improved significantly with the retailer’s CSR practices. Thus, there is always a means to transfer the revenue to the suburban farmer through a contract design to enable the suburban farmer to improve their profit and thus participate in the transactions. In addition, the effect of the cost-sharing practice and altruistic preference practice on farmer 2’s profit are the same, being better than those of the fairness concerns practice.
Poverty is an economic and structural problem that is difficult to reduce by using only one approach. It is therefore worth studying the combinations of different CSR practices that enterprises can adopt to help in the reduction of poverty. As we focus on the impacts of the retailer’s three CSR practices on the equilibrium decisions of the players in a development supply chain, there are a few limitations in the current model setup and we offer some guidelines for future research. First, in our model, we assume that all consumers value the retailer’s three CSR practices equally. However, in reality, there are different forms of retailers’ CSR practices, and consumers may be heterogeneous in recognizing different retailers’ CSR practices. Second, we assume that farmers incur linear production costs. In reality, there are also nonlinear production cost functions in which farmers face diseconomies of scale due to constraints of land, technology, and other resources. Third, we focus on the most popular commodities and assume that the quantities and cross-quantities sensitivity are the same in the demand function. However, in reality, due to channel and quality differences, there may also be large differences in quantities sensitivity and cross-quantities sensitivity between farmers, which can be further studied. Fourth, our model does not take into account supply chain incentives and coordination issues. For example, a contract can be designed to coordinate the development supply chain that achieves the Pareto improvement for both the farmers and retailer. In addition, knowing the retailer’s CSR practices to favor farmer 1, farmer 2 may ally themselves with farmer 1. Fifth, we investigate the impact of the retailer’s three CSR practices on the decisions and performance of the supply chain members. In further research, CSR can be treated as an endogenous decision variable instead of a choice from three options exogenously. Sixth, with technological development, the product cycle is becoming shorter and shorter, and consumers’ cognition of products is also changing rapidly, which leads to a greater influence of demand uncertainty on supply chain decisions. In this way, demand uncertainty can be incorporated into the development supply chain as a stochastic model. Thus, it would be interesting to propose alternative models to include these aspects in future research.
Author Contributions
Conceptualization, Q.Z. and T.L.; Formal analysis, T.L.; Funding acquisition, Q.Z.; Investigation, Q.Z. and T.L.; Methodology, Q.Z. and T.L.; Software, T.L.; Supervision, Q.Z.; Writing—original draft, Q.Z. and T.L.; Writing—review & editing, Q.Z. and T.L. All authors have read and agreed to the published version of the manuscript.
Funding
This research was supported by Key Project of National Social Science Foundation of China (21AGL014).
Data Availability Statement
All the needed data are within the paper.
Acknowledgments
We’d like to thank the editor and reviewers for their comments to improve the paper.
Conflicts of Interest
There is no conflict of interest to declare.
Appendix A
Proof of Lemma 1.
We adopt backward induction to find the equilibrium decisions of the farmers and the retailer. The retailer’s profit function is denoted by .
Given that , , , and the Hessian matrix,
The retailer’s profit function is a concave function. Therefore, the retailer has the optimal decision to maximize profits. Let and , then and . Farmer 1’s profit function is denoted by . Farmer 2’s profit function is denoted by .
By calculation, we obtain and , which shows that both farmer 1’s and farmer 2’s profit functions are a concave function. Thus, the farmers have the optimal decision to maximize profits. Let and , and then we obtain
Substituting and into , , , , and , we have equilibria , , , , and . □
Proof of Proposition 1.
(i) , , , , , .
(ii) ,
,
(iii) , then if , if , where . □
Proof of Lemma 2.
The proof is similar to Lemma 1, so we omit it here. □
Proof of Proposition 2.
(i) , then when , ; when , .
(ii) , , , , .
(iii), ,
In addition, since , which means , then we have . Thus, .
(iv) , which means that increases with . By solving the equation , we obtain . Thus, when , , when , . □
Proof of Proposition 3.
(i) , then when , , when , ;
(ii) , , , , .
(iii) Since , then , we obtain ; ; .
(iv) , which means increases with . By solving the equation , we obtain . Thus, when , ; when , . □
Proof of Proposition 4.
Substituting Equation into can yield , which means will be affected by parameter and . Moreover, we obtain
We solve the equation , and obtain
We observe that . By solving , we obtain . It means that when , then , which means that decreases first with in and then increases with in ; when , then , which means that increases with in . Thus, Proposition 4(i) is proven. The proof of Proposition 4(ii) is similar to Yuen et al. [44], so we omit it here. □
Proof of Lemma 3.
The proof is similar to Lemma 1, so we omit it here. □
Proof of Proposition 5.
(i) , then when , ; when , .
(ii) , , , , .
(iii) , ,
(iv) . We can observe that .
By solving the equation , we obtain , which means that when , ; when , . By solving the equation , we obtain . Thus, if , then when , ; and when , ; if , then when , ; and when , .
(v) . By solving the equation , we obtain , which means that when , ; when , . □
Proof of Proposition 6.
(i) , then when , , when , ;
(ii) , , , , .
(iii) ;
(iv) , thus, when , ; when or , .
(v) , which increases with . By solving the equation , we obtain . Thus, when , ; when , . □
Proof of Proposition 7.
The proof of Proposition 7 is similar to Proposition 4, so we omit it here. □
Proof of Lemma 4.
The proof is similar to Lemma 1, so we omit it here. □
Proof of Proposition 8.
(i) , , , , , .
(ii) , . Since , then we obtain .
(iii) . By solving the equation , we obtain . Thus, when , ; when , .
(iv) , which increases with . By solving the equation , we obtain . Thus, when , , when , . □
Proof of Proposition 9.
(i) , .
(ii) , , .
(iii) . Thus, when , , . Thus, when , .
. Since . Thus, when , . □
Proof of Proposition 10.
The proof of Proposition 10 is similar to Proposition 4, so we omit it here. □
Proof of Proposition 11.
The proof of Proposition 11 can be obtained by simple calculation, so we omit it here. □
Proof of Proposition 12.
(i) . Since and , then we have , which means that . The rest of the proof is similar, so we omit it here.
(ii) . Thus, there exists a whereby, when , , and when , . □
Proof of Proposition 13.
The proof of Proposition 13 is similar to Proposition 12, so we omit it here. □
Proof of Proposition 14.
The proof of Proposition 14 is similar to Proposition 12, so we omit it here. □
Proof of Proposition 15.
(i)
We can observe that decreases with .
By solving the equation , we obtain .
Thus, if , then when , , when , .
The remaining proofs of Proposition 15 are similar, so we omit them here. □
References
- An, J.; Cho, S.-H.; Tang, C.S. Aggregating Smallholder Farmers in Emerging Economies. Prod. Oper. Manag. 2015, 24, 1414–1429. [Google Scholar] [CrossRef]
- Zasada, I. Multifunctional Peri-Urban Agriculture—A Review of Societal Demands and the Provision of Goods and Services by Farming. Land Use Policy 2011, 28, 639–648. [Google Scholar] [CrossRef]
- Orsini, F.; Kahane, R.; Nono-Womdim, R.; Gianquinto, G. Urban agriculture in the developing world: A review. Agron. Sustain. Dev. 2013, 33, 695–720. [Google Scholar] [CrossRef]
- Kao, T.-Y.; Chen, J.C.H.; Wu, J.-T.B.; Yang, M.-H. Poverty Reduction through Empowerment for Sustainable Development: A Proactive Strategy of Corporate Social Responsibility. Corp. Soc. Responsib. Environ. Manag. 2016, 23, 140–149. [Google Scholar] [CrossRef]
- Yonghui. 2019 Corporate Social Responsibility Report of Yonghui Superstores. 2020. Available online: http://www.yonghui.com.cn/upload/Inv/6190375.PDF (accessed on 2 April 2020).
- English.gov.cn. China to Promote Poverty Alleviation through Consumption. 2019. Available online: http://english.www.gov.cn/policies/latest_releases/2019/01/14/content_281476479024726.htm (accessed on 14 January 2019).
- En.people.cn. Sales of China’s Anti-Poverty Products Exceed 330 Billion Yuan in First 10 Months. 2020. Available online: http://english.www.gov.cn/news/topnews/202011/29/content_WS5fc38b93c6d0f72576940db9.html (accessed on 29 November 2020).
- Yu, J.J.; Tang, C.S.; Sodhi, M.S.; Knuckles, J. Optimal Subsidies for Development Supply Chains. Manuf. Serv. Oper. Manag. 2020, 22, 1131–1147. [Google Scholar] [CrossRef]
- Sodhi, M.S.; Tang, C.S. Supply-Chain Research Opportunities with the Poor as Suppliers or Distributors in Developing Countries. Prod. Oper. Manag. 2014, 23, 1483–1494. [Google Scholar] [CrossRef]
- ChinaDaily. China’s Poverty Reduction Offers Lessons for Africa. 2020. Available online: http://www.chinadaily.com.cn/a/202012/29/WS5fea88a5a31024ad0ba9f2bf.html (accessed on 29 December 2020).
- Edmond Yeboah, N.; Feng, Y.; Oppong-Sekyere, D.; Boadi Nyamaah, J. Agricultural Supply Chain Risk Identification—A Case Finding from Ghana. J. Manag. Strategy 2014, 5, 31–48. [Google Scholar] [CrossRef]
- Wang, H.H.; Wang, Y.; Delgado, M.S. The Transition to Modern Agriculture: Contract Farming in Developing Economies. Am. J. Agric. Econ. 2014, 96, 1257–1271. [Google Scholar] [CrossRef]
- Fang, L.; Huang, C.-C. Targeted poverty alleviation in China: Evidence from Jingdong e-commerce poverty alleviation. Poverty Public Policy 2020, 12, 386–396. [Google Scholar] [CrossRef]
- Kolk, A.; van Tulder, R. Poverty alleviation as business strategy? Evaluating commitments of frontrunner Multinational Corporations. World Dev. 2006, 34, 789–801. [Google Scholar] [CrossRef]
- Zhou, J.; Fan, X.; Chen, Y.-J.; Tang, C.S. Information Provision and Farmer Welfare in Developing Economies. Manuf. Serv. Oper. Manag. 2020, 23, 230–245. [Google Scholar] [CrossRef]
- Chen, Y.-J.; JGeorge, S.; Zuo-Jun Max, S. Training, Production, and Channel Separation in ITC’s E-Choupal Network. Prod. Oper. Manag. 2013, 22, 348–364. [Google Scholar] [CrossRef]
- Yu, J.J.; Tang, C.S.; Shen, Z.-J.M. Improving Consumer Welfare and Manufacturer Profit via Government Subsidy Programs: Subsidizing Consumers or Manufacturers? Manuf. Serv. Oper. Manag. 2018, 20, 752–766. [Google Scholar] [CrossRef]
- Tang, C.S.; Sodhi, M.S.; Formentini, M. An analysis of partially-guaranteed-price contracts between farmers and agri-food companies. Eur. J. Oper. Res. 2016, 254, 1063–1073. [Google Scholar] [CrossRef]
- García-Martínez, G.; Guijarro, F.; Poyatos, J.A. Measuring the social responsibility of European companies: A goal programming approach. Int. Trans. Oper. Res. 2019, 26, 1074–1095. [Google Scholar] [CrossRef]
- Zhou, Y.-W.; Guo, J.; Zhou, W. Pricing/service strategies for a dual-channel supply chain with free riding and service-cost sharing. Int. J. Prod. Econ. 2018, 196, 198–210. [Google Scholar] [CrossRef]
- Xie, J.; Zhang, W.; Liang, L.; Xia, Y.; Yin, J.; Yang, G. The revenue and cost sharing contract of pricing and servicing policies in a dual-channel closed-loop supply chain. J. Clean. Prod. 2018, 191, 361–383. [Google Scholar] [CrossRef]
- Li, T.; Zhang, R.; Zhao, S.; Liu, B. Low carbon strategy analysis under revenue-sharing and cost-sharing contracts. J. Clean. Prod. 2019, 212, 1462–1477. [Google Scholar] [CrossRef]
- Hosseini-Motlagh, S.-M.; Pazari, P.; Nouri, M. Coordination of promotional effort, corporate social responsibility and periodic review replenishment decisions in a two-echelon socially responsible supply chain. J. Ind. Syst. Eng. 2018, 11, 60–83. [Google Scholar]
- Wang, Y.; Fan, R.; Shen, L.; Miller, W. Recycling decisions of low-carbon e-commerce closed-loop supply chain under government subsidy mechanism and altruistic preference. J. Clean. Prod. 2020, 259, 120883. [Google Scholar] [CrossRef]
- Wan, X.; Jiang, B.; Li, Q.; Hou, X. Dual-channel environmental hotel supply chain network equilibrium decision under altruism preference and demand uncertainty. J. Clean. Prod. 2020, 271, 122595. [Google Scholar] [CrossRef]
- Xu, F.; Wang, H. Competitive–Cooperative Strategy Based on Altruistic Behavior for Dual-Channel Supply Chains. Sustainability 2018, 10, 2103. [Google Scholar] [CrossRef]
- Wang, Y.; Yu, Z.; Shen, L.; Dong, W. E-Commerce Supply Chain Models under Altruistic Preference. Mathematics 2021, 9, 632. [Google Scholar] [CrossRef]
- Wang, Y.; Yu, Z.; Shen, L.; Fan, R.; Tang, R. Decisions and Coordination in E-Commerce Supply Chain under Logistics Outsourcing and Altruistic Preferences. Mathematics 2021, 9, 253. [Google Scholar] [CrossRef]
- Guan, Z.; Ye, T.; Yin, R. Channel coordination under Nash bargaining fairness concerns in differential games of goodwill accumulation. Eur. J. Oper. Res. 2020, 285, 916–930. [Google Scholar] [CrossRef]
- Caliskan-Demirag, O.; Chen, Y.F.; Li, J. Channel coordination under fairness concerns and nonlinear demand. Eur. J. Oper. Res. 2010, 207, 1321–1326. [Google Scholar] [CrossRef]
- Cui, T.H.; Raju, J.S.; Zhang, Z.J. Fairness and Channel Coordination. Manag. Sci. 2007, 53, 1303–1314. [Google Scholar] [CrossRef]
- Yang, J.; Xie, J.; Deng, X.; Xiong, H. Cooperative advertising in a distribution channel with fairness concerns. Eur. J. Oper. Res. 2013, 227, 401–407. [Google Scholar] [CrossRef]
- Zheng, X.-X.; Liu, Z.; Li, K.W.; Huang, J.; Chen, J. Cooperative game approaches to coordinating a three-echelon closed-loop supply chain with fairness concerns. Int. J. Prod. Econ. 2019, 212, 92–110. [Google Scholar] [CrossRef]
- Zhou, Y.; Bao, M.; Chen, X.; Xu, X. Co-op advertising and emission reduction cost sharing contracts and coordination in low-carbon supply chain based on fairness concerns. J. Clean. Prod. 2016, 133, 402–413. [Google Scholar] [CrossRef]
- Shen, L.; Lin, F.; Wang, Y.; Su, X.; Li, H.; Zhou, R. Advertising Decisions of Platform Supply Chains Considering Network Externalities and Fairness Concerns. Mathematics 2022, 10, 2359. [Google Scholar] [CrossRef]
- Arslan, M.C.; Turkay, M. EOQ Revisited with Sustainability Considerations. Found. Comput. Decis. Sci. 2013, 38, 223–249. [Google Scholar] [CrossRef]
- Modak, N.M.; Kazemi, N.; Cárdenas-Barrón, L.E. Investigating structure of a two-echelon closed-loop supply chain using social work donation as a Corporate Social Responsibility practice. Int. J. Prod. Econ. 2019, 207, 19–33. [Google Scholar] [CrossRef]
- Liu, Y.; Liu, Z.; Ren, W.; Lin Forrest, J.Y. A coordination mechanism through relational contract in a two-echelon supply chain. J. Retail. Consum. Serv. 2020, 56, 102156. [Google Scholar] [CrossRef]
- Sodhi, M.S.; Tang, C.S. Buttressing Supply Chains against Floods in Asia for Humanitarian Relief and Economic Recovery. Prod. Oper. Manag. 2014, 23, 938–950. [Google Scholar] [CrossRef]
- Wu, C.-H. Collaboration and sharing mechanisms in improving corporate social responsibility. Cent. Eur. J. Oper. Res. 2016, 24, 681–707. [Google Scholar] [CrossRef]
- Tang, C.S.; Wang, Y.; Zhao, M. The Implications of Utilizing Market Information and Adopting Agricultural Advice for Farmers in Developing Economies. Prod. Oper. Manag. 2015, 24, 1197–1215. [Google Scholar] [CrossRef]
- Puggioni, D.; Stefanou, S.E. The value of being socially responsible: A primal-dual approach. Eur. J. Oper. Res. 2019, 276, 1090–1103. [Google Scholar] [CrossRef]
- Xia, Y.; Zu, X.; Shi, C. A profit-driven approach to building a “people-responsible” supply chain. Eur. J. Oper. Res. 2015, 241, 348–360. [Google Scholar] [CrossRef]
- Yuen, K.F.; Thai, V.V.; Wong, Y.D. Are customers willing to pay for corporate social responsibility? A study of individual-specific mediators. Total Qual. Manag. Bus. Excell. 2016, 27, 912–926. [Google Scholar] [CrossRef]
- Singh, N.; Vives, X. Price and quantity competition in a differentiated duopoly. Rand J. Econ. 1984, 15, 546–554. [Google Scholar] [CrossRef]
- Wang, Y.; Niu, B.; Guo, P. On the Advantage of Quantity Leadership When Outsourcing Production to a Competitive Contract Manufacturer. Prod. Oper. Manag. 2013, 22, 104–119. [Google Scholar] [CrossRef]
- Jiang, X.; Zhou, J. The Impact of Rebate Distribution on Fairness Concerns in Supply Chains. Mathematics 2021, 9, 778. [Google Scholar] [CrossRef]
- Fehr, E.; Schmidt, K.M. A theory of fairness, competition, and cooperation. Q. J. Econ. 1999, 114, 817–868. [Google Scholar] [CrossRef]
Publisher’s Note: MDPI stays neutral with regard to jurisdictional claims in published maps and institutional affiliations. |
© 2022 by the authors. Licensee MDPI, Basel, Switzerland. This article is an open access article distributed under the terms and conditions of the Creative Commons Attribution (CC BY) license (https://creativecommons.org/licenses/by/4.0/).




