Abstract
In this work, a new family of distributions based on the Laplace distribution is introduced. We define this new family by its stochastic representation as the sum of two independent random variables, one with a Laplace distribution and the other with an exponential distribution. Using a Monte Carlo simulation study, the statistical performance of the estimators obtained by the moments and maximum likelihood methods were empirically evaluated. We studied the coverage probabilities and mean length of the confidence intervals of the corresponding parameters based on the asymptotic normality of these estimators. This simulation study reported a good statistical performance of these estimators. Fits were made to three real data sets with the new distribution, two related to chemical concentrations and one to the environment, comparing it with three similar distributions given in the literature. We have used information criteria for the selection of models. These results showed that the exponentially modified Laplace model can be an alternative distribution to model skewed data with high kurtosis. The new approach is a contribution to the tools of statisticians and various professionals interested in modeling data with high kurtosis.
MSC:
62P12
1. Introduction
There are several investigations that use the Laplace distribution to model data from certain fields based on an empirical fit using goodness-of-fit techniques. For example, in environmental problems, the Laplace distribution is used to analyze (or model) random variables that determine maximum pollution values and describe times of high pollution. In mining, the Laplace distribution is used to analyze the mineral content in soil samples [1,2].
However, not all data related to these types of problems have a symmetric behavior. For this reason, other distributions have been proposed that are capable of better modeling this type of data. In this sense, Agu and Onwukwe [3] presented the modified Laplace distribution (), Grushka [4] presented the exponentially modified Gaussian distribution () and Reyes et al. [5] presented the exponentially modified logistic distribution (). One of the advantages of these new probability distributions obtained through mixtures is that the obtained distributions generally have longer tails than the base distribution, thus giving rise to better fits for empirical frequency distributions, [4,5].
Our research is based on the theory of probability distributions and based on the process of mixtures of probability distributions, it proposes a new parametric probability distribution using the Laplace distribution. The new distribution depends on three parameters and is obtained by adding two independent random variables: one with a Laplace distribution and the other with an exponential distribution. This distribution can be used as an alternative to some existing distributions. The density function of the new distribution is obtained using the stochastic representation where X and V are independent random variables, such that X is standard Laplace distribution and V is exponentially distributed with parameter , where is the location parameter, is the scale parameter, and is the skewness parameter. This document is organized as follows: Section 2, in order to make this work self-contained, presents the probability distributions of the Laplace, exponential, modified Laplace, exponentially modified Gaussian, and exponentially modified logistic distributions with some characteristics of these that will be useful later. In Section 3, the exponentially modified Laplace probability distribution is constructed, obtaining the density and the main characteristics of the distribution. In Section 4, the methods of moments and maximum likelihood are presented to estimate the parameters of the distribution. A simulation study for the theoretical validation of the model is also presented. Section 5 shows a comparative analysis and a discussion of the results obtained by fitting the different data sets with the modified Laplace (), exponentially modified Gaussian (), and exponentially modified logistic distributions () and the proposed exponentially modified Laplace distribution (). Finally, in Section 6, conclusions are drawn from the work.
2. Preliminaries
The classical Laplace distribution (also known as Laplace’s first law) is a probability distribution, given by the density function
where and are the location and scale parameters, respectively (Johnson et al. [6]), and we will denote it as . When the location parameter is equal to zero and the scale parameter is equal to one, then the standard Laplace distribution function is obtained, denoted by . The nth moment for a random variable , is given by:
The continuous random variable, say X, is said to have an exponential distribution if it has the following probability density function:
where is called the rate of the distribution and will be represented as . The nth moment for a random variable is given by the following expression:
Agu and Onwukwe [3] presented the modified Laplace distribution whose density function is given by
, which is denoted by .
The of a random variable with an exponentially modified Gaussian distribution (Grushka [4]) is given by:
and is denoted as , where .
A random variable X has a logistic distribution with location parameter and scale parameter if its density function is:
which is denoted as . When the location parameter is 0 and the scale parameter is 1, then the standard logistic distribution function is obtained.
Reyes et al. [5], using the methodology given by [4], introduces the exponentially modified logistic distribution by the following stochastic representation:
where and are random independent variables and are denoted by , transforming this into a more flexible distribution in terms of working with data that have high kurtosis. Its function is given by:
and we denote as .
3. Exponentially Modified Laplace Distribution
In this section, the exponentially modified Laplace distribution () is presented using the Grushka methodology [4], considering the location and scale parameters. This distribution is obtained by substituting the normal distribution for the standard Laplace distribution in the stochastic representation. The flexibility of this new distribution allows better capture of outliers. We will start by deriving its density function.
3.1. Density Function
The exponentially modified Laplace distribution admits the following stochastic representation as
where X and V are independent random variables such that and , where is the location parameter, is the scale parameter, and is the skewness parameter, so we say that Y follows an exponentially modified Laplace distribution and is denoted by .
Proposition 1.
Let Y be a random variable such that . Then, its probability density function (pdf) is given by
Proof.
Proposition 2.
If and , then .
Proof.
If in the density function given in (4), the result is obtained. □
Figure 1 graphically illustrates the behavior of the density function of the exponentially modified Laplace distribution and the standard Laplace for different values of (upper), it is observed that as the parameter decreases, the tails become heavier. On the other hand, on the lower portion of the figure, the densities of the standard Laplace, modified Laplace, and exponentially modified Laplace distributions are plotted, in which greater flexibility is observed in the model.
Figure 1.
Graphical comparison of EML distributions with L for different values of (upper) and with ML and L (lower).
Proposition 3.
Let Y be a random variable such that , then its cdf is given by
Proof.
Using the definition of cdf, we have
solving the integral for, and , the result (5) is obtained. □
Corollary 1.
Let Y be a random variable such that . Then, the reliability function defined as is given by
Proof.
Using the reliability function definition and (5), the result is directly obtained. □
Through Figure 2, we graphically illustrate the behavior of the cumulative distribution function (cdf) for the exponentially modified Laplace distribution. Compared to the standard Laplace distribution, it reflects a slower growth, implying a greater capture of outlier data.
Figure 2.
Comparison of the cdf of the distribution (solid line) for (upper) and (lower) with the cdf of the distribution L (dashed line).
3.2. Reliability Function Comparison of ML, EMLOG, EMG, and EML Distributions
The reliability function of a random variable Y indicates the probability that a variable exceeds the value of y. In this section, using Table 1, for a fixed value of , we make a brief comparison where it is observed that the tails of the distribution are heavier than those of the , , and distributions.
Table 1.
Reliability function comparison for distributions , , , and .
Likewise, observing the graphical illustration represented in Figure 3, it can be seen that the tails of the distribution are heavier than those of the , , and distributions.
Figure 3.
Comparison of the reliability function of the distribution (solid line) for with the reliability function of the , , and distributions (dashed line, dotted line, dash-dotted line).
3.3. Moments
The following proposition presents us with a formula that, with the use of numerical techniques, allows us to calculate the rth moment of an exponentially modified Laplace distribution.
Proposition 4.
If , the rth moment of Y is given by:
Proof.
Corollary 2.
Let , then
Proof.
Using Proposition 4 with we obtain the results. □
Corollary 3.
Let . Then, the mean and variance are given, respectively, by
Proof.
Using and obtained in Corollary 2, and substituting in , we obtain the results. □
Corollary 4.
Let , then the asymmetry and kurtosis coefficient of Y is given by
Proof.
Using the standardized skewness and kurtosis coefficients of Y, the result is reached. □
Figure 4 shows that the kurtosis coefficient for the distribution () takes values in the interval , decreasing for values of between and increasing for values greater than one.
Figure 4.
Graphical comparison of the kurtosis coefficient between the exponentially modified Laplace distribution (solid line), the exponentially modified Gaussian distribution (dashed line), and the exponentially modified logistic distribution (dotted line).
4. Estimation
4.1. Moment Estimators
The following proposition shows analytic expressions for the moment estimators of , , and for the exponentially modified Laplace distribution ().
Proposition 5.
Let be a random sample from the distribution of random variable , so that the moment estimators for are obtained by solving the following numerical equation for μ:
later, the moment estimator for σ is obtained by substituting the moment estimator for μ (), in the following equation:
and finally, the estimator of moments for λ is obtained:
where , , , and are the sample moments, and sample variance, respectively.
Proof.
Equating the first three population moments to the sample moments, we obtain:
solving the system, we arrive at the result. □
4.2. Likelihood Function
Consider a random sample of size n, , from the distribution . So, the log-likelihood function for can be expressed as
where .
Maximum likelihood estimators (MLEs) were acquired maximizing the likelihood function given in (7). Since there is no analytical solution, we used the iterative numerical method “BFGS”, created by Byrd et al. [7]. The “BFGS” method is a limited-memory quasi-Newton method for approximating the Hessian matrix of the target distribution. This method allows us to numerically obtain the maximum likelihood estimates of the parameters of a distribution and their respective standard errors derived from the Hessian matrix.
4.3. Simulation Study
We used the Monte Carlo method to generate random numbers from the distribution . The results obtained are a sequence of n random numbers that are stored inside an array that we call vector. For this, we used 1000 samples of size 50, 100, 200 and 500, obtaining the estimates of the parameters by means of the moment and maximum likelihood methods. In addition, we analyze the standard deviation, average length of the confidence intervals, and the empirical coverage, for the parameters of the distribution, based on a 95% confidence level.
To develop the algorithm (Algorithm 1) we will use the following notation:
- n: The length of the vector.
- Y: A random variable with the distribution .
- : The PDF of .
- L1: Number of samples of size n.
- : Parameters.
| Algorithm 1: Monte Carlo algorithm to generate random numbers from the distribution |
|
Table 2 contains the values of the estimates of the parameters, standard deviation, average interval length, and empirical coverage, based on a 95% confidence interval from simulations obtained by the method of moments for 1000 generated samples of size n = 50, 100, 200, and 500 from the population with distribution . These estimates were obtained by solving the system of equations given in Proposition 5. Similarly, Table 3 shows the results of the simulation studies, illustrating the behavior of the MLEs. For each sample generated, MLEs are calculated numerically using the Newton–Raphson [8] procedure. In both tables, it can be seen that the simulations carried out by these methods show that the average estimates of the parameters are close to the proposed values. Additionally, the standard deviation and the average length of the interval decrease as the sample size increases. This is an expected result, since the ME and MLE are asymptotically consistent. On the other hand, the empirical coverage is adequate since it is close to 95%.
Table 2.
ME simulation of 1000 iterations of the model .
Table 3.
MLE simulation of 1000 iterations of the model .
5. Three Illustrative Examples with a Real Data Set
In this section, three applications are presented in which the parameter estimators are obtained based on the maximum likelihood method (MLE) for (, and ) through of the fitted models , , , and to a set of real data. The numerical illustrations below are intended to show that the model is an alternative to unimodal data modeling in different areas.
5.1. Illustrative Example 1
In our first illustration, the data set corresponds to the nickel content in soil samples analyzed at the Department of Mining (Department of Mines) of the University of Atacama, Chile, (see Appendix A, Table A1). Table 4 presents summary statistics for the data set of nickel content in soil samples, where and are the skewness and kurtosis coefficients of the sample, respectively. The moment estimators for these data are given by: .
Table 4.
Summary Statistics for the Nickel Concentration Data Set.
Table 5 shows the maximum likelihood estimates and the standard deviations for the , , , and models. In addition, we report the values of the Akaike [9] (AIC), Bayesian information criteria [10] (BIC), Akaike information criterion consistent [11] (CAIC), and Hannan–-Quinn information criterion [12] (HQIC). On the other hand, Figure 5 shows the histogram with estimated pdf. This indicates that the model fits the data better than the , , and models. This result is supported by Figure 6 based on theoretical versus empirical (QQ) quantile plots.
Table 5.
Maximum likelihood estimators for , , , and models for the soil nickel concentration data set, with their corresponding standard deviations in parentheses and comparison criteria AIC, BIC, CAIC, and HQIC.
Figure 5.
Histogram (upper) and tail (lower) for nickel concentration data set. Overlaid on top is the density with parameters estimated via MLE (solid line), exponentially modified Gaussian density with parameters estimated via MLE (dotted line), exponentially modified logistic (dashed line), and modified Laplace (dash-dotted line).
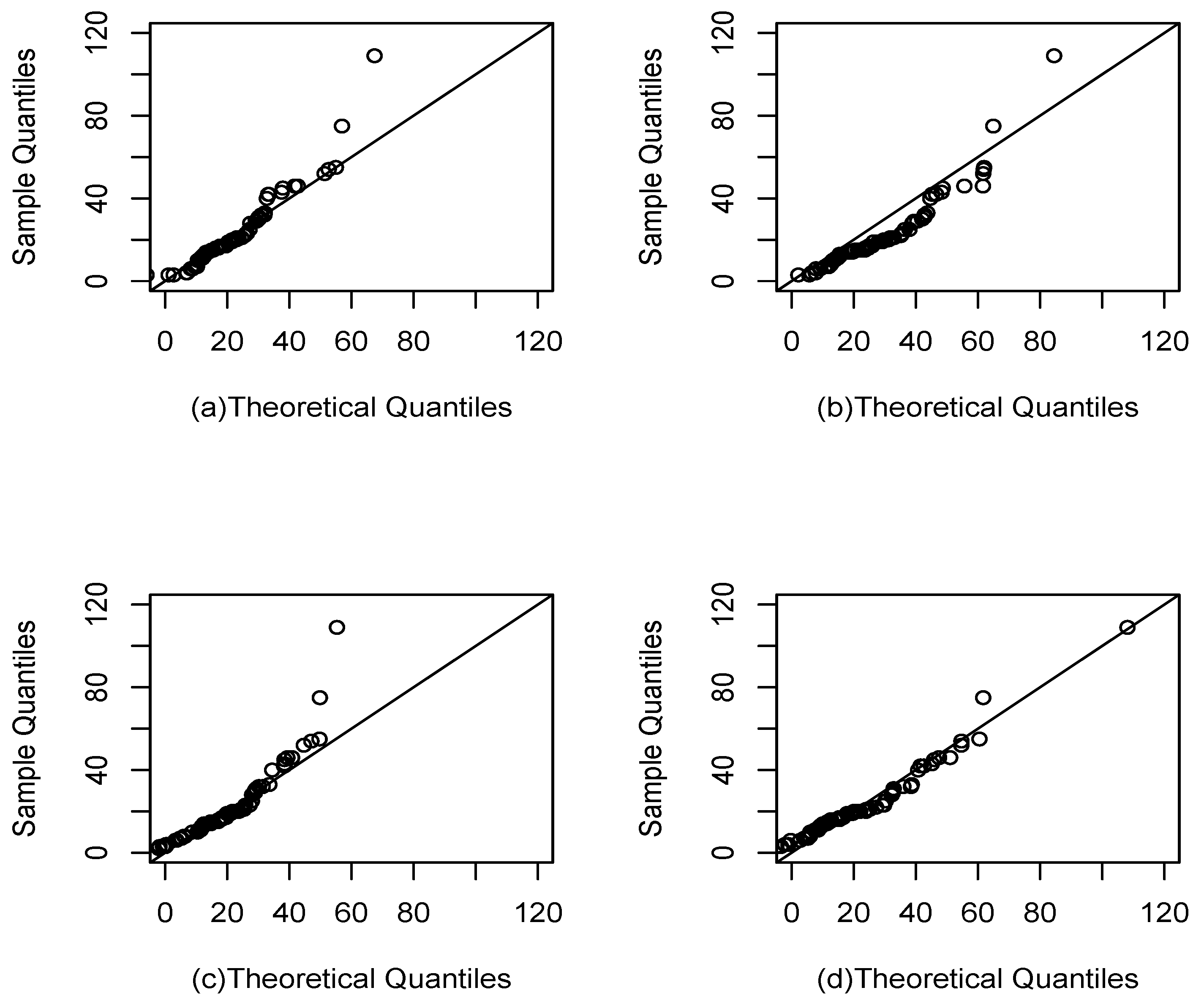
Figure 6.
QQ plot for nickel concentration data set. The modified Laplace density (a), exponentially modified logistic density (b), exponentially modified Gaussian density (c), and exponentially modified Laplace density (d).
Figure 5 presents the histogram of the data with adjustment of the modified Laplace, exponentially modified Laplace, exponentially modified Gaussian, and exponentially modified logistic (upper) distributions, fitted with the values of the maximum likelihood estimators of their parameters. Notice that the fitted exponentially modified Laplace distribution has heavier tails and a magnification of the upper tails of the soil nickel concentration data (lower).
On the other hand, Figure 6 shows the QQ plot of the fitted models. From these results, it can be seen that the exponentially modified Laplace distribution provided a better fit than the other distributions in consideration.
5.2. Illustrative Example 2
The second illustration is related to the neodymium content in soil samples analyzed at the Department of Mining (Department of Mines) of the University of Atacama, Chile (see Appendix A, Table A2). Table 6 presents summary statistics for the data set of the neodymium content in soil samples, where and are the skewness and kurtosis coefficients of the sample, respectively. The moment estimators for these data are given by: .
Table 6.
Summary statistics for neodymium concentration data.
The modified Laplace, exponentially modified logistic, exponentially modified Gaussian, and exponentially modified Laplace distributions were fitted to the data set. Table 7 shows the maximum likelihood estimates of the parameters, with the corresponding standard deviations () in parentheses, for the three mentioned distributions. The adjustment criteria (AIC, BIC, CAIC, and HQIC) indicate that the data fit better to the exponentially modified Laplace model, because they present a smaller or lower value.
Table 7.
Maximum likelihood estimators for models , , , and for the neodymium concentration data set in the soil, with their corresponding standard deviations in parentheses and comparison criteria AIC, BIC, CAIC, and HQIC.
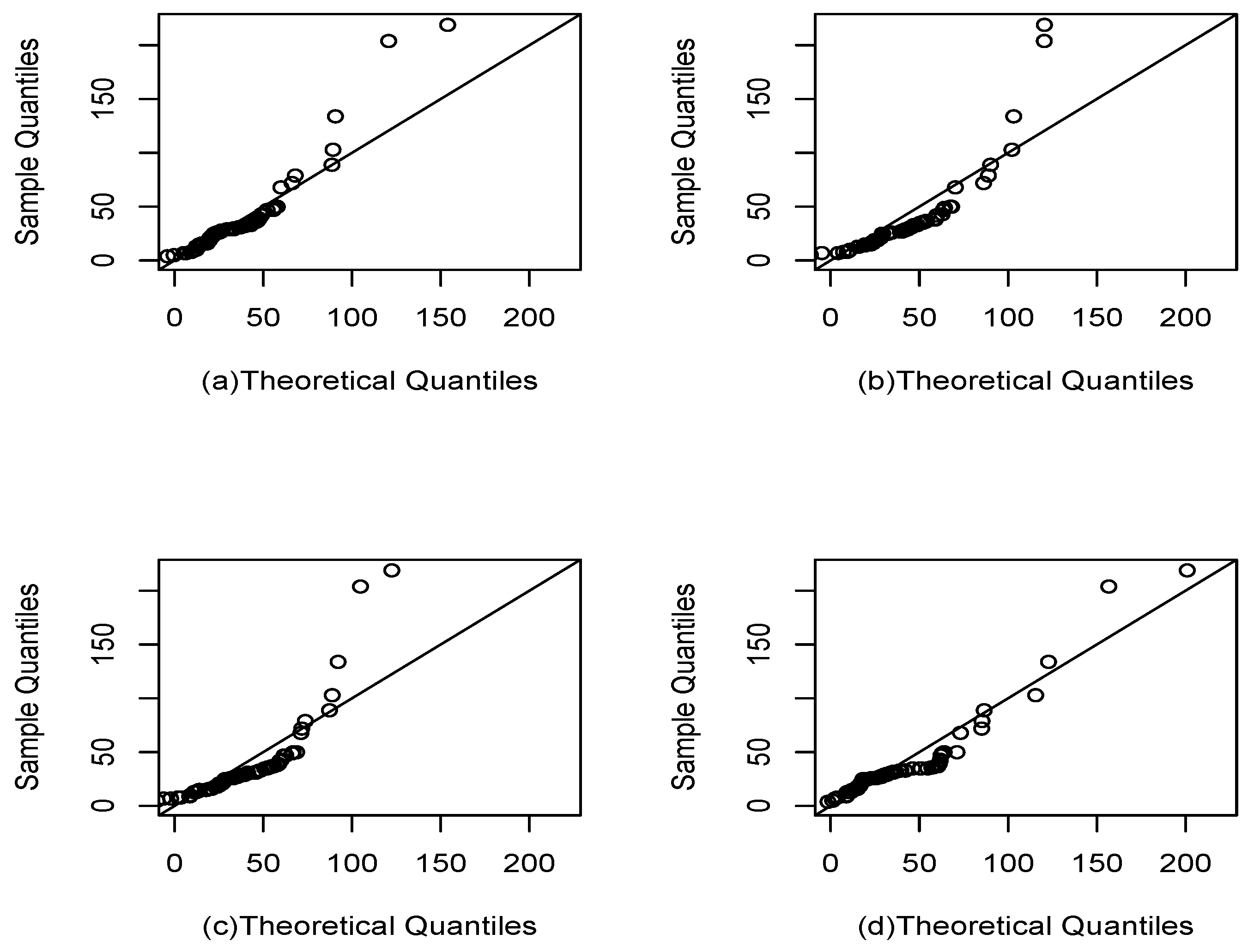
Figure 7 shows the histogram plots and a magnification of the upper tails of the soil neodymium concentration data with the modified Laplace, exponentially modified logistic, exponentially modified Gaussian, exponentially modified Laplace, and distributions fitted with the maximum likelihood estimators of its parameters where the fit of outliers is best observed. In addition, Figure 8 shows the QQ plot of the fitted models, observing that the proposed model achieves a better capture of extreme values.
Figure 7.
Histogram (upper) and tail (lower) for the neodymium concentration data set. The first graph shows the densities of the exponentially modified Laplace (solid line), Gaussian modified exponentially (dashed line), exponentially modified logistic (dotted line), and modified Laplace (dash-dotted line) distributions, with their parameters estimated by MLE.
Figure 8.
QQ plot for the neodymium concentration data set. The modified Laplace density (a), exponentially modified logistic density (b), exponentially modified Gaussian density (c), and exponentially modified Laplace density (d).
5.3. Illustrative Example 3
In this application, we used daily nitrogen concentration data obtained by chromatography [13]. Data are given in the Appendix A (Tabla Table A3). Table 8 presents summary statistics for the nitrogen concentration data set, where and are the sample skewness and kurtosis coefficients, respectively. Moment estimators for these data are given by: . Table 9 shows the maximum likelihood estimates for the parameters with their corresponding standard deviations () in parentheses for the modified Laplace, exponentially modified logistic, exponentially modified Gaussian and exponentially modified Laplace distributions. The fit criteria used, AIC, BIC, CAIC and HQIC, indicate that the exponentially modified Laplace model fits the data better.
Table 8.
Summary statistics for nitrogen concentration data.
Table 9.
Comparison of the maximum likelihood estimators for nitrogen concentration data between the , , , and distributions with their corresponding standard deviations in parentheses and comparison criteria AIC, BIC, CAIC and HQIC.
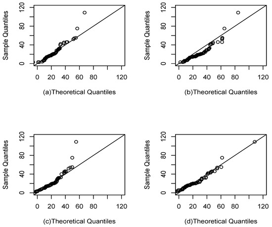
Figure 9 shows the histogram plots and a magnification of the lower tails of the nitrogen concentration data with the modified Laplace, exponentially modified logistic, exponentially modified Gaussian, and exponentially modified Laplace distributions fitted with the maximum likelihood estimators of its parameters where the fit of outliers is best observed. In addition, Figure 10 shows the QQ plot of the fitted models, observing that the proposed model achieves a better capture of extreme values.
Figure 9.
Histogram (upper) and tail (lower) for nitrogen concentration data set. The first graph shows the densities of exponentially modified Laplace (solid line), Gaussian modified exponentially (dashed line), exponentially modified logistic (dotted line) and modified Laplace (dash-dotted line) distributions, with their parameters estimated by MLE.
Figure 10.
QQ plot for Nitrogen concentration data set. The density (a), (b), density (c), and (d).
6. Conclusions
In this paper, a new and more flexible distribution, called the exponentially modified Laplace distribution, has been proposed. We estimate the parameters of the model by the moment and maximum likelihood methods. Likewise, we apply information criteria to select the models and evaluate the goodness of fit of the new distribution compared to other similar distributions in the current literature. We performed a Monte Carlo simulation study to empirically assess the statistical performance of the estimates obtained. In addition, we study the standard deviations, the mean length of the confidence intervals, and the empirical coverage based on 95% confidence intervals. This simulation study reported a good statistical performance of these estimates. Three illustrations were made using data related to the chemical and environmental concentrations, comparing them with three similar distributions presented in the literature. The analyses reported a good performance of the new distribution compared to similar distributions, providing evidence that the proposed model is a good alternative for modeling skewed and high-kurtosis data. These results reported that the exponentially modified Laplace model can be an alternative to analyze this type of data. The new approach is a contribution to the tools of statisticians and various professionals interested in data modeling. From these applications, we have obtained useful information that can be used by professionals and users of statistics. A limitation of the proposed distribution is the loss of goodness of fit for data sets whose sample kurtosis is less than five. Some topics for future research based on this new distribution are related to the study of multivariate procedures, quantile regression, spatial methods, temporal methods, partial least squares, principal components, etc.
Author Contributions
Data curation, J.R.; formal analysis, J.R., M.A.R., P.L.C. and J.A.; investigation, J.R., M.A.R., P.L.C.; methodology, J.R., M.A.R., P.L.C. and J.A.; writing—original draft, J.R., M.A.R., P.L.C. and J.A.; writing—review and editing, M.A.R., P.L.C. and J.A.; funding acquisition, J.R., M.A.R. and J.A. All authors have read and agreed to the published version of the manuscript.
Funding
Research of J.R., M.A.R. and J.A. was supported by the Universidad de Antofagasta through project SEMILLERO UA 2022.
Data Availability Statement
The analyzed data are available in the Appendix A of the article.
Conflicts of Interest
The authors declare no conflict of interest.
Appendix A
Table A1.
Nickel Data.
Table A1.
Nickel Data.
| 2 | 3 | 3 | 3 | 4 | 4 | 6 | 6 | 7 | 7 | 7 | 8 | 8 | 10 | 10 | 11 | 11 | 11 |
| 12 | 12 | 13 | 13 | 14 | 14 | 14 | 14 | 14 | 14 | 14 | 15 | 15 | 15 | 15 | 15 | 16 | 16 |
| 16 | 16 | 16 | 16 | 17 | 17 | 17 | 17 | 17 | 19 | 19 | 19 | 19 | 19 | 20 | 20 | 20 | 20 |
| 20 | 20 | 21 | 21 | 21 | 21 | 22 | 23 | 23 | 25 | 25 | 28 | 29 | 29 | 30 | 31 | 32 | 32 |
| 33 | 40 | 42 | 42 | 43 | 45 | 46 | 46 | 52 | 54 | 55 | 75 | 109 |
Table A2.
Neodymium Data.
Table A2.
Neodymium Data.
| 47 | 26 | 29 | 22 | 33 | 16 | 7 | 13 | 4 | 31 | 27 | 13 | 36 | 8 | 42 | 15 | 5 | 29 |
| 25 | 29 | 36 | 18 | 16 | 50 | 18 | 28 | 16 | 29 | 10 | 31 | 7 | 15 | 32 | 33 | 35 | 31 |
| 72 | 89 | 37 | 43 | 29 | 35 | 14 | 25 | 21 | 8 | 26 | 49 | 47 | 19 | 14 | 33 | 35 | 21 |
| 25 | 30 | 15 | 27 | 27 | 9 | 26 | 33 | 13 | 204 | 33 | 38 | 25 | 22 | 35 | 31 | 39 | 24 |
| 50 | 103 | 28 | 219 | 134 | 68 | 25 | 37 | 21 | 26 | 36 | 32 | 79 | 19 |
Table A3.
Nitrogen Data.
Table A3.
Nitrogen Data.
| 0.607 | 0.605 | 0.606 | 0.606 | 0.609 | 0.631 | 0.617 | 0.626 |
| 0.610 | 0.611 | 0.610 | 0.606 | 0.610 | 0.612 | 0.614 | 0.613 |
| 0.614 | 0.614 | 0.615 | 0.616 | 0.616 | 0.616 | 0.616 | 0.615 |
| 0.616 | 0.616 | 0.616 | 0.618 | 0.617 | 0.617 | 0.617 | 0.617 |
| 0.617 | 0.617 | 0.617 | 0.619 | 0.619 | 0.618 | 0.618 | 0.622 |
| 0.619 | 0.620 | 0.620 | 0.619 | 0.617 | 0.616 | 0.614 | 0.617 |
| 0.611 | 0.611 | 0.612 | 0.611 | 0.612 | 0.612 | 0.612 | 0.613 |
| 0.610 | 0.612 | 0.613 | 0.614 | 0.613 | 0.612 | 0.610 | 0.609 |
| 0.613 | 0.612 | 0.616 | 0.612 | 0.611 | 0.611 | 0.613 | 0.609 |
| 0.612 | 0.612 | 0.612 | 0.605 | 0.604 | 0.615 | 0.620 | 0.622 |
| 0.617 | 0.619 | 0.621 | 0.622 | 0.630 | 0.626 | 0.616 | 0.617 |
| 0.621 | 0.623 | 0.625 | 0.626 | 0.624 | 0.618 | 0.618 | 0.618 |
| 0.621 | 0.623 | 0.625 | 0.626 | 0.624 | 0.618 | 0.618 | 0.618 |
| 0.622 | 0.623 | 0.623 | 0.608 | 0.624 | 0.620 | 0.619 | 0.615 |
| 0.611 | 0.615 | 0.612 | 0.620 | 0.623 | 0.627 | 0.628 | 0.625 |
| 0.627 | 0.628 | 0.626 | 0.627 | 0.626 | 0.625 | 0.625 | 0.625 |
| 0.624 | 0.626 | 0.627 | 0.626 | 0.628 | 0.626 | 0.619 | 0.618 |
| 0.627 | 0.626 | 0.626 | 0.627 | 0.626 | 0.626 | 0.628 | 0.629 |
| 0.627 | 0.627 | 0.627 | 0.627 | 0.625 | 0.625 | 0.629 | 0.623 |
| 0.619 | 0.573 | 0.565 | 0.585 | 0.595 | 0.608 | 0.614 | 0.614 |
| 0.612 | 0.615 | 0.616 | 0.617 | 0.615 | 0.615 | 0.615 | 0.614 |
| 0.610 | 0.610 | 0.611 | 0.611 | 0.611 | 0.612 | 0.610 | 0.609 |
| 0.611 | 0.614 | 0.617 | 0.617 | 0.620 | 0.622 | 0.619 | 0.618 |
| 0.619 | 0.622 | 0.618 | 0.619 | 0.620 | 0.619 | 0.620 | 0.621 |
| 0.617 | 0.620 | 0.621 | 0.623 | 0.626 | 0.627 | 0.626 | 0.626 |
| 0.627 | 0.626 | 0.628 | 0.626 | 0.624 | 0.624 | 0.621 | 0.620 |
| 0.621 | 0.619 | 0.621 | 0.626 | 0.627 | 0.624 | 0.622 | 0.622 |
| 0.622 | 0.622 | 0.622 | 0.625 | 0.622 | 0.621 | 0.618 | 0.616 |
| 0.621 | 0.619 | 0.623 | 0.626 | 0.625 | 0.624 | 0.619 | 0.620 |
| 0.630 | 0.629 | 0.630 | 0.631 | 0.632 | 0.624 | 0.625 | 0.628 |
| 0.623 | 0.628 | 0.626 | 0.629 | 0.628 | 0.630 | 0.618 | 0.607 |
| 0.631 | 0.630 | 0.629 | 0.630 | 0.629 | 0.631 | 0.632 | 0.633 |
| 0.625 | 0.619 | 0.619 | 0.653 | 0.624 | 0.622 | 0.645 | 0.619 |
| 0.620 | 0.619 | 0.618 | 0.620 | 0.620 | 0.621 | 0.618 | 0.614 |
| 0.617 | 0.616 | 0.616 | 0.616 | 0.615 | 0.616 | 0.617 | 0.616 |
| 0.615 | 0.617 | 0.616 | 0.614 | 0.616 | 0.617 | 0.616 | 0.617 |
| 0.618 | 0.618 | 0.619 | 0.622 | 0.622 | 0.623 | 0.622 |
References
- Oosterbaan, R.J. Chapter 6, Frequency and Regression Analysis. In Drainage Principles and Applications, Publication 16; En Ritzema, H.P., Ed.; International Institute for Land Reclamation and Improvement (ILRI): Wageningen, The Netherlands, 1994; pp. 175–224. ISBN 90-70754-33-9. [Google Scholar]
- Burke, E.J.; Perry, R.H.; Brown, S.J. An extreme value analysis of UK drought and projections of change in the future. J. Hydrol. 2010, 388, 131. [Google Scholar] [CrossRef]
- Agu, F.I.; Onwukwe, E. Modified Laplace Distribution, Its Statistical Properties and Applications Asian. J. Probab. Stat. 2019, 4, 49277. [Google Scholar]
- Grushka, E. Characterization of Exponentially Modified Gaussian Peaks in Chromatography. Anal. Chem. 1972, 44, 1733–1738. [Google Scholar] [CrossRef] [PubMed]
- Reyes, J.; Venega, O.; Gómez, H.W. Exponentially Modified Logistic Distribution with Application to Mining and Nutrition. Appl. Math. Inf. Sci. 2018, 12, 1–8. [Google Scholar] [CrossRef]
- Johnson, N.L.; Kotz, S.; Balakrishnan, N. Continuous Univariate Distributions, 2nd ed.; Wiley: New York, NY, USA, 1995. [Google Scholar]
- Byrd, R.H.; Lu, P.; Nocedal, J.; Zhu, C. A Limited Memory Algorithm for Bound Constrained Optimization. SIAM J. Sci. Comput. 1995, 16, 1190–1208. [Google Scholar] [CrossRef]
- Tjalling, J.Y. Historical development of the Newton-Raphson method. SIAM Rev. 1995, 37, 531–551. [Google Scholar]
- Akaike, H. A new look at the statistical model identification. IEEE Trans. Autom. Control 1974, 19, 716–723. [Google Scholar] [CrossRef]
- Schwarz, G. Estimating the dimension of a model. Ann. Stat. 1978, 6, 461–464. [Google Scholar] [CrossRef]
- Bozdogan, H. Model selection and Akaike’s information criterion (AIC): The general theory and its analytical extensions. Psychometrika 1987, 52, 345–370. [Google Scholar] [CrossRef]
- Hannan, E.J.; Quinn, B.G. The Determination of the order of an autoregression. J. R. Stat. Soc. Ser. B 1979, 41, 190–195. [Google Scholar] [CrossRef]
- Torres de Young, S. Introduccion a la Cromatografia; Universidad Nacional de Colombia: Palmira, Colombia, 1994; 134p. [Google Scholar]
Publisher’s Note: MDPI stays neutral with regard to jurisdictional claims in published maps and institutional affiliations. |
© 2022 by the authors. Licensee MDPI, Basel, Switzerland. This article is an open access article distributed under the terms and conditions of the Creative Commons Attribution (CC BY) license (https://creativecommons.org/licenses/by/4.0/).









