Application of Exponential Temperature Dependent Viscosity Model for Fluid Flow over a Moving or Stationary Slender Surface
Abstract
:1. Introduction
| S. No. | Paper | Description of the Flow Model | Main Observations of the Study |
|---|---|---|---|
| 1. | Soid et al. [8] | Volume fraction effects on nanofluid flow in the vicinity of thin needle. |
|
| 2. | Ahmad et al. [9] | Brownian diffusion and thermophoresis in boundary layer around a thin needle |
|
| 3. | Salleh et al. [10] | Mixed convection in a nanofluid flow induced by a vertical thin needle presence of Brownian motion and thermophoresis. |
|
| 4. | Qasim et al. [26] | Fluid flow around a thin needle placed in a variable viscosity fluid. |
|
2. Problem Formulation
3. Self-Similar Problems for Different Variable Viscosity Models
- (a)
- Case A: Exponential temperature dependency
- defines the Prandlt number of the ambient fluid.
- compares the needle velocity with the composite viscosity and it is designated as a velocity ratio parameter.
- Parameter is linked with the needle radius and it is therefore termed as a needle size parameter.
- The value of is obtained by selecting and or .
- Note that when , the temperature difference becomes negligible, and Equation (7) shows that the viscosity function becomes constant in this situation.
- Note that when or , the case of the stationary needle is recovered. Moreover, Equations (8)–(12) collapse to the situation where the needle moves in an otherwise calm environment.
- (b)
- Case B: Inversely linear temperature dependency
- (c)
- Case C: Constant fluid properties
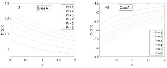
4. Results and Discussion
5. Concluding Remarks
- Graphical results corresponding to the exponential temperature dependency (Case A) and inversely linear temperature dependency (Case B) differ marginally.
- There is a marked difference in the results corresponding to variable viscosity and constant viscosity cases.
- Momentum diffusion in the temperature-dependent viscosity case is much smaller than that of constant viscosity case.
- A considerable reduction in drag force at the surface is noticed when the temperature dependence of thermal conductivity is retained.
- When the free stream velocity is higher than the needle velocity, shear stress encountered at the needle surface reduces by increasing needle velocity. This outcome is reversed when needle velocity exceeds the free stream velocity.
- The case of inversely linear temperature dependency reduces to the constant viscosity case when .
- It is natural to observe a growing trend in thermal penetration depth whenever the variable thermal conductivity parameter is enhanced.
- Drag force experienced by the needle surface can be appreciably controlled by increasing the needle size parameter .
Author Contributions
Funding
Institutional Review Board Statement
Informed Consent Statement
Data Availability Statement
Conflicts of Interest
References
- Rosenhead, L. Laminar Boundary Layers; Oxford University Press: Oxford, UK, 1963. [Google Scholar]
- Schlichting, H.; Gersten, K. Boundary Layer Theory; Springer: New York, NY, USA, 2000. [Google Scholar]
- Sakiadis, B.C. Boundary-layer behavior on continuous solid surfaces: II. The boundary layer on a continuous flat surface. AIChE J. 1961, 7, 221–225. [Google Scholar] [CrossRef]
- Crane, L.J. Flow past a stretching plate. Z. Angew. Math. Und Phys. (ZAMP) 1970, 21, 645–647. [Google Scholar] [CrossRef]
- Chen, J.L.S.; Smith, T.N. Forced convection heat transfer from nonisothermal thin needles. J. Heat Transf.-Trans. ASME 1978, 100, 358–362. [Google Scholar] [CrossRef]
- Wang, C.Y. Mixed convection on a vertical needle with heated tip. Phys. Fluids A Fluid Dyn. 1990, 2, 622–625. [Google Scholar] [CrossRef]
- Ishak, A.; Nazar, R.; Pop, I. Boundary layer flow over a continuously moving thin needle in a parallel free stream. Chin. Phys. Lett. 2007, 24, 2895–2897. [Google Scholar] [CrossRef]
- Soid, S.K.; Ishak, A.; Pop, I. Boundary layer flow past a continuously moving thin needle in a nanofluid. Appl. Therm. Eng. 2017, 114, 58–64. [Google Scholar] [CrossRef]
- Ahmad, R.; Mustafa, M.; Hina, S. Buongiorno’s model for fluid flow around a moving thin needle in a flowing nanofluid: A numerical study. Chin. J. Phys. 2017, 55, 1264–1274. [Google Scholar] [CrossRef]
- Salleh, S.N.A.; Bachok, N.; Arifin, N.M.; Ali, F.M.; Pop, I. Stability analysis of mixed convection flow towards a moving thin needle in nanofluid. Appl. Sci. 2018, 8, 842. [Google Scholar] [CrossRef]
- Waini, I.; Ishak, A.; Pop, I. On the stability of the flow and heat transfer over a moving thin needle with prescribed surface heat flux. Chin. J. Phys. 2019, 60, 651–658. [Google Scholar]
- Nayak, M.K.; Wakif, A.; Animasaun, I.L.; Alaou, M.S.H. Numerical differential quadrature examination of steady mixed convection nanofluid flows over an isothermal thin needle conveying metallic and metallic oxide nanomaterials: A comparative investigation. Arab. J. Sci. Eng. 2020, 45, 5331–5346. [Google Scholar] [CrossRef]
- Song, Y.Q.; Hamid, A.; Khan, M.I.; Gowda, R.J.P.; Kumar, R.N.; Prasannakumara, B.C.; Khan, S.U.; Khan, M.I.; Malik, M.Y. Solar energy aspects of gyrotactic mixed bioconvection flow of nanofluid past a vertical thin moving needle influenced by variable Prandtl number. Chaos Solitons Fractals 2021, 151, 111244. [Google Scholar] [CrossRef]
- Yasir, M.; Ahmed, A.; Khan, M. Carbon nanotubes based fluid flow past a moving thin needle examine through dual solutions: Stability analysis. J. Energy Storage 2022, 48, 103913. [Google Scholar] [CrossRef]
- Takhar, H.S.; Nitu, S.; Pop, I. Boundary layer flow due to a moving plate: Variable fluid properties. Acta Mech. 1991, 90, 37–42. [Google Scholar] [CrossRef]
- Pop, I.; Gorla, R.S.R.; Rashidi, M.M. The effect of variable viscosity on flow and heat transfer to a continuous moving flat plate. Int. J. Eng. Sci. 1992, 30, 1–6. [Google Scholar] [CrossRef]
- Elbashbeshy, E.M.A.; Bazid, M.A.A. The effect of temperature-dependent viscosity on heat transfer over a continuous moving surface. J. Phys. D Appl. Phys. 2000, 33, 2716. [Google Scholar] [CrossRef]
- Andersson, H.I.; Aarseth, J.B. Sakiadis flow with variable fluid properties revisited. Int. J. Eng. Sci. 2007, 45, 554–561. [Google Scholar] [CrossRef]
- Mekheimer, K.S.; Abd elmaboud, Y. Simultaneous effects of variable viscosity and thermal conductivity on peristaltic flow in a vertical asymmetric channel. Can. J. Phys. 2014, 92, 1541–1555. [Google Scholar] [CrossRef]
- Nadeem, S.; Akbar, N.S. Peristaltic flow of a Jeffrey fluid with variable viscosity in an asymmetric channel. Z. Naturforsch. A 2009, 64, 713–722. [Google Scholar] [CrossRef]
- Housiadas, K.D.; Beris, A.N. Variable viscosity effects for the steady flow past a sphere. Phys. Fluids 2019, 31, 113105. [Google Scholar] [CrossRef]
- Naganthran, K.; Mustafa, M.; Mushtaq, A.; Nazar, R. Dual solutions for fluid flow over a stretching/shrinking rotating disk subject to variable fluid properties. Phys. A Stat. Mech. Appl. 2020, 556, 124773. [Google Scholar] [CrossRef]
- Khan, M.; Salahuddin, T.; Stephen, S.O. Variable thermal conductivity and diffusivity of liquids and gases near a rotating disk with temperature dependent viscosity. J. Mol. Liq. 2021, 333, 115749. [Google Scholar] [CrossRef]
- Ejaz, I.; Mustafa, M. A comparative study of different viscosity models for unsteady flow over a decelerating rotating disk with variable physical properties. Int. Commun. Heat Mass Transf. 2022, 135, 106155. [Google Scholar] [CrossRef]
- Mustafa, M.; Rafiq, T.; Hina, S. Bödewadt flow of Bingham fluid over a permeable disk with variable fluid properties: A numerical study. Int. Commun. Heat Mass Transf. 2021, 127, 105540. [Google Scholar] [CrossRef]
- Qasim, M.; Riaz, N.; Lu, D.; Afridi, M.I. Flow over a Needle Moving in a Stream of Dissipative Fluid Having Variable Viscosity and Thermal Conductivity. Arab. J. Sci. Eng. 2021, 46, 7295–7302. [Google Scholar] [CrossRef]
- White, F.M.; Majdalani, J. Viscous Fluid Flow; McGraw-Hill: New York, NY, USA, 2006; Volume 3. [Google Scholar]
- Shampine, L.F.; Kierzenka, J. A BVP Solver that controls residual and error. J. Numer. Anal. Ind. Appl. Math. 2008, 3, 27–41. [Google Scholar]












| 1 | 0.8 | 0.1 | −1.6961856 | −2.7972871 |
| 2 | −1.6167903 | −2.2576923 | ||
| 3 | −1.5677475 | −1.9705336 | ||
| 4 | −1.5342612 | −1.7883455 | ||
| 5 | −1.5098693 | −1.6606216 | ||
| 0.5 | 0.2 | 0.1 | 1.7300682 | −3.2015559 |
| 0.4 | 0.5827529 | −3.2493841 | ||
| 0.6 | −0.5862121 | −3.2878888 | ||
| 0.8 | −1.7582688 | −3.3123006 | ||
| 1 | −2.9002639 | −3.3011346 | ||
| 0.5 | 0.8 | 0.1 | −1.7582688 | −3.3123006 |
| 0.2 | −1.1506761 | −2.2057856 | ||
| 0.3 | −0.9200017 | −1.7849809 | ||
| 0.4 | −0.7944779 | −1.5562279 | ||
| 0.5 | −0.7142034 | −1.4102622 |
Publisher’s Note: MDPI stays neutral with regard to jurisdictional claims in published maps and institutional affiliations. |
© 2022 by the authors. Licensee MDPI, Basel, Switzerland. This article is an open access article distributed under the terms and conditions of the Creative Commons Attribution (CC BY) license (https://creativecommons.org/licenses/by/4.0/).
Share and Cite
Akbar, S.S.; Mustafa, M. Application of Exponential Temperature Dependent Viscosity Model for Fluid Flow over a Moving or Stationary Slender Surface. Mathematics 2022, 10, 3269. https://doi.org/10.3390/math10183269
Akbar SS, Mustafa M. Application of Exponential Temperature Dependent Viscosity Model for Fluid Flow over a Moving or Stationary Slender Surface. Mathematics. 2022; 10(18):3269. https://doi.org/10.3390/math10183269
Chicago/Turabian StyleAkbar, Saddam Sultan, and Meraj Mustafa. 2022. "Application of Exponential Temperature Dependent Viscosity Model for Fluid Flow over a Moving or Stationary Slender Surface" Mathematics 10, no. 18: 3269. https://doi.org/10.3390/math10183269
APA StyleAkbar, S. S., & Mustafa, M. (2022). Application of Exponential Temperature Dependent Viscosity Model for Fluid Flow over a Moving or Stationary Slender Surface. Mathematics, 10(18), 3269. https://doi.org/10.3390/math10183269
