The FEDHC Bayesian Network Learning Algorithm
Abstract
:1. Introduction
2. Preliminaries
2.1. Bayesian Networks
2.2. Classes of BN Learning Algorithms
2.3. PCHC and MMHC Algorithms
3. The FEDHC BN Learning Algorithm
3.1. The FBED Variable Selection Algorithm
| Algorithm 1 The FBED variable selection algorithm |
|
3.2. Skeleton Identification Phase of the FEDHC Algorithm
| Algorithm 2 Skeleton identification phase of the FEDHC algorithm |
|
3.3. Hill Climbing Phase of the FEDHC Algorithm
3.4. Prior Knowledge
3.5. Theoretical Properties of FEDHC
3.6. Robustification of the FEDHC Algorithm for Continuous Data
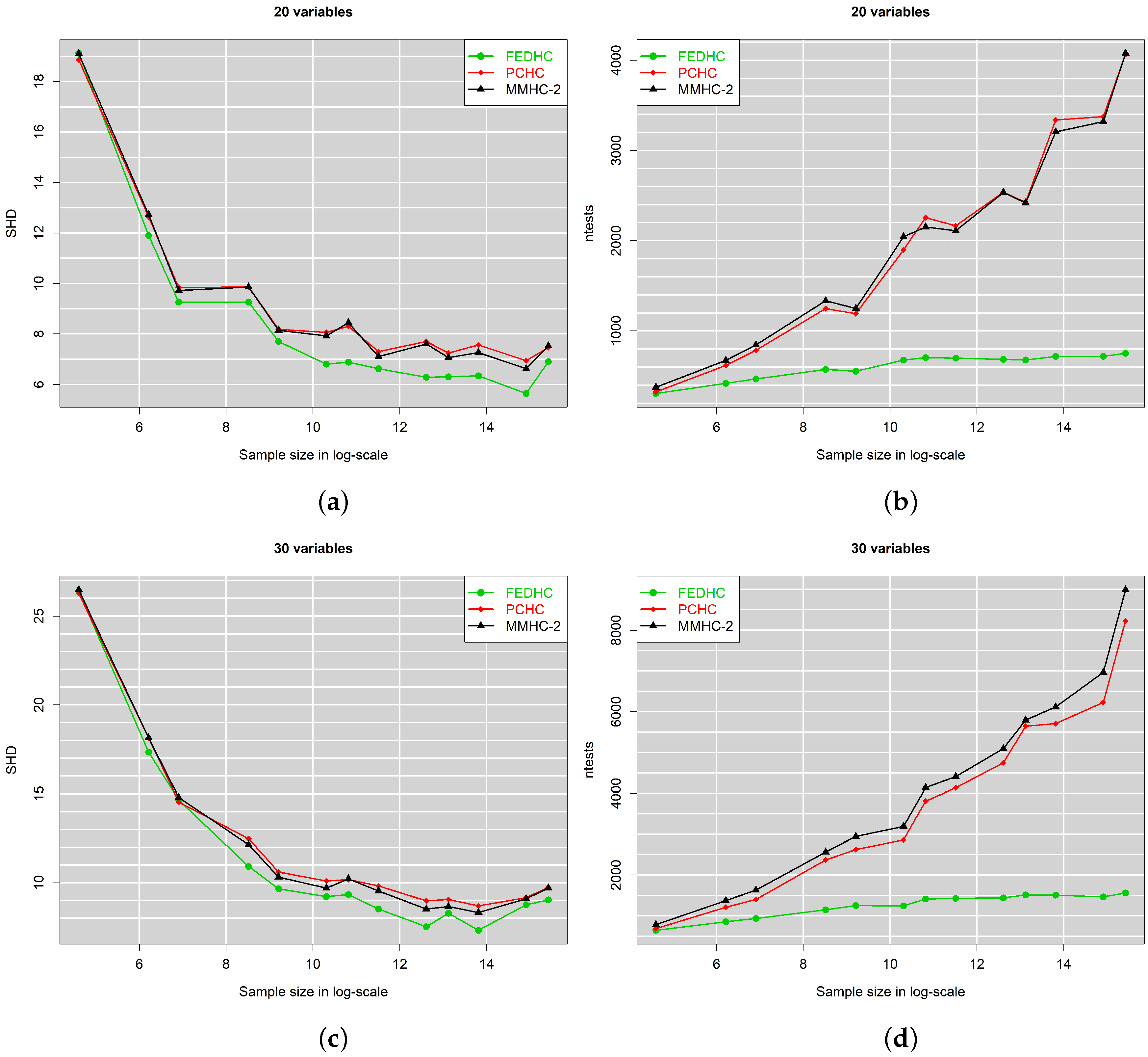
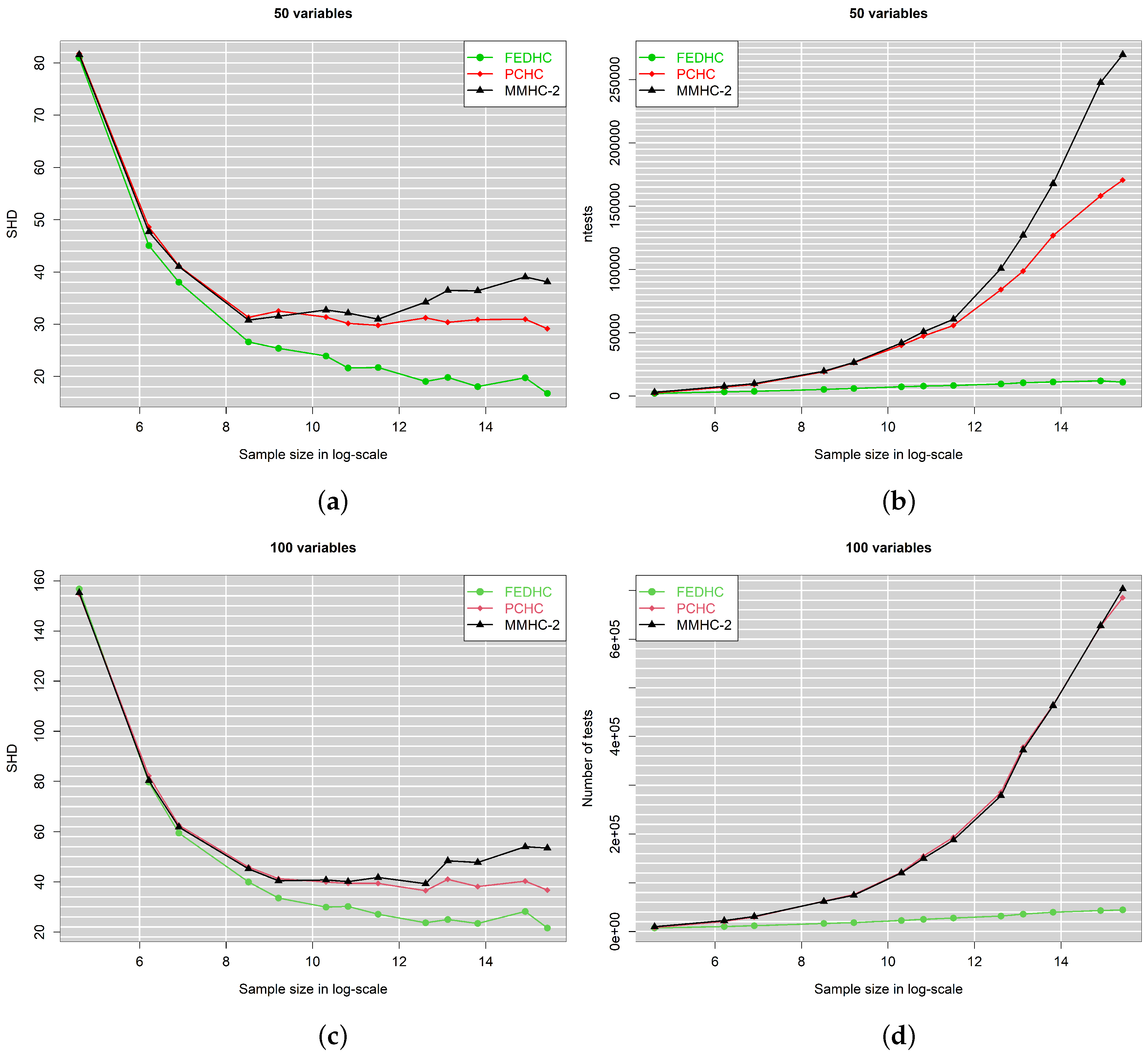
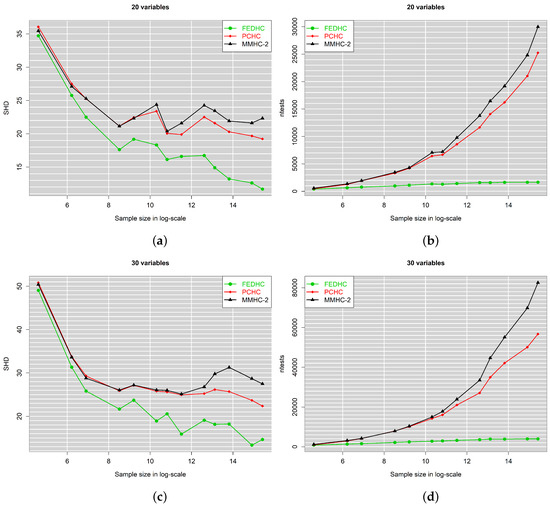
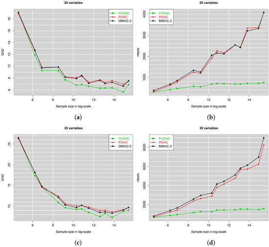
4. Monte Carlo Simulation Studies
4.1. Synthetic BNs with Continuous Data
- Sample the coefficients of uniformly at random from .
- In case is empty, X is sampled from the standard normal distribution. Otherwise, , a linear function (in general, this can represent any (non-linear) function) depending on X, where is generated from a standard normal distribution.
4.2. Robustified FEDHC for Continuous Data
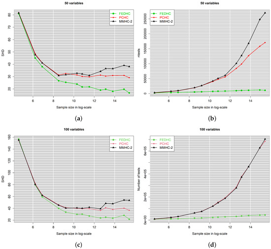
4.3. Realistic BNs with Categorical Data
4.4. Scalability of FEDHC
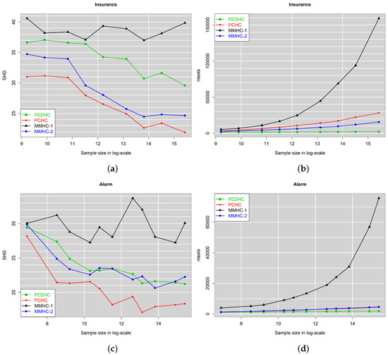
5. Illustration of the Algorithms on Real Economics Data Using the R Package pchc
5.1. Expenditure Data
5.2. Income Data
6. Conclusions
Supplementary Materials
Funding
Informed Consent Statement
Data Availability Statement
Conflicts of Interest
Appendix A. Conditional Independence Tests
Appendix A.1. Pearson Correlation for Continuous Data
Appendix A.2. Spearman Correlation for Continuous Data
Appendix A.3. G2 Test of Independence for Categorical Data
Appendix A.3.1. X2 Test of Independence for Categorical Data
Appendix A.3.2. Permutation-Based p-Values
Appendix B. Computational Details of FEDHC
Appendix C. The R Package pchc
- x: A numerical matrix with the variables. If you have a data.frame (i.e., categorical data) turn them into a matrix using. Note, that for the categorical case data, the numbers must start from 0. No missing data are allowed.
- method: If you have continuous data, this must be “pearson” (default value) or ”“cat” if you have categorical data. With categorical data, one has to make sure that the minimum value of each variable is zero. The function g2test from the package Rfast and the relevant functions work that way.
- alpha: The significance level for assessing the p-values. The default value is 0.05.
- robust: If outliers are be removed prior to applying the FEDHC algorithm, this must be set to TRUE.
- ini.stat: If the initial test statistics (univariate associations) are available, they can passed to this argument.
- R: If the correlation matrix is available, pass it here.
- restart: An integer, the number of random restarts. The default value is 10.
- score: A character string, the label of the network score to be used in the algorithm. If none is specified, the default score is the Bayesian Information Criterion for continuous data sets. The available score for continuous variables are: “bic-g” (default value), “loglik-g”, “aic-g”, “bic-g” or ”bge”. The available score of categorical variables are: ”bde”, “loglik” or “bic”.
- blacklist: A data frame with two columns (optionally labeled “from” and “to”), containing a set of forbidden directions.
- whitelist: A data frame with two columns (optionally labeled “from” and “to”), containing a set of must-add directions.
- ini: A list including the output of the fedhc.skel function.
- dag: A “bn” class output, a list including the outcome of the Hill-Climbing phase. See the package bnlearn for more details.
- scoring: The highest score value observed during the scoring phase.
- runtime: The duration of the algorithm.
References
- Hoover, K.D. Causality in Economics and Econometrics; Palgrave: Macmillan UK, 2017; pp. 1–13. [Google Scholar]
- Sun, L.; Erath, A. A Bayesian network approach for population synthesis. Transp. Res. Part Emerg. Technol. 2015, 61, 49–62. [Google Scholar] [CrossRef]
- Kocabas, V.; Dragicevic, S. Agent-based model validation using Bayesian networks and vector spatial data. Environ. Plan. Plan. Des. 2009, 36, 787–801. [Google Scholar] [CrossRef]
- Kocabas, V.; Dragicevic, S. Bayesian networks and agent-based modeling approach for urban land-use and population density change: A BNAS model. J. Geogr. Syst. 2013, 15, 403–426. [Google Scholar] [CrossRef]
- Hosseini, S.; Barker, K. A Bayesian network model for resilience-based supplier selection. Int. J. Prod. Econ. 2016, 180, 68–87. [Google Scholar] [CrossRef]
- Spiegler, R. Bayesian networks and boundedly rational expectations. Q. J. Econ. 2016, 131, 1243–1290. [Google Scholar] [CrossRef]
- Xue, J.; Gui, D.; Lei, J.; Sun, H.; Zeng, F.; Feng, X. A hybrid Bayesian network approach for trade-offs between environmental flows and agricultural water using dynamic discretization. Adv. Water Resour. 2017, 110, 445–458. [Google Scholar] [CrossRef]
- Mele, A. A structural model of dense network formation. Econometrica 2017, 85, 825–850. [Google Scholar] [CrossRef] [Green Version]
- Chong, C.; Kluppelberg, C. Contagion in financial systems: A Bayesian network approach. SIAM J. Financ. Math. 2018, 9, 28–53. [Google Scholar] [CrossRef] [Green Version]
- Leong, C.K. Credit risk scoring with Bayesian network models. Comput. Econ. 2016, 47, 423–446. [Google Scholar] [CrossRef]
- Sheehan, B.; Murphy, F.; Ryan, C.; Mullins, M.; Liu, H.Y. Semi-autonomous vehicle motor insurance: A Bayesian Network risk transfer approach. Transp. Res. Part Emerg. Technol. 2017, 82, 124–137. [Google Scholar] [CrossRef]
- Cugnata, F.; Kenett, R.; Salini, S. Bayesian network applications to customer surveys and InfoQ. Procedia Econ. Financ. 2014, 17, 3–9. [Google Scholar] [CrossRef] [Green Version]
- Tsamardinos, I.; Brown, L.E.; Aliferis, C.F. The max-min hill-climbing Bayesian network structure learning algorithm. Mach. Learn. 2006, 65, 31–78. [Google Scholar] [CrossRef] [Green Version]
- Scutari, M. Learning Bayesian Networks with the bnlearn R Package. J. Stat. Softw. 2010, 35, 1–22. [Google Scholar] [CrossRef] [Green Version]
- Tsagris, M. A new scalable Bayesian network learning algorithm with application to economics. Comput. Econ. 2021, 57, 341–367. [Google Scholar] [CrossRef]
- Tsagris, M. pchc: Bayesian Network Learning with the PCHC and Related Algorithms, R package version 0.5.; 2021. Available online: https://cran.r-project.org/web/packages/pchc/index.html (accessed on 22 May 2022).
- Borboudakis, G.; Tsamardinos, I. Forward-Backward selection with Early Dropping. J. Mach. Learn. Res. 2019, 20, 276–314. [Google Scholar]
- Kalisch, M.; Bühlmann, P. Robustification of the PC-algorithm for directed acyclic graphs. J. Comput. Graph. Stat. 2008, 17, 773–789. [Google Scholar] [CrossRef]
- Cheng, Y.; Diakonikolas, I.; Kane, D.; Stewart, A. Robust learning of fixed-structure Bayesian networks. Adv. Neural Inf. Process. Syst. 2018, 31, 10283–10295. [Google Scholar]
- Greene, W.H. Econometric Analysis; Pearson Education India: Noida, India, 2003. [Google Scholar]
- Pearl, J. Probabilistic Reasoning in iNtelligent Systems: Networks of Plausible Reasoning; Morgan Kaufmann Publishers: Los Altos, CA, USA, 1988. [Google Scholar]
- Spirtes, P.; Glymour, C.N.; Scheines, R. Causation, Prediction, and Search; MIT Press: Cambridge, MA, USA, 2000. [Google Scholar]
- Verma, T.; Pearl, J. Equivalence and synthesis of causal models. In Proceedings of the Sixth Conference on Uncertainty in Artificial Intelligence, Cambridge, MA, USA, 27–29 July 1991; pp. 220–227. [Google Scholar]
- Spirtes, P.; Glymour, C. An algorithm for fast recovery of sparse causal graphs. Soc. Sci. Comput. Rev. 1991, 9, 62–72. [Google Scholar] [CrossRef] [Green Version]
- Chickering, D.M. Optimal structure identification with greedy search. J. Mach. Learn. Res. 2002, 3, 507–554. [Google Scholar]
- Cooper, F.G.; Herskovits, E. A Bayesian method for the induction of probabilistic networks from data. Mach. Learn. 1992, 9, 309–347. [Google Scholar] [CrossRef]
- Heckerman, D.; Geiger, D.; Chickering, D.M. Learning Bayesian networks: The combination of knowledge and statistical data. Mach. Learn. 1995, 20, 197–243. [Google Scholar] [CrossRef] [Green Version]
- Tsagris, M. Bayesian network learning with the PC algorithm: An improved and correct variation. Appl. Artif. Intell. 2019, 33, 101–123. [Google Scholar] [CrossRef]
- Draper, R.N.; Smith, H. Applied Regression Analysis; John Wiley & Sons: Hoboken, NJ, USA, 1998. [Google Scholar]
- Schwarz, G. Estimating the dimension of a model. Ann. Stat. 1978, 6, 461–464. [Google Scholar] [CrossRef]
- Geiger, D.; Heckerman, D. Learning Gaussian networks. In Proceedings of the 10th International Conference on Uncertainty in Artificial Intelligence, Seattle, WA, USA, 29–31 July 1994; pp. 235–243. [Google Scholar]
- Buntine, W. Theory refinement on Bayesian networks. In Uncertainty Proceedings; Elsevier: Amsterdam, The Netherlands, 1991; pp. 52–60. [Google Scholar]
- Bouckaert, R.R. Bayesian Belief Networks: From Construction to Inference. Ph.D. Thesis, University of Utrecht, Utrecht, The Netherlands, 1995. [Google Scholar]
- Lam, W.; Bacchus, F. Learning Bayesian belief networks: An approach based on the MDL principle. Comput. Intell. 1994, 10, 269–293. [Google Scholar] [CrossRef] [Green Version]
- Suzuki, J. A construction of Bayesian networks from databases based on an MDL principle. In Uncertainty in Artificial Intelligence; Morgan Kaufmann: Burlington, MA, USA, 1993; pp. 266–273. [Google Scholar]
- Rousseeuw, P.J. Multivariate estimation with high breakdown point. Math. Stat. Appl. 1985, 8, 283–297. [Google Scholar]
- Rousseeuw, P.J.; Driessen, K.V. A fast algorithm for the minimum covariance determinant estimator. Technometrics 1999, 41, 212–223. [Google Scholar] [CrossRef]
- Raymaekers, J.; Rousseeuw, P.J. Fast robust correlation for high-dimensional data. Technometrics 2021, 63, 184–198. [Google Scholar] [CrossRef] [Green Version]
- Cerchiello, P.; Giudici, P. Big data analysis for financial risk management. J. Big Data 2016, 3, 18. [Google Scholar] [CrossRef] [Green Version]
- Cerioli, A. Multivariate outlier detection with high-breakdown estimators. J. Am. Stat. Assoc. 2010, 105, 147–156. [Google Scholar] [CrossRef]
- Hubert, M.; Debruyne, M. Minimum covariance determinant. Comput. Stat. 2010, 2, 36–43. [Google Scholar] [CrossRef]
- Ro, K.; Zou, C.; Wang, Z.; Yin, G. Outlier detection for high-dimensional data. Biometrika 2015, 102, 589–599. [Google Scholar] [CrossRef] [Green Version]
- Tsagris, M.; Tsamardinos, I. Feature selection with the R package MXM. F1000Research 2019, 7, 1505. [Google Scholar] [CrossRef] [PubMed] [Green Version]
- Chickering, D.M. A transformational characterization of equivalent Bayesian network structures. In Proceedings of the Eleventh Conference on Uncertainty in Artificial Intelligence, Montreal, QC, Canada, 18–20 August 1995; pp. 87–98. [Google Scholar]
- Beinlich, I.A.; Suermondt, H.J.; Chavez, R.M.; Cooper, G.F. The ALARM monitoring system: A case study with two probabilistic inference techniques for belief networks. In AIME 89; Springer: Berlin/Heidelberg, Germany, 1989; pp. 247–256. [Google Scholar]
- Kleiber, C.; Zeileis, A. Applied Econometrics with R; Springer: New York, NY, USA, 2008. [Google Scholar]
- Friedman, J.; Hastie, T.; Tibshirani, R. The Elements of Statistical Learning; Springer: New York, NY, USA, 2001. [Google Scholar]
- Hahsler, M.; Chelluboina, S.; Hornik, K.; Buchta, C. The arules R-Package Ecosystem: Analyzing Interesting Patterns from Large Transaction Datasets. J. Mach. Learn. Res. 2011, 12, 1977–1981. [Google Scholar]
- Meinshausen, N.; Bühlmann, P. High-dimensional graphs and variable selection with the Lasso. Ann. Stat. 2006, 34, 1436–1462. [Google Scholar] [CrossRef] [Green Version]
- Kuipers, J.; Suter, P.; Moffa, G. Efficient sampling and structure learning of Bayesian networks. arXiv 2020, arXiv:1803.07859. [Google Scholar] [CrossRef]
- Raskutti, G.; Uhler, C. Learning directed acyclic graph models based on sparsest permutations. Stat 2018, 7, e183. [Google Scholar] [CrossRef]
- Zheng, X.; Aragam, B.; Ravikumar, P.K.; Xing, E.P. Dags with no tears: Continuous optimization for structure learning. Adv. Neural Inf. Process. Syst. 2018, 31, 9492–9503. [Google Scholar]
- Zhang, K.; Peters, J.; Janzing, D.; Schölkopf, B. Kernel-based conditional independence test and application in causal discovery. In Proceedings of the 27th Conference on Uncertainty in Artificial Intelligence, Quebec City, QC, Canada, 27–30 July 2012; pp. 804–813. [Google Scholar]
- Chalupka, K.; Perona, P.; Eberhardt, F. Fast conditional independence test for vector variables with large sample sizes. arXiv 2018, arXiv:1804.02747. [Google Scholar]
- Huo, X.; Székely, G.J. Fast computing for distance covariance. Technometrics 2016, 58, 435–447. [Google Scholar] [CrossRef] [Green Version]
- Shen, C.; Panda, S.; Vogelstein, J.T. The chi-square test of distance correlation. J. Comput. Graph. Stat. 2022, 31, 254–262. [Google Scholar] [CrossRef]
- Székely, G.J.; Rizzo, M.L. Partial distance correlation with methods for dissimilarities. Ann. Stat. 2014, 42, 2382–2412. [Google Scholar] [CrossRef]
- Székely, G.J.; Rizzo, M.L.; Bakirov, N.K. Measuring and testing dependence by correlation of distances. Ann. Stat. 2007, 35, 2769–2794. [Google Scholar] [CrossRef]
- Baba, K.; Shibata, R.; Sibuya, M. Partial correlation and conditional correlation as measures of conditional independence. Aust. N. Z. J. Stat. 2004, 46, 657–664. [Google Scholar] [CrossRef]
- Fieller, E.C.; Hartley, H.O.; Pearson, E.S. Tests for rank correlation coefficients. I. Biometrika 1957, 44, 470–481. [Google Scholar] [CrossRef]
- Fieller, C.E.; Pearson, E.S. Tests for rank correlation coefficients: II. Biometrika 1961, 48, 29–40. [Google Scholar]
- Agresti, A. Categorical Data Analysis, 2nd ed.; Wiley Series in Probability and Statistics: Hoboken, NJ, USA, 2002. [Google Scholar]
- Alenazi, A. A Monte Carlo comparison of categorical tests of independence. arXiv 2020, arXiv:2004.00973. [Google Scholar]
- Tsamardinos, I.; Borboudakis, G. Permutation testing improves Bayesian network learning. In Proceedings of the Joint European Conference on Machine Learning and Knowledge Discovery in Databases, Barcelona, Spain, 20–24 September 2010; pp. 322–337. [Google Scholar]

















Publisher’s Note: MDPI stays neutral with regard to jurisdictional claims in published maps and institutional affiliations. |
© 2022 by the author. Licensee MDPI, Basel, Switzerland. This article is an open access article distributed under the terms and conditions of the Creative Commons Attribution (CC BY) license (https://creativecommons.org/licenses/by/4.0/).
Share and Cite
Tsagris, M. The FEDHC Bayesian Network Learning Algorithm. Mathematics 2022, 10, 2604. https://doi.org/10.3390/math10152604
Tsagris M. The FEDHC Bayesian Network Learning Algorithm. Mathematics. 2022; 10(15):2604. https://doi.org/10.3390/math10152604
Chicago/Turabian StyleTsagris, Michail. 2022. "The FEDHC Bayesian Network Learning Algorithm" Mathematics 10, no. 15: 2604. https://doi.org/10.3390/math10152604
APA StyleTsagris, M. (2022). The FEDHC Bayesian Network Learning Algorithm. Mathematics, 10(15), 2604. https://doi.org/10.3390/math10152604