Global Stability and Thermal Optimal Control Strategies for Hyperthermia Treatment of Malignant Tumors
Abstract
:1. Introduction
2. The Model
3. Qualitative Analysis
3.1. Existence of Non-Negative Solutions
3.2. Existence of Positive Steady States for Tumors’ Present
3.3. Global Stability Analysis of Tumor-Present Steady-State
- 1.
- If, as then is radially unbounded.
- 2.
- Ifthen is positive definite globally.
3.4. Formulation of Thermal Optimal Control
3.5. Existence of Thermal Optimal Control Solution
3.6. Characterization of Thermal Optimal Control
- 1
- Optimality condition for H at is
- 2
- Adjoint equations are:
- 1.
- If , then
- 2.
- If , then
- 3.
- If , then
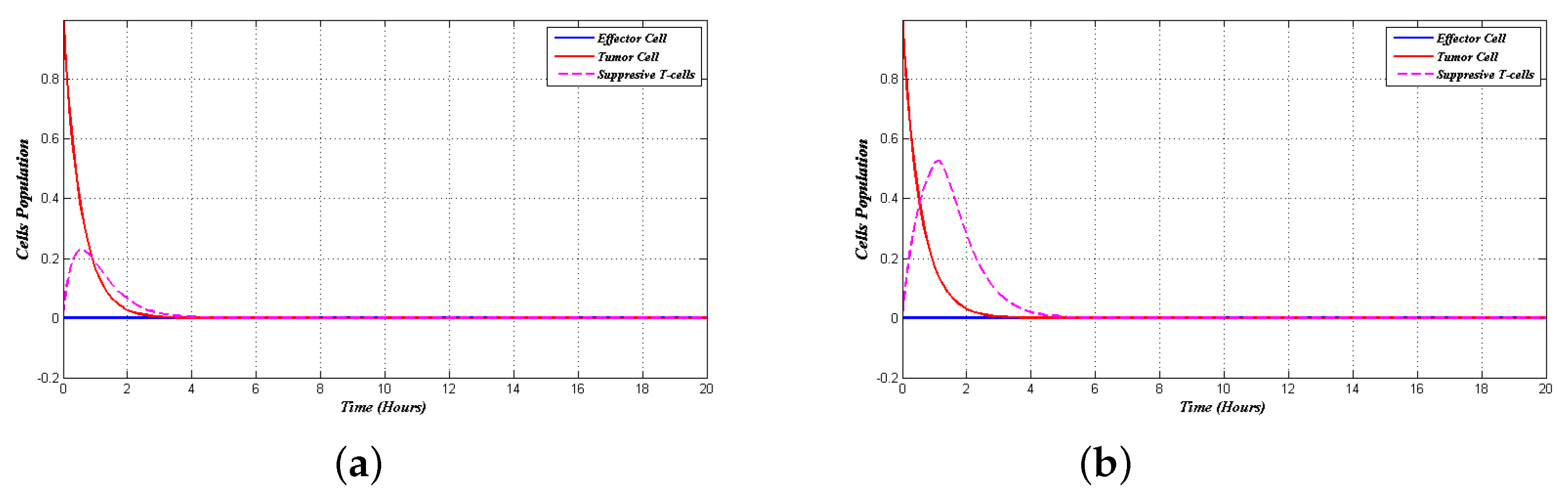
4. Numerical Results
5. Conclusions
- 1.
- The rate of tumor death is greater than or equal to the rate of its progression due to self-proliferation and influence of suppressive T-cells.
- 2.
- The rate of suppressive T-cell apoptosis remains zero.
- 3.
- The rate at which effector cells proliferate is greater than or equal to their rate of apoptosis and regulation by T-regs.
- 1.
- Thermal optimal control leading to excessive heating that generates adversity and immune cell non-regulation occasioned by DNA damage.
- 2.
- Thermal optimal control leading to inadequate heating that would eliminate tumors, rejuvenate effector cells, but account for a higher concentration of suppressive T-cells beyond the effector cells available.
- 3.
- Thermal optimal control leading to moderate heating that would lead to the elimination of tumors and the restoration of effector cells without adversity.
Author Contributions
Funding
Data Availability Statement
Acknowledgments
Conflicts of Interest
Appendix A. Non-Dimensionalization of Arceiro’s Model
References
- Franckena, M.M. Hyperthermia for the Treatment of Locally Advanced Cervix Cancer; Erasmus MC: Rotterdam, The Netherlands, 2010. [Google Scholar]
- Jha, S.; Sharma, P.K.; Malviya, R. Hyperthermia: Role and risk factor for cancer treatment. Achiev. Life Sci. 2016, 10, 161–167. [Google Scholar] [CrossRef] [Green Version]
- Mallory, M.; Gogineni, E.; Jones, G.C.; Greer, L.; Simone, C.B., II. Therapeutic hyperthermia: The old, the new, and the upcoming. Crit. Rev. Oncol./Hematol. 2016, 97, 56–64. [Google Scholar] [CrossRef] [PubMed]
- Mantso, T.; Goussetis, G.; Franco, R.; Botaitis, S.; Pappa, A.; Panayiotidis, M. Effects of hyperthermia as a mitigation strategy in DNA damage-based cancer therapies. In Proceedings of the Seminars in Cancer Biology; Elsevier: Amsterdam, The Netherlands, 2016; Volume 37, pp. 96–105. [Google Scholar]
- Frey, B.; Weiss, E.M.; Rubner, Y.; Wunderlich, R.; Ott, O.J.; Sauer, R.; Fietkau, R.; Gaipl, U.S. Old and new facts about hyperthermia-induced modulations of the immune system. Int. J. Hyperth. 2012, 28, 528–542. [Google Scholar] [CrossRef] [PubMed]
- Manjili, M.; Wang, X.Y.; Park, J.; Macdonald, I.; Li, Y.; CAA Van Schie, R.; Subjeck, J. Cancer immunotherapy: Stress proteins and hyperthermia. Int. J. Hyperth. 2002, 18, 506–520. [Google Scholar] [CrossRef] [PubMed]
- Multhoff, G. Activation of natural killer cells by heat shock protein 70. Int. J. Hyperth. 2009, 25, 169–175. [Google Scholar] [CrossRef] [PubMed]
- Toraya-Brown, S.; Fiering, S. Local tumour hyperthermia as immunotherapy for metastatic cancer. Int. J. Hyperth. 2014, 30, 531–539. [Google Scholar] [CrossRef] [PubMed]
- Mace, T.A.; Zhong, L.; Kokolus, K.M.; Repasky, E.A. Effector CD8+ T cell IFN-γ production and cytotoxicity are enhanced by mild hyperthermia. Int. J. Hyperth. 2012, 28, 9–18. [Google Scholar] [CrossRef] [Green Version]
- Kaur, P.; Hurwitz, M.D.; Krishnan, S.; Asea, A. Combined hyperthermia and radiotherapy for the treatment of cancer. Cancers 2011, 3, 3799–3823. [Google Scholar] [CrossRef]
- Hildebrandt, B.; Wust, P.; Ahlers, O.; Dieing, A.; Sreenivasa, G.; Kerner, T.; Felix, R.; Riess, H. The cellular and molecular basis of hyperthermia. Crit. Rev. Oncol./Hematol. 2002, 43, 33–56. [Google Scholar] [CrossRef]
- Kirschner, D.; Panetta, J.C. Modeling immunotherapy of the tumor–Immune interaction. J. Math. Biol. 1998, 37, 235–252. [Google Scholar] [CrossRef] [Green Version]
- Kuznetsov, V.A.; Knott, G.D. Modeling tumor regrowth and immunotherapy. Math. Comput. Model. 2001, 33, 1275–1288. [Google Scholar] [CrossRef] [Green Version]
- d’Onofrio, A. A general framework for modeling tumor-immune system competition and immunotherapy: Mathematical analysis and biomedical inferences. Phys. D Nonlinear Phenom. 2005, 208, 220–235. [Google Scholar] [CrossRef] [Green Version]
- Foryś, U.; Waniewski, J.; Zhivkov, P. Anti-tumor immunity and tumor anti-immunity in a mathematical model of tumor immunotherapy. J. Biol. Syst. 2006, 14, 13–30. [Google Scholar] [CrossRef]
- Kirschner, D.; Tsygvintsev, A. On the global dynamics of a model for tumor immunotherapy. Math. Biosci. Eng. 2009, 6, 573–583. [Google Scholar]
- Wilson, S.; Levy, D. A mathematical model of the enhancement of tumor vaccine efficacy by immunotherapy. Bull. Math. Biol. 2012, 74, 1485–1500. [Google Scholar] [CrossRef] [Green Version]
- Tsygvintsev, A.; Marino, S.; Kirschner, D.E. A mathematical model of gene therapy for the treatment of cancer. In Mathematical Methods and Models in Biomedicine; Springer: Berlin/Heidelberg, Germany, 2013; pp. 367–385. [Google Scholar]
- Serre, R.; Benzekry, S.; Padovani, L.; Meille, C.; André, N.; Ciccolini, J.; Barlesi, F.; Muracciole, X.; Barbolosi, D. Mathematical modeling of cancer immunotherapy and its synergy with radiotherapy. Cancer Res. 2016, 76, 4931–4940. [Google Scholar] [CrossRef] [Green Version]
- Banerjee, S.; Sarkar, R.R. Delay-induced model for tumor–immune interaction and control of malignant tumor growth. Biosystems 2008, 91, 268–288. [Google Scholar] [CrossRef]
- Villasana, M.; Radunskaya, A. A delay differential equation model for tumor growth. J. Math. Biol. 2003, 47, 270–294. [Google Scholar] [CrossRef]
- Rihan, F.A.; Abdelrahman, D.; Al-Maskari, F.; Ibrahim, F.; Abdeen, M.A. Delay differential model for tumour-immune response with chemoimmunotherapy and optimal control. Comput. Math. Methods Med. 2014, 2014, 982978. [Google Scholar] [CrossRef]
- Rihan, F.A.; Rihan, N.F. Dynamics of cancer-immune system with external treatment and optimal control. J. Cancer Sci. Ther. 2016, 8, 257–261. [Google Scholar] [CrossRef]
- Arciero, J.; Jackson, T.; Kirschner, D. A mathematical model of tumor-immune evasion and siRNA treatment. Discret. Cont. Dyn. Syst. Ser. B 2004, 4, 39–58. [Google Scholar]
- Rotte, A.; Bhandaru, M. Mechanisms of Immune Evasion by Cancer. In Immunotherapy of Melanoma; Springer: Berlin/Heidelberg, Germany, 2016; pp. 199–232. [Google Scholar]
- Mahmoud, F.; Shields, B.; Makhoul, I.; Avaritt, N.; Wong, H.K.; Hutchins, L.F.; Shalin, S.; Tackett, A.J. Immune surveillance in melanoma: From immune attack to melanoma escape and even counterattack. Cancer Biol. Therapy 2017, 18, 451–469. [Google Scholar] [CrossRef] [Green Version]
- Vesely, M.D.; Kershaw, M.H.; Schreiber, R.D.; Smyth, M.J. Natural innate and adaptive immunity to cancer. Annu. Rev. Immunol. 2011, 29, 235–271. [Google Scholar] [CrossRef] [Green Version]
- Rybiński, M.; Szymańska, Z.; Lasota, S.; Gambin, A. Modelling the efficacy of hyperthermia treatment. J. R. Soc. Interface 2013, 10, 20130527. [Google Scholar] [CrossRef] [Green Version]
- Suleman, M.; Riaz, S.; Jalil, R. A mathematical modeling approach toward magnetic fluid hyperthermia of cancer and unfolding heating mechanism. J. Therm. Anal. Calorim. 2021, 146, 1193–1219. [Google Scholar] [CrossRef]
- Kuang, Y. Delay Differential Equations: With Applications in Population Dynamics; Academic Press: Cambridge, MA, USA, 1993; Volume 191. [Google Scholar]
- Göllmann, L.; Kern, D.; Maurer, H. Optimal Control Problems with Delays in State and Control Variables Subject to Mixed Control—State Constraints. Opt. Control Appl. Methods 2009, 30, 341–365. [Google Scholar] [CrossRef]
- Lenhart, S.; Workman, J.T. Optimal Control Applied to Biological Models; Chapman and Hall/CRC: Boca Raton, FL, USA, 2007. [Google Scholar]
- Shampine, L.F.; Thompson, S. Solving ddes in matlab. Appl. Numer. Math. 2001, 37, 441–458. [Google Scholar] [CrossRef]
- Kuznetsov, V.A.; Makalkin, I.A.; Taylor, M.A.; Perelson, A.S. Nonlinear dynamics of immunogenic tumors: Parameter estimation and global bifurcation analysis. Bull. Math. Biol. 1994, 56, 295–321. [Google Scholar] [CrossRef]
- Thomas, D.A.; Massagué, J. TGF-β directly targets cytotoxic T cell functions during tumor evasion of immune surveillance. Cancer Cell 2005, 8, 369–380. [Google Scholar] [CrossRef] [Green Version]
- Robertson-Tessi, M.; El-Kareh, A.; Goriely, A. A mathematical model of tumor–immune interactions. J. Theor. Biol. 2012, 294, 56–73. [Google Scholar] [CrossRef]
- Yates, A.; Callard, R. Cell death and the maintenance of immunological memory. Discret. Cont. Dyn. Syst. Ser. B 2001, 1, 43–60. [Google Scholar] [CrossRef]
- Dudley, M.E.; Wunderlich, J.R.; Robbins, P.F.; Yang, J.C.; Hwu, P.; Schwartzentruber, D.J.; Topalian, S.L.; Sherry, R.; Restifo, N.P.; Hubicki, A.M.; et al. Cancer regression and autoimmunity in patients after clonal repopulation with antitumor lymphocytes. Science 2002, 298, 850–854. [Google Scholar] [CrossRef] [PubMed] [Green Version]
- Liu, V.C.; Wong, L.Y.; Jang, T.; Shah, A.H.; Park, I.; Yang, X.; Zhang, Q.; Lonning, S.; Teicher, B.A.; Lee, C. Tumor evasion of the immune system by converting CD4+ CD25- T cells into CD4+ CD25+ T regulatory cells: Role of tumor-derived TGF-β. J. Immunol. 2007, 178, 2883–2892. [Google Scholar] [CrossRef] [PubMed] [Green Version]
- Woo, E.Y.; Chu, C.S.; Goletz, T.J.; Schlienger, K.; Yeh, H.; Coukos, G.; Rubin, S.C.; Kaiser, L.R.; June, C.H. Regulatory CD4+ CD25+ T cells in tumors from patients with early-stage non-small cell lung cancer and late-stage ovarian cancer. Cancer Res. 2001, 61, 4766–4772. [Google Scholar]
- Wolf, A.M.; Wolf, D.; Steurer, M.; Gastl, G.; Gunsilius, E.; Grubeck-Loebenstein, B. Increase of regulatory T cells in the peripheral blood of cancer patients. Clin. Cancer Res. 2003, 9, 606–612. [Google Scholar]
- Le, T.; Leung, L.; Carroll, W.L.; Schibler, K.R. Regulation of interleukin-10 gene expression: Possible mechanisms accounting for its upregulation and for maturational differences in its expression by blood mononuclear cells. Blood 1997, 89, 4112–4119. [Google Scholar] [CrossRef]
- Hjelm, A.S.; Wadhwa, M.; Hassan, M.; Gharizadeh, B.; Bird, C.; Ragnhammar, P.; Thorpe, R.; Mellstedt, H. Alteration of interleukin 2 (IL-2) pharmacokinetics and function by IL-2 antibodies induced after treatment of colorectal carcinoma patients with a combination of monoclonal antibody 17-1A, granulocyte macrophage colony-stimulating factor, and IL-2. Clin. Cancer Res. Off. J. Am. Assoc. Cancer Res. 2001, 7, 1163–1170. [Google Scholar]
- Waterhouse, N.J.; Sutton, V.R.; Sedelies, K.A.; Ciccone, A.; Jenkins, M.; Turner, S.J.; Bird, P.I.; Trapani, J.A. Cytotoxic T lymphocyte–induced killing in the absence of granzymes A and B is unique and distinct from both apoptosis and perforin-dependent lysis. J. Cell Biol. 2006, 173, 133–144. [Google Scholar] [CrossRef] [Green Version]
- Yagawa, Y.; Tanigawa, K.; Kobayashi, Y.; Yamamoto, M. Cancer immunity and therapy using hyperthermia with immunotherapy, radiotherapy, chemotherapy, and surgery. J. Cancer Metastasis Treat 2017, 3, 219. [Google Scholar] [CrossRef]
- Marmor, J.B.; Hilerio, F.J.; Hahn, G.M. Tumor eradication and cell survival after localized hyperthermia induced by ultrasound. Cancer Res. 1979, 39, 2166–2171. [Google Scholar]




| Parameter | Descriptions |
|---|---|
| Activation rate of effector cells. | |
| Surveillance rate of effector cells against tumor cells. | |
| Apoptosis rate of effector cells. | |
| Proliferation rate of tumor cells. | |
| Inhibitory rate of tumor cells. | |
| Death rate of tumor cells. | |
| Differentiation rate of effector cells to suppressive T-cells. | |
| Elaboration rate of suppression of cells by tumors. | |
| Suppression rate of effector cells by suppressive T-cells. | |
| Rate at which suppressive T-cells aid tumor escape. | |
| Death rate of suppressive T-cells. | |
| Rate at which heat boosts immune cell performance. | |
| Tumor shrinking rate due to heat induction. | |
| Rate at which heat reduces suppressive T-cells. | |
| Hyperthermia induction application rate. | |
| Control rate of hyperthermia-induction |
Publisher’s Note: MDPI stays neutral with regard to jurisdictional claims in published maps and institutional affiliations. |
© 2022 by the authors. Licensee MDPI, Basel, Switzerland. This article is an open access article distributed under the terms and conditions of the Creative Commons Attribution (CC BY) license (https://creativecommons.org/licenses/by/4.0/).
Share and Cite
Ibrahim, A.A.; Maan, N.; Jemon, K.; Abidemi, A. Global Stability and Thermal Optimal Control Strategies for Hyperthermia Treatment of Malignant Tumors. Mathematics 2022, 10, 2188. https://doi.org/10.3390/math10132188
Ibrahim AA, Maan N, Jemon K, Abidemi A. Global Stability and Thermal Optimal Control Strategies for Hyperthermia Treatment of Malignant Tumors. Mathematics. 2022; 10(13):2188. https://doi.org/10.3390/math10132188
Chicago/Turabian StyleIbrahim, Abdulkareem Afolabi, Normah Maan, Khairunadwa Jemon, and Afeez Abidemi. 2022. "Global Stability and Thermal Optimal Control Strategies for Hyperthermia Treatment of Malignant Tumors" Mathematics 10, no. 13: 2188. https://doi.org/10.3390/math10132188
APA StyleIbrahim, A. A., Maan, N., Jemon, K., & Abidemi, A. (2022). Global Stability and Thermal Optimal Control Strategies for Hyperthermia Treatment of Malignant Tumors. Mathematics, 10(13), 2188. https://doi.org/10.3390/math10132188

