Data Reconstruction-Based Two-Step Non-Intrusive Reduced-Order Modeling Using Fourier Transform and Interpolations
Abstract
1. Introduction
2. Problem Setup
2.1. Governing Equations
2.2. Simulation Tool-Based Approach: OpenFOAM Solver and Algorithm
3. Data Reconstruction-Based Two-Step Non-Intrusive ROM
3.1. Offline Step 1: Data Reconstruction in a Virtual Time Domain
3.2. Offline Step 2: Constructing Reduced-Order Model in a Frequency Domain
3.3. Online Stage
| Algorithm 1: Data reconstruction-based two-step non-intrusive ROM |
//Offline stage—Step 1//
|
4. Numerical Examples
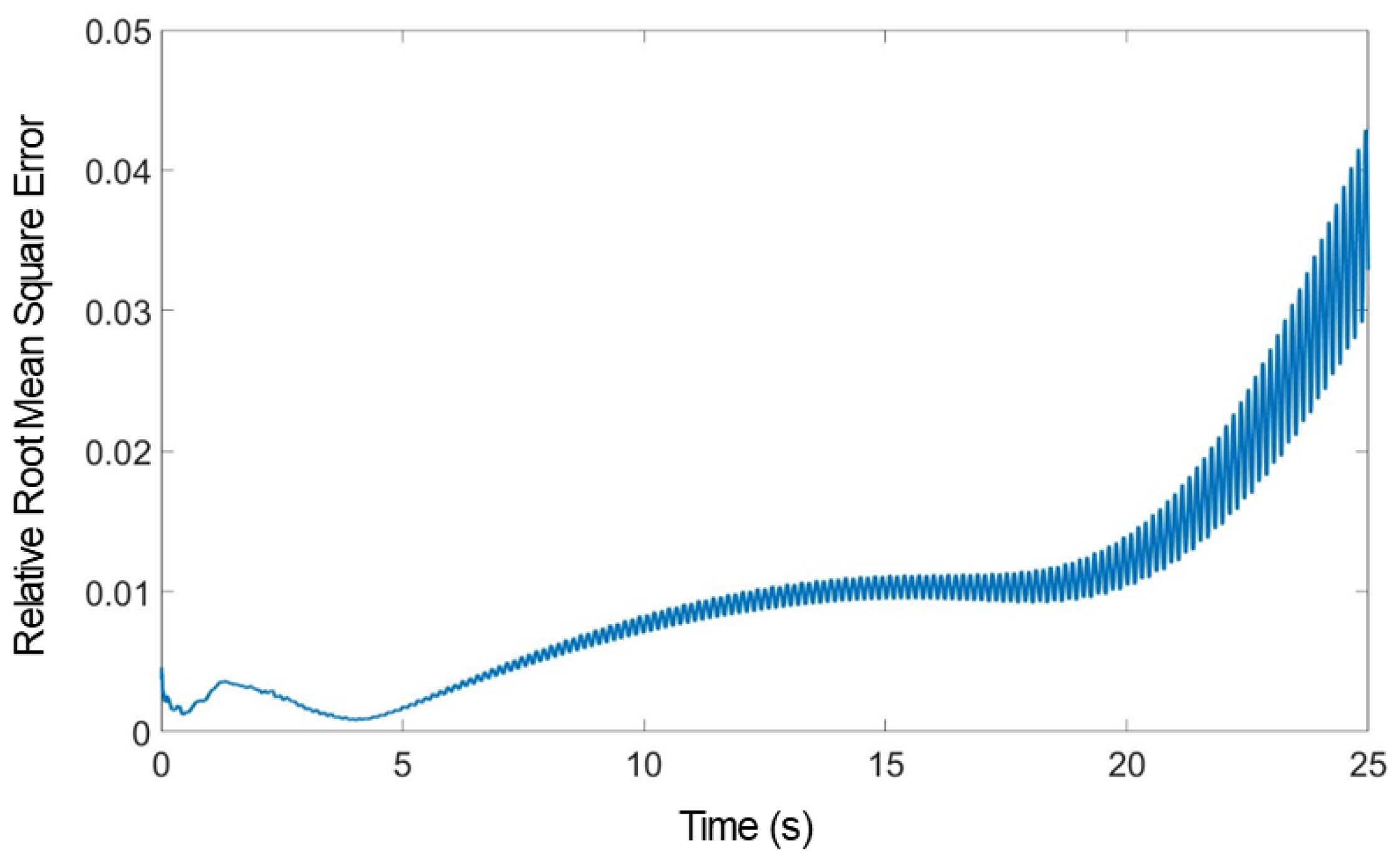
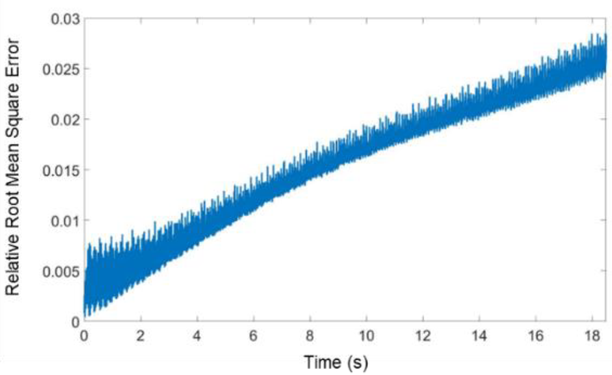
4.1. Flow Past a Circular Cylinder in Channel
4.2. Flow around Airfoil
5. Conclusions
Author Contributions
Funding
Data Availability Statement
Conflicts of Interest
References
- Davidsson, P.; Sandberg, G. A reduction method for structure-acoustic and poroelastic-acoustic problems using interface-dependent Lanczos vectors. Comput. Methods Appl. Mech. Eng. 2006, 195, 1933–1945. [Google Scholar] [CrossRef]
- Hoang, K.C.; Fu, Y.; Song, J.H. An hp-proper orthogonal decomposition–moving least squares approach for molecular dynamics simulation. Comput. Methods Appl. Mech. Eng. 2016, 298, 548–575. [Google Scholar] [CrossRef]
- Willcox, K.; Peraire, J. Balanced model reduction via the proper orthogonal decomposition. AIAA J. 2002, 40, 2323–2330. [Google Scholar] [CrossRef]
- Gratton, D.; Willcox, K. Reduced-Order, Trajectory Piecewise-Linear Models for Nonlinear Computational Fluid Dynamics. In Proceedings of the 34th AIAA Fluid Dynamics Conference and Exhibit, Portland, OR, USA, 28 June 2004. [Google Scholar] [CrossRef]
- Walton, S.; Hassan, O.; Morgan, K. Reduced order modelling for unsteady fluid flow using proper orthogonal decomposition and radial basis functions. Appl. Math. Model. 2013, 37, 8930–8945. [Google Scholar] [CrossRef]
- Lassila, T.; Manzoni, A.; Quarteroni, A.; Rozza, G. Model order reduction in fluid dynamics: Challenges and perspectives. In Reduced Order Methods for Modeling and Computational Reduction, 1st ed.; Quarteroni, A., Rozza, G., Eds.; Springer: Cham, Switzerland, 2014; pp. 235–273. [Google Scholar] [CrossRef]
- Liang, Y.C.; Lin, W.Z.; Lee, H.P.; Lim, S.P.; Lee, K.H.; Sun, H. Proper orthogonal decomposition and its applications–part II: Model reduction for MEMS dynamical analysis. J. Sound. Vib. 2002, 256, 515–532. [Google Scholar] [CrossRef]
- Daescu, D.N.; Navon, I.M. A dual-weighted approach to order reduction in 4DVAR data assimilation. Mon. Weather Rev. 2008, 136, 1026–1041. [Google Scholar] [CrossRef]
- Peherstorfer, B.; Willcox, K. Dynamic data-driven reduced-order models. Comput. Methods Appl. Mech. Eng. 2015, 291, 21–41. [Google Scholar] [CrossRef]
- Ghavamian, F.; Tiso, P.; Simone, A. POD–DEIM model order reduction for strain-softening viscoplasticity. Comput. Methods Appl. Mech. Eng. 2017, 317, 458–479. [Google Scholar] [CrossRef]
- Guo, M.; Hesthaven, J.S. Reduced order modeling for nonlinear structural analysis using gaussian process regression. Comput. Methods Appl. Mech. Eng. 2018, 341, 807–826. [Google Scholar] [CrossRef]
- Lee, J.; Cho, M. Efficient design optimization strategy for structural dynamic systems using a reduced basis method combined with an equivalent static load. Struct. Multidiscip. Optim. 2018, 58, 1489–1504. [Google Scholar] [CrossRef]
- Martynov, K.; Wever, U. On polynomial hyperreduction for nonlinear structural mechanics. Int. J. Numer. Methods Eng. 2019, 118, 701–717. [Google Scholar] [CrossRef]
- Sun, P.; Luo, Z.; Zhou, Y. Some reduced finite difference schemes based on a proper orthogonal decomposition technique for parabolic equations. Appl. Numer. Math. 2010, 60, 154–164. [Google Scholar] [CrossRef]
- Cao, Y.; Zhu, J.; Navon, I.M.; Luo, Z. A reduced-order approach to four-dimensional variational data assimilation using proper orthogonal decomposition. Int. J. Numer. Methods Fluids 2010, 53, 1571–1583. [Google Scholar] [CrossRef]
- Luo, Z.; Chen, J.; Zhu, J.; Wang, R.; Navon, I.M. An optimizing reduced order FDS for the tropical Pacific Ocean reduced gravity model. Int. J. Numer. Methods Fluids 2007, 55, 143–161. [Google Scholar] [CrossRef]
- Luo, Z.D.; Wang, R.W.; Zhu, J. Finite difference scheme based on proper orthogonal decomposition for the nonstationary Navier-Stokes equations. Sci. China Ser. A Math. 2007, 50, 1186–1196. [Google Scholar] [CrossRef]
- Cortés, J.; Herrero, H.; Pla, F. A Galerkin/POD reduced-order model from eigenfunctions of non-converged time evolution solutions in a convection problem. Mathematics 2022, 10, 905. [Google Scholar] [CrossRef]
- Kim, T. Frequency-domain Karhunen-Loève method and its application to linear dynamic systems. AIAA J. 1998, 36, 2117–2123. [Google Scholar] [CrossRef]
- Kim, Y.; Wang, K.; Choi, Y. Efficient space–time reduced order model for linear dynamical systems in Python using less than 120 lines of code. Mathematics 2021, 9, 1690. [Google Scholar] [CrossRef]
- Klie, H. Unlocking Fast Reservoir Predictions via Nonintrusive Reduced-Order Models. In SPE Reservoir Simulation Symposium; OnePetro: The Woodlands, TX, USA, 2013. [Google Scholar] [CrossRef]
- Guénot, M.; Lepot, I.; Sainvitu, C.; Goblet, J.; Coelho, R.F. Adaptive sampling strategies for non-intrusive POD-based surrogates. Eng. Comput. 2013, 30, 521–547. [Google Scholar] [CrossRef]
- Casenave, F.; Ern, A.; Lelièvre, T. A nonintrusive reduced basis method applied to aeroacoustic simulations. Adv. Comput. Math. 2015, 41, 961–986. [Google Scholar] [CrossRef]
- Iuliano, E.; Quagliarella, D. Aerodynamic Shape Optimization via Non-Intrusive POD-Based Surrogate Modelling. In Proceedings of the 2013 IEEE Congress on Evolutionary Computation, Cancun, MX, USA, 20 June 2013. [Google Scholar] [CrossRef]
- Peherstorfer, B.; Willcox, K. Data-driven operator inference for nonintrusive projection-based model reduction. Comput. Methods Appl. Mech. Eng. 2016, 306, 196–215. [Google Scholar] [CrossRef]
- Xiao, D.; Fang, F.; Buchan, A.G.; Pain, C.C.; Navon, I.M.; Muggeridge, A. Non-intrusive reduced order modelling of the Navier–Stokes equations. Comput. Methods Appl. Mech. Eng. 2015, 293, 522–541. [Google Scholar] [CrossRef]
- Xiao, D.; Fang, F.; Pain, C.; Hu, G. Non-intrusive reduced-order modelling of the Navier–Stokes equations based on RBF interpolation. Int. J. Numer. Methods Fluids 2015, 79, 580–595. [Google Scholar] [CrossRef]
- Xiao, D.; Yang, P.; Fang, F.; Xiang, J.; Pain, C.C.; Navon, I.M. Non-intrusive reduced order modelling of fluid–structure interactions. Comput. Methods Appl. Mech. Eng. 2016, 303, 35–54. [Google Scholar] [CrossRef]
- Nguyen, M.-N.; Kim, H.-G. An efficient PODI method for real-time simulation of indenter contact problems using RBF interpolation and contact domain decomposition. Comput. Methods Appl. Mech. Eng. 2022, 388, 114215. [Google Scholar] [CrossRef]
- Fresca, S.; Manzoni, A. Real-time simulation of parameter-dependent fluid flows through deep learning-based reduced order models. Fluids 2021, 6, 259. [Google Scholar] [CrossRef]
- Cheng, F.; Xu, H.; Feng, X. Model order reduction method based on (r) POD-ANNs for parameterized time-dependent partial differential equations. Comput. Fluids 2022, 241, 105481. [Google Scholar] [CrossRef]
- Heaney, C.E.; Wolffs, Z.; Tómasson, J.A.; Kahouadji, L.; Salinas, P.; Nicolle, A.; Navon, I.M.; Matar, O.K.; Srinil, N.; Pain, C.C. An AI-based non-intrusive reduced-order model for extended domains applied to multiphase flow in pipes. Phys. Fluids 2022, 34, 055111. [Google Scholar] [CrossRef]
- Rozza, G.; Huynh, D.B.P.; Patera, A.T. Reduced basis approximation and a posteriori error estimation for affinely parametrized elliptic coercive partial differential equations. Arch. Comput. Methods Eng. 2008, 15, 229–275. [Google Scholar] [CrossRef]
- Rashkov, P. Reduced basis approximation for a spatial Lotka-Volterra model. Mathematics 2022, 10, 1983. [Google Scholar] [CrossRef]
- Amsallem, D.; Farhat, C. Interpolation method for adapting reduced-order models and application to aeroelasticity. AIAA J. 2008, 46, 1803–1813. [Google Scholar] [CrossRef]
- Amsallem, D.; Cortial, J.; Carlberg, K.; Farhat, C. A method for interpolating on manifolds structural dynamics reduced-order models. Int. J. Numer. Methods Eng. 2009, 80, 1241–1258. [Google Scholar] [CrossRef]
- Amsallem, D.; Farhat, C. An online method for interpolating linear parametric reduced-order models. SIAM J. Sci. Comput. 2011, 33, 2169–2198. [Google Scholar] [CrossRef]
- Lee, J.; Cho, M. An interpolation-based parametric reduced order model combined with component mode synthesis. Comput. Methods Appl. Mech. Eng. 2017, 319, 258–286. [Google Scholar] [CrossRef]
- Lee, J. A dynamic substructuring-based parametric reduced-order model considering the interpolation of free-interface substructural modes. J. Mech. Sci. Tech. 2018, 32, 5831–5838. [Google Scholar] [CrossRef]
- Lee, J. A parametric reduced-order model using substructural mode selections and interpolation. Comput. Struct. 2019, 212, 199–214. [Google Scholar] [CrossRef]
- Ferziger, J.H.; Perić, M.; Street, R.L. Computational Methods for Fluid Dynamics, 4th ed.; Springer: Cham, Switzerland, 2020; pp. 183–226. [Google Scholar] [CrossRef]
- Greenshields, C.J. OpenFOAM Programmer’s Guide; Version 3.0.1; OpenFOAM Foundation Ltd.: London, UK, 2015. [Google Scholar]
- Greenshields, C.J. OpenFOAM User Guide; Version 10; OpenFOAM Foundation Ltd.: London, UK, 2022. [Google Scholar]












| Inlet Velocity (m/s) | CPU Time (s) | ||
|---|---|---|---|
| 20 | [0, 45] | 1.889 | 3208 |
| 30 | [0, 35] | 2.822 | 2612 |
| 40 | [0, 30] | 3.733 | 2338 |
| Inlet Velocity (m/s) | CPU Time (s) | ||
|---|---|---|---|
| 130 | [0, 20] | 84.65 | 41,780 |
| 150 | [0, 20] | 97.80 | 48,473 |
| 170 | [0, 20] | 110.9 | 55,223 |
Publisher’s Note: MDPI stays neutral with regard to jurisdictional claims in published maps and institutional affiliations. |
© 2022 by the authors. Licensee MDPI, Basel, Switzerland. This article is an open access article distributed under the terms and conditions of the Creative Commons Attribution (CC BY) license (https://creativecommons.org/licenses/by/4.0/).
Share and Cite
Lee, J.; Kim, E.; Lee, J. Data Reconstruction-Based Two-Step Non-Intrusive Reduced-Order Modeling Using Fourier Transform and Interpolations. Mathematics 2022, 10, 3738. https://doi.org/10.3390/math10203738
Lee J, Kim E, Lee J. Data Reconstruction-Based Two-Step Non-Intrusive Reduced-Order Modeling Using Fourier Transform and Interpolations. Mathematics. 2022; 10(20):3738. https://doi.org/10.3390/math10203738
Chicago/Turabian StyleLee, Jonggeon, Euiyoung Kim, and Jaehun Lee. 2022. "Data Reconstruction-Based Two-Step Non-Intrusive Reduced-Order Modeling Using Fourier Transform and Interpolations" Mathematics 10, no. 20: 3738. https://doi.org/10.3390/math10203738
APA StyleLee, J., Kim, E., & Lee, J. (2022). Data Reconstruction-Based Two-Step Non-Intrusive Reduced-Order Modeling Using Fourier Transform and Interpolations. Mathematics, 10(20), 3738. https://doi.org/10.3390/math10203738
