Transient and Quasi-Steady-State Analytical Methods for Simulating a Vertical Gas Flow in a Landfill with Layered Municipal Solid Waste
Abstract
:1. Introduction
2. Model Development
- (1)
- The landfill gas was assumed to be an equimolar mixture of CH4 and CO2 and considered to behave as an ideal gas [23];
- (2)
- Darcy’s law was applied to the gas flow, and gas diffusion was not considered [23];
- (3)
- No external load was applied on the landfill, and the vertical stress with respect to the change of time was equal to zero [26];
- (4)
- The gas flow rate was much greater than the liquid flow rate in the landfill, and the influence of the pore liquid pressure on the gas pressure was neglected [26].
3. Transient Analytical Solution and Application
3.1. Transient Analytical Solution
3.2. Verification of the Transient Analytical Solution
3.3. Application of the Transient Analytical Solution
4. Quasi-Steady-State Analytical Solution and Validation
4.1. Quasi-Steady-State Analytical Solution
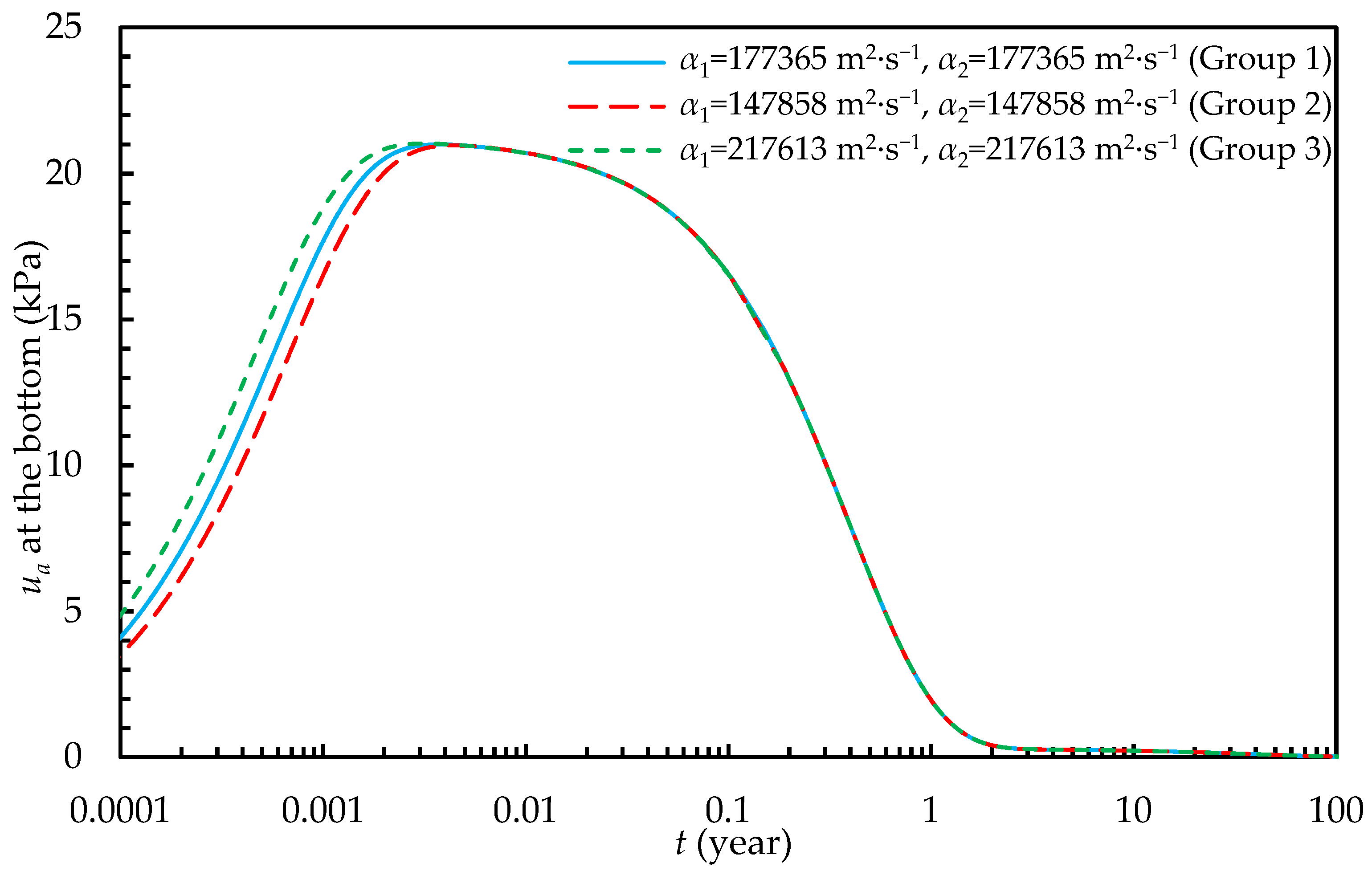
4.2. Comparison of the Quasi-Steady-State and Transient Solutions
4.3. Comparison of the Quasi-Steady-State and Steady-State Solutions
5. Conclusions
- (1)
- According to the results of the parameter analysis by the transient analytical solution, the vertical gas flow in landfills can be simplified to a quasi-steady-state flow.
- (2)
- The gas pressure values obtained by the transient and quasi-steady-state analytical solutions were in good agreement. There was only a slight difference in the gas pressure at the early times. The quasi-steady-state solution can reliably estimate the gas pressure in landfills.
- (3)
- Using the average gas generation rate or the gas generation rate corresponding to the average age of the MSW layer in the steady-state model resulted in an error in the estimation of gas pressure in landfills.
- (4)
- The axisymmetric transient and quasi-steady-state analytical models for the gas flow around a vertical well in a layered landfill can be proposed by extension of the results of this paper.
Author Contributions
Funding
Data Availability Statement
Acknowledgments
Conflicts of Interest
Appendix A. Development of the Transient Analytical Solution
References
- Parameswaran, T.G.; Sivakumar Babu, G.L. Design of gas collection systems: Issues and challenges. Waste Manag. Res. 2022, 0734242X221086949. [Google Scholar] [CrossRef] [PubMed]
- Duan, Z.; Scheutz, C.; Kjeldsen, P. Trace gas emissions from municipal solid waste landfills: A review. Waste Manag. 2021, 119, 39–62. [Google Scholar] [CrossRef] [PubMed]
- Paraskaki, I.; Lazaridis, M. Quantification of landfill emissions to air: A case study of the Ano Liosia landfill site in the greater Athens area. Waste Manag. Res. 2005, 23, 199–208. [Google Scholar] [CrossRef] [PubMed]
- Tian, H.; Gao, J.; Hao, J.; Lu, L.; Zhu, C.; Qiu, P. Atmospheric pollution problems and control proposals associated with solid waste management in China: A review. J. Hazard. Mater. 2013, 252, 142–154. [Google Scholar] [CrossRef]
- Liu, Y.; Lu, W.; Dastyar, W.; Liu, Y.; Guo, H.; Fu, X.; Li, H.; Meng, R.; Zhao, M.; Wang, H. Fugitive halocarbon emissions from working face of municipal solid waste landfills in China. Waste Manag. 2017, 70, 149–157. [Google Scholar] [CrossRef]
- Ke, H.; Hu, J.; Chen, Y.M.; Lan, J.W.; Zhan, L.T.; Meng, M.; Yang, Y.Q.; Li, Y.C. Foam-induced high gas pressures in wet municipal solid waste landfills. Géotechnique 2021, 72, 860–871. [Google Scholar] [CrossRef]
- Shu, S.; Li, Y.; Sun, Z.; Shi, J. Effect of gas pressure on municipal solid waste landfill slope stability. Waste Manag. Res. 2022, 40, 323–330. [Google Scholar] [CrossRef]
- Townsend, T.G.; Wise, W.R.; Jain, P. One-dimensional gas flow model for horizontal gas collection systems at municipal solid waste landfills. J. Environ. Eng. 2005, 131, 1716–1723. [Google Scholar] [CrossRef]
- Li, Y.C.; Zheng, J.; Chen, Y.M.; Guo, R.Y. One-dimensional transient analytical solution for gas pressure in municipal solid waste landfills. J. Environ. Eng. 2013, 139, 1441–1445. [Google Scholar] [CrossRef]
- Zeng, G. Study on landfill gas migration in landfilled municipal solid waste based on gas-solid coupling model. Environ. Prog. Sustain. 2020, 39, e13352. [Google Scholar] [CrossRef]
- Feng, S.J.; Wu, S.J.; Zheng, Q.T. Design method of a modified layered aerobic waste landfill divided by coarse material. Environ. Sci. Pollut. Res. 2021, 28, 2182–2197. [Google Scholar] [CrossRef] [PubMed]
- Zhang, T.; Shi, J.; Qian, X.; Ai, Y. Temperature monitoring during a water-injection test using a vertical well in a newly filled MSW layer of a landfill. Waste Manag. Res. 2019, 37, 530–541. [Google Scholar] [CrossRef] [PubMed]
- Jain, P.; Powell, J.; Townsend, T.G.; Reinhart, D.R. Air permeability of waste in a municipal solid waste landfill. J. Environ. Eng. 2012, 131, 1565–1573. [Google Scholar] [CrossRef]
- Zhang, W.; Lin, M. Evaluating the dual porosity of landfilled municipal solid waste. Environ. Sci. Pollut. Res. 2019, 26, 12080–12088. [Google Scholar] [CrossRef] [PubMed]
- Jung, Y.J.; Imhoff, P.T.; Augenstein, D.C.; Yazdani, R. Influence of high-permeability layers for enhancing landfill gas capture and reducing fugitive methane emissions from landfills. J. Environ. Eng. 2009, 135, 138–146. [Google Scholar] [CrossRef]
- Hettiarachchi, C.H.; Meegoda, J.N.; Tavantzis, J.; Hettiaratchi, P. Numerical model to predict settlements coupled with landfill gas pressure in bioreactor landfills. J. Hazard. Mater. 2007, 139, 514–522. [Google Scholar] [CrossRef]
- Zhang, T.; Shi, J.; Wu, X.; Lin, H.; Li, X. Simulation of gas transport in a landfill with layered new and old municipal solid waste. Sci. Rep. 2021, 11, 9436. [Google Scholar] [CrossRef]
- Xie, H.; Fei, S.; He, H.; Zhang, A.; Ni, J.; Chen, Y. Field investigation and numerical modelling of gas extraction in a heterogeneous landfill with high leachate level. Environ. Sci. Pollut. Res. 2022, 1–17. [Google Scholar] [CrossRef]
- Yu, L.; Batlle, F.; Carrera, J.; Lloret, A. A coupled model for prediction of settlement and gas flow in MSW landfills. Int. J. Numer. Anal. Meth. Geomech. 2010, 34, 1169–1190. [Google Scholar] [CrossRef]
- Li, Y.C.; Cleall, P.J.; Ma, X.F.; Zhan, T.L.; Chen, Y.M. Gas pressure model for layered municipal solid waste landfills. J. Environ. Eng. 2012, 138, 752–760. [Google Scholar] [CrossRef]
- Feng, S.J.; Zheng, Q.T. A two-dimensional gas flow model for layered municipal solid waste landfills. Comput. Geotech. 2015, 63, 135–145. [Google Scholar] [CrossRef]
- Feng, S.J.; Zheng, Q.T.; Xie, H.J. A gas flow model for layered landfills with vertical extraction wells. Waste Manag. 2017, 66, 103–113. [Google Scholar] [CrossRef] [PubMed]
- Arigala, S.G.; Tsotsis, T.T.; Webster, I.A.; Yortsos, Y.C. Gas generation, transport, and extraction in landfills. J. Environ. Eng. 1995, 121, 33–44. [Google Scholar] [CrossRef]
- Amini, H.R.; Reinhart, D.R.; Niskanen, A. Comparison of first-order-decay modeled and actual field measured municipal solid waste landfill methane data. Waste Manag. 2013, 33, 2720–2728. [Google Scholar] [CrossRef]
- Majdinasab, A.; Zhang, Z.; Yuan, Q. Modelling of landfill gas generation: A review. Rev. Environ. Sci. Bio/Technol. 2017, 16, 361–380. [Google Scholar] [CrossRef]
- Liu, X.D.; Shi, J.; Qian, X.; Hu, Y.; Peng, G. One-dimensional model for municipal solid waste (MSW) settlement considering coupled mechanical-hydraulic-gaseous effect and concise calculation. Waste Manag. 2011, 31, 2473–2483. [Google Scholar] [CrossRef]
- SWAMA. Comparison of Models for Predicting Landfill Methane Recovery Publication; The Solid Waste Association of North America (SWANA): San Diego, CA, USA, 1998. [Google Scholar]
- Fredlund, D.G.; Rahardjo, H. Soil Mechanics for Unsaturated Soils; John Wiley & Sons: Hoboken, NJ, USA, 1993. [Google Scholar]
- COMSOL. COMSOL Multiphysics v5.5. 2020. [Google Scholar]
- Xu, X.B.; Zhan, T.L.T.; Chen, Y.M.; Beaven, R.P. Intrinsic and relative permeabilities of shredded municipal solid wastes from the Qizishan landfill, China. Can. Geotech. J. 2014, 51, 1243–1252. [Google Scholar] [CrossRef]
- Zhang, T.; Shi, J.; Qian, X.; Ai, Y. Temperature and gas pressure monitoring and leachate pumping tests in a newly filled MSW layer of a landfill. Int. J. Environ. Res. 2019, 13, 1–19. [Google Scholar] [CrossRef]
- Shi, J.; Wu, X.; Ai, Y.; Zhang, Z. Laboratory test investigations on soil water characteristic curve and air permeability of municipal solid waste. Waste Manag. Res. 2018, 36, 463–470. [Google Scholar] [CrossRef]
- Guerrero, J.S.P.; Pimentel, L.; Skaggs, T.H.; Van Genuchten, M.T. Analytical solution of the advection-diffusion transport equation using a change-of-variable and integral transform technique. Int. J. Heat Mass Transf. 2009, 52, 3297–3304. [Google Scholar] [CrossRef]








| Parameters | Value |
|---|---|
| kz,1 (m∙s−1) | 5 × 10−7 |
| kz,2 (m∙s−1) | 1.2 × 10−6 |
| n0,1 | 0.5 |
| n0,2 | 0.5 |
| Sl0,1 | 0 |
| Sl0,2 | 0 |
| u0,1 (Pa) | 0 |
| u0,2 (Pa) | 0 |
| T1 (K) | 310 |
| T2 (K) | 310 |
| (kPa−1) | −5 × 10−20 |
| (kPa−1) | −2 × 10−4 |
| ω (kg∙mol−1) | 0.03 |
| R (J∙mol−1∙K−1) | 8.314 |
| GT1 (kg∙m−3) | 100 |
| GT2 (kg∙m−3) | 220 |
| λ1 (year−1) | 2.523 |
| λ2 (year−1) | 0.02523 |
| Parameter | Group 1 | Group 2 | Group 3 |
|---|---|---|---|
| α1 (m2∙s−1) | 177,365 | 147,858 | 217,613 |
| α2 (m2∙s−1) | 177,365 | 147,858 | 217,613 |
| Sl0,1 | 0 | 0 | 0.2 |
| Sl0,2 | 0 | 0 | 0.2 |
| T1 (K) | 310 | 310 | 330 |
| T2 (K) | 310 | 310 | 330 |
| (kPa−1) | 0 | −8 × 10−4 | −2 × 10−4 |
| (kPa−1) | 0 | −8 × 10−4 | −2 × 10−4 |
| Parameters | Value |
|---|---|
| kz1 (m∙s−1) [32] | 1 × 10−7 |
| kz,2 (m∙s−1) [21] | 6 × 10−8 |
| kz,3 (m∙s−1) [32] | 3 × 10−7 |
| kc (m∙s−1) [19] | 3 × 10−8 |
| hc (m) [19] | 1 |
| n0,1 [30,31] | 0.667 |
| n0,2 [31,32] | 0.333 |
| n0,3 [30,31] | 0.737 |
| Sl0,1 [30,31] | 0.8 |
| Sl0,2 [30,31] | 0.78 |
| Sl0,3 [30,31] | 0.75 |
| T1 (K) [19] | 310 |
| T2 (K) [19] | 310 |
| T3 (K) [19] | 310 |
| (kPa−1) [28] | −6 × 10−4 |
| (kPa−1) [28] | −6 × 10−4 |
| (kPa−1) [28] | −6 × 10−4 |
| ω (kg∙mol−1) [8,23] | 0.03 |
| R (J∙mol−1∙K−1) [8,23] | 8.314 |
| GT (kg∙m−3) [21] | 138 |
| λ (year−1) [21] | 0.7 |
Publisher’s Note: MDPI stays neutral with regard to jurisdictional claims in published maps and institutional affiliations. |
© 2022 by the authors. Licensee MDPI, Basel, Switzerland. This article is an open access article distributed under the terms and conditions of the Creative Commons Attribution (CC BY) license (https://creativecommons.org/licenses/by/4.0/).
Share and Cite
Wu, X.; Shi, J.; Zhang, T.; Li, Y.; Shu, S. Transient and Quasi-Steady-State Analytical Methods for Simulating a Vertical Gas Flow in a Landfill with Layered Municipal Solid Waste. Mathematics 2022, 10, 3658. https://doi.org/10.3390/math10193658
Wu X, Shi J, Zhang T, Li Y, Shu S. Transient and Quasi-Steady-State Analytical Methods for Simulating a Vertical Gas Flow in a Landfill with Layered Municipal Solid Waste. Mathematics. 2022; 10(19):3658. https://doi.org/10.3390/math10193658
Chicago/Turabian StyleWu, Xun, Jianyong Shi, Tao Zhang, Yuping Li, and Shi Shu. 2022. "Transient and Quasi-Steady-State Analytical Methods for Simulating a Vertical Gas Flow in a Landfill with Layered Municipal Solid Waste" Mathematics 10, no. 19: 3658. https://doi.org/10.3390/math10193658
APA StyleWu, X., Shi, J., Zhang, T., Li, Y., & Shu, S. (2022). Transient and Quasi-Steady-State Analytical Methods for Simulating a Vertical Gas Flow in a Landfill with Layered Municipal Solid Waste. Mathematics, 10(19), 3658. https://doi.org/10.3390/math10193658

