Abstract
The food web is a crucial conceptual tool for understanding the dynamics of energy transfer in an ecosystem, as well as the feeding relationships among species within a community. It also reveals species interactions and community structure. As a result, an ecological food web system with two predators competing for prey while experiencing fear was developed and studied. The properties of the solution of the system were determined, and all potential equilibrium points were identified. The dynamic behavior in their immediate surroundings was examined both locally and globally. The system’s persistence demands were calculated, and all conceivable forms of local bifurcations were investigated. With the aid of MATLAB, a numerical simulation was used to clarify the control set of parameters and comprehend the overall dynamics. For the system to continue, it was determined that extremely high levels of either fear or harvesting lead to the extinction of one of the predator species. Moreover, in contrast to the ecological assumption that if two species are vying for the same resources, population values cannot be constant, this study showed that it is possible for two competing species to subsist on the same resources.
MSC:
92D25; 34D20; 37G10
1. Introduction
A community of creatures and their physical surroundings can interact to form a structure known as an ecosystem. The food web system is essential to ecology, as one of the essential components for maintaining life and developing a species is food. A “food web” describes the flow of energy through several species in a given area; it can generally be thought of as being crucial to the survival of organisms in nature []. In this paper, the food web depicts a single prey being consumed by two predators. Predation may be regarded as a direct link between nutrition and the existence of species in nature, because it can result in the extinction of one species without the occurrence of another or in the dominance of one species over the other. If the type of predation induces fear in the prey, the number of predators of one prey can have an effect on the survival and diversity of the species. Although predators with a single predation process can enhance their share by congregating on a single prey, the focus of this study is on the sensation of dread experienced by the prey during predation. Notably, a fear response in prey can cause it to die and become unavailable to predators. As a result, this behavior may have an impact on the predator’s ability to exist.
For the food web model, functional response is crucial. It describes how each predator hunts prey based on its density []. The three functional responses that Holling hypothesized for the predator are known as Holling types I, II, and III []. Despite including the inhibitory impact at high concentrations, Andrews proposed the Monod-Haldane function for low concentrations []. Predation decreases when prey populations are high, because the prey can better protect themselves or blend in under such conditions []. This phenomenon is referred to as group defense.
On the other hand, predation fear plays a significant role in the development of predator–prey relationships, mainly by making it more challenging for predators to hunt [,,,,]. Fear of predation (perceived predation risk) caused by the mere presence of a predator within an ecosystem is increasingly regarded as an ecological force that rivals or exceeds that of direct killing []. Therefore, in recent years, many scientists have started investigating the predator–prey model based on the fear component [,,,,,,,,,]. By taking into account both fear and group defense of prey in the presence of a predator, Sasmal and Takeuchi [] developed an ODE model on predator–prey interactions. They considered the Monod-Haldane type response function, which can capture the group defense of prey. The combined impacts of fear, prey refuge, and extra food for the predator in a predator–prey system with Beddington-type functional response were examined by SK et al. []. A modified Leslie-Gower predator–prey model incorporating the fear effect and nonlinear harvesting was created and studied by Al-Momen and Naji []. Those authors employed the Holling type-II functional response to model the predator’s eating process. A predator–prey system with a Holling type II functional response that combines predation fear with predator-dependent prey refuge was conceived and explored by Ibrahim et al. in []. The effects of anti-predator behavior resulting from fear of predator species were investigated by Xie and Zhang [] in a predator–prey system with Holling III type functional response and prey shelters. Kumar and Kumari [] devised and investigated a fractional-order delayed predator–prey system which took into account the fear effect. Since they considered the time delay in terms of the effects of fear, the system did not undergo any dynamic changes as a result of an absence of fear.
Later, several investigations were conducted on the impact of predation fear on the dynamic of the food chains of three species and food webs systems [,,,,,,,]. In a three-species food chain model, Kumar and Kumari [] investigated the effects of fear on the dynamics in cases whereby the top predator’s fear inhibits the growth rate of the intermediate predator, while the intermediate predator’s fear suppresses the growth rate of the prey. For the purpose of examining the effects of fear, Cong et al. [] developed a three-species food chain model to determine the cost and benefit of anti-predator behaviors. They did this by applying the traditional Holling’s time budget argument to calculate the predator’s functional response. Rahi et al. [] proposed a predator–prey interaction model in which a predator’s population is divided into two stages. To include the additional supply of food for the predator, they changed Holling’s disk equation to describe how the prey is consumed. To better understand how predation fear affects the dynamics of a food chain system comprising three species, Maghool and Naji [] developed and investigated a novel model. As each prey in the system has an anti-predator trait, they assumed that food is moved from the lower to the upper level by a Sokol-Howell type functional response. A tritrophic food-chain model with the inclusion of prey refuge terms was developed by Saha and Samanta [], in which consumers hunt for prey using Holling type-III functional responses. Maghool and Naji [] mathematically constructed a three-species food web model with two competing prey species and one predator experiencing fear. They took advantage of modified Holling type II functional responses as well as intraspecific competition within the predator population.
Harvesting can cause severe damage to the ecosystem of a given region. As such, if the activity is inevitable, then the governing authority of that area should implement a regulating policy that would minimize such damage. Harvesting has a substantial impact on the dynamic evolution of a population subjected to it []. Therefore, it is important to take into account the harvesting of species in predator–prey models from the standpoint of financial income. Numerous harvesting techniques have been applied in the literature. While some of them employed age selection, proportional, and constant harvesting, others thought about nonlinear harvesting. Investigations of how harvesting affects ecological system dynamics have attracted a lot of attention [,,,,,,,,].
Keeping these notions in mind, the issue of hunting when two predators are competing for the same prey is addressed in the current work. It is assumed that the prey species have a capacity for collective defense. Therefore, the dynamics and bifurcations of a two-predator model feeding on a single prey with a functional response of the Monod-Haldane type are investigated in the presence of harvesting.
2. The Model Formulation
In this section, a real-world food web system under the influence of fear and harvesting is formulated using a mathematical model. The following hypotheses are used to create the model, with prey, first predator density, and second predator density at time t represented by , and , respectively.
- Fear imposed by predators has several effects on prey populations, including foraging frequency, habitat utilization, reproductive speed, and physiological changes []. As a result, it is hypothesized that predators use the fear function to influence the prey’s growth rate.
- The prey population grows logistically in the absence of predation.
- The predators consume the prey depending on the using Monod–Haldane-type response function; their numbers are reduced due to intraspecific competition. Moreover, it is assumed that interspecies competition exists.
- Finally, the system is imposed under the effect of fixed-offer harvesting.
Depending on the above hypotheses, the dynamics of a food-web system can be simulated using the following set of differential equations.
where the system domain is given by . The system parameters, all assumed to be positive, are described in Table 1.
Table 1.
Description of parameters.
The existence of a large number of parameters in any dynamic system presents difficulties in terms of performing analyses. Therefore, in the interests of simplification, the following dimensionless variables and parameters are utilized in the present system (1).
Then, the resulting dimensionless system can be written as
with the initial condition , , and .
3. Properties of the Solution
According to the right-hand side of the system (2), all the interaction functions are continuous and have continuous partial derivatives with respect to variables , and . Therefore, they are Lipschitz functions, and as such, the system with an initial condition has a unique solution []. Moreover, the following theorem can determine the bounds of all existing solutions.
Theorem 1.
In the region, all existing system (2) solutions are uniformly bounded, where
Proof.
From the first equation, it is observed that
Direct computation shows that . Now, let us define the function . Differentiating the function with respect to time , it is obtained, such that:
where , , and . Then
Using some simple calculations yields:
where . Note that , due to the biological meaning of these parameters, which is known as a survival condition of .
Accordingly, it is determined that
Hence, direct computation indicates that for , , thereby completing the proof. □
4. Stability Analysis
In this section, the possible equilibrium points (EQPs) are determined, and then a stability analysis for them is undertaken. Different EQPs may exist for the system (2); these are summarized as:
The evanescence equilibrium point (EEQP), denoted by , always exists.
The predation-free equilibrium point (PDFEQP), denoted by , with , which exists under the survival condition .
The second predator-free equilibrium point (SPFEQP) is denoted by , where is given by:
When is the positive root of the equation:
where
As a result, there is at least one positive SPFEQP, provided that the following requirements are met.
The first predator-free equilibrium point (FPFEQP) is denoted by , where is given by:
where is a positive root of the following equation.
where
Similarly, there is at least one positive FPFEQP, provided that the following requirements are met.
The interior equilibrium point (IEQP), denoted by , can be determined by solving the following system.
Consequently, solving the last equation of (11) with respect to gives:
Substituting, Equation (12) in the first two equations of (11) gives the following two isoclines:
Remember that if the two isoclines given in (13) meet at a single point, say in the first quadrant of the plane, which satisfies the positivity of , the IEQP will exist uniquely in the interior of the state space of system (2). After some algebraic work, the isoclines in (13) are as follows when :
where
It is clear that the two isoclines in Equation (14) cross the axis in their respective locations at those places.
provided that the following conditions are satisfied:
It should be noted that by using the condition , the isocline is guaranteed to have its maximum on the right side of the plane. Consequently, if the following sufficient set of requirements is satisfied in addition to condition (16a), it is simple to verify that the two isoclines produced by Equation (13) intersect at a singular positive point, i.e., , in the first quadrant of the plane.
By finding the Jacobian matrix (JM) and then their eigenvalues, the local stability near the above EQPs can be investigated. The JM of System (2) at is as follows:
where
Therefore, the JM at EEQP can be written as:
Accordingly, the eigenvalues of can be written as:
Therefore, EEQP is a locally asymptotically stable (LAS) if and only if the following condition is met:
The JM at PDFEQP is determined as:
where , and . Consequently, the eigenvalues of are given by
Clearly, all the above eigenvalues are negative. Then, PDFEQP is LAS if the following requirements are satisfied:
At SPFEQP, the JM can be written as:
where
with , , and . Therefore, the characteristic equation of can be written as:
where , and . Direct computation shows that all the eigenvalues of and roots of the Equation (26) have negative real parts, provided that the following conditions are met.
Similarly, at FPFEQP, JM can be written as:
where
with , , and . Therefore, the equation of can be written as:
where and . Direct computation shows that all the eigenvalues of and roots of Equation (31) have negative real parts, provided that the following conditions are met.
Now the JM at the IEQP can be represented as
where
with , , and . As a result, the following theorem establishes the local stability criteria of IEQP.
Theorem 2.
Assuming that System (2) has an IEQP, it is LAS if the following conditions are met.
Proof.
The characteristic equation of is determined as
where
with
If , , and , then using the Routh-Hurwitz criterion, all the roots of Equation (41) have negative real parts, and thus, IEQP is LAS. All Routh-Hurwitz constraints are satisfied under the stated sufficient conditions according to direct computation. □
5. Global Stability Analysis
In this part, the basin of attraction of each asymptotically stable EQP is determined using Lyapunov functions, as proven in the theorems below.
Theorem 3.
The EEQP is globally stable locally (GAS) whenever it is LAS.
Proof.
Now we define as a real-valued function that is given by
where , and are the positive constants to be determined. is a positive definite function that is defined on . Furthermore, can be written as follows:
Now, by choosing , , and as the positive constants, it is determined that:
Then, using the LAS condition (20), the derivative becomes a negative definite function. Hence, EEQP is GAS. □
Theorem 4:
The PDFEQP is GAS if the following conditions are met.
Proof:
Now we define as a real-valued function that is given by
where , and are the positive constants to be determined. is a positive definite function that is defined on . Furthermore, after doing some simplifications steps, can be written as follows:
Now, by choosing the positive constants as , , and , it is determined that
Then, by using the above sufficient conditions, the derivative becomes a negative definite function, and hence, the PDFEQP is GAS. □
Theorem 5:
The SPFEQP is GAS if the following sufficient conditions are met.
where all the symbols are defined in the proof.
Proof:
Next, we define as a real-valued function that is given by
where , and are the positive constants to be determined. is a positive definite function that is defined on . Furthermore, after doing some simplifications steps, can be written as follows:
where , , and are given in Theorem (1), while , and are given in Equation (21) with . Now, by choosing , , and as the positive constants, it is determined after simple calculation that:
Then, using Condition (46) yields:
According to the given sufficient conditions, derivative becomes a negative definite function, and hence, SPFEQP is GAS. □
Theorem 6:
The FPFEQP is GAS if the following sufficient conditions are met.
where all the symbols are given in the proof.
Proof:
Next, we define as a real-valued function that is given by
where , and are the positive constants to be determined. is a positive definite function that is defined on . Furthermore, after doing some simplifications steps, can be written as follows:
where , , and are given in Theorem (1), while , , and are given in Equation (30). Now, by choosing , , and as the positive constants, it is determined after a simple calculation that:
Then, using Condition (49) yields:
Then, according to the given sufficient conditions, the derivative becomes a negative definite function, and hence, FPFEQP is GAS. □
Theorem 7:
The IEQP is GAS if the following sufficient conditions are met.
where all the symbols are given in the proof.
Proof:
Next, we define as a real-valued function that is given by
where , and are the positive constants to be determined. is a positive definite function that is defined on . Furthermore, after doing some simplifications steps, can be written as follows:
where , , and are given in Theorem (1), while , , and are given in Equation (35). Now, by choosing the positive constants as , , and , then it is determined after simple calculation that:
Using the above sufficient conditions yields:
where , , , , , and .
Then, the derivative becomes a negative definite function, and hence, IEQP is GAS. □
6. Persistence
Persistence is commonly understood as a global attribute of a dynamic system. Rather than the interior solution space, it is dependent on the solution behavior around the extinction boundaries. Biologically, the persistence of a system entails the survival of all of the system’s populations in the future. In mathematical terms, this indicates that strictly positive solutions do not have an omega limit on the boundary of the non-negative cone. As a result, if the dynamic system does not continue, it is doomed to extinction.
We must first analyze the global dynamics in boundary planes and , as illustrated below, before examining the persistence of the food web model using the average Lyapunov function approach []. It is simple to verify that System (2) includes two subsystems when the first subsystem is:
However, the second subsystem can be written as:
It is observed that these subsystems have unique interior equilibrium points in the positive quadrants of their and planes, which coincide with the projection of the boundary corresponding to the planar equilibrium points of System (2).
Here, we define , a continuously differential function in the interior of the positive quadrant of the plane, which represents a Dulac function which computes the following expression:
Clearly, the expression is not identically zero, and their sign does not change if the following sufficient condition is met:
As a result, using the Bendixson-Dulac criterion, Subsystem (54) has no periodic dynamic in the interior of the positive quadrant of the plane. Consequently, using the Poincare-Bendixson theorem, the interior EQP of Subsystem (54), as given by is, in fact, a GAS in the interior of a positive quadrant of the plane whenever it exists under Condition (56).
Similarly, for Subsystem (55), there are no periodic dynamics in the interior of the positive quadrant of the plane, and the interior EQP, given by will be a GAS provided that the following condition is met.
Theorem 8.
Assuming that Conditions (56) and (57) are met, then System (2) is uniformly persistent, provided that the following conditions are satisfied.
Proof.
Consider the following function: , where are positive constants. is a non-negative, continuously differentiable function, and as such, if any of the variables x, y, or z approach zero.
Therefore, the following is determined:
where the functions , are given in Equation (11). Accordingly, substituting the functions leads to:
The proof is now complete [] and System (2) is uniformly persistent if , where belongs to the omega limit set of the boundary planes of the system. Because only the EQPs are found in the omega limit set of System (2) in the boundary planes, it is deduced that:
Clearly, by choosing a constant > 0 which is sufficiently large with respect to the positive constants and , it is determined that , provided that Condition (58) remains to be met.
under the Conditions (59), or when at least one of them is met with a suitable choice of the arbitrary positive constants and .
Similarly, under Condition (60).
Again, , provided that Condition (61) is satisfied. As a result, no omega limit set is placed in the boundary planes of System (2) under the provided set of conditions, and hence, System (2) is uniformly persistent. □
7. Bifurcation Analysis
This section looks at how the equilibrium configurations of System (2) are affected by the parameters that define the model. Indeed, as one of the parameters approaches a certain value, the solution may trend toward a different equilibrium position. The goal of this section is to investigate the bifurcation of System (2) that can occur as the parameter values change.
Here, we rewrite System (2) in the form:
where and . Therefore, the second derivative of , with respect to the vector , can be written as:
where is a non-zero real vector, with
Meanwhile, the third derivative of with respect to the vector can be written as:
where:
Theorem 9.
System (2) undergoes transcritical bifurcation (TBF) near the EEQP when passes through the value.
Proof.
The JM of System (2) at the EEQP with can be written in the form:
The eigenvalues of are given by , , and . Hence, the EEQP is a non-hyperbolic point.
Let vectors and represent the eigenvectors corresponding to of and respectively. Hence, direct computation shows that:
Moreover, direct computation shows the following:
where represents the directional derivatives of with respect to . Furthermore, using Equation (63) yields:
Therefore, in the sense of Sotomayor’s theorem [], System (2) possesses a TBF and the proof is complete. □
Theorem 10.
Assuming that Condition (24) holds, then System (2) undergoes a TBF near the PDFEQP whenpasses through the value, provided that the following condition is met.
Otherwise, System (2) undergoes a pitchfork bifurcation (PBF) near the PDFEQP, provided that the following condition is met.
Proof.
The JM of System (2) at the PDFEQP with can be written in the form:
The eigenvalues of are given by , , and , which are negative under Condition (24). Hence, the PDFEQP is a non-hyperbolic point.
Let vectors and represent the eigenvectors corresponding the of and , respectively. Hence, direct computation reveals that:
Moreover, direct computation shows the following:
Furthermore, using Equation (63) yields:
where:
Therefore, it is determined that:
Therefore, in the sense of Sotomayor’s theorem, System (2) possesses a TBF, provided that Condition (65) holds. However, if Condition (65) is not satisfied, then, using Equation (64), it is obtained that:
where:
Therefore, by using Condition (66), it is shown that:
which means a PBF has taken place and the proof is complete. □
Theorem 11.
Assuming that Conditions (28) and (29) hold, then System (2) undergoes a TBF near the SPFEQP whenpasses through the value, provided that the following condition is met.
Otherwise, System (2) undergoes a PBF near the SPFEQP, provided that the following condition is met.
Proof.
The JM of System (2) at the SPFEQP with can be written in the form:
The eigenvalues of are given by and where , and are given by Equation (26) and the two eigenvalues have negative real parts under Conditions (28) and(29). Hence, the SPFEQP is a non-hyperbolic point.
If vectors and represent the eigenvectors corresponding the of , and , respectively, then direct computation reveals that
where , .
Moreover, direct computation shows the following:
Furthermore, using Equation (63) yields:
where
Therefore, it is determined that
Therefore, in the sense of Sotomayor’s theorem, System (2) possesses a TBF, provided that Condition (67) holds. However, if that condition is not met, then, using Equation (64), it may be obtained that:
where
Therefore, by using Condition (68), it is determined that
which means that a PBF has taken place and the proof is complete. □
Theorem 12.
Assuming that Conditions (33) and (34) hold, then System (2) undergoes a TBF near the FPFEQP whenpasses through the value, provided that the following condition is met.
Otherwise, System (2) undergoes a PBF near the FPFEQP, provided that the following condition is met.
Proof.
The JM of System (2) at the FPFEQP with can be written in the form:
The eigenvalues of are given by and , where and are given by Equation (31) and the two eigenvalues have negative real parts under Condition (33) and (34). Hence, the FPFEQP is a non-hyperbolic point.
If vectors and represent the eigenvectors corresponding the of , and respectively, direct computation reveals that:
where , and .
Moreover, direct computation shows the following:
Furthermore, using Equation (63), we determine that:
where:
Therefore, it is shown that
In the sense of Sotomayor’s theorem, System (2) possesses a TBF provided that Condition (69) holds. However, if that condition is not met, then, by using Equation (64), it is determined that:
where:
By using Condition (70), it is determined that
which means that a PBF has taken place and the proof is complete. □
Theorem 13.
Assuming that Conditions (36) and (37) hold, then System (2) undergoes a saddle-node bifurcation (SNB) near the IEQP whenpasses through the value, provided that the following conditions are met.
where all the new symbols are given in the proof.
Proof.
The JM of System (2) at the IEQP with can be written in the form:
where , while the other are given in Equation (35). Conditions (36), (37), and (71) guarantee that . Moreover, it is observed that the determinant of that is given by in Equation (41) at is zero. Consequently, has an eigenvalue , and as such, the IEQP becomes a non-hyperbolic point.
If vectors and represent the eigenvectors corresponding to the of and , respectively, then direct computation reveals that:
where , , , and . Moreover, direct computation shows the following:
Accordingly, the first requirement of the SNB is satisfied. Furthermore, Equation (63) shows that:
where:
Therefore, it is determined that
In the sense of Sotomayor’s theorem, System (2) possesses an SNB near the IEQP provided that condition (72) holds, and the proof is complete. □
8. Numerical Simulation
This section comprises a numerical analysis of the dynamics of the system. MATLAB R2013a (8.1.0) was used to examine the behavior of System (2) with various parameter values. The following set of hypothetical parameters was used.
The main objective of this study is to confirm our theoretical findings and specify a parameter set that controls the dynamic system. It was observed that, for Dataset (73), System (2) has a unique IEQP that is a GAS; see Figure 1.
Throughout the following figures, magenta represents the solution of System (2), while blue, green, and red represent the trajectories of , , and , respectively.
Figure 1.
The IEQP of System (2) is a GAS using Dataset (73) and various initial points. (a) Phase portrait. (b) Trajectories of versus time. (c) Trajectories of versus time. (d) Trajectories of versus time.
Figure 1 shows the ownership of System (2) using Dataset (73) with a unique IEQP that is GAS. The influence of varying and on the dynamics of System (2) is shown in Figure 2.
Figure 2.
The trajectory of System (2) using Dataset (73) with different values of fear factors approaching IEQP. (a) Phase portrait when . (b) Phase portrait when . (c) Phase portrait when . (d) Phase portrait when .
As shown in Figure 2, increasing of , and forces the IEQP to gradually converge to PDFEQP. The role of varying on the behavior of System (2) is illustrated in Figure 3.
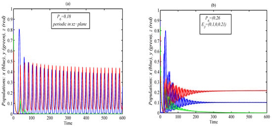
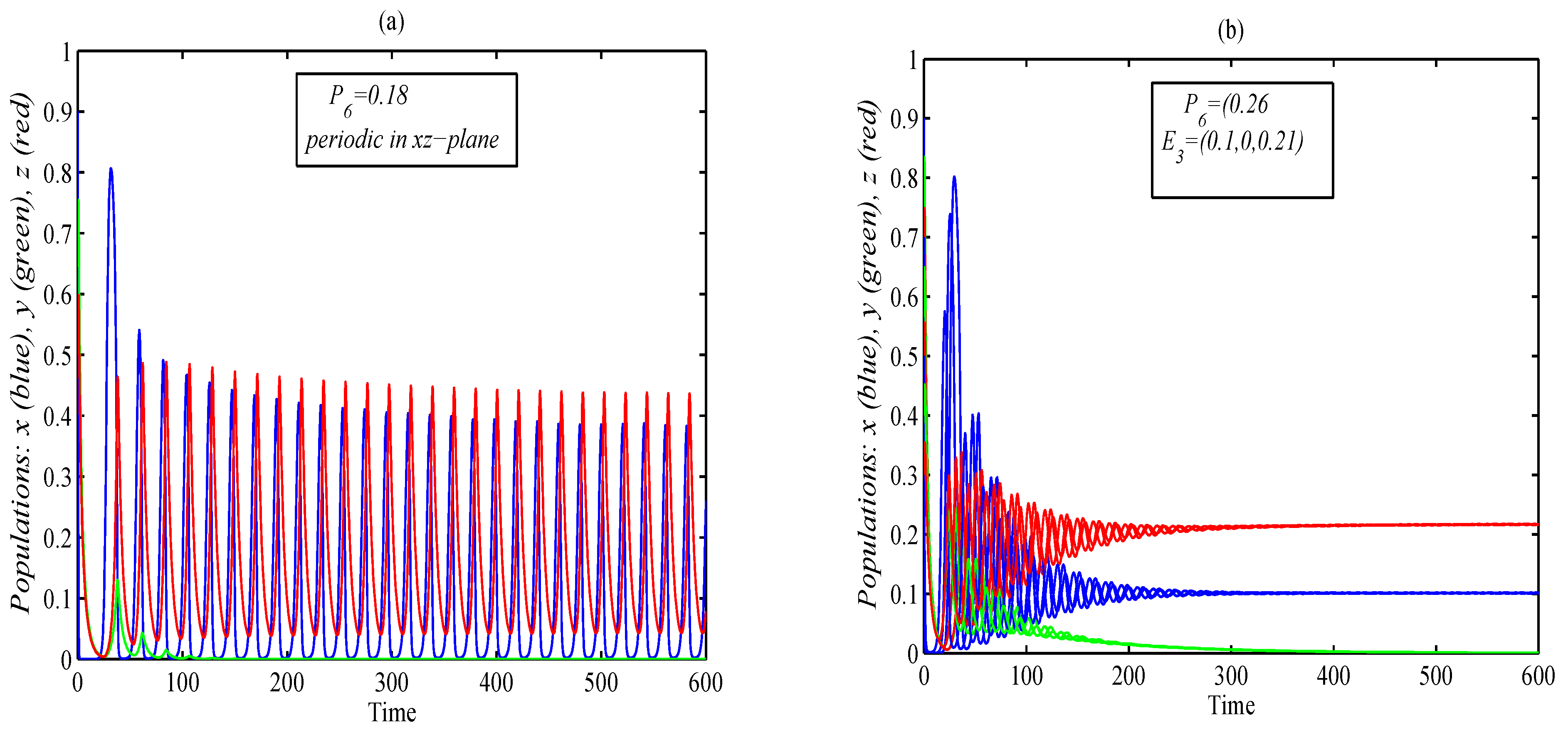
Increasing the value of reduces the stability of IEQP, and the system approaches PDFEQP first and then approaches EEQP. The impact of the functional response parameters—which are responsible for the transfer of food to predator —on the dynamics of System (2) is summarized in Figure 4 and Figure 5.
Figure 4.
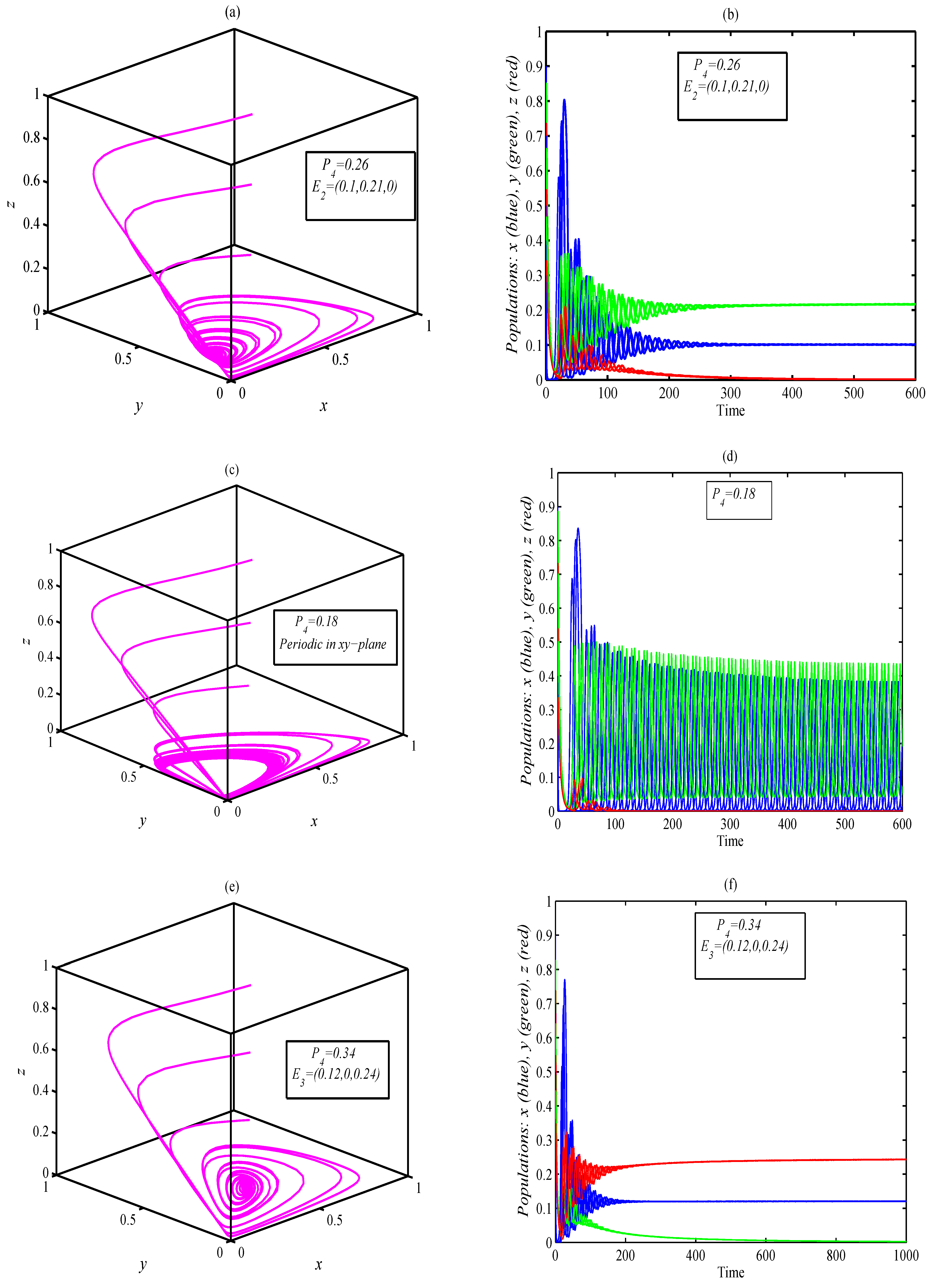
The trajectories of System (2) using Dataset 73 and various initial points. (a) The phase portrait approaches SPFEQP when . (b) Time series for the phase portrait at . (c) The phase portrait approaches a periodic attractor when . (d) Time series for the phase portrait at . (e) The phase portrait approaches FPFEQP when . (f) Time series for the phase portrait at .
Figure 5.
The trajectories of System (2) using Dataset 73 and various initial points. (a) The phase portrait approaches FPFEQP when . (b) Time series for the phase portrait at .
Figure 3.
The trajectories of System (2) using Dataset 73 with different values of and various initial points. (a) The phase portrait approaches IEQP when . (b) The phase portrait approaches IEQP when . (c) The phase portrait approaches IEQP when . (d) The phase portrait approaches PDFEQP when . (e) The phase portrait approaches EEQP when .
According to Figure 4 and Figure 5, the dynamics of System (2) are sensitive to variations of , switching from a periodic dynamic on the plane to SPFEQP, and then to IEQP, and finally, to FPFEQP. However, it has less sensitivity to varyiations in , whereby the dynamic transfer is from IEQP to FPFEQP. The impact of varying the parameters of the functional response that are responsible for transferring the food from to is shown in Figure 6.

Figure 6.
Time series of the trajectories of System (2) using Dataset 73 and various initial points. (a) Periodic dynamics when . (b) Approaching FPFEQP when . (c) Approaching SPFEQP when . (d) Approaching SPFEQP when and .
Figure 6 shows that has the opposite effect to (and has the opposite effect to ) on the dynamics of System (2). Figure 7 illustrates the influence of varying on the dynamics of System (2).

Figure 7.
The trajectory of System (2) using Dataset 73 with different values of . (a) Approaching IEQP when . (b) Approaching IEQP when . (c) Approaching IEQP when . (d) Approaching PDFEQP when . (e) Approaching EEQP when .
The parameter significantly influences the dynamics of the system, similar to . The impact of the other harvesting rates and is illustrated in Figure 8.
Figure 8.
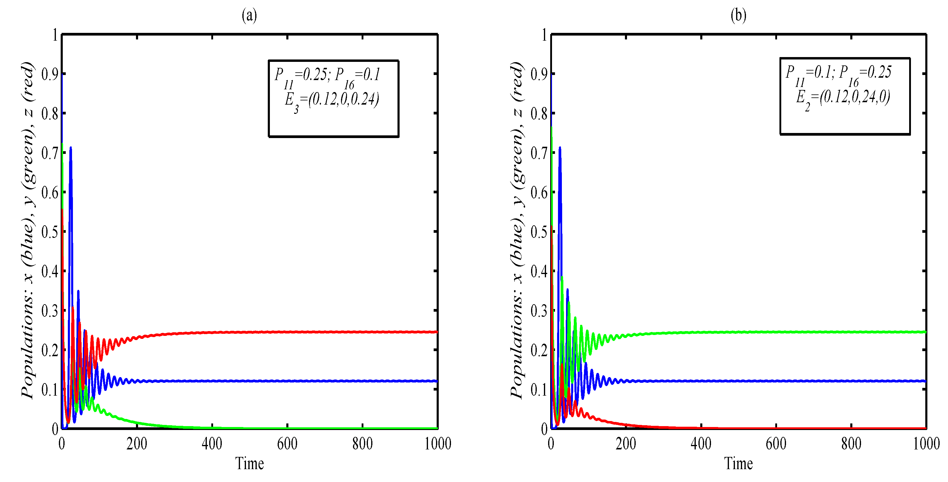
Time series of the trajectories of System (2) using Dataset 73 with different values of or . (a) Approaching SPFEQP when . (b) Approaching FPFEQP when . (c) Approaching FPFEQP when . (d) Approaching FPFEQP when .
Parameters and have opposite influences on the dynamics of the system. We further investigated the impact of varying the parameters and . It was observed that has an effect on the dynamics of System (2) similar to that of , while the impact of is similar to that of . Finally, the effects of varying the intra-n and inter- specific competition on the dynamics of System (2) are illustrated in Figure 9, Figure 10 and Figure 11, respectively.
Figure 9.
Time series of the trajectories of System (2) using Dataset 73 with different values of . (a) Trajectories of for . (b) Trajectories of for . (c) Trajectories of for .
Figure 10.
Time series of the trajectories of System (2) using Dataset 73 with different values of . (a) Trajectories of for . (b) Trajectories of for . (c) Trajectories of for .
Figure 11.
Time series of the trajectories of System (2) using Dataset 73 and various values of and . (a) Approaching FPFEQP when and . (b) Approaching SPFEQP when and .
As shown in Figure 9 and Figure 10, parameters and have opposite influences on the dynamics of the system.
As shown in Figure 11, and also have opposite influences on the dynamics of the system.
9. Discussion
This work proposes and investigates a mathematical model that simulates the dynamics of a food-web system with two competing predators and prey. It was our goal to examining how fear and harvesting affect the dynamics of such a system. Food transition at the food-web level was described using a Monod-Haldane-type response function. The characteristics of the solution were investigated. It was established that various equilibrium points exist. All species’ needs for survival were identified. When feasible, the topics of local and global stability were covered. The Sotomayor theorem for local bifurcation was used to examine the impact of changing the parameter values.
It is noted that System (2) has a variety of conditionally asymptotic stable equilibrium locations. Additionally, the system experiences different forms of local bifurcation as the parameter values change. Finally, System (2) was solved, the theoretical conclusion was verified, and the control set of parameters was specified using numerical simulation. Using a hypothetical set of parameters given by Equation (73), the following results were obtained.
System (2) asymptotically approaches IEQP from several sets of initial points. Due to declining predator numbers, the IEQP gradually converges to a PDFEQP as the fear rates rise, demonstrating the influence of fear on the dynamics of the system. System (2) shifts the stability of the predators from IEQP to PDFEQP when the mortality rate of the prey increases. As the death rate increases further, the system shifts its limit point from PDFEQP to EEQP. By varying the predator death rates, it was demonstrated that the predator death rates play a similar role to the prey death rates regarding the survival of the predator species. For example, lowering the value of the first predator death rate resulted in the extinction of the second predator, and the system approached SPFEQP (FPFEQP). However, increasing this value caused the first predator to go extinct, and System (2) approached FPFEQP (SPFEQP).
The influence of the functional response parameters was explored. It was found that lowering the value of the half-saturation constant of the first predator resulted in the extinction of the second predator, and the system approached SPFEQP (FPFEQP). Further decreasing the value of the half-saturation constant of the first predator made the SPFEQP (FPFEQP) unstable, and System (2) had periodic dynamics in theplane. However, increasing its value caused the first predator to go extinct, and System (2) approached FPFEQP (SPFEQP). Moreover, increasing the value of the inhibitory effect at high concentrations for the first predator led to the first predator going extinct; then, the system approached FPFEQP (SPFEQP).
For the harvesting parameters of System (2), it was noted that with an increase in prey harvesting, the system dynamics transferred from IEQP to the PDFEQP, and then to the EEQP. However, lowering the harvesting rate of the first predator caused the second predator to go extinct, and the trajectories of System (2) approached SPFEQP (FPFEQP). Meanwhile, increasing its value above a specific point causes the extinction of the first predator, and the trajectories moved asymptotically to the FPFEQP (SPFEQP). Otherwise, the trajectories of System (2) stalled at IEQP. Similar observations were made when the conversion rates of the first and second predators were lowered; however, the trajectories still approached IEQP.
Finally, decreasing the intraspecific competition rate of the first predator led to the extinction of the second predator, and the trajectories of System (2) approached SPFEQP. However, decreasing the intraspecific competition rate of the second predator led to the extinction of the first predator, and the trajectories of System (2) approached FPFEQP. Otherwise, the trajectories of System (2) stalled at IEQP.
10. Conclusions
Gause’s law is another name for the competitive exclusion concept []. It is a term used in ecology to describe a situation when two species are vying for the same resources. Gause noted that under such conditions, population values cannot remain constant. However, in this work, our System (2) solution approaches IEQP from distinct initial positions, indicating that the presence of prey allows two competing species to persist on the same resources. There is a threshold value of fear over which System (2) loses persistence due to the extinction of predators, even though the system approaches the IEQP asymptotically with different fear values. It has been noted that if the value of a prey species reaches a vital level, harvesting it may cause System (2) to collapse. The harvesting of the predator, however, causes the competitive predator to survive or become extinct, depending on how much its value increases or decreases; after that, the solution for System (2) approaches one of the boundary planes.
The system persists for a small range of the predator equation parameters, since any modification may provide the competitive predator with a chance to become stronger and survive. It is thus determined that System (2) is particularly sensitive to changing predator equation-related values.
Author Contributions
The authors Z.S.A. and R.K.N. contributed to the conception, design of the model, acquisition of the data, analysis, interpretation, drafting of the MS, revision, and proofreading. All authors have read and agreed to the published version of the manuscript.
Funding
This research received no external funding.
Institutional Review Board Statement
Not applicable.
Informed Consent Statement
Not applicable.
Data Availability Statement
Not applicable.
Acknowledgments
The authors are thankful to the anonymous Reviewers for their careful reading, useful comments, and constructive suggestions for the improvement of the present research work. We are also thankful to the Editor for his speed and cooperation.
Conflicts of Interest
The authors declare no conflict of interest.
Abbreviation
The following abbreviation symbols are used in this manuscript.
| (EQPs) | represents the equilibrium points. |
| (EEQP) | represents the evanescence equilibrium point. |
| (PDFEQP) | represents the predation-free equilibrium point. |
| (SPFEQP) | represents the second predator-free equilibrium point. |
| (FPFEQP) | represents the first predator-free equilibrium point. |
| (IEQP) | represents the interior equilibrium point. |
| (JM) | represents the Jacobian matrix. |
| (LAS) | represents the locally asymptotically stable. |
| (GAS) | represents the globally stable locally. |
| (TBF) | represents a transcritical bifurcation. |
| (PBF) | represents a pitchfork bifurcation. |
| (SNB) | represents a saddle-node bifurcation. |
References
- Smith, T.M.; Smith, R.L. Elements of Ecology, 7th ed.; Person International Edition: San Francisco, CA, USA, 2009. [Google Scholar]
- Solomon, M.E. The natural control of animal populations. J. Anim. Ecol. 1949, 18, 1–35. [Google Scholar] [CrossRef]
- Holling, C.S. The functional response of predators to prey density and its role in mimicry and population regulation. Mem. Entomol. Soc. Can. 1965, 97, 5–60. [Google Scholar] [CrossRef]
- Andrews, J.F. A mathematical model for the continuous culture of microorganisms utilizing inhibitory substrates. Biotechnol. Bioeng. 1968, 10, 707–723. [Google Scholar] [CrossRef]
- Panja, P. Prey–predator–scavenger model with Monod–Haldane type functional response. Rend. Circ. Mat. Palermo. 2020, 69, 1205–1219. [Google Scholar] [CrossRef]
- Wang, X.; Zanette, L.; Zou, X. Modelling the fear effect in predator-prey interactions. J. Math. Biol. 2016, 73, 1179–1204. [Google Scholar] [CrossRef]
- Wang, X.; Zou, X. Modeling the fear effect in predator-prey interactions with adaptive avoidance of predators. Bull. Math. Biol. 2017, 79, 1325–1359. [Google Scholar] [CrossRef]
- Wang, X.; Zou, X. Pattern formation of a predator-prey model with the cost of anti-predator behaviors. Math. Biosci. Eng. 2018, 15, 775–805. [Google Scholar] [CrossRef]
- Das, A.; Samanta, G.P. Modeling the fear effect on a stochastic prey-predator system with additional food for the predator. J. Phys. A Math. Theor. 2018, 51, 465601. [Google Scholar] [CrossRef]
- Sasmal, S.K. Population dynamics with multiple Allee effects induced by fear factors—A mathematical study on prey-predator interactions. Appl. Math. Model. 2018, 64, 1–14. [Google Scholar] [CrossRef]
- Preisser, E.L.; Bolnick, D.I.; Benard, M.F. Scared to death? The effects of intimidation and consumption in predator-prey interactions. Ecology 2005, 86, 501–509. [Google Scholar] [CrossRef] [Green Version]
- Pal, S.; Pal, N.; Samanta, S.; Chattopadhyay, J. Effect of hunting cooperation and fear in a predator-prey model. Ecol. Complex. 2019, 39, 100770. [Google Scholar] [CrossRef]
- Pal, S.; Majhi, S.; Mandal, S.; Pal, N. Role of fear in a predator-prey model with Beddington–DeAngelis functional response. Z. Naturforsch. A 2019, 74, 581–595. [Google Scholar] [CrossRef]
- Qiao, T.; Cai, Y.; Fu, S.; Wang, W. Stability and Hopf bifurcation in a predator-prey model with the cost of anti-predator behaviors. Int. J. Bifurc. Chaos 2019, 29, 1950185. [Google Scholar] [CrossRef]
- Zhang, H.; Cai, Y.; Fu, S.; Wang, W. Impact of the fear effect in a prey-predator model incorporating a prey refuge. Appl. Math. Comput. 2019, 356, 328–337. [Google Scholar] [CrossRef]
- Kumar, V.; Kumari, N. Stability and bifurcation analysis of Hassell–Varley prey-predator system with fear effect. Int. J. Appl. Comput. Math. 2020, 6, 150. [Google Scholar] [CrossRef]
- Zhu, Z.; Wu, R.; Lai, L.; Yu, X. The influence of fear effect to the Lotka-Volterra predator-prey system with predator has other food resource. Adv. Differ. Equ. 2020, 2020, 237. [Google Scholar] [CrossRef]
- Sasmal, S.K.; Takeuchi, Y. Dynamics of a predator-prey system with fear and group defense. J. Math. Anal. Appl. 2020, 481, 123471. [Google Scholar] [CrossRef]
- Fakhry, N.H.; Naji, R.K. The dynamics of a square root prey-predator model with fear. Iraqi J. Sci. 2020, 61, 139–146. [Google Scholar] [CrossRef]
- Diz-Pita, É.; Otero-Espinar, M.V. Predator–prey models: A review of some recent advances. Mathematics 2021, 9, 1783. [Google Scholar] [CrossRef]
- Mukherjee, D. Dynamical study of non-integer order predator-prey system with fear effect. Int. J. Model. Simul. 2021, 42, 441–449. [Google Scholar] [CrossRef]
- Sk, N.; Tiwari, P.K.; Pal, S.; Martcheva, M. A delay non-autonomous model for the combined effects of fear, prey refuge and additional food for predator. J. Biol. Dyn. 2021, 15, 580–622. [Google Scholar] [CrossRef] [PubMed]
- Al-Momen, S.M.A.; Naji, R.K. The dynamics of modified Leslie-Gower predator-prey model under the influence of nonlinear harvesting and fear effect. Iraqi J. Sci. 2022, 63, 259–282. [Google Scholar] [CrossRef]
- Ibrahim, H.A.; Bahlool, D.K.; Satar, H.A.; Naji, R.K. Stability and bifurcation of a prey-predator system incorporating fear and refuge. Commun. Math. Biol. Neurosci. 2022, 2022, 32. [Google Scholar] [CrossRef]
- Xie, B.; Zhang, N. Influence of fear effect on a Holling type III prey-predator system with the prey refuge. AIMS Math. 2022, 7, 1811–1830. [Google Scholar] [CrossRef]
- Kumar, V.; Kumari, N. Stability and bifurcation analysis of fractional-order delayed prey-predator system and the effect of diffusion. Int. J. Bifurcat. Chaos 2022, 32, 2250002. [Google Scholar] [CrossRef]
- Kumar, V.; Kumari, N. Controlling chaos in three species food chain model with fear effect. AIMS Math. 2020, 5, 828–842. [Google Scholar] [CrossRef]
- Wang, Y.; Zou, X. On mechanisms of trophic cascade caused by anti-predation response in food chain. Math. Appl. Sci. Eng. 2020, 1, 181–206. [Google Scholar] [CrossRef]
- Maghool, F.H.; Naji, R.K. The dynamics of a Tritrophic Leslie-Gower food-web system with the effect of fear. J. Appl. Math. 2021, 2021, 2112814. [Google Scholar] [CrossRef]
- Cong, P.; Fan, M.; Zou, X. Dynamics of a three-species food chain model with fear effect. Commun. Nonlinear Sci. Numer. Simul. 2021, 99, 105809. [Google Scholar] [CrossRef]
- Rahi, S.A.; Kurnaz, S.; Naji, R.K. The impact of fear on a stage structure prey–predator system with anti-predator behavior. Appl. Nanosci. 2022. [Google Scholar] [CrossRef]
- Maghool, F.H.; Naji, R.K. Chaos in the three-species Sokol-Howell food chain system with fear. Commun. Math. Biol. Neurosci. 2022, 2022, 14. [Google Scholar] [CrossRef]
- Saha, S.; Samanta, G.P. Analysis of a tritrophic food chain model with fear effect incorporating prey refuge. Filomat 2021, 35, 4971–4999. [Google Scholar] [CrossRef]
- Maghool, F.H.; Naji, R.K. The effect of fear on the dynamics of two competing prey-one predator system involving intra-specific competition. Commun. Math. Biol. Neurosci. 2022, 2022, 42. [Google Scholar] [CrossRef]
- Kar, T.K. Modelling and analysis of a harvested prey-predator system incorporating a prey refuge. J. Comput. Appl. Math. 2006, 185, 19–33. [Google Scholar] [CrossRef]
- Song, X.Y.; Chen, L.S. Optimal harvesting and stability for a two-species competitive system with stage structure. Math. Biosci. 2001, 170, 173–186. [Google Scholar] [CrossRef]
- Kar, T.; Chaudhuri, K. Harvesting in a two-prey one-predator fishery: A bioeconomic model. ANZIAM J. 2004, 45, 443–456. [Google Scholar] [CrossRef]
- Feng, P. Analysis of a delayed predator-prey model with ratio-dependent functional response and quadratic harvesting. J. Appl. Math. Comput. 2014, 44, 251–262. [Google Scholar] [CrossRef]
- Abdulghafour, A.S.; Naji, R.K. A study of a diseased prey-predator model with refuge in prey and harvesting from predator. J. Appl. Math. 2018, 2018, 2952791. [Google Scholar] [CrossRef]
- Rani, R.; Gakkhar, S. The impact of provision of additional food to predator in predator-prey model with combined harvesting in the presence of toxicity. J. Appl. Math. Comput. 2019, 60, 673–701. [Google Scholar] [CrossRef]
- Rani, R.; Gakkhar, S.; Ali, M. Dynamics of a fishery system in a patchy environment with nonlinear harvesting. Math. Meth. Appl. Sci. 2019, 42, 7192–7209. [Google Scholar] [CrossRef]
- Satar, H.A.; Naji, R.K. Stability and bifurcation in a prey-predator–scavenger system with Michaelis–Menten type of harvesting function. J. Dyn. Differ. Equ. 2019. [Google Scholar] [CrossRef]
- Satar, H.A.; Naji, R.K. Stability and bifurcation of a prey-predator-scavenger model in the existence of toxicant and harvesting. Int. J. Math. Sci. 2019, 2019, 1573516. [Google Scholar] [CrossRef]
- Perko, L. Differential Equations and Dynamical Systems, 3rd ed.; Springer: New York, NY, USA, 2001. [Google Scholar]
- Grad, T.C.; Hallam, T.G. Persistence in food webs-I. Lotka-Volterra food chains. Bull. Math. Biol. 1979, 41, 877–891. [Google Scholar]
- Hardin, G. The competitive exclusion principle. Science 1960, 131, 1292–1297. [Google Scholar] [CrossRef] [PubMed] [Green Version]
Publisher’s Note: MDPI stays neutral with regard to jurisdictional claims in published maps and institutional affiliations. |
© 2022 by the authors. Licensee MDPI, Basel, Switzerland. This article is an open access article distributed under the terms and conditions of the Creative Commons Attribution (CC BY) license (https://creativecommons.org/licenses/by/4.0/).