Analysis of Stochastic M/M/c/N Inventory System with Queue-Dependent Server Activation, Multi-Threshold Stages and Optional Retrial Facility
Abstract
1. Introduction
Literature Review
2. Model Description
3. Main Results
3.1. Analysis of Infinitesimal Generator Matrix
3.2. Matrix Geometric Approximation
Steady State Analysis
3.3. Limiting Behaviour of the System
3.4. Computation of System Performance Measures
4. Waiting Time Analysis
Waiting Time of a Customer in Queue and Orbit
5. Results to the without Server Activation Model
6. Cost Analysis and Numerical Illustration
Numerical Results and Discussions
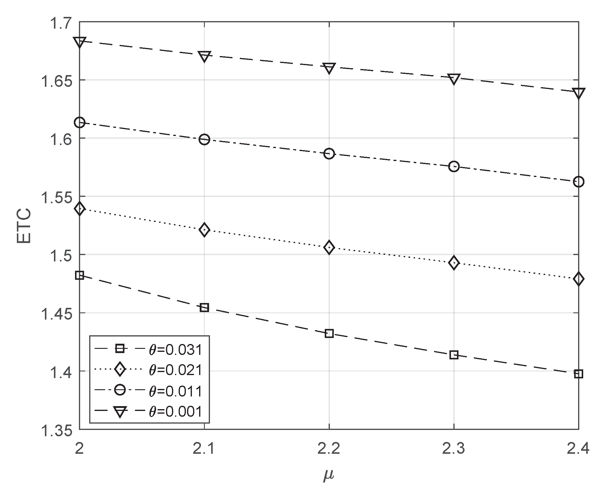
- Figure 2 shows that the impact of λ and θ on the ETC. If we increase then ETC will increase. One can notice that, with the smaller value of λ, we obtain the optimum ETC. Whereas, when we increase θ, the ETC will be reduced. Generally, the arrival flow causes the increase in total cost because λ is directly proportional to the number of customers in the queue as well as the orbit. For both types of customers, the system requires the corresponding waiting cost for them. Contrary to that, the number of customers in the orbit will be reduced when θ increases. Since the product value of the waiting cost and the remaining customer in the orbit becomes a reduced one, we will obtain the minimum total cost.
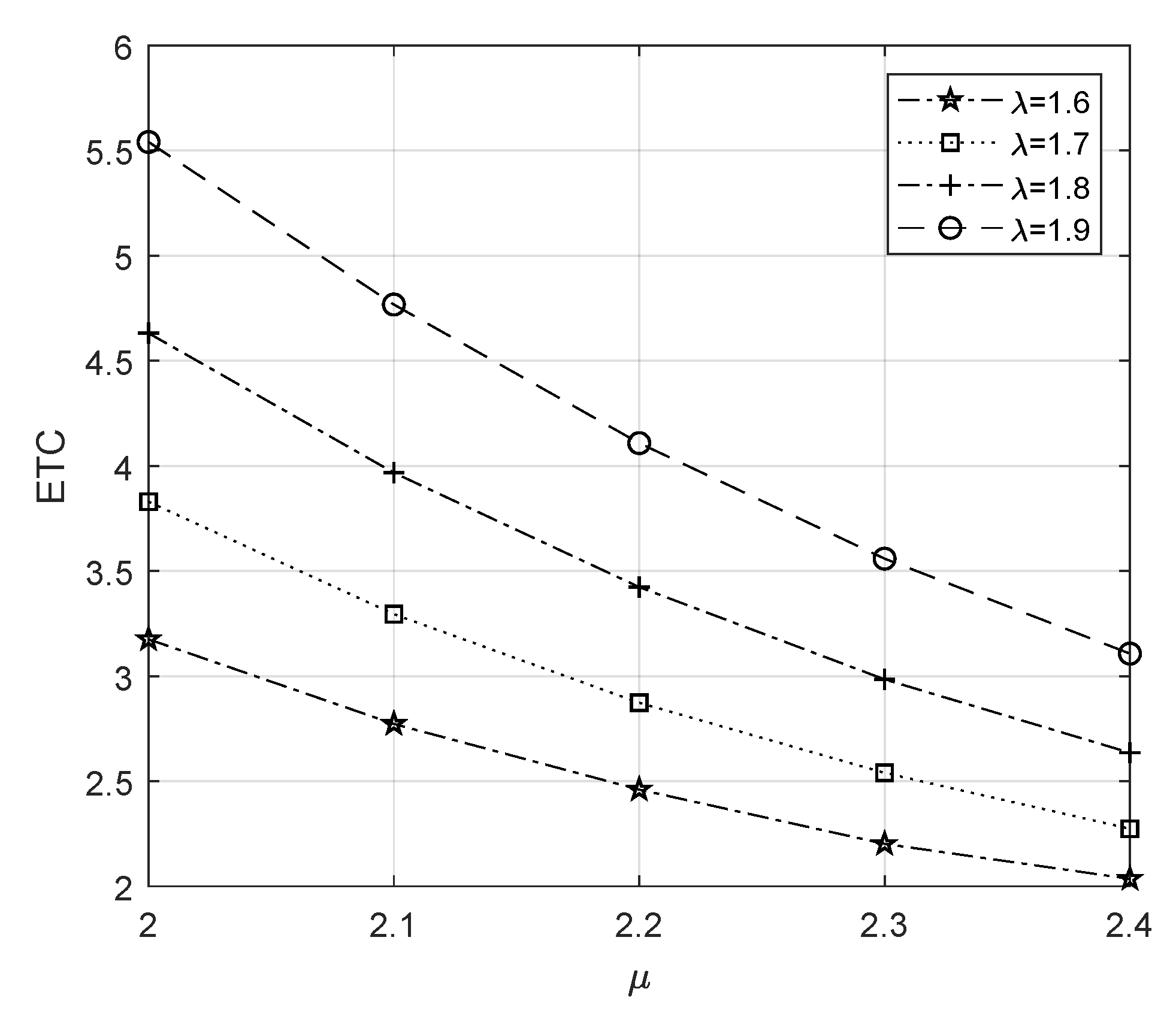
- The intensity rate, μ, causes the reduction of ETC if it increases. This is because the average service time per customer reduces if μ increases. Since it reduces the number of customer in the waiting hall and orbit, the sum of and are decreased. Therefore, the total cost is reduced when μ increases. This is shown in Figure 3.
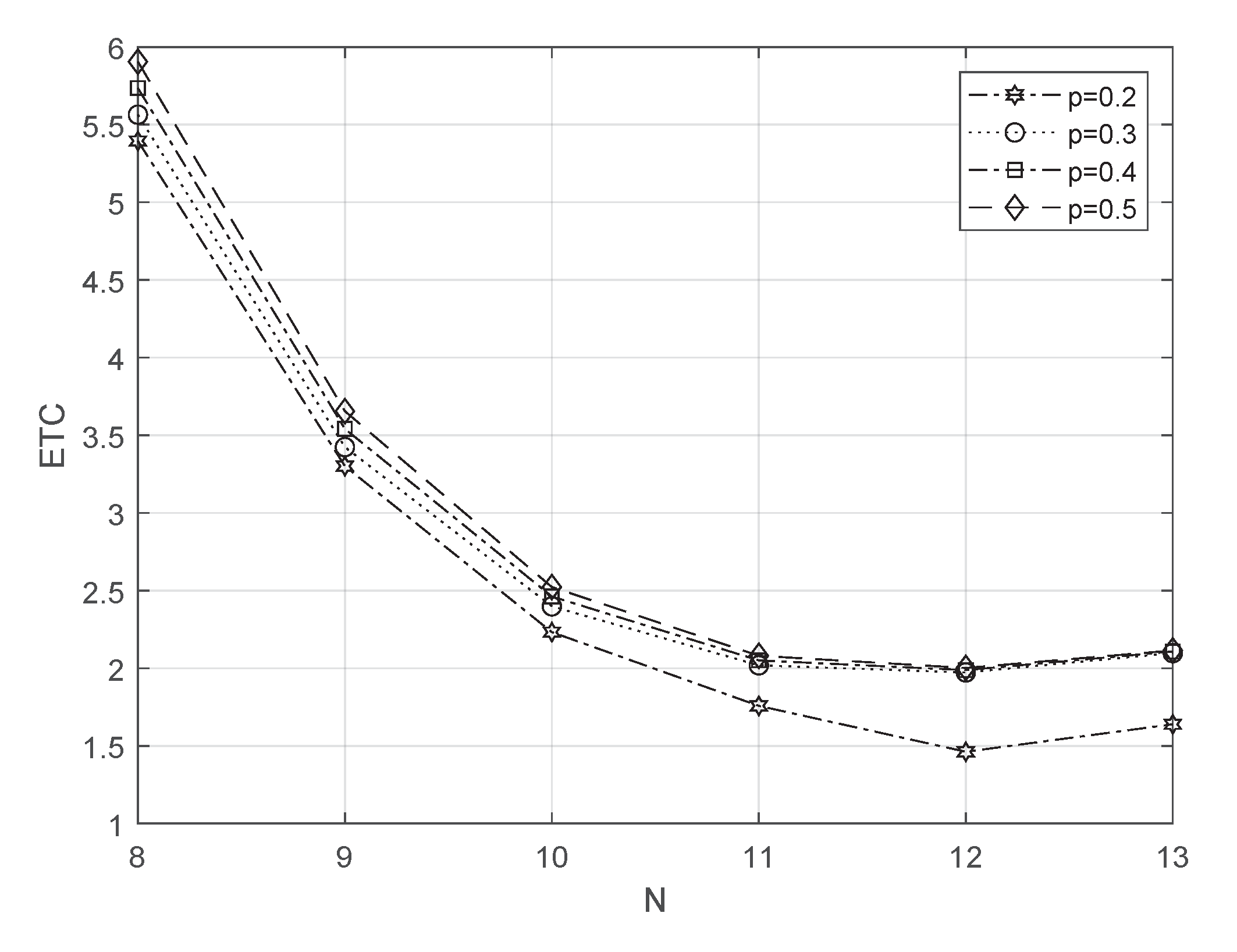
- Furthermore, the ETC can also be determined when the probability p and queue size N are varied together in Figure 5. There is an interesting fact to notice that, when we increase the queue capacity to N, it will produce the convex values for each p. So, this helps us find the optimal N for each p.
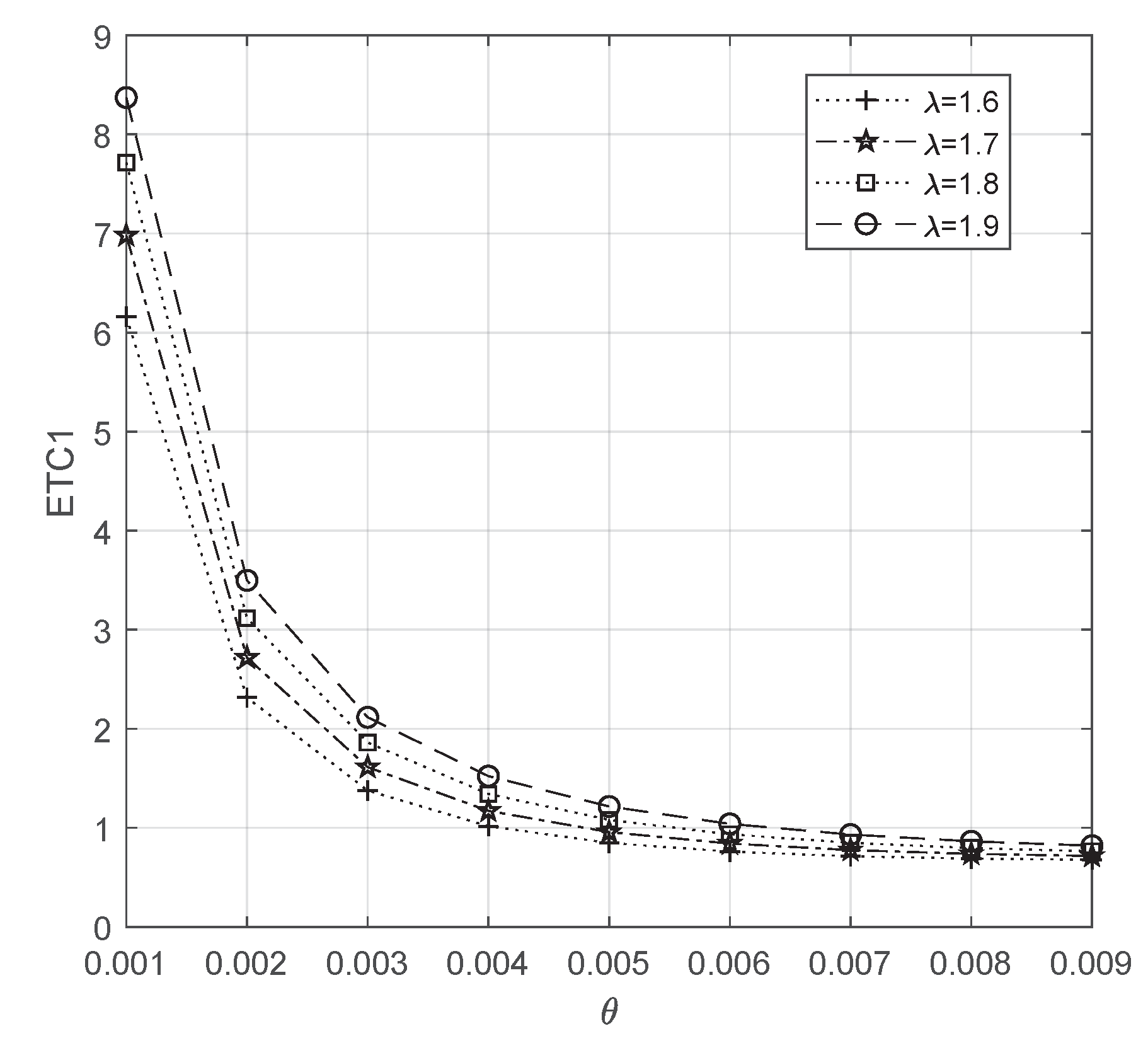
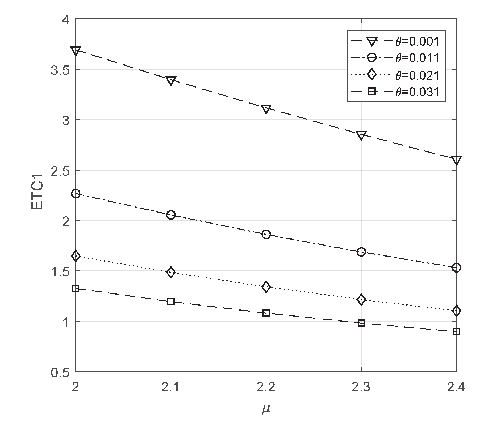
- As we discussed in the Figure 2, Figure 3, Figure 4 and Figure 5, the same parameters are discussed for the WSAM in the Figure 6, Figure 7, Figure 8 and Figure 9, respectively. The later figures express the average total cost of the WSAM, which is determined as ETC1. The characteristics of the parameters in the Figure 6, Figure 7, Figure 8 and Figure 9 hold the same property as we see in Figure 2, Figure 3, Figure 4 and Figure 5. Now, the comparison result tells us the ETC1 of the WSAM is higher than the SAM. That is the proposed model will have the minimized total cost. So, the SAM is more effective than WSAM.
- Table 1 shows the impact of waiting time on a customer in the queue when λ and μ are increased simultaneously. The service rate reduces the customer’s waiting time whenever it increases. It should be noted that the parameter λ has both decreasing and increasing property on the waiting time of a customer if it increases. That is, λ does not hold the monotonic property for determining the waiting time of a customer in the queue. Thus, this analysis gives an optimum λ to determine the waiting time of a customer in the queue.
- If the retrial rate θ increases, then the number of customers in the queue increases, and on following this, their waiting time also increases, which is shown in Table 2. On the other hand, when we reduce the average service time per customer, the number of customers in the waiting hall will be reduced. This will help us minimise the expected waiting time of a customer when μ increases. Here, θ and μ hold the monotonic property on the waiting time of a customer in the queue.
- When the arrival rate increases, the waiting time of customers in the orbit increases. This is because the number of customers in the queue becomes full if λ increases. It also causes a rise in the number of customers in orbit and an unsuccessful retrial process for orbit customers. Thus, their waiting time increases. Since the service rate reduces the number of customers in the queue, orbit customers can easily get into the queue. This implies that the waiting time of an orbit customer reduces whenever μ increases. These facts are shown in Table 3.
- Table 4 shows that the waiting time of a customer in the orbit when θ and μ are varied simultaneously. Here too, μ preserves its monotonic property, as we shown in Table 3. Next, when we observe θ, it reduces the customer waiting time in orbit when it increases. Because the number of orbit customers going to the queue will be successful, so, the time of a customer has to stay in orbit will be reduced.
- As the probability p increases, customers waiting time in the queue increases. If p increases, it means that the number of customers in the orbit will increase, and following this, at some random time, the number of customers entering the queue from an orbit will increase. Therefore, the probability p causes the increase of waiting time of a customer in the queue as well as the orbit whenever it increases and are shown in Table 5 and Table 6, respectively.
- When we expand the queue size, N, we obtain the optimal N on the waiting time of a customer in the queue where as it reduces the waiting time of a customer in the orbit if we increase N. As the queue size increases, there will be an opportunity for an orbit customer to join the queue. That’s why their waiting time will be decreased. This information is obtained from Table 5 and Table 6.
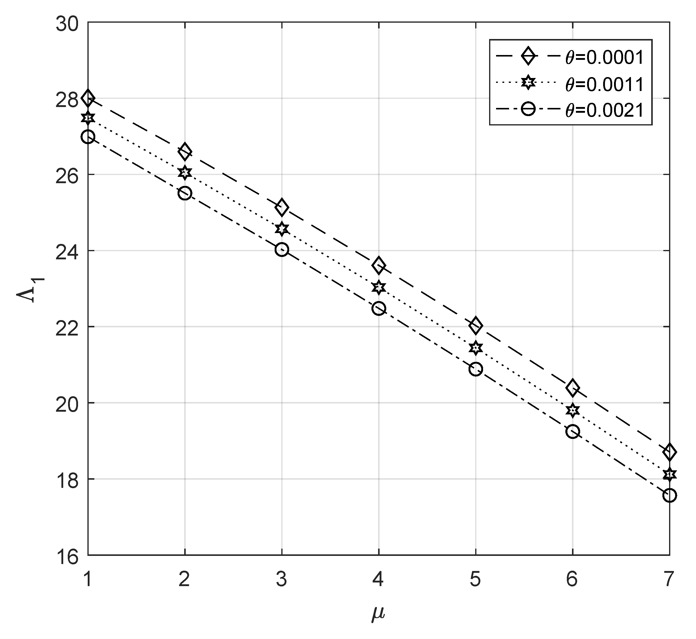
- When both parameters, λ and θ, increase, the mean inventory level reduces. Since every arrival requires an item from the inventory, the mean inventory level reduces according to the increase in arrival flow. This is shown in Figure 10.
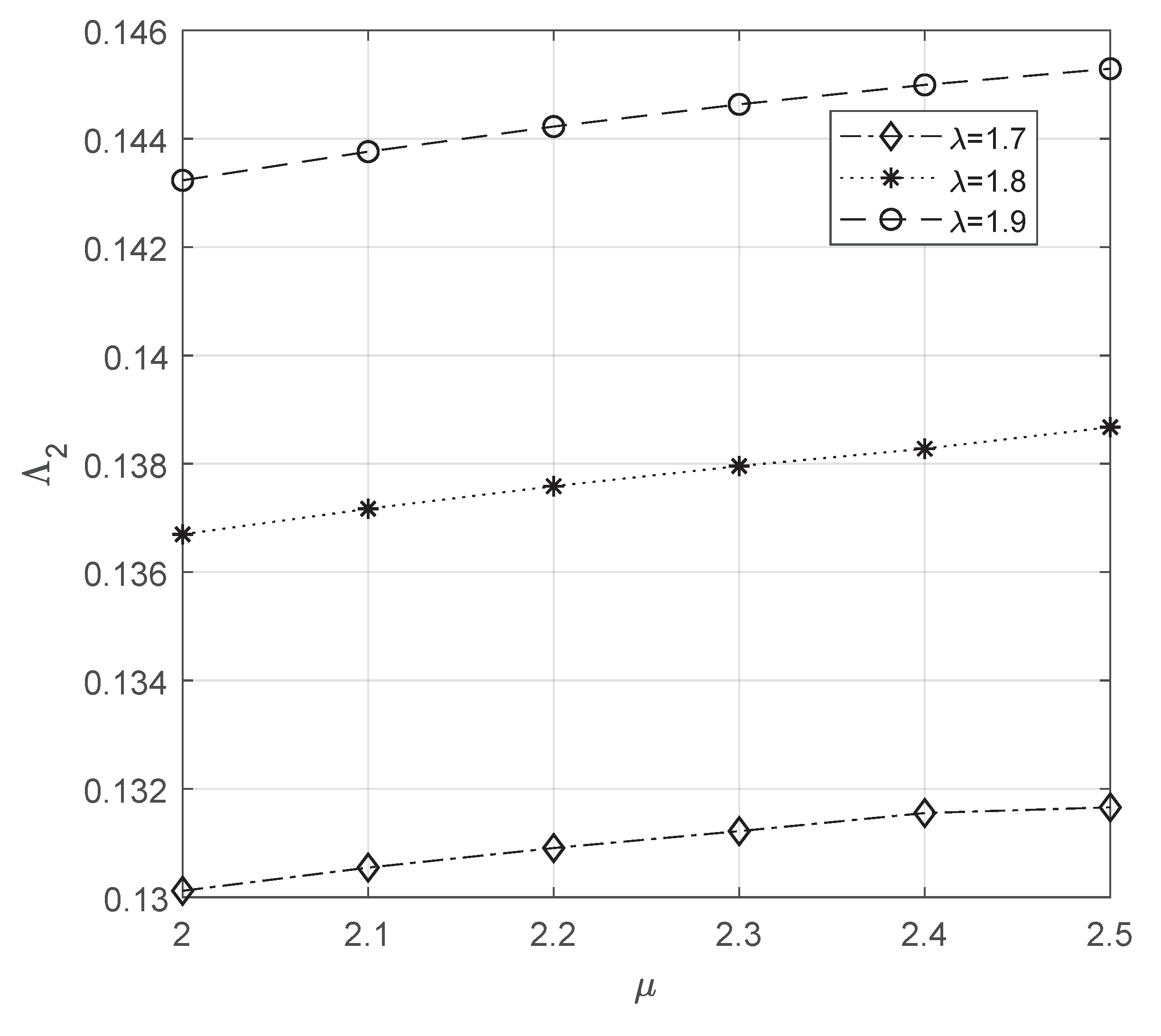
- If the service rate μ increases, the mean inventory level reduces. Because at the time of every service completion, there will be one unit in the inventory depleted. So that mean inventory level is reduced as shown in Figure 11.
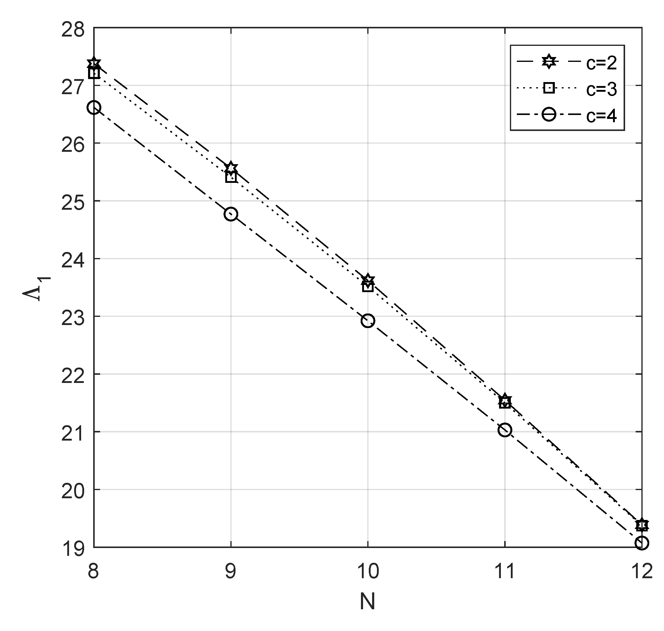
- In Figure 13, we determine the mean inventory level under the combination of c and N. The expansion of queue capacity N reduces the mean inventory level because more number of customers can arrive to the system without lost. So, due to the increase in arrivals, the mean inventory level reduces. When we increase the number of active servers according to the queue length, the mean inventory level is reduced.
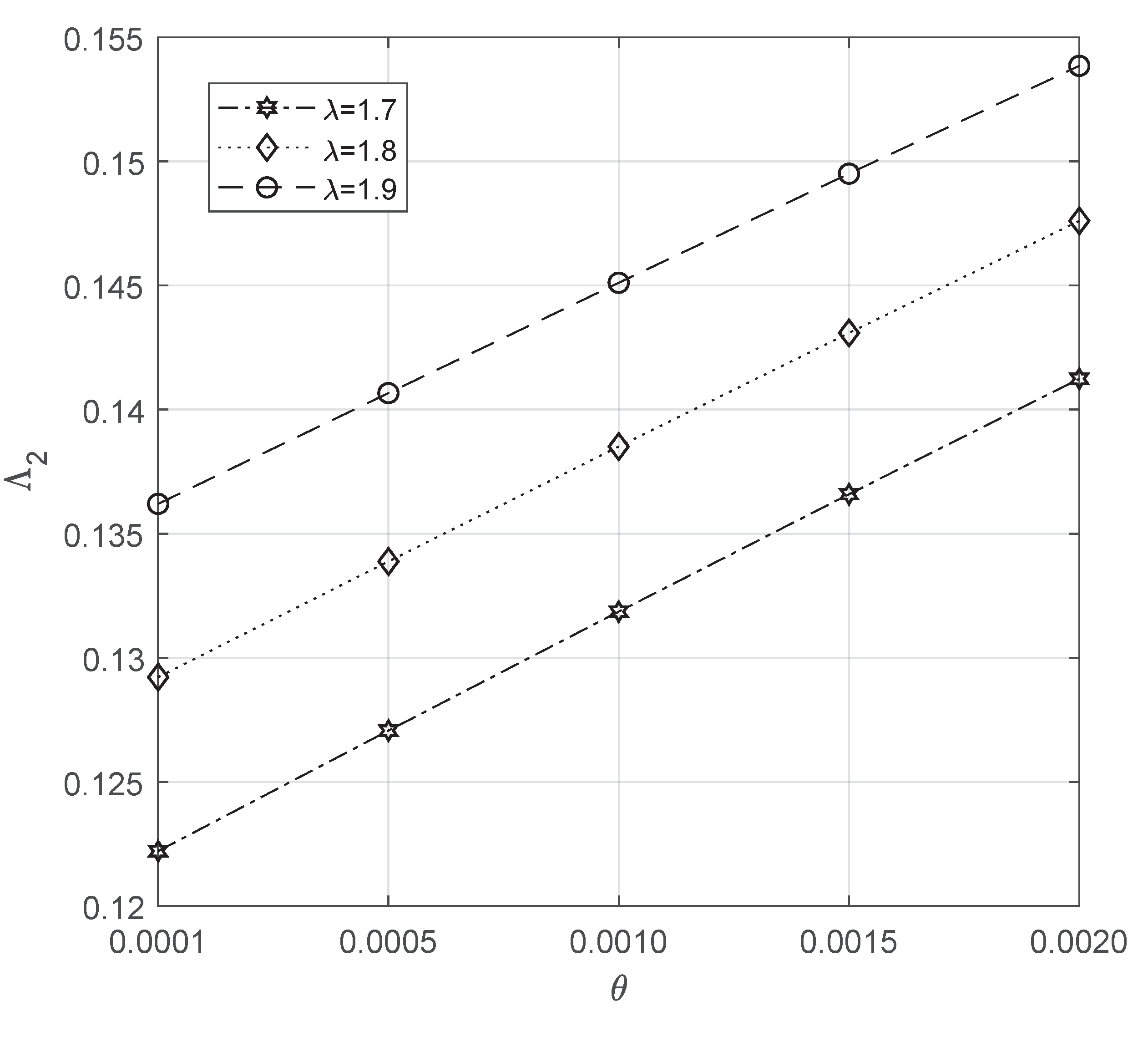
- Figure 14 shows the interpretation of the parameters λ and θ. If we increase both λ and θ simultaneously, the mean reorder rate will increase. Because both λ and θ will cause a decrease in mean inventory in the system. Therefore, the replenishment process will be triggered whenever the current number of inventory falls to s.
- If we increase the number of servers and queue capacity simultaneously, the mean reorder rate will increase. Because both will cause the mean inventory level to decrease. This interpretation is shown in Figure 16.
- Figure 17 explores the impact of probability p. If we increase p, the mean reorder rate will increase because it will cause the number of tagged customers to increase.
- The arrival rate, λ, induces the increase of customers lost whenever it increases. Due to the finite capacity of queue size, the mean customers lost will increase if the number of customers in the queue increases.
- The mean customer loss is reduced when the service rate μ increases. Since the average service time per customer reduces, the number of customers in the queue will be reduced, and this will reduce the mean customers lost.
- If we increase the number of servers in the system, an arriving customer need not wait a long time in the queue. This process will always keep available space in the queue. Thus, the mean number of customers lost will be controlled.
- The probability value, p, increases, meaning that, whenever the queue size is full, an arriving new customer chooses the orbit is increased. Thus, the mean customer loss is reduced.
- Suppose we expand the queue size N, there will be more number of customers utilize the queue to purchase the item. So that, the mean customer lost is decreased when N is increased.
- The service parameter μ will cause an increase of for retrial customers. Since the average service time per customer is reduced, the number of available places in the queue will increase. So, the retrial customer approaching the system will also be successful. On the other hand, the mean number of busy servers is decreased when μ is increased. It helps to reduce the number of customers in the queue. As the size of the queue decreases, the active server will be deactivated soon. That is why the mean number of busy servers will be reduced if μ is increased.
- The retrial rate θ induce the decrease of if it increases. This decrement happened due to the impact of the successful rate of retrial and the overall rate of retrial. Both will increase if θ increases. In this situation, the rate of increase in the overall rate of retrial is faster than the rate of successful rate of retrial. Due to this difference, the fraction of successful rate of retrial will decrease when θ increases.
- When λ increases, the will be decreased. Because the occurrence of primary arrival causes the non-availability of the space in the queue. This implies that the successful rate of retrial will be decreased. Therefore, is reduced if λ increases. The mean number of active servers will be increased as the queue size increases. This is because the increase in arrivals reaches the next threshold level as soon as it does. So, the new server will be activated according to the queue length.
- Furthermore, if we increase the number of active servers according to the queue length, the fraction of the successful rate of retrial and the mean number of busy servers will increase. This is because, according to the increased number of busy servers, the number of customers in the queue will be reduced. This will give the retrial customer an opportunity to enter the waiting hall. Thus, their fraction of successful rate of retrial will increase. Similarly, the mean number of active servers also increases.
7. Conclusions
7.1. Limitations and Prospects of the Model
- The activation/deactivation of the server is triggered whenever the corresponding queue length hits the respective threshold level. Mostly, the system manager uses the server if there is a requirement. Otherwise, the servers are not used. This strategy will reduce the cost of the servers in the business, and the average total cost of the business is also controlled.
- Since some servers’ working durations are very short, the company has the chance to earn more profit. Because the servers will be deactivated as soon as the queue length is reduced.
- During the deactivation period of the server, the system manager may utilize the server to do the other pending tasks in the system. This idea also helps us to increase the system’s profit rate.
- Even though we provide a generalized result for SAM and WSAM, this model is completely different from the regular multi-server model or WSAM. This is because the key idea of this study is to analyse the impact of the temporary servers on the business service. In real-life, many business services are available related to our proposed model (see online food delivery business, online shopping business, and so on). As for their needs, they increased their servers. So the comparative study between SAM and WSAM will not be an effective one.
- The cost analysis between SAM and WSAM under the parameter variation shows that SAM helps us to minimize the total cost of the system. That is why many business people recruit part-time workers in their business services.
- There will be an opportunity to study the variance of the waiting time of a customer by using the moment of waiting time distribution. This variance discussion will give a clear idea about their waiting time.
7.2. Remarks on the Results
7.3. Future Direction
Author Contributions
Funding
Institutional Review Board Statement
Informed Consent Statement
Data Availability Statement
Acknowledgments
Conflicts of Interest
Abbreviations
References
- Melikov, A.Z.; Molchanov, A.A. Stock optimization in transport/storage. Cybern. Syst. Anal. 1992, 28, 484–487. [Google Scholar] [CrossRef]
- Sigman, K.; Simchi-Levi, D. Light traffic heuristic for an M/G/1 queue with limited inventory. Ann. Oper. Res. 1992, 40, 371–380. [Google Scholar] [CrossRef]
- Lawrence, A.S.; Sivakumar, B.; Arivarignan, G. A perishable inventory system with service facility and finite source. Appl. Math. Model. 2013, 37, 4771–4786. [Google Scholar] [CrossRef]
- Krishnamoorthy, A.; Joshua, A.N.; Kozyrev, D. Analysis of a Batch Arrival, Batch Service Queuing-Inventory System with Processing of Inventory While on Vacation. Mathematics 2021, 9, 219. [Google Scholar] [CrossRef]
- Jeganathan, K.; Selvakumar, S.; Anbazhagan, N.; Amutha, S.; Hammachukiattikul, P. Stochastic modeling on M/M/1/N inventory system with queue-dependent service rate and retrial facility. AIMS Math. 2021, 6, 7386–7420. [Google Scholar] [CrossRef]
- Sugapriya, C.; Nithya, M.; Jeganathan, K.; Anbazhagan, N.; Joshi, G.P.; Yang, E.; Seo, S. Analysis of Stock-Dependent Arrival Process in a Retrial Stochastic Inventory System with Server Vacation. Processes 2022, 10, 176. [Google Scholar] [CrossRef]
- Amirthakodi, M.; Sivakumar, B. An inventory system with service facility and feedback customers. Int. J. Ind. Syst. Eng. 2019, 33, 374–411. [Google Scholar] [CrossRef]
- Chakravarthy, S.R.; Maity, A.; Gupta, U.C. An ‘(s, S)’ inventory in a queueing system with batch service facility. Ann. Oper. Res. 2017, 258, 263–283. [Google Scholar] [CrossRef]
- Jeganathan, K.; Reiyas, M.A.; Padmasekaran, S.; Lakshmanan, K. An M/EK/1/N Queueing-Inventory System with Two Service Rates Based on Queue Lengths. Int. J. Appl. Comput. Math. 2017, 3, 357–386. [Google Scholar] [CrossRef]
- Jeganathan, K.; Reiyas, M.A.; Selvakumar, S.; Anbazhagan, N. Analysis of Retrial Queueing-Inventory System with Stock Dependent Demand Rate: (s, S) Versus (s, Q) Ordering Policies. Int. J. Appl. Comput. Math. 2020, 6, 1–29. [Google Scholar] [CrossRef]
- Krishnamoorthy, A.; Manikandan, R.; Lakshmy, B. A revisit to queueing-inventory system with positive service time. Ann. Oper. Res. 2015, 233, 221–236. [Google Scholar] [CrossRef]
- Sangeetha, N.; Sivakumar, B. Optimal service rates of a perishable inventory system with service facility. Int. J. Math. Oper. Res. 2020, 16, 515–550. [Google Scholar] [CrossRef]
- Yadavalli, V.S.S.; Jeganathan, K.; Venkatesan, T.; Padmasekaran, S.; Jehoashan Kingsly, S. A retrial queueing-inventory system with J-additional options for service and finite source. ORiON 2017, 33, 105–135. [Google Scholar] [CrossRef]
- Liu, Z.; Luo, X.; Wu, J. Analysis of an M/PH/1 Retrial Queueing-Inventory System with Level Dependent Retrial Rate. Math. Probl. Eng. 2020, 2020, 1–10. [Google Scholar] [CrossRef]
- Jeganathan, K.; Abdul Reiyas, M.; Prasanna Lakshmi, K.; Saravanan, S. Two server Markovian inventory systems with server interruptions:Heterogeneous vs. homogeneous servers. Math. Comput. Simul. 2019, 155, 177–200. [Google Scholar] [CrossRef]
- Jeganathan, K.; Melikov, A.Z.; Padmasekaran, S.; Jehoashan Kingsly, S.; Prasanna Lakshmi, K. A Stochastic Inventory Model with Two Queues and a Flexible Server. Int. J. Appl. Comput. Math. 2019, 5, 1–27. [Google Scholar] [CrossRef]
- Jeganathan, K.; Reiyas, M.A. Two parallel heterogeneous servers Markovian inventory system with modified and delayed working vacations. Math. Comput. Simul. 2020, 172, 273–304. [Google Scholar] [CrossRef]
- Jeganathan, K.; Selvakumar, S.; Saravanan, S.; Anbazhagan, N.; Amutha, S.; Cho, W.; Joshi, G.P.; Ryoo, J. Performance of Stochastic Inventory System with a Fresh Item, Returned Item, Refurbished Item, and Multi-Class Customers. Mathematics 2022, 10, 1137. [Google Scholar] [CrossRef]
- Krishnamoorthy, A.; Manikandan, R.; Shajin, D. Analysis of a Multi-server Queueing-Inventory System. Adv. Oper. Res. 2015, 2015, 1–16. [Google Scholar] [CrossRef]
- Yadavalli, V.S.S.; Sivakumar, B.; Arivarignan, G.; Adetunji, O. A finite source multi-server inventory system with service facility. Comput. Ind. Eng. 2012, 63, 739–753. [Google Scholar] [CrossRef]
- Wang, F.; Bhagat, A.; Chang, T. Analysis of priority multi-server retrial queueing inventory systems with MAP arrivals and exponential services 2012, OPSEARCH. In Operational Research Society of India; Springer: Berlin/Heidelberg, Germany, 2017; Volume 54, pp. 44–66. [Google Scholar]
- Nair, A.N.; Jaccob, M.J. On the distribution of an (r,Q) inventory with lead time via multi server queues. Int. J. Intell. Enterp. 2015, 3, 3–18. [Google Scholar] [CrossRef]
- Chakravarthy, S.R.; Shajin, D.; Krishnamoorthy, A. Infinite Server Queueing-Inventory Models. J. Indian Soc. Probab. Stat. 2020, 21, 43–68. [Google Scholar] [CrossRef]
- Wang, F. Approximation and Optimization of a Multi-Server Impatient Retrial Inventory-Queueing System with Two Demand Classes. Qual. Technol. Quant. Manag. 2015, 12, 269–292. [Google Scholar] [CrossRef]
- Hanukov, G.; Avinadav, T.; Chernonog, T.; Yechiali, U. A multi-server queueing-inventory system with stock-dependent demand. IFAC-PapersOnLine 2019, 52, 671–676. [Google Scholar] [CrossRef]
- Nair, A.N.; Jacob, M.J.; Krishnamoorthy, A. The multi server M/M/(s,S) queueing inventory system. Ann. Oper. Res. 2013, 233, 321–333. [Google Scholar] [CrossRef]
- Paul, M.; Sivakumar, B.; Arivarignan, G. A Multi-Server Perishable Inventory SystemWith Service Facility. Pac. J. Appl. Math. 2009, 2, 69–82. [Google Scholar]
- Rajkumar, M.; Sivakumar, B.; Arivarignan, G. An infinite queue at a multi-server inventory system. Int. J. Inventory Res. 2014, 2, 189–221. [Google Scholar] [CrossRef]
- Rasmi, K.; Jacob, M.J. Analysis of a multiserver queueing inventory model with self-service. Int. J. Math. Model. Numer. Optim. 2021, 11, 275–291. [Google Scholar] [CrossRef]
- Jeganathan, K.; Harikrishnan, T.; Selvakumar, S.; Anbazhagan, N.; Amutha, S.; Acharya, S.; Dhakal, R.; Joshi, G.P. Analysis of Interconnected Arrivals on Queueing-Inventory System with Two Multi-Server Service Channels and One Retrial Facility. Electronics 2021, 10, 576. [Google Scholar] [CrossRef]
- Wang, K.H.; Tai, K.Y. A queueing system with queue-dependent servers and finite capacity. Appl. Math. Model. 2000, 24, 807–814. [Google Scholar] [CrossRef]
- Jain, M. Finite Capacity M/M/r Queueing System with Queue-Dependent Servers. Comput. Math. Appl. 2005, 50, 187–199. [Google Scholar] [CrossRef][Green Version]
- Wei, F. Algorithm for waiting time distribution of a discrete-time multi-server queue with deterministic service times and multi-threshold service policy. Procedia Comput. Sci. 2011, 4, 1383–1392. [Google Scholar] [CrossRef]
- Chakravarthy, S.R. A Multi-Server Queueing Model With Markovian Arrivals and Multiple Thresholds. Asia-Pac. J. Oper. Res. 2007, 24, 223–243. [Google Scholar] [CrossRef]
- Neuts, M.F. Matrix-Geometric Solutions in Stochastic Models—An Algorithmic Approach; Dover Publication Inc.: New York, NY, USA, 1981. [Google Scholar]
- Lopez-Herrero, M.J. Waiting time and other first-passage time measures in an (s,S) inventory system with repeated attempts and finite retrial group. Comput. Oper. Res. 2010, 37, 1256–1261. [Google Scholar] [CrossRef]
- Abate, J.; Whitt, W. Numerical inversion of Laplace transformation of probability distributions. ORSA J. Comput. 1995, 7, 36–43. [Google Scholar] [CrossRef]

















| 2 | 2.1 | 2.2 | 2.3 | 2.4 | |
|---|---|---|---|---|---|
| 1.5 | 1.576759 | 1.535679 | 1.504759 | 1.481146 | 1.470391 |
| 1.6 | 1.556556 | 1.499638 | 1.457448 | 1.425828 | 1.401054 |
| 1.7 | 1.567412 | 1.489958 | 1.432579 | 1.389537 | 1.356815 |
| 1.8 | 1.610741 | 1.508230 | 1.431498 | 1.373853 | 1.330122 |
| 1.9 | 1.684501 | 1.555196 | 1.455632 | 1.379811 | 1.322041 |
| 2 | 2.1 | 2.2 | 2.3 | 2.4 | |
|---|---|---|---|---|---|
| 0.0005 | 1.903839 | 1.739922 | 1.609444 | 1.508832 | 1.432132 |
| 0.0055 | 1.862165 | 1.853358 | 1.846244 | 1.839181 | 1.827003 |
| 0.0105 | 2.100453 | 2.095665 | 2.092463 | 2.088874 | 2.078800 |
| 0.0155 | 2.224800 | 2.223188 | 2.222936 | 2.222096 | 2.214772 |
| 0.0205 | 2.294393 | 2.295024 | 2.296835 | 2.298008 | 2.293127 |
| 2 | 2.1 | 2.2 | 2.3 | 2.4 | |
|---|---|---|---|---|---|
| 1.5 | 106.093100 | 79.775100 | 60.973900 | 46.375900 | 19.310100 |
| 1.6 | 157.170600 | 122.402700 | 95.218400 | 72.397300 | 58.071400 |
| 1.7 | 221.614900 | 175.658700 | 139.169600 | 110.370600 | 87.146700 |
| 1.8 | 297.528200 | 241.191800 | 194.308100 | 155.994100 | 125.302300 |
| 1.9 | 381.135100 | 316.564200 | 260.426000 | 212.835700 | 173.366700 |
| 2 | 2.1 | 2.2 | 2.3 | 2.4 | |
|---|---|---|---|---|---|
| 0.0005 | 955.406536 | 808.208915 | 674.786136 | 557.785332 | 457.996943 |
| 0.0055 | 12.417924 | 9.598283 | 7.436280 | 5.788929 | 4.568360 |
| 0.0105 | 3.592078 | 2.757883 | 2.124736 | 1.646882 | 1.296916 |
| 0.0155 | 1.710162 | 1.308988 | 1.005653 | 0.777490 | 0.611793 |
| 0.0205 | 1.009319 | 0.770953 | 0.591139 | 0.456342 | 0.358528 |
| 8 | 9 | 10 | 11 | 12 | |
|---|---|---|---|---|---|
| 0.2 | 1.462061 | 1.372522 | 1.422151 | 1.585071 | 1.703729 |
| 0.3 | 1.587034 | 1.431498 | 1.447220 | 1.558669 | 1.734880 |
| 0.4 | 1.695282 | 1.486165 | 1.472691 | 1.570530 | 1.740293 |
| 0.5 | 1.787840 | 1.536860 | 1.496655 | 1.581781 | 1.745522 |
| 0.6 | 1.866281 | 1.583904 | 1.519254 | 1.592439 | 1.750500 |
| 8 | 9 | 10 | 11 | 12 | |
|---|---|---|---|---|---|
| 0.2 | 388.595160 | 187.952874 | 75.836585 | 11.550505 | 10.498995 |
| 0.3 | 393.056438 | 194.308066 | 89.980107 | 40.652257 | 18.233375 |
| 0.4 | 399.349249 | 200.579255 | 93.780456 | 42.660691 | 19.230352 |
| 0.5 | 407.115011 | 206.927869 | 97.474353 | 44.506608 | 20.100766 |
| 0.6 | 416.051993 | 213.350897 | 101.138148 | 46.327513 | 20.954823 |
| c | N | 8 | 9 | 10 | ||||||||
|---|---|---|---|---|---|---|---|---|---|---|---|---|
| p | 0.3 | 0.4 | 0.5 | 0.3 | 0.4 | 0.5 | 0.3 | 0.4 | 0.5 | |||
| 2 | 1.7 | 2.1 | 0.009700 | 0.007798 | 0.006118 | 0.008358 | 0.006712 | 0.005261 | 0.007750 | 0.006219 | 0.004873 | |
| 2.2 | 0.008723 | 0.007031 | 0.005530 | 0.007681 | 0.006186 | 0.004862 | 0.007219 | 0.005817 | 0.004570 | |||
| 2.3 | 0.007949 | 0.006423 | 0.005062 | 0.007142 | 0.005766 | 0.004542 | 0.006816 | 0.005489 | 0.004323 | |||
| 1.8 | 2.1 | 0.011407 | 0.009137 | 0.007146 | 0.009493 | 0.007593 | 0.005931 | 0.008583 | 0.006860 | 0.005356 | ||
| 2.2 | 0.010118 | 0.008128 | 0.006373 | 0.008610 | 0.006909 | 0.005412 | 0.007920 | 0.006352 | 0.004973 | |||
| 2.3 | 0.009099 | 0.007329 | 0.005760 | 0.007912 | 0.006367 | 0.005000 | 0.007384 | 0.005943 | 0.004665 | |||
| 1.9 | 2.1 | 0.013549 | 0.010814 | 0.008430 | 0.010914 | 0.008695 | 0.006768 | 0.009607 | 0.007646 | 0.005947 | ||
| 2.2 | 0.011867 | 0.009501 | 0.007427 | 0.009764 | 0.007806 | 0.006094 | 0.008759 | 0.006997 | 0.005459 | |||
| 2.3 | 0.010539 | 0.008461 | 0.006631 | 0.008862 | 0.007106 | 0.005563 | 0.008088 | 0.006482 | 0.005072 | |||
| 3 | 1.7 | 2.1 | 0.008009 | 0.006454 | 0.005074 | 0.007329 | 0.005899 | 0.004635 | 0.007071 | 0.005671 | 0.004454 | |
| 2.2 | 0.007457 | 0.006021 | 0.004742 | 0.006930 | 0.005598 | 0.004407 | 0.006634 | 0.005424 | 0.004271 | |||
| 2.3 | 0.007006 | 0.005667 | 0.004470 | 0.006625 | 0.005343 | 0.004213 | 0.006562 | 0.005215 | 0.004110 | |||
| 1.8 | 2.1 | 0.008938 | 0.007186 | 0.005639 | 0.007928 | 0.006366 | 0.004989 | 0.007500 | 0.006022 | 0.004719 | ||
| 2.2 | 0.008231 | 0.006630 | 0.005211 | 0.007459 | 0.006002 | 0.004713 | 0.007144 | 0.005743 | 0.004509 | |||
| 2.3 | 0.007662 | 0.006183 | 0.004868 | 0.007060 | 0.005698 | 0.004483 | 0.006775 | 0.005500 | 0.004327 | |||
| 1.9 | 2.1 | 0.010089 | 0.008094 | 0.006340 | 0.008640 | 0.006919 | 0.005411 | 0.008018 | 0.006418 | 0.005017 | ||
| 2.2 | 0.009180 | 0.007378 | 0.005789 | 0.008061 | 0.006470 | 0.005069 | 0.007594 | 0.006090 | 0.004770 | |||
| 2.3 | 0.008455 | 0.006808 | 0.005350 | 0.007588 | 0.006103 | 0.004791 | 0.007240 | 0.005812 | 0.004561 | |||
| 4 | 1.7 | 2.1 | 0.007823 | 0.006302 | 0.004953 | 0.007251 | 0.005835 | 0.004584 | 0.007050 | 0.005639 | 0.004429 | |
| 2.2 | 0.007329 | 0.005916 | 0.004659 | 0.006874 | 0.005555 | 0.004373 | 0.006621 | 0.005402 | 0.004254 | |||
| 2.3 | 0.006918 | 0.005594 | 0.004413 | 0.006582 | 0.005313 | 0.004190 | 0.006487 | 0.005199 | 0.004098 | |||
| 1.8 | 2.1 | 0.008629 | 0.006935 | 0.005440 | 0.007790 | 0.006255 | 0.004903 | 0.007427 | 0.005966 | 0.004675 | ||
| 2.2 | 0.008015 | 0.006454 | 0.005071 | 0.007366 | 0.005927 | 0.004654 | 0.007095 | 0.005705 | 0.004480 | |||
| 2.3 | 0.007510 | 0.006059 | 0.004769 | 0.006994 | 0.005647 | 0.004443 | 0.006735 | 0.005474 | 0.004308 | |||
| 1.9 | 2.1 | 0.009604 | 0.007701 | 0.006030 | 0.008414 | 0.006738 | 0.005269 | 0.007901 | 0.006325 | 0.004944 | ||
| 2.2 | 0.008833 | 0.007096 | 0.005565 | 0.007907 | 0.006346 | 0.004972 | 0.007520 | 0.006027 | 0.004721 | |||
| 2.3 | 0.008207 | 0.006606 | 0.005189 | 0.007482 | 0.006017 | 0.004723 | 0.007200 | 0.005770 | 0.004528 | |||
| 2.0 | 0.924652 | 1.509372 | 0.0005 | 0.926486 | 1.505065 | 1.2 | 0.927840 | 1.467337 |
| 2.1 | 0.925057 | 1.505671 | 0.2005 | 0.906107 | 0.736203 | 1.3 | 0.925825 | 1.468823 |
| 2.2 | 0.925359 | 1.501759 | 0.4005 | 0.889334 | 0.602129 | 1.4 | 0.925491 | 1.475423 |
| 2.3 | 0.925584 | 1.497738 | 0.6005 | 0.874788 | 0.595621 | 1.5 | 0.925493 | 1.482729 |
| 2.4 | 0.925748 | 1.493682 | 0.8005 | 0.861598 | 0.609241 | 1.6 | 0.925551 | 1.489820 |
| 2.5 | 0.925862 | 1.489640 | 1.0005 | 0.849302 | 0.624767 | 1.7 | 0.925504 | 1.496158 |
| 2.6 | 0.925954 | 1.485699 | 1.2005 | 0.837679 | 0.638703 | 1.8 | 0.925359 | 1.501759 |
| 2.7 | 0.926009 | 1.481820 | 1.4005 | 0.826657 | 0.650591 | 1.9 | 0.925118 | 1.506626 |
| 2.8 | 0.925941 | 1.477725 | 1.6005 | 0.816216 | 0.660628 | 2.0 | 0.924780 | 1.510765 |
| 2.9 | 0.926267 | 1.475065 | 1.8005 | 0.806355 | 0.669130 | 2.1 | 0.924328 | 1.514183 |
| 2.0 | 0.926075 | 1.657379 | 0.0005 | 0.763936 | 0.820296 | 1.2 | 0.928479 | 1.650535 |
| 2.1 | 0.926228 | 1.653234 | 0.2005 | 0.740178 | 0.677656 | 1.3 | 0.927088 | 1.644416 |
| 2.2 | 0.926345 | 1.649974 | 0.4005 | 0.736420 | 0.690094 | 1.4 | 0.926598 | 1.641717 |
| 2.3 | 0.926435 | 1.647448 | 0.6005 | 0.722663 | 0.715789 | 1.5 | 0.925008 | 1.641391 |
| 2.4 | 0.926509 | 1.645536 | 0.8005 | 0.708905 | 0.738132 | 1.6 | 0.924517 | 1.643749 |
| 2.5 | 0.926543 | 1.644052 | 1.0005 | 0.690147 | 0.755946 | 1.7 | 0.923027 | 1.646555 |
| 2.6 | 0.926674 | 1.643285 | 1.2005 | 0.681389 | 0.770079 | 1.8 | 0.921937 | 1.649974 |
| 2.7 | 0.926653 | 1.642424 | 1.4005 | 0.667632 | 0.781438 | 1.9 | 0.920846 | 1.654020 |
| 2.8 | 0.926336 | 1.640781 | 1.6005 | 0.660874 | 0.790716 | 2.0 | 0.919756 | 1.658656 |
| 2.9 | 0.927392 | 1.640379 | 1.8005 | 0.640116 | 0.798412 | 2.1 | 0.918666 | 1.663835 |
| 2 | 0.926602 | 2.009274 | 0.0005 | 0.927680 | 1.997852 | 1.2 | 0.928501 | 1.984804 |
| 2.1 | 0.926737 | 2.002294 | 0.2005 | 0.913159 | 1.925373 | 1.3 | 0.927538 | 1.987657 |
| 2.2 | 0.926839 | 2.004455 | 0.4005 | 0.902023 | 1.875666 | 1.4 | 0.927149 | 1.990490 |
| 2.3 | 0.926917 | 2.001869 | 0.6005 | 0.892417 | 1.828771 | 1.5 | 0.926703 | 1.993255 |
| 2.4 | 0.926979 | 1.999858 | 0.8005 | 0.883388 | 1.776558 | 1.6 | 0.926812 | 1.995904 |
| 2.5 | 0.927002 | 1.997999 | 1.0005 | 0.874622 | 1.718074 | 1.7 | 0.926844 | 1.998322 |
| 2.6 | 0.927117 | 1.995748 | 1.2005 | 0.866097 | 1.655190 | 1.8 | 0.926839 | 2.000144 |
| 2.7 | 0.927098 | 1.993258 | 1.4005 | 0.857916 | 1.590568 | 1.9 | 0.926807 | 2.005162 |
| 2.8 | 0.927728 | 1.990483 | 1.6005 | 0.850174 | 1.526421 | 2.0 | 0.926743 | 2.009853 |
| 2.9 | 0.928656 | 1.987423 | 1.8005 | 0.842948 | 1.464404 | 2.1 | 0.926645 | 2.017364 |
Publisher’s Note: MDPI stays neutral with regard to jurisdictional claims in published maps and institutional affiliations. |
© 2022 by the authors. Licensee MDPI, Basel, Switzerland. This article is an open access article distributed under the terms and conditions of the Creative Commons Attribution (CC BY) license (https://creativecommons.org/licenses/by/4.0/).
Share and Cite
Harikrishnan, T.; Jeganathan, K.; Selvakumar, S.; Anbazhagan, N.; Cho, W.; Joshi, G.P.; Son, K.C. Analysis of Stochastic M/M/c/N Inventory System with Queue-Dependent Server Activation, Multi-Threshold Stages and Optional Retrial Facility. Mathematics 2022, 10, 2682. https://doi.org/10.3390/math10152682
Harikrishnan T, Jeganathan K, Selvakumar S, Anbazhagan N, Cho W, Joshi GP, Son KC. Analysis of Stochastic M/M/c/N Inventory System with Queue-Dependent Server Activation, Multi-Threshold Stages and Optional Retrial Facility. Mathematics. 2022; 10(15):2682. https://doi.org/10.3390/math10152682
Chicago/Turabian StyleHarikrishnan, T., K. Jeganathan, S. Selvakumar, N. Anbazhagan, Woong Cho, Gyanendra Prasad Joshi, and Kwang Chul Son. 2022. "Analysis of Stochastic M/M/c/N Inventory System with Queue-Dependent Server Activation, Multi-Threshold Stages and Optional Retrial Facility" Mathematics 10, no. 15: 2682. https://doi.org/10.3390/math10152682
APA StyleHarikrishnan, T., Jeganathan, K., Selvakumar, S., Anbazhagan, N., Cho, W., Joshi, G. P., & Son, K. C. (2022). Analysis of Stochastic M/M/c/N Inventory System with Queue-Dependent Server Activation, Multi-Threshold Stages and Optional Retrial Facility. Mathematics, 10(15), 2682. https://doi.org/10.3390/math10152682

