Next Article in Journal
On the Asymptotic Behavior of Noncanonical Third-Order Emden–Fowler Delay Differential Equations with a Superlinear Neutral Term
Next Article in Special Issue
Degradation Modeling for Lithium-Ion Batteries with an Exponential Jump-Diffusion Model
Previous Article in Journal
Sawi Transform Based Homotopy Perturbation Method for Solving Shallow Water Wave Equations in Fuzzy Environment
Previous Article in Special Issue
Inferences of the Multicomponent Stress–Strength Reliability for Burr XII Distributions
 
 
Font Type:
Arial Georgia Verdana
Font Size:
Aa Aa Aa
Line Spacing:
Column Width:
Background:
Article

Inferences and Engineering Applications of Alpha Power Weibull Distribution Using Progressive Type-II Censoring

1
Department of Mathematical Sciences, College of Science, Princess Nourah bint Abdulrahman University, P.O. Box 84428, Riyadh 11671, Saudi Arabia
2
Department of Statistics, Faculty of Science, King Abdulaziz University, Jeddah 21589, Saudi Arabia
3
Department of Statistics, Faculty of Commerce, Zagazig University, Zagazig 44519, Egypt
4
Department of Statistics, Al-Azhar University, Cairo 11751, Egypt
5
Faculty of Technology and Development, Zagazig University, Zagazig 44519, Egypt
*
Author to whom correspondence should be addressed.
Mathematics 2022, 10(16), 2901; https://doi.org/10.3390/math10162901
Submission received: 25 June 2022 / Revised: 31 July 2022 / Accepted: 10 August 2022 / Published: 12 August 2022
(This article belongs to the Special Issue Statistical Simulation and Computation II)

Abstract

:
As an extension of the standard Weibull distribution, a new crucial distribution termed alpha power Weibull distribution has been presented. It can model decreasing, increasing, bathtub, and upside-down bathtub failure rates. This research investigates the estimation of model parameters and some of its reliability characteristics using progressively Type-II censored data. To get estimates of unknown parameters, reliability, and hazard rate functions, the maximum likelihood, and Bayesian estimation approaches are studied. To acquire estimated confidence intervals for unknown parameters and reliability characteristics, the maximum likelihood asymptotic properties are used. The Markov chain Monte Carlo approach is used in Bayesian estimation to provide Bayesian estimates under squared error and LINEX loss functions. Furthermore, the highest posterior density credible intervals of the parameters and reliability characteristics are determined. A Monte Carlo simulation study is used to investigate the accuracy of various point and interval estimators. In addition, various optimality criteria are used to choose the best progressive censoring schemes. Two real data from the engineering field are analyzed to demonstrate the applicability and significance of the proposed approaches. Based on numerical results, the Bayesian procedure for estimating the parameters and reliability characteristics of alpha power Weibull distribution is recommended. The analysis of two real data sets showed that the alpha power Weibull distribution is a good model to investigate engineering data in the presence of progressive Type-II censoring.

1. Introduction

In industrial life testing and medical survival analysis, the objects of interest are frequently lost or withdrawn before failure. As a result, the obtained sample is referred to as a censored sample (or an incomplete sample). Some main reasons for removing the experimental units are to conserve the working experimental units for future usage, reduce the total time on the test, and save on expenses. Different censoring schemes are available in the literature, including random, Type-I and Type-II censoring; however, they lack the flexibility to allow units to be removed at any point other than the experiment’s termination point. As a consequence, a more general censoring scheme named progressive Type-II censoring is provided. For example, during a clinical test, some patients have to be dropped out from the study for more investigation or to save experimental time. In addition, some products have to be withdrawn from the experiment for more thorough examination or kept for use as test samples in other investigations. This would lead to progressive censoring. The progressively Type-II censored sample can be stated schematically as follows. Assume that n distinct units are placed on a life test and m < n is a predetermined number of units to fail. Let ( R 1 , R 2 , , R m ) be previously fixed so that, at the time of the first failure X 1 : m : n , R 1 , surviving units are randomly removed from the experiment. At the time of the second failure X 2 : m : n , R 2 surviving items are randomly removed from the experiment. This method is repeated until the remaining R m surviving items are eliminated from the test at the time of the m t h observed failure X m : m : n . It is obvious that n = m + i = 1 m R i . The case of traditional Type-II censored sampling occurs when R 1 = R 2 = = R m 1 = 0 , resulting in R m = n m . When R 1 = R 2 = = R m = 0 , the progressively Type II censoring scheme reduces to the case of a complete sample. Suppose we have a continuous population with probability density function (PDF), f ( · ) , and cumulative distribution function (CDF), F ( · ) , then the likelihood function for a progressively Type-II censored sample of size m is given by
L = C i = 1 m f ( x i : m : n ) [ 1 F ( x i : m : n ) ] R i ,
where C is a constant that is independent of the parameters. Many authors, including Balakrishnan and Lin [1], Asgharzadeh [2], Basak et al. [3], Kim et al. [4] and Dey et al. [5,6] and Elshahhat and Rastogi [7], have studied inference under progressively Type-II censored samples using a variety of lifetime distributions, including exponential, generalized logistic, log-normal, Weibull, Marshall–Olkin extended exponential, gamma and inverted Nadarajah–Haghighi distributions, respectively. Balakrishnan [8] provided a good introduction to the concept of progressive censoring as well as an excellent review article. Aggarwala and Balakrishnan [9] created a method to simulate progressively Type-II censored samples from any continuous distribution.
Recently, powerful progress has been made in the improvement of several traditional distributions and their efficient utilization to challenges in different domains including engineering, medical, and finance, among others. One of the most flexible distributions is known as the alpha power Weibull (APW) distribution which was introduced by Nassar et al. [10] by utilizing the alpha power transformation method introduced by Mahdavi and Kundu [11]. It can be considered to be a flexible extension of the traditional Weibull distribution and can deliver several desirable properties and better flexibility in the form of the hazard and density functions. If X is a random variable that follows the APW distribution, then its PDF and CDF can be expressed as
f ( x ; α , β , λ ) = λ β log ( α ) x β 1 exp ( λ x β ) α 1 exp ( λ x β ) α 1 , x > 0 , α , β , λ > 0 , α 1 ,
and
F ( x ; α , β , λ ) = α 1 exp ( λ x β ) 1 α 1 ,
where α and β are shape parameters and λ is a scale parameter. For α 1 , the APW distribution reduces to the alpha power exponential distribution proposed by Mahdavi and Kundu [11]. The APW distribution’s reliability function (RF) and hazard rate function (HRF) are expressed as follows:
R ( x ; α , β , λ ) = α α 1 1 α exp ( λ x β )
and
h ( x ; α , β , λ ) = λ β log ( α ) x β 1 exp ( λ x β ) α exp ( λ x β ) 1 .
Using some different choices of α , β and λ , Figure 1a shows different plots of the PDF which indicates that the APW distribution can be used to model data that is positively skewed, negatively skewed, or approximately symmetric.
In addition, Figure 1b presents different plots of the HRF, which shows that the APW distribution allows for monotonically increasing, decreasing, bathtub, upside-down then bathtub shape hazard rates, which are quite common in reliability studies. Nassar et al. [10] studied the main properties of the APW distribution and estimated its unknown parameters using the maximum likelihood procedure. Based on analyzing two real data sets, they showed that it provides better results when compared with some other competitive models.
Despite the APW distribution’s significance and flexibility, no work has examined the estimation of its unknown parameters and the reliability characteristics under censored samples. Additionally, there is additional work to be done on the Bayesian estimation of the APW distribution. As a result, we may list the objectives of this study as follows:
  • To acquire the maximum likelihood estimators (MLEs) of the unknown parameters, RF and HRF based on progressive Type-II censored data;
  • Using the asymptotic properties of the MLEs, create the approximate confidence intervals (ACIs) of the unknown parameters. In addition, the ACIs of RF and HRF are calculated using the delta technique to derive the variances of their estimators;
  • To obtain the Bayes estimates under squared-error loss (SEL) and LINEX loss (LL) functions and to compute the highest posterior density (HPD) credible intervals of the unknown parameters, RF and HRF;
  • To compare the efficiency of the different point and interval estimators by implementing an extensive simulation study;
  • To make a guideline for selecting the optimal progressive censoring scheme;
  • To show the importance of the proposed methods through analyzing two engineering real data sets.
The remainder of the paper is structured as follows: The MLEs and ACIs are covered in Section 2. Section 3 presents the Bayesian estimation of the APW distribution. Section 4 gives the outcomes of the simulation study. In Section 5, we deliver various methods for determining the optimal progressive censoring scheme. Two engineering real data sets are investigated in Section 6. Finally, in Section 7, some concluding remarks are shown.

2. Maximum Likelihood Estimation

The MLEs of the parameters α , β , and λ as well as RF and HRF of the APW distribution under progressively Type-II censored data are given in this section. Suppose x = x 1 : m : n , x 2 : m : n , , x m : m : n is a progressively Type-II censored sample from a life test of size m taken from APW population with PDF and CDF as given by (2) and (3), respectively.
Then, from (1)–(3), the likelihood function, ignoring the constant term, takes the following form:
L ( α , β , λ | x ) [ λ β log ( α ) ] m α α 1 n exp λ i = 1 m x i β log ( α ) i = 1 m e λ x i β × i = 1 m 1 α e λ x i β R i ,
where x i = x i : m : n , i = 1 , , m , for the sake of simplicity. The natural logarithm (say = log L ( α , β , λ | x ) ) of (6) can be written as follows:
= m log [ λ β log ( α ) ] + n log α α 1 λ i = 1 m x i β log ( α ) i = 1 m e λ x i β + i = 1 m R i log 1 α e λ x i β .
The MLEs of α , β and λ , denoted by α ^ , β ^ and λ ^ , respectively, can be obtained by maximizing the log-likelihood function in (7). Equivalently, the MLEs can be acquired by solving the following three nonlinear equations:
α = m α log ( α ) + n 1 α 1 α 1 1 α i = 1 m e λ x i β + 1 α i = 1 m R i e λ x i β ψ i 1 = 0 ,
β = m β λ i = 1 m x i β log ( x i ) + λ log ( α ) i = 1 m v i log ( x i ) λ log ( α ) i = 1 m R i v i log ( x i ) ψ i 1 = 0
and
λ = m λ i = 1 m x i β + log ( α ) i = 1 m v i log ( α ) i = 1 m R i v i ψ i 1 = 0 ,
where ψ i = α exp ( λ x i β ) 1 and v i = x i β exp ( λ x i β ) .
From (8)–(10), it is clear that the MLEs of α , β and λ can be found by using the Newton–Raphson approach. It is important to mention here that the MLEs of the APW distribution based on Type-II censored sample can be derived directly from (8)–(10) by setting R 1 = R 2 = = R m 1 = 0 . Utilizing the invariance property of the MLEs, one can obtain the MLEs of the RF and HRF at a distinct time t, respectively, as follows:
R ^ ( t ) = α ^ α ^ 1 1 α ^ exp ( λ ^ t β ^ )
and
h ^ ( t ) = λ ^ β ^ log ( α ^ ) t β ^ 1 exp ( λ ^ t β ^ ) α ^ exp ( λ ^ t β ^ ) 1 .
It is important to build the confidence intervals for the unknown parameters, RF and HRF. Here, we use the MLEs’ asymptotic properties to get the ACIs for the various quantities. Based on the theory of large samples, it is known that the asymptotic distribution of the MLEs ( α ^ , β ^ , λ ^ ) is normal distribution with mean ( α , β , λ ) and variance–covariance matrix given by I 1 ( α , β , λ ) . In practice, it is not easy to obtain I 1 ( α , β , λ ) due to the complicated expressions of the second derivatives of the log-likelihood function.
Therefore, we can consider I 1 ( α ^ , β ^ , λ ^ ) to estimate I 1 ( α , β , λ ) , which can be obtained directly from the observed Fisher information matrix as follows:
I 1 ( α ^ , β ^ , λ ^ ) = 2 α 2 2 α β 2 α λ 2 β α 2 β 2 2 β λ 2 λ α 2 λ β 2 λ 2 ( α ^ , β ^ , λ ^ ) 1 .
The Fisher’s elements of (11) are obtained from the log-likelihood function as follows:
2 α 2 = m [ 1 + log ( α ) ] [ α log ( α ) ] 2 + n ( α 1 ) 2 α 2 + 1 α 2 i = 1 m e λ x i β + i = 1 m α 2 ψ i 2 R i e λ x i β ϕ i ,
2 β 2 = m β 2 λ i = 1 m x i β log 2 ( x i ) + λ log ( α ) i = 1 m φ i λ log ( α ) i = 1 m R i φ i ψ i 1 λ 2 log 2 ( α ) i = 1 m R i w i ψ i 2 ,
2 λ 2 = m λ 2 log ( α ) i = 1 m x i β v i log ( α ) i = 1 m R i v i ϱ i ψ i 2 ,
2 α β = λ α i = 1 m v i log ( x i ) + λ α i = 1 m R i ϱ i e λ x i β log ( x i ) ψ i 2 ,
2 α λ = 1 α i = 1 m v i + 1 α i = 1 m R i ϱ i e λ x i β ψ i 2
and
2 β λ = i = 1 m x i β log ( x i ) + log ( α ) i = 1 m φ i log 1 ( x i ) log ( α ) i = 1 m R i φ i log 1 ( x i ) ψ i 1 λ log 2 ( α ) i = 1 m R i w i log 1 ( x i ) ψ i 2 ,
where φ i = v i log 2 ( x i ) ( 1 λ x i β ) , w i = v i 2 log 2 ( x i ) α exp ( λ x i β ) , ϕ i = 1 α exp ( λ x i β ) ( 1 + exp ( λ x i β ) ) and ϱ i = x i β [ 1 + α exp ( λ x i β ) ( log ( α ) exp ( λ x i β ) 1 ) ] .
Then, the 100 ( 1 ε ) % ACIs of the unknown parameters α , β and λ can be computed as follows:
α ^ ± z ε / 2 v ^ ( α ^ ) , β ^ ± z ε / 2 v ^ ( β ^ ) and λ ^ ± z ε / 2 v ^ ( λ ^ ) ,
where v ^ ( α ^ ) , v ^ ( β ^ ) and v ^ ( λ ^ ) are the estimated variances obtained from the main diagonal elements of (11), respectively. In addition, the z ε / 2 is the upper ( ε / 2 ) th percentile point of the standard normal distribution.
To get the ACIs of R ( t ) and h ( t ) of the APW distribution, we require obtaining the variances of the estimators of R ( t ) and h ( t ) . Here, we consider using the delta method which is one of the most powerful techniques to reach these variances, see Greene [12] for further information on the delta method.
To apply the delta method, we first need to get the first order derivatives of R ( t ) and h ( t ) with respect to the unknown parameters α , β , and λ as follows:
R ( t ) α = 1 + ( α 1 ) e λ t β α e λ t β ( α 1 ) 2 α e λ t β ,
R ( t ) β = λ α log ( α ) log ( t ) t β e λ t β ( α 1 ) α e λ t β ,
R ( t ) λ = α log ( α ) t β e λ t β ( α 1 ) α e λ t β ,
h ( t ) α = λ β t β 1 e λ t β α e λ t β 1 log ( α ) e λ t β 1 α α e λ t β 1 2 ,
h ( t ) β = λ t β 1 e λ t β log ( α ) 1 + β log ( t ) λ β t β log ( t ) α e λ t β 1 + λ 2 β t 2 β 1 e 2 λ t β log 2 ( α ) log ( t ) α e λ t β α e λ t β 1 2 ,
and
h ( t ) λ = β t β 1 e λ t β log ( α ) 1 λ t β α e λ t β 1 + λ β t 2 β 1 e 2 λ t β log 2 ( α ) α e λ t β α e λ t β 1 2 .
Let Υ R = ( R α , R β , R λ ) | ( α , β , λ ) = ( α ^ , β ^ , λ ^ ) and Υ h = ( h α , h β , h λ ) | ( α , β , λ ) = ( α ^ , β ^ , λ ^ ) .
Then, we can obtain the approximate estimates of the variances of R ^ ( t ) and h ^ ( t ) , respectively, as follows:
v ^ ( R ^ ) [ Υ R I 1 ( α ^ , β ^ , λ ^ ) Υ R ] and v ^ ( h ^ ) [ Υ h I 1 ( α ^ , β ^ , λ ^ ) Υ h ] ,
where I 1 ( α ^ , β ^ , λ ^ ) is given by (11). Based on these results, the ACIs of R ( t ) and h ( t ) at the confidence level 100 ( 1 ε ) can be computed, respectively, as
R ^ ( t ) ± z ε 2 v ^ ( R ^ ) and h ^ ( t ) ± z ε 2 v ^ ( h ^ ) .
In R software, for given ( x i , R i ) , i = 1 , , m data set, both point and interval frequentist estimates of α , β , λ R ( t ) or h ( t ) can be easily evaluated through ‘maxLik’ package (proposed by Henningsen and Toomet [13]), which uses the Newton–Raphson method via ‘ maxNR ( ) ’ function of maximization.

3. Bayesian Estimation

The Bayesian approach has gained significant attention in statistical analysis during the past few decades as an effective and practical alternative to the traditional approach. In this part, under SEL and LL functions, Bayes estimates of the unknown parameters are derived, together with RF, HRF, and the associated HPD credible intervals are also acquired. The different parameters are assumed to be independent and have gamma distributions. There was no conjugate prior to the APW distribution.
As a result, we presumptively use gamma priors, which are thought to be more flexible than other priors and adjust to the support of the parameters. Additionally, the independent gamma priors are clear and straightforward, which may avoid many complicated inferential issues, see also in this regard Kundu and Howlader [14], Dey et al. [15] and Nassar et al. [16]. Let α G a m m a ( a 1 , b 1 ) , β G a m m a ( a 2 , b 2 ) and λ G a m m a ( a 3 , b 3 ) . Then, the joint prior distribution of the unknown parameters can be expressed as follows:
π ( α , β , λ ) α a 1 1 β a 2 1 λ a 3 1 e ( b 1 α + b 2 β + b 3 λ ) , α , β , λ > 0 ,
where a j , b j > 0 , j = 1 , 2 , 3 , are the hyper-parameters. Combining the likelihood function in (6) with the joint prior distribution in (13), the posterior distribution of α , β and λ can be written as follows:
g ( α , β , λ | x ) = A 1 α n + a 1 1 β m + a 2 1 λ m + a 3 1 [ log ( α ) ] m ( α 1 ) n exp λ i = 1 m x i β + b 3 × exp log ( α ) i = 1 m e λ x i β b 1 α b 2 β i = 1 m 1 α e λ x i β R i ,
where A is the normalized constant and given by
A = 0 0 0 α n + a 1 1 β m + a 2 1 λ m + a 3 1 [ log ( α ) ] m ( α 1 ) n exp λ i = 1 m x i β + b 3 × exp log ( α ) i = 1 m e λ x i β b 1 α b 2 β i = 1 m 1 α e λ x i β R i d α d β d λ .
Employing SEL function, the Bayes estimator of any function of α , β and λ , say ϖ ( α , β , λ ) , can be obtained as the posterior mean expressed as follows:
ϖ ˜ ( α , β , λ ) = 0 0 0 ϖ ( α , β , λ ) π ( α , β , λ ) L ( α , β , λ ) 0 0 0 π ( α , β , λ ) L ( α , β , λ ) .
It is obvious that the Bayes estimator ϖ ˜ ( α , β , λ ) is represented as the ratio of two integrals which cannot be depicted in closed form. Consequently, a Monte Carlo Markov Chain (MCMC) technique can be operated to approximate the Bayes estimate. To apply the MCMC technique, we first need to obtain the full conditional distributions of α , β , and λ . From the posterior distribution in (14), the full conditional distributions of the three parameters can be written, respectively, in the following forms:
g 1 ( α | β , λ , x ) α m + a 1 1 [ log ( α ) ] m ( α 1 ) n exp log ( α ) i = 1 m e λ x i β b 1 α i = 1 m 1 α e λ x i β R i ,
g 2 ( β | α , λ , x ) β m + a 2 1 exp λ i = 1 m x i β log ( α ) i = 1 m e λ x i β b 2 β i = 1 m 1 α e λ x i β R i
and
g 3 ( λ | α , β , x ) λ m + a 3 1 exp λ i = 1 m x i β + b 3 log ( α ) i = 1 m e λ x i β i = 1 m 1 α e λ x i β R i .
It is clear that the full conditional distributions of α , β , and λ in (16)–(18), respectively, can not be reduced to any well-known distributions.
Consequently, generating α , β , and λ directly from these distributions is impossible utilizing the usual ways. To overcome this problem, we consider using a Metropolis–Hastings (M–H) technique. To use the M–H technique, we assume the normal distribution as the proposal distribution to acquire the Bayes estimates and to construct the HPD credible intervals for the unknown parameters as well as the RF and HRF. To yield samples from (16)–(18), we suggest applying the following steps of the M–H algorithm:
Step 1.
Set the initial values of ( α , β , λ ) , say ( α ( 0 ) , β ( 0 ) , λ ( 0 ) ) .
Step 2.
Set j = 1 .
Step 3.
Generate α from (16) from N ( α ( j 1 ) , v ^ ( α ( j 1 ) ) ) .
Step 4.
Obtain:
p ( α ( j 1 ) | α ) = min 1 , g 1 ( α | β ( j 1 ) , λ ( j 1 ) ) g 1 ( α ( j 1 ) | β ( j 1 ) , λ ( j 1 ) ) .
Step 5.
Generate u, where U U ( 0 , 1 ) .
Step 6.
If u p ( α ( j 1 ) | α ) , set α ( j ) = α , otherwise, set α ( j ) = α ( j 1 ) .
Step 7.
Repeat Steps 3–6 for β and λ to generate β ( j ) and λ ( j ) from (17) and (18), respectively.
Step 8.
Compute the RF and HRF through setting α(j), β(j) and λ(j) instead of α, β and λ, respectively, for t > 0.
Step 9.
Place j by j + 1 .
Step 10.
Redo Steps 3 to 8, Q times to compute
α ( 1 ) , β ( 1 ) , λ ( 1 ) , R ( 1 ) ( t ) , h ( 1 ) ( t ) , , α ( Q ) , β ( Q ) , λ ( Q ) , R ( Q ) ( t ) , h ( Q ) ( t ) .
Step 11.
Obtain the Bayes estimates of α , β , λ , R ( t ) and h ( t ) , say ϕ , assuming M burn-in period under SEL function as follows:
ϕ ˜ S E L = 1 Q M j = M + 1 Q ϕ ( j ) .
Step 12.
Obtain the Bayes estimates of α , β , λ , R ( t ) and h ( t ) , say ϕ , under LL function introduced by Varian [17] as follows:
ϕ ˜ L L = 1 q log j = M + 1 Q e q ϕ ( j ) Q M ,
where q 0 .
Step 13.
Apply the technique proposed by Chen and Shao [18] to compute the HPD credible intervals of α , β , λ , R ( t ) and h ( t ) .

4. Monte Carlo Simulation

To compare the behaviour of the proposed estimators for α , β , λ , R ( t ) and h ( t ) obtained in the proceeding sections, an extensive Monte Carlo simulation study is performed. Using different choices of n, m and R i , i = 1 , , m , a large number 1000 of Type-II progressive censored samples are simulated from the APW distribution when the true value of parameters ( α , β , λ ) is taken as (0.5, 1.5, 0.1). Following Nassar et al. [10], the true values of α , β and λ are selected, and one can consider other values for the unknown parameters based on their domains.
In addition, the corresponding true values of the reliability characteristics R ( t ) and h ( t ) at distinct time t = 0.5 are 0.952 and 0.145, respectively. For each specified value of n such as n = 50 (moderate) and 100 (large), different values of the failure proportion ( m / n ) 100 % such as 40 and 80% are used. It is obvious that, when the number of failed subjects exceeds (or achieves) a certain value m, the test is stopped.
Moreover, to evaluate the performance of removal patterns R i , i = 1 , , m , various censoring schemes are also considered as
Scheme - 1 : R 1 = n m , R i = 0 for i 1 , Scheme - 2 : R m 2 = n m , R i = 0 for i m / 2 , Scheme - 1 : R m = n m , R i = 0 for i m .
In addition, it is worth noting here that the kind of the proposed schemes 1, 2, and 3 behave in the same way as the left, middle, and right censoring plans, respectively. To demonstrate the effects of the gamma priors on the Bayesian estimates, two sets of hyper-parameters a i , b i , i = 1 , 2 , 3 , called Prior-1: ( a 1 , a 2 , a 3 ) = ( 2.5 , 7.5 , 0.5 ) and b i = 5 , i = 1 , 2 , 3 and Prior-2: ( a 1 , a 2 , a 3 ) = ( 5 , 15 , 1 ) and b i = 10 , i = 1 , 2 , 3 are taken into consideration. It is clear that the target posterior distribution is reduced proportionally to the corresponding likelihood function if one does not have prior information on the unknown parameters α , β , and λ . Thus, we have used informative priors 1 and 2 when those hyper-parameter values are chosen in such a way that the prior mean became the expected value of the model parameter.
Using the M–H algorithm described in Section 3, we generate 12,000 MCMC samples from each conditional posterior distribution. Then, the first 2000 MCMC iterations have been discarded as the burn-in period from the generated sequence and also checked the convergence of the generated chain. Hence, both trace and autocorrelation plots of the MCMC variates of α , β , λ , R ( t ) and h ( t ) (for ( n , m ) = ( 50 , 20 ) and Scheme-1 as an example) are plotted in Figure 2. It is evident that the MCMC iterations for all unknown parameters are mixed adequately and thus the calculated results are reasonable. Thus, using the remaining 10,000 MCMC variates, the average MCMC estimates (using SEL and LL (for q ( 2 , 0.02 , + 2 ) ) functions) and associated 95% HPD credible intervals of α , β , λ , R ( t ) and h ( t ) are computed.
The comparison between MLEs and Bayes estimates of α , β , λ , R ( t ) or h ( t ) (say ϕ “for short”) is made based on their root mean squared-error (RMSE) and mean relative absolute bias (MRAB) values, respectively, as
RMSE ( ϕ ^ τ ) = 1 B j = 1 B ϕ ^ τ ( j ) ϕ τ 2 , τ = 1 , 2 , 3 , 4 , 5 ,
and
MRAB ( ϕ ^ τ ) = 1 B j = 1 B 1 ϕ τ ϕ ^ τ ( j ) ϕ τ , τ = 1 , 2 , 3 , 4 , 5 ,
where B is the number of generated sequence data, ϕ ^ is the objective estimate of ϕ , ϕ ^ τ ( j ) denotes the estimate obtained at the j-th sample of ϕ τ , ϕ 1 = α , ϕ 2 = β , ϕ 3 = λ , ϕ 4 = R ( t ) and ϕ 5 = h ( t ) .
Furthermore, the comparison between ACIs and HPD credible intervals of the same unknown parameters is made using their average confidence lengths (ACLs) and coverage probabilities (CPs) as given, respectively, by
ACL ( 1 ε ) % ( ϕ ) = 1 B j = 1 B U ϕ ^ ( j ) L ϕ ^ ( j ) , τ = 1 , 2 , 3 , 4 , 5 ,
and
CP ( 1 ε ) % ( ϕ ) = 1 B j = 1 B 1 L ϕ ^ ( j ) ; U ϕ ^ ( j ) ϕ , τ = 1 , 2 , 3 , 4 , 5 ,
where 1 ( · ) is the indicator function and L ( · ) and U ( · ) denote the lower and upper bounds, respectively, of ( 1 ε ) % asymptotic (or HPD credible) interval of ϕ τ . It should be noted that the lower bounds of the calculated ACIs of α , β , λ , R ( t ) and h ( t ) maybe have negative values. To avoid the negative lower bounds, the log transformation method can be applied.
Via R 4.1.2 software with two useful packages, namely, ‘coda’ and ‘maxLik’ packages proposed by Plummer et al. [19] and proposed by Henningsen and Toomet [13], respectively, all numerical evaluations were carried out. Recently, these packages are also recommended by Elshahhat and Nassar [20].
The heatmap plots of the simulation results of α , β , λ , R ( t ) and h ( t ) are provided in Figure 3, Figure 4, Figure 5, Figure 6 and Figure 7, respectively. All simulation tables are presented in the Supplementary Materials. For specification based on Prior 1 (P1) as an example, several notations have been used such as the Bayes estimates based on the SEL function mentioned as ‘‘SEL-P1’’ and the Bayes estimates based on LL function using q = 2 , −0.02 and +2 mentioned as ‘‘LL1-P1’’, ‘‘LL2-P1’’ and ‘‘LL3-P1’’, respectively.
From Figure 3, Figure 4, Figure 5, Figure 6 and Figure 7, some comments can be drawn which are stated as:
  • In general, the proposed estimates of the unknown APW parameters α , β and λ (or the reliability characteristics R ( t ) and h ( t ) ) are very good in terms of lowest RMSE, MRAB and ACL values and highest CP values.
  • As n(or m) increases, all proposed estimates perform better. Similar behavior is observed in case of the total number of removal patterns, R i , i = 1 , 2 , , m , decreases.
  • Regarding the simulated outcomes for the interval estimates, we find that the lower bounds of all unknown parameters are always positive. We have also observed that the computed interval estimates of R ( t ) lie in the range (0, 1).
  • In most cases, comparing schemes 1 and 3, it can be seen that the RMSEs, MRABs and ACLs of all unknown parameters are smaller based on scheme 1 (when the remaining n m live items are removed at the time of X 1 ) scheme 3 (when the remaining n m live items removed at the time of X m ), whereas the associated CPs of all unknown parameters are smaller based on scheme 3 compared to scheme 1. This result is due to the fact that the expected duration of the experiments based on the first stage is greater than any other. Therefore, the data collected under scheme 1 provided more information about the unknown parameters α , β , λ , R ( t ) and h ( t ) than those obtained using other schemes.
  • When comparing the two Bayes estimators based on gamma priors 1 and 2, it is shown that prior 2 performs better than prior 1 in terms of the smallest RMSEs, MRABs, and ACLs, as well as the greatest CPs. This occurred because the variance of prior 2 is less than that of prior 1.
  • To sum up, the Bayes MCMC inference via the M–H algorithm is recommended to estimate the unknown parameters and the reliability characteristics of the APW distribution when the sample is progressively Type-II censored.

5. Optimal Progressive Censoring Plan

In the statistical literature, finding the optimal censoring scheme has recently gained a lot of attention; for instance, read Chapter 10 of Balakrishnan and Aggarwala [21], Ng et al. [22] and Pradhan and Kundu [23]. For fixed n and m, possible censoring schemes refer to all R 1 , , R m combinations such that m + i = 1 m R i = n and selecting the best sample technique entails locating the progressive censoring scheme that provides the most information about the unknown parameters among all conceivable progressive censoring schemes. The first concern is, of course, how to establish unknown parameter information measures based on specific progressive censoring data, and the second is how to compare two distinct information measures based on two different progressive censoring procedures; for additional information, see Elshahhat and Rastogi [7].
The discussion that follows goes over some of the optimality criteria that were used in this context. In practice, we want to choose the filtering scheme that provides the most information about the unknown parameters. Table 1 provides some commonly used optimal criteria (OC) to assist us in selecting the best progressive censoring strategy.
In terms of criteria O C 1 , we want to maximize the trace of the observed Fisher information matrix I 3 × 3 ( · ) . Furthermore, for criterion O C 2 and O C 3 , our goal is to minimize the determinant and trace of I 3 × 3 1 ( · ) , respectively.
It is obvious that the criterion O C 4 , which is dependent on the value of p, tends to minimize the variance of logarithmic MLE of the p-th quantile. As a result, for the quantile function of the APW distribution (say y ^ p ), then log ( y ^ p ) is provided by
log ( y ^ p ) = 1 β log 1 λ log 1 log ( 1 + p ( α 1 ) ) log ( α ) ,
where 0 < p < 1 . Employing the delta method, one can approximate the variance of log ( y ^ p ) . The optimum progressive censoring, on the other hand, corresponds to the maximum value of the criterion O C 1 and the lowest value of the criteria O C i , i = 2 , 3 , 4 .

6. Engineering Applications

To show how the proposed estimators can be used in a real practical situation, in this section, we shall present the analysis of two real data sets from an engineering area for illustrative purposes. The first data set (say Data-I), reported by Murthy et al. [24], consists of the failure times of 20 mechanical components. The second data set (say Data-II) represents accelerated lifetime data obtained from the Instrument Development Unit of the Physical Research Staff, Boeing Aircraft Company, by subjecting metal-coupons to stress/cycle 2.6 × 10 4 psi. This data set has been reported and analyzed by Cheng and Elsayed [25]. The ordered data points of both data sets I and II are provided in Table 2.
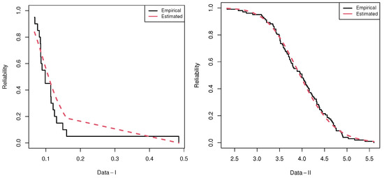
Before further proceeding to draw our estimates, to verify the validity of the APW distribution, the Kolmogorov–Smirnov (K–S) statistic is computed with its p-value based on the given data sets, see Table 3. Furthermore, based on both data sets I and II, the MLEs along with their standard errors (SEs) of the APW parameters are also calculated and provided in Table 3. It shows that the APW distribution fits both data sets I and II quite well. Moreover, the estimated/empirical RF of the APW distribution is displayed in Figure 8.
Following the generation procedure of progressively Type-II censored order statistics proposed by Balakrishnan and Cramer [26], different Type-II progressively censored samples using different choices of m and R are generated from the complete real data sets I and II, see Table 4. In short, the censoring pattern R = ( 1 , 0 , 0 , 0 , 1 ) is referred to by R = ( 1 , 0 * 3 , 1 ) . Because we lack prior information about the APW parameters, the Bayes estimates under SEL and LL (for q ( = 3 , + 3 ) ) functions are approximated by MCMC sampler under gamma improper, i.e., a i , b i = 0 , i = 1 , 2 , 3 . Using the M–H sampler, 40,000 MCMC samples are generated and the first 10,000 iterations of the simulated variates of each unknown parameter are omitted as burn-in.
Using Table 4, both maximum likelihood and Bayes estimates with their SEs of the unknown parameters of α , β and λ as well as the reliability characteristics R ( t ) and h ( t ) (at distinct times t = 0.1 and 4.5 for data sets I and II, respectively) are calculated and shown in Table 5. Moreover, two-sided 95% ACI and HPD interval estimates with their lengths are calculated and listed in Table 6. It demonstrates that the point estimates obtained by likelihood and Bayesian estimation methods of the unknown parameters α , β , λ , R ( t ) and h ( t ) are very close to each other as expected. Consequently, both ACI and HPD interval estimates of the same unknown parameters are also identical.
In addition, using Table 2, the concept of selecting an OC under the proposed criteria O C i , i = 1 , 2 , 3 , 4 in Table 1 is discussed. However, the calculated values of these criteria from each generated sample are reported in Table 7. It shows that the best progressive censoring scheme is that it removes the surviving units n m at the time of first failure X 1 . Thus, the data obtained by the censoring schemes R = ( 5 , 0 * 14 ) and R = ( 57 , 0 * 44 ) deliver more information about the unknown parameters compared to other censoring schemes based on sample S 1 from the data sets I and II, respectively.
To assess the convergence of MCMC results, trace plots of the simulated posterior samples of α , β , λ , R ( t ) and h ( t ) using the generated sample S 1 (as an example) from the given data sets I and II are displayed in Figure 9a,b, respectively. It displays 40,000 chain values of α , β , λ , R ( t ) and h ( t ) with their sample mean and two bounds of 95% HPD credible interval estimates via soled (—) and dashed (- - -) lines, respectively. It indicates that the MCMC procedure based on the remaining 40,000 variates converges satisfactorily and also shows that discarding the first 10,000 samples as burn-in is an appropriate size to erase the effect of the initial values. In addition, employing the Gaussian kernel, the marginal posterior density estimates of α , β , λ , R ( t ) and h ( t ) with their histograms under 40,000 chain values are depicted in Figure 10a,b. Likewise, in each histogram plot, the sample mean of any unknown parameter is represented as a vertical dash-dotted line (:). It is evident from the estimates that all the generated posterior samples of all unknown parameters are fairly symmetrical.
Moreover, some important properties of MCMC samples of α , β , λ , R ( t ) and h ( t ) such as: mean, median, mode, 10th percentile (10th Per.), 90th percentile (90th Per.), 1st quartile ( Q 1 ), 3rd quartile ( Q 3 ), standard deviation (St.D) and skewness are calculated and recorded in Table 8. It indicates that the central tendency measures are very close to each other and supports our findings shown in Figure 10a,b. Generally, the outcomes of the offered estimates using complete mechanical components and metal-coupons data sets I and II furnish a good demonstration of the proposed model.

7. Conclusions

This study investigated the estimation problems for the parameters, reliability, and hazard rate functions of alpha power Weibull distribution based on a progressively Type-II censored sample. In this regard, two estimation procedures are considered, namely the maximum likelihood and Bayesian estimations methods. The approximate confidence intervals of the unknown parameters are acquired and, to obtain such intervals for the reliability and hazard rate functions, the delta method is used to obtaining their variances. In the Bayesian paradigm, the MCMC technique is employed to obtain the Bayesian estimates under squared error and LINEX loss functions, and the highest posterior credible intervals are also acquired. Extensive simulation research is implemented to notice the performance of the various proposed estimators. We have also presented different criteria to select the optimal sampling scheme. Two engineering applications are studied to display the importance of the different procedures discussed in the paper. The outcomes of the numerical analysis show that the Bayesian estimation method using the MCMC approach is advised to obtain point and interval estimates of the alpha power Weibull distribution based on progressively Type-II censored data. The Bayesian estimates have the smallest root mean square errors as well as interval lengths when compared with those based on the maximum likelihood method. In addition, the real data analysis showed the flexibility of the alpha power Weibull distribution to model engineering data. As a future work, it is important to compare the Bayesian method using the Metropolis–Hastings algorithm with some other methods such as Hamiltonian Monte Carlo.

Supplementary Materials

The following are available online at https://www.mdpi.com/article/10.3390/math10162901/s1.

Author Contributions

Methodology, R.A. and M.N.; Funding acquisition, R.A.; Software, A.E.; Supervision, H.R. and A.E.; Writing—original draft, M.N. and A.E.; Writing—review and editing, H.R. and M.N. All authors have read and agreed to the published version of the manuscript.

Funding

This research was funded by Princess Nourah bint Abdulrahman University Researchers Supporting Project number (PNURSP2022R50), Princess Nourah bint Abdulrahman University, Riyadh, Saudi Arabia.

Data Availability Statement

The authors confirm that the data supporting the findings of this study are available within the article.

Acknowledgments

The authors would desire to express their thanks to the editor and the three anonymous referees for useful suggestions and valuable comments. Princess Nourah bint Abdulrahman University Researchers Supporting Project number (PNURSP2022R50), Princess Nourah bint Abdulrahman University, Riyadh, Saudi Arabia.

Conflicts of Interest

The authors declare no conflict of interest.

References

  1. Balakrishnan, N.; Lin, C.T. On the distribution of a test for exponentiality based on progressively type-II right censored spacings. J. Stat. Comput. Simul. 2003, 73, 277–283. [Google Scholar] [CrossRef]
  2. Asgharzadeh, A. Point and interval estimation for a generalized logistic distribution under progressive type II censoring. Commun. Stat.-Theory Methods 2006, 35, 1685–1702. [Google Scholar] [CrossRef]
  3. Basak, P.; Basak, I.; Balakrishnan, N. Estimation for the three-parameter log-normal distribution based on progressively censored data. Comput. Stat. Data Anal. 2009, 53, 3580–3592. [Google Scholar] [CrossRef]
  4. Kim, C.; Jung, J.; Chung, Y. Bayesian estimation for the exponentiated Weibull model under Type II progressive censoring. Stat. Pap. 2011, 52, 53–70. [Google Scholar] [CrossRef]
  5. Dey, S.; Nassar, M.; Maurya, R.K.; Tripathi, Y.M. Estimation and prediction of Marshall–Olkin extended exponential distribution under progressively type-II censored data. J. Stat. Comput. Simul. 2018, 88, 2287–2308. [Google Scholar] [CrossRef]
  6. Dey, S.; Elshahhat, A.; Nassar, M. Analysis of progressive type-II censored gamma distribution. Comput. Stat. 2022. [Google Scholar] [CrossRef]
  7. Elshahhat, A.; Rastogi, M.K. Estimation of parameters of life for an inverted Nadarajah–Haghighi distribution from Type-II progressively censored samples. J. Indian Soc. Probab. Stat. 2021, 22, 113–154. [Google Scholar] [CrossRef]
  8. Balakrishnan, N. Progressive censoring methodology: An appraisal. Test 2007, 16, 211–259. [Google Scholar]
  9. Aggarwala, R.; Balakrishnan, N. Some properties of progressive censored order statistics from arbitrary and uniform distributions with applications to inference and simulation. J. Stat. Plan. Inference 1998, 70, 35–49. [Google Scholar] [CrossRef]
  10. Nassar, M.; Alzaatreh, A.; Mead, M.; Abo-Kasem, O. Alpha power Weibull distribution: Properties and applications. Commun.-Stat.-Theory Methods 2017, 46, 10236–10252. [Google Scholar] [CrossRef]
  11. Mahdavi, A.; Kundu, D. A new method for generating distributions with an application to exponential distribution. Commun.-Stat.-Theory Methods 2017, 46, 6543–6557. [Google Scholar] [CrossRef]
  12. Greene, W.H. Econometric Analysis, 4th ed.; Prentice-Hall: NewYork, NY, USA, 2003. [Google Scholar]
  13. Henningsen, A.; Toomet, O. maxLik: A package for maximum likelihood estimation in R. Comput. Stat. 2011, 26, 443–458. [Google Scholar] [CrossRef]
  14. Kundu, D.; Howlader, H. Bayesian inference and prediction of the inverse Weibull distribution for Type-II censored data. Comput. Stat. Data Anal. 2010, 54, 1547–1558. [Google Scholar] [CrossRef]
  15. Dey, S.; Wang, L.; Nassar, M. Inference on Nadarajah–Haghighi distribution with constant stress partially accelerated life tests under progressive type-II censoring. J. Appl. Stat. 2021, 49, 1–22. [Google Scholar] [CrossRef]
  16. Nassar, M.; Dey, S.; Wang, L.; Elshahhat, A. Estimation of Lindley constant-stress model via product of spacing with Type-II censored accelerated life data. Commun.-Stat.-Simul. Comput. 2021. [Google Scholar] [CrossRef]
  17. Varian, H.R. A Bayesian approach to real state assessment. In Studies in Bayesian Econometrics and Statistics in Honor of Leonard J. Savage; Stephen, E.F., Zellner, A., Eds.; North-Holland Publishing Co.: Amsterdam, The Netherlands, 1975; p. 195208. [Google Scholar]
  18. Chen, M.H.; Shao, Q.M. Monte Carlo estimation of Bayesian credible and HPD intervals. J. Comput. Graph. Stat. 1999, 8, 69–92. [Google Scholar]
  19. Plummer, M.; Best, N.; Cowles, K.; Vines, K. CODA: Convergence diagnosis and output analysis for MCMC. R News 2006, 6, 7–11. [Google Scholar]
  20. Elshahhat, A.; Nassar, M. Bayesian survival analysis for adaptive Type-II progressive hybrid censored Hjorth data. Comput. Stat. 2021, 36, 1965–1990. [Google Scholar] [CrossRef]
  21. Balakrishnan, N.; Aggarwala, R. Progressive Censoring, Theory, Methods and Applications; Birkhauser: Boston, MA, USA, 2000. [Google Scholar]
  22. Ng, H.K.T.; Chan, C.S.; Balakrishnan, N. Optimal progressive censoring plans for the Weibull distribution. Technometrics 2004, 46, 470–481. [Google Scholar] [CrossRef]
  23. Pradhan, B.; Kundu, D. On progressively censored generalized exponential distribution. Test 2009, 18, 497–515. [Google Scholar] [CrossRef]
  24. Murthy, D.N.P.; Xie, M.; Jiang, R. Weibull Models; Wiley Series in Probability and Statistics; Wiley: Hoboken, NJ, USA, 2004. [Google Scholar]
  25. Cheng, Y.; Elsayed, E. Accelerated Life Testing Model for a Generalized Birnbaum-Saunders Distribution, QUALITA2013. 2013. Available online: https://hal.archives-ouvertes.fr/hal-00823134/ (accessed on 1 May 2022).
  26. Balakrishnan, N.; Cramer, E. The Art of Progressive Censoring; Springer: Birkhäuser, NY, USA, 2014. [Google Scholar]
Figure 1. The PDFs and HRFs of the APW distribution using some specified values.
Figure 1. The PDFs and HRFs of the APW distribution using some specified values.
Mathematics 10 02901 g001
Figure 2. Autocorrelation (top-panel) and Trace (bottom-panel) plots for MCMC draws of α , β , λ , R ( t ) and h ( t ) .
Figure 2. Autocorrelation (top-panel) and Trace (bottom-panel) plots for MCMC draws of α , β , λ , R ( t ) and h ( t ) .
Mathematics 10 02901 g002
Figure 3. The heatmaps for estimation results of α .
Figure 3. The heatmaps for estimation results of α .
Mathematics 10 02901 g003
Figure 4. The heatmaps for estimation results of β .
Figure 4. The heatmaps for estimation results of β .
Mathematics 10 02901 g004
Figure 5. The heatmaps for estimation results of λ .
Figure 5. The heatmaps for estimation results of λ .
Mathematics 10 02901 g005
Figure 6. The heatmaps for estimation results of R ( t ) .
Figure 6. The heatmaps for estimation results of R ( t ) .
Mathematics 10 02901 g006
Figure 7. The heatmaps for estimation results of h ( t ) .
Figure 7. The heatmaps for estimation results of h ( t ) .
Mathematics 10 02901 g007
Figure 8. Plot of estimated/empirical RF of the APW distribution under real data sets.
Figure 8. Plot of estimated/empirical RF of the APW distribution under real data sets.
Mathematics 10 02901 g008
Figure 9. Trace MCMC plots of α , β , λ , R ( t ) and h ( t ) under real data sets.
Figure 9. Trace MCMC plots of α , β , λ , R ( t ) and h ( t ) under real data sets.
Mathematics 10 02901 g009
Figure 10. Histograms with estimated kernel density of α , β , λ , R ( t ) and h ( t ) under real data sets.
Figure 10. Histograms with estimated kernel density of α , β , λ , R ( t ) and h ( t ) under real data sets.
Mathematics 10 02901 g010
Table 1. Some practical censorship plan optimal criteria.
Table 1. Some practical censorship plan optimal criteria.
CriterionMethod
O C 1 Maximize trace ( I 3 × 3 ( · ) )
O C 2 Minimize trace ( I 3 × 3 1 ( · ) )
O C 3 Minimize det ( I 3 × 3 1 ( · ) )
O C 4 Minimize var ( log ( y ^ p ) ) , 0 < p < 1
Table 2. The failure times of mechanical components and metal-coupons.
Table 2. The failure times of mechanical components and metal-coupons.
DataFailure Times
I0.067, 0.068, 0.076, 0.081, 0.084, 0.085, 0.085, 0.086, 0.089, 0.098,
0.098, 0.114, 0.114, 0.115, 0.121, 0.125, 0.131, 0.149, 0.160, 0.485
II2.33, 2.58, 2.68, 2.76, 2.90, 3.10, 3.12, 3.15, 3.18, 3.21, 3.21, 3.29,
3.35, 3.36, 3.38, 3.38, 3.42, 3.42, 3.42, 3.44, 3.49, 3.50, 3.50, 3.51,
3.51, 3.52, 3.52, 3.56, 3.58, 3.58, 3.60, 3.62, 3.63, 3.66, 3.67, 3.70,
3.70, 3.72, 3.72, 3.74, 3.75, 3.76, 3.79, 3.79, 3.80, 3.82, 3.89, 3.89,
3.95, 3.96, 4.00, 4.00, 4.00, 4.03, 4.04, 4.06, 4.08, 4.08, 4.10, 4.12,
4.14, 4.16, 4.16, 4.16, 4.20, 4.22, 4.23, 4.26, 4.28, 4.32, 4.32, 4.33,
4.33, 4.37, 4.38, 4.39, 4.39, 4.43, 4.45, 4.45, 4.52, 4.56, 4.56, 4.60,
4.64, 4.66, 4.68, 4.70, 4.70, 4.73, 4.74, 4.76, 4.76, 4.86, 4.88, 4.89,
4.90, 4.91, 5.03, 5.17, 5.40, 5.60
Table 3. Summary fit of the APW distribution under real data sets.
Table 3. Summary fit of the APW distribution under real data sets.
DataMLE (SE)K-S (p-Value)
α β λ
I42849.2 (9.2940)0.92007 (0.1488)21.2764 (7.1551)0.181 (0.530)
II68891.6 (2.0970)2.72066 (0.2052)0.00658 (0.0192)0.045 (0.986)
Table 4. Various Type-II progressively censored samples from mechanical components and metal-coupons data sets.
Table 4. Various Type-II progressively censored samples from mechanical components and metal-coupons data sets.
Data (Sample)mRType-II Progressive Censored Data
Data - I ( S 1 ) 15 ( 5 , 0 * 14 ) 0.067, 0.085, 0.086, 0.089, 0.098, 0.098, 0.114, 0.114, 0.115, 0.121, 0.125, 0.131,
0.149, 0.160, 0.485
Data - I ( S 2 ) ( 0 * 7 , 5 , 0 * 7 ) 0.067, 0.068, 0.076, 0.081, 0.084, 0.085, 0.085, 0.086, 0.115, 0.121, 0.125, 0.131,
0.149, 0.160, 0.485
Data - I ( S 3 ) ( 0 * 14 , 5 ) 0.067, 0.068, 0.076, 0.081, 0.084, 0.085, 0.085, 0.086, 0.089, 0.098, 0.098, 0.114,
0.114, 0.115, 0.121
Data - II ( S 1 ) 45 ( 57 , 0 * 44 ) 2.33, 4.10, 4.12, 4.14, 4.16, 4.16, 4.16, 4.20, 4.22, 4.23, 4.26, 4.28, 4.32, 4.32, 4.33,
4.33, 4.37, 4.38, 4.39, 4.39, 4.43, 4.45, 4.45, 4.52, 4.56, 4.56, 4.60, 4.64, 4.66, 4.68,
4.70, 4.70, 4.73, 4.74, 4.76, 4.76, 4.86, 4.88, 4.89, 4.90, 4.91, 5.03, 5.17, 5.40, 5.60
Data - II ( S 2 ) ( 0 * 22 , 57 , 0 * 22 ) 2.33, 2.58, 2.68, 2.76, 2.90, 3.10, 3.12, 3.15, 3.18, 3.21, 3.21, 3.29, 3.35, 3.36, 3.38,
3.38, 3.42, 3.42, 3.42, 3.44, 3.49, 3.50, 3.50, 4.52, 4.56, 4.56, 4.60, 4.64, 4.66, 4.68,
4.70, 4.70, 4.73, 4.74, 4.76, 4.76, 4.86, 4.88, 4.89, 4.90, 4.91, 5.03, 5.17, 5.40, 5.60
Data - II ( S 3 ) ( 0 * 44 , 57 ) 2.33, 2.58, 2.68, 2.76, 2.90, 3.10, 3.12, 3.15, 3.18, 3.21, 3.21, 3.29, 3.35, 3.36, 3.38,
3.38, 3.42, 3.42, 3.42, 3.44, 3.49, 3.50, 3.50, 3.51, 3.51, 3.52, 3.52, 3.56, 3.58, 3.58,
3.60, 3.62, 3.63, 3.66, 3.67, 3.70, 3.70, 3.72, 3.72, 3.74, 3.75, 3.76, 3.79, 3.79, 3.80
Table 5. Bayesian and non-Bayesian point estimates with their (SEs).
Table 5. Bayesian and non-Bayesian point estimates with their (SEs).
Data (Sample)Par.MLESELLL
q −3+3
Data - I ( S 1 ) α 5215.91 (9.9806)5215.79 (0.0012)5215.79 (0.1173)5215.79 (0.1175)
β 0.98113 (0.1654)0.97475 (0.0003)0.97475 (0.0063)0.97475 (0.0064)
λ 19.6584 (7.0600)19.5330 (0.0013)19.5331 (0.1253)19.5329 (0.1255)
R ( 0.1 ) 0.66680 (0.0897)0.65470 (0.0004)0.65472 (0.0121)0.65469 (0.0121)
h ( 0.1 ) 11.0652 (3.0169)11.3187 (0.0120)11.3274 (0.2624)11.3099 (0.2449)
Data - I ( S 2 ) α 4109.20 (16.778)4109.12 (0.0010)4109.12 (0.0812)4109.12 (0.0813)
β 0.90644 (0.1382)0.90381 (0.0002)0.90381 (0.0026)0.90380 (0.0026)
λ 17.2650 (5.2720)17.2594 (0.0002)17.2594 (0.0056)17.2594 (0.0057)
R ( 0.1 ) 0.62372 (0.0906)0.61496 (0.0004)0.61497 (0.0087)0.61497 (0.0088)
h ( 0.1 ) 11.4490 (2.9306)11.6298 (0.0109)11.6370 (0.1880)11.6227 (0.1737)
Data - I ( S 3 ) α 3037.22 (12.141)3037.10 (0.0012)3037.10 (0.0170)3037.10 (0.0172)
β 1.87803 (0.0561)1.87459 (0.0002)1.87460 (0.0034)1.87458 (0.0034)
λ 179.701 (11.682)179.581 (0.0012)179.581 (0.0196)179.580 (0.0198)
R ( 0.1 ) 0.55294 (0.0941)0.51630 (0.0004)0.51631 (0.0366)0.51629 (0.0366)
h ( 0.1 ) 30.1922 (5.9534)30.7723 (0.0289)30.8225 (0.6305)30.7221 (0.5301)
Data - II ( S 1 ) α 13184.1 (7.5350)13184.1 (0.0005)13184.1 (0.0198)13184.1 (0.0199)
β 5.49946 (1.0631)5.48942 (0.0004)5.48942 (0.0100)5.48941 (0.0101)
λ 0.00064 (0.0010)0.00065 (0.0001)0.00065 (0.0001)0.00065 (0.0001)
R ( 4.5 ) 0.54056 (0.0663)0.54319 (0.0003)0.54319 (0.0006)0.54318 (0.0026)
h ( 4.5 ) 2.02086 (0.3760)2.01151 (0.0014)2.01162 (0.0092)2.01140 (0.0095)
Data - II ( S 2 ) α 16800.2 (8.3890)16800.1 (0.0005)16800.2 (0.0192)16800.1 (0.0192)
β 2.31383 (0.2399)2.31013 (0.0002)2.31031 (0.0034)2.31030 (0.0035)
λ 0.09262 (0.0313)0.09261 (0.0001)0.09262 (0.0001)0.09261 (0.0001)
R ( 4.5 ) 0.38192 (0.0578)0.38739 (0.0003)0.38740 (0.0054)0.38738 (0.0055)
h ( 4.5 ) 1.20386 (0.2226)1.19574 (0.0007)1.19577 (0.0080)1.19571 (0.0081)
Data - II ( S 3 ) α 3044.66 (8.4211)3044.58 (0.0005)3044.58 (0.0198)3044.58 (0.0199)
β 3.62164 (0.5138)3.61722 (0.0002)3.61722 (0.0044)3.61721 (0.0044)
λ 0.01805 (0.0122)0.01805 (0.0001)0.01805 (0.0001)0.01805 (0.0001)
R ( 4.5 ) 0.11439 (0.0521)0.11968 (0.0001)0.11968 (0.0052)0.11968 (0.0053)
h ( 4.5 ) 3.17180 (0.8818)3.14771 (0.0014)3.14783 (0.0239)3.14760 (0.0242)
Table 6. Two-sided 95% ACI/HPD credible interval estimates with their [lengths].
Table 6. Two-sided 95% ACI/HPD credible interval estimates with their [lengths].
Data (Sample)Par.ACIHPD
Data - I ( S 1 ) α (5196.32,5235.40) [39.123](5215.31,5216.26) [0.9531]
β (0.65693,1.30542) [0.6485](0.87338,1.07297) [0.1996]
λ (5.82054,33.4950) [27.675](19.0529,20.0088) [0.9558]
R ( 0.1 ) (0.49101,0.84254) [0.3515](0.47944,0.81220) [0.3328]
h ( 0.1 ) (5.15220,16.9792) [11.826](6.87047,16.1170) [9.2466]
Data - I ( S 2 ) α (4076.31,4142.13) [65.768](4108.73,4109.50) [0.7729]
β (0.63542,1.17737) [0.5418](0.80770,0.99710) [0.1894]
λ (6.93170,27.5973) [20.666](17.1641,17.3587) [0.1947]
R ( 0.1 ) (0.44621,0.80144) [0.3552](0.44479,0.77855) [0.3338]
h ( 0.1 ) (5.70540,17.1932) [11.488](7.37171,15.8363) [8.4646]
Data - I ( S 3 ) α (3013.30,3060.72) [47.601](3036.62,3037.58) [0.9636]
β (1.76811,1.98784) [0.2197](1.78621,1.97273) [0.1865]
λ (156.853,202.630) [45.780](179.099,180.057) [0.9579]
R ( 0.1 ) (0.33851,0.70724) [0.3687](0.34780,0.69582) [0.3480]
h ( 0.1 ) (18.5234,41.8603) [23.337](19.6077,42.0103) [22.403]
Data - II ( S 1 ) α (13169.3,13198.8) [29.538](13183.8,13184.3) [0.3942]
β (3.81867,7.58206) [4.1652](5.34999,5.63856) [0.2886]
λ (0.00000,0.00269) [0.0027](0.00051,0.00080) [0.0003]
R ( 4.5 ) (0.41053,0.67058) [0.2601](0.43642,0.65180) [0.2154]
h ( 4.5 ) (1.28400,2.75771) [1.4737](1.46978,2.52883) [1.0591]
Data - II ( S 2 ) α (16783.7,16816.6) [32.883](16799.1,16800.4) [0.3907]
β (1.84368,2.78397) [0.9403](2.23453,2.38518) [0.1506]
λ (0.03119,0.15403) [0.1228](0.09242,0.09281) [0.0004]
R ( 4.5 ) (0.26859,0.49524) [0.2266](0.28783,0.48894) [0.2011]
h ( 4.5 ) (0.76764,1.64008) [0.8724](0.91844,1.47679) [0.5583]
Data - II ( S 3 ) α (3028.16,3061.17) [33.009](3044.39,3044.78) [0.3863]
β (2.61458,4.62870) [2.0141](3.53864,3.69566) [0.1570]
λ (0.00000,0.04193) [0.0477](0.01786,0.01825) [0.0004]
R ( 4.5 ) (0.01219,0.21660) [0.2044](0.06977,0.17712) [0.1074]
h ( 4.5 ) (1.44349,4.90012) [3.4566](2.62990,3.70098) [1.0711]
Table 7. Optimum censoring schemes under different criteria for the generated samples.
Table 7. Optimum censoring schemes under different criteria for the generated samples.
Data (Sample) OC
1234
p 0.30.60.9
Data - I ( S 1 ) 424.215149.48412.53410.000030.000040.00005
Data - I ( S 2 ) 403.364309.30619.40840.000140.000270.00104
Data - I ( S 3 ) 373.326283.85422.62680.000140.000250.00101
Data - II ( S 1 ) 555,341,87557.9098 1.145 × 10 7 0.003120.005840.00898
Data - II ( S 2 ) 34,643.9570.4282 1.189 × 10 4 0.009730.015130.04476
Data - II ( S 3 ) 939,839.571.1757 1.978 × 10 5 0.003390.006050.02257
Table 8. Vital characteristics of MCMC outputs under real data sets.
Table 8. Vital characteristics of MCMC outputs under real data sets.
Data (Sample)Par.MeanMedianMode10th Per. Q 1 Q 3 90th Per.St.DSkewness
Data - I ( S 1 ) α 5215.7935215.7905215.3885215.7615215.8215215.9565216.0170.2455180.042190
β 0.9747500.9746910.9475880.9185760.9455111.0082121.0371570.0512190.079699
λ 19.5330219.5344319.3679719.5094119.5693019.7061119.766020.2510620.012388
R ( 0.1 ) 0.6547030.6584590.6181900.5514490.6031010.7124320.7560410.087047−0.267609
h ( 0.1 ) 11.3186711.2751912.315998.5106739.77398112.8001114.194192.4086060.166149
Data - II ( S 1 ) α 13184.0813184.0813184.0313183.9513184.0113184.1513184.210.100155−0.019713
β 5.4894165.4876435.5131355.3982415.4410765.5375825.5830230.0733730.097865
λ 0.0006500.0006480.0006190.0005580.0006010.0006970.0007420.0000730.158549
R ( 4.5 ) 0.5431880.5432670.5502410.4708490.50504010.5813780.6157870.055517−0.048618
h ( 4.5 ) 2.0115122.0031451.9800091.6625261.8221362.1911682.3686360.2722260.201025
Publisher’s Note: MDPI stays neutral with regard to jurisdictional claims in published maps and institutional affiliations.

Share and Cite

MDPI and ACS Style

Alotaibi, R.; Nassar, M.; Rezk, H.; Elshahhat, A. Inferences and Engineering Applications of Alpha Power Weibull Distribution Using Progressive Type-II Censoring. Mathematics 2022, 10, 2901. https://doi.org/10.3390/math10162901

AMA Style

Alotaibi R, Nassar M, Rezk H, Elshahhat A. Inferences and Engineering Applications of Alpha Power Weibull Distribution Using Progressive Type-II Censoring. Mathematics. 2022; 10(16):2901. https://doi.org/10.3390/math10162901

Chicago/Turabian Style

Alotaibi, Refah, Mazen Nassar, Hoda Rezk, and Ahmed Elshahhat. 2022. "Inferences and Engineering Applications of Alpha Power Weibull Distribution Using Progressive Type-II Censoring" Mathematics 10, no. 16: 2901. https://doi.org/10.3390/math10162901

APA Style

Alotaibi, R., Nassar, M., Rezk, H., & Elshahhat, A. (2022). Inferences and Engineering Applications of Alpha Power Weibull Distribution Using Progressive Type-II Censoring. Mathematics, 10(16), 2901. https://doi.org/10.3390/math10162901

Note that from the first issue of 2016, this journal uses article numbers instead of page numbers. See further details here.

Article Metrics

Back to TopTop