Federated Learning-Inspired Technique for Attack Classification in IoT Networks
Abstract
:1. Introduction
1.1. Research Domain
1.2. Research Motivation
- Federated Learning (FL)-based procedure has been proposed to ensure IoT-device security.
- Attribute migration from a local node to a global node in the IoT framework has been proposed for effective attack identification.
- Attack detection has been performed using the proposed FL mechanism based on the deep learning technique of Long Short-term memory (LSTM)
- The performance of the proposed model has been assessed in terms of Statistical Analysis, Energy Efficiency, Memory Utilization, Attack Classification, and Client Accuracy Analysis.
Paper Organization
2. Related Work
3. Proposed Model
3.1. Long Short-Term Memory (LSTM) and Gated Recurrent Units (GRUs)
- Sigmoid Function: Provides a means of determining whether or not any data should be retained or destroyed. Data in the network can be forgotten if a value close to 0 is generated, whereas data that must be maintained for future updates can only be generated when the value is greater than 1.
- Tangent Hyperbolic (tanh): It is possible to obtain values between 0 and 1 by using an activation function. This assures that non-positive measures are mapped severely, whereas non-negative values are mapped from 0 to 1. As the mean value of the tanh function for the hidden layers makes learning considerably easier for subsequent layers, it is chosen for neural networks (NN).
- Cell State: This is a representation of the data that have been stored in the LSTM’s memory block. The respective cell state is represented by Du, while the prior cell state is represented by Du. LSTMs are presented as memory cells inspired by the human propensity to remember a similar pattern, where linked memory cells gather and store long-term reference information.
- LSTM’s gates: Memory cells are controlled by gates, which are used to regulate data storage, retrieval, and deletion. There are three gates in LSTMs including input gate, forget gate, and output gate. Each gate has several specific attributes. It is important to understand how the LSTM network discards information that does not contribute to the network’s learning.
- (a)
- Forget Gate: The data that are non-essential to the training process for one cell are analyzed by this gate. Mathematically,where gu is the recent input measure of forget gate, yu is the current input to memory cell Xg, c is bias value, and gu is the last data value of the cell.
- (b)
- Input Gate: Assists in the determination of how relevant current information is for storage in the cell state. The input gate’s value is determined by multiplying it by the aggregate of the forget gate gu and the last cell state du, as well as the input gate’s current state.du is an activating function that arises from the sigmoid layer. Information that is expected to be relevant for storage as future reference is calculated by using the current cell value in conjunction with du, the prior timestamp memory cell state established by the tanh layer.
- (c)
- Output Gate: It is here that the network’s ultimate output is determined. The tanh activation function is used to determine iu from pu.where iu is the output measure of the current cell and pu is the output gate measure, which is adjusted to a non-negative measure below 1 by utilizing the sigmoid function.
- GRU: Compared to LSTMs, the construction of GRUs is simpler. Only two gates are needed to operate the memory cells: Reset gate and Update gate.
- (a)
- Reset Gate: GRUs are more cost-effective and time-efficient to train. In the same way that LSTMs discard information that is irrelevant for future learning or reference, Reset Gates do the same.where the output of the sigmoid function for the memory cell of the reset gate is su, the information from the preceding memory cell is iu, and the current input for the memory cell is yu.
- (b)
- Update Gate: GRUs utilize an update gate to determine whether information from the current state requirement is to be retained.where au is the output of the sigmoid layer, iu is the vector obtained from the tanh function, and iu is the preceding measure of the cell state.
The input of LSTM/GRU varies depending on the window size. The quantity of information varies for every window, which helps the ML model perform better, making window size selection critical. The training time is impacted by increasing the window size because the information kept in every storage cell of the NN also rises. There is no established correlation between the window size and model performance that can be verified. Gonzalez et al. [19] suggested that the effect of the size of the window and LSTM layers is based on the amount of data.
3.2. Framework Design
- Logical Instances: PySyft is used to create virtual instances of the IoT network. The fln endpoints are virtualized, and a special instance called flaverage is created to emulate the central server, allowing the learned ML model parameters to be shared between the fln endpoints and the central FL server. There are n virtual instances for each piece of data in the data collection.
- Preprocessing Acquired Data: The CICFlowmeter (Source: https://github.com/ahlashkari/CICFlowMeter, accessed on 28 April 2022) utility is used to convert .pcap files to .csv files for pre-processing at every gateway that acts as a bridge between the sensing component and cloud. To remove aspects that are unnecessary for the learning process, the .csv file is transformed multiple times. Afterward, n pieces of the processed data are split up and dispersed across the IoT end-device’s virtual instances.
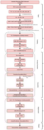
- FL training: IoT instances are accessible for FL training at any given time, and the training is performed asynchronously. Flaverage aggregating instance collects the weights from each node’s trained local ML model and distributes them with the other nodes. Flaverage aggregation is used since it is an efficient algorithm for distributed training with an enormous number of clients [20]. Moreover, Ratio Loss is used as the representative method aiming to address the local imbalance by analyzing the local data distribution [21]. The ratio loss function is computed mathematically aswhere (−p ∗ log(s) is the cross-entropy loss function which has the true measure of p and probabilistic result S. and are the hyper-parameters. Furthermore, the utilization of the ratio loss function does not require users/clients to upload their overall sample quantities which ensures privacy. Additionally, the privacy protection in FL training is also guaranteed by secure aggregation protocols and differential privacy techniques [22]. Two types of GRUs have been employed in the current research as shown in Table 2. Training rounds in FL have been described in terms of the number of epochs executed by every terminal device. The FL training logic along with several stages of the proposed solution are presented in Algorithm 1 of Figure 4. An IoT end-device can be represented as an fli virtual instance. Finally, for each window size, Xi defines the model parameters GRU-ML for the network. GRU-ML is distributed to each fli virtual instance. Fli’s local ML model updates are communicated with flaverage throughout each training cycle on GRU-ML using the secure socket layer protocol for data protection. Training grounds have been formulated on a multiprocessor to mimic the real-world situation. Fli training rounds are performed on different processors, and the learned local model weights (mwi) are regularly shared with the average virtual instance. For example, the central server uses flaverage virtual instance to collect and listen for local model updates (mwi) from clients. Local ML model weights are combined to produce the global ML model (Mwi) for each window size. Every terminal device should receive a copy of Mwi.
- Ensemble Learning Technique: An effective method for combining the results of many machine learning models is provided by Ensemble Learning [23]. It is typically linked to the well-established idea that integrating several ML models yields better results than using a single ML model. Ensembles of seven global ML models (Mwi) are constructed using the random forest decision tree classifier. Each Mwi forecasts the probability values i1, i2, ..., in of each label Z for the given input Y, for example, Y = Y1, ..., Yn. To make an ensemble prediction function, the Ensemble uses the probability values of Mwi to construct an ensemble prediction function g(y). Mathematically.A total of seven ML models Mwi were used to forecast each label Z = ZClean, ZMITM, ... ZpingDDos which indicate the class of the attack in the data set, and the prediction probabilities of each model were compared. There are many machine-learning models in use, and each one employs its probabilities to cast its vote on the final label.
4. Experimental Set-Up
4.1. Data Set
- Man in the Middle Attack: As the term indicates, it involves a third-party entity (the attacker) that pretends to be either the sender or recipient during a conversation and attempts to steal information or execute activities as the sender or receiver to gain access to sensitive data. Having gained access to traffic control, the attacker can then generate bogus transactional data.
- Ping DDoS Flood Attack: This is the most popular type of Distributed Denial-of-Service (DDoS) attack, in which the server is overwhelmed with pings from the attacker, forcing it to go offline and block any further connections.
- Query Flood Attack: When an attacker delivers a flood of messages to overload an end device and prevents it from serving legitimate communications.
- SYN DDoS Attack: It is possible to use a Syn DDoS attack to block the server from accepting any new connections by repeatedly sending syn packets to the server to begin a connection handshake and keep all ports busy. The SYN DDoS attack is often carried out by a bot that makes a large number of connection requests disguised as fake IP addresses.
4.2. Model Training
4.3. Metrics for Assessment
- Statistical Analysis
- (a)
- Accuracy =
- (b)
- Precision =
- (c)
- Recall =
- (d)
- F1 = =
- Energy Efficiency: Amount of power utilized over time
- Memory Utilization: Memory utilization over large datasets
- Attack Classification Analysis
- Client Accuracy Analysis
- Non-Independent and Identically Distributed (Non-IID) and Independent and Identically Distributed (IID) Analysis.
4.4. Results
- Statistical Results
- (a)
- GRU-Model 1:Figure 5 shows the results for comparison for GRU-Model 1. Statistical parameters of accuracy, precision, recall, and F1-measure have been calculated. It can be seen that the proposed FL-based attack classification is more accurate by registering an enhanced measure of 95.65% in comparison to LR (94.65%), RNN (92.36%), and DNN (90.26%). For precision analysis, the proposed technique of GRU-LSTM can outperform the deep learning techniques of LR (93.78%), RNN (92.01%), and DNN (89.16%) by registering an enhanced measure of 93.65%. Similarly, the f-measure and recall measure were analyzed for the proposed model. In the current scenario, the proposed model registered enhanced values of 94.65% and 93.26% for f-measure and recall, respectively. On the other hand reduced values for LR (92.65%, 93.54%), RNN (90.12%, 89.99%), and DNN (88.21%, 87.59%) were acquired. This shows that the proposed model is more effective in statistical parameters as compared to other techniques.
- (b)
- GRU-Model 2:Figure 6 shows the performance comparison for GRU-Model 2 for various window sizes. It can be seen that in the current scenario, the proposed FL-based model for attack detection is more effective and efficient. Specifically, statistical performance of 93.10% (accuracy), 93.12% (recall), 94.96% (precision), and 95.45% (F1-Measure) was registered for the proposed technique for variable window sizes. On the other hand, the LR model was able to register an average measure of 90.23% (accuracy), 89.15% (recall), 88.12% (precision), and 90.32% (F1-Measure). Similarly, for RNN and DNN techniques, 89.56%, and 88.23% values were acquired for accuracy, 87.78%, and 87.34% values were registered for recall, 86.89%, and 87.00% values were acquired for precision, and 87.14% and 87.96% values were registered for F1-measure. Henceforth, in the current scenario, the proposed model is better and more effective at classifying attacks in the IoT scenario using the GRU-LSTM technique.
- Energy Efficiency: The energy efficiency pertains to the effectiveness of the proposed model in terms of power consumption. The proposed model was deployed over the computing system with monitored energy utilization. The comparative analysis was performed with different state-of-the-art techniques as shown in Figure 7. It can be seen that in the current scenario for GRU-Model 1, the proposed model can utilize a minimal average energy of 365.56 J in comparison to LR (400.56 J), RNN (456.59 J), and DNN (499.58 J) over the variable number of data instances. Similarly, for GRU-Model 2, the presented approach is more effective as it utilizes a minimal energy of 655.56 J in comparison to LR (756.89 J), and RNN (865.78 J), and DNN (956.78 J). This is because the proposed model incorporates the LSTM model that can compute results faster in comparison to other techniques. Henceforth, the proposed model is more energy-efficient and significantly better.
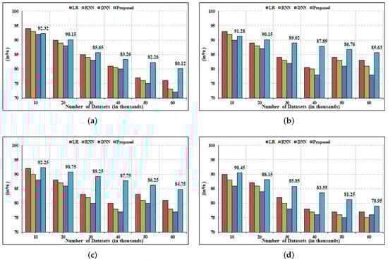
- Memory Utilization: The memory utilization provides insight into CPU utilization of the system for execution of the DL model for attack classification. In the current study, numerous techniques were implemented and the corresponding utilization of processing units was analyzed. The results are shown in Figure 8. It can be seen that the average memory utilization for GRU-Model 1 is 25.56%. In comparison, LR (35.56%), RNN (46.58%), and DNN (65.58%) were able to utilize more memory for execution. A similar trend was observed for GRU-Model 2 in which the proposed model can register 35.69% memory in comparison to LR (49.58%), RNN (58.35%), and DNN (75.19%). Based on the results, it can be concluded that the presented model is much better than state-of-the-art techniques for attack classification.
- Attack Classification Analysis Attack classification analysis depicts the performance of the proposed classification of attack types. In the current student, four types of attacks have been classified including Man-in-the-middle attack, DDoS, Query Flood Attack, and SYN DDoS attack. For assessment, different statistical measures have been identified. However, it is important to mention that during the attack classification, only the DL technique is altered while the remaining model is kept identical. The results for statistical analysis are shown in Table 3 (Man-in-the-middle attack), Table 4 (DDoS), Table 5 (Query Flood Attack), and Table 6 (SYN DDoS attack). Table 7 shows the overall generalized confusion matrix. It can be seen that in the current scenario, the proposed model can outperform state-of-the-art models in terms of Recall, Precision, Accuracy, Specificity, F1 Measure, and Log Loss. This is because the presented approach tends to learn and store the recent values in the local memory thereby reducing the loss of data. Moreover, the identification of specific attacks further enhances the overall accuracy of the presented approach.
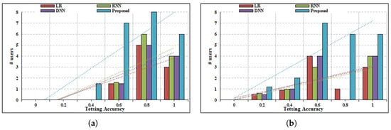
- Client Accuracy Analysis: Figure 9 depicts the user/IoT nodes distribution for the proposed technique and the comparative method in terms of final accuracy. An increase in the number of high-precision distribution users and a drop in the number of low-precision users have been observed. More users can benefit from training with the proposed approach since it is more equitable. Federated Learning tends to favor particular users in the training process. In other words, some clients are unwilling or unable to increase their participation in the training process or the accuracy. To achieve a more equitable distribution of accuracy, the proposed strategy takes into account the frequency and precision with which users participate.
- Weight Divergence Analysis for Non-Independent and Identically Distributed (Non-IID) and Independent and Identically Distributed (IID) Data: When moving from IID to non-IID, the weight divergence of all layers rises. As a result, it is hypothesized that there is a correlation between the weight divergence and the data skewness. Weight divergence measures the change in weights between two training procedures with the same weight initialization. Figure 10 shows the results for the divergence of weights based on the data analysis. It can be seen that the proposed model can register minimal divergence for weights during testing. Henceforth, it can be concluded that the proposed model is better and more efficient.
5. Conclusions
Author Contributions
Funding
Institutional Review Board Statement
Informed Consent Statement
Data Availability Statement
Acknowledgments
Conflicts of Interest
References
- Kolias, C.; Kambourakis, G.; Stavrou, A.; Voas, J. DDoS in the IoT: Mirai and other botnets. Computer 2017, 50, 80–84. [Google Scholar] [CrossRef]
- Neshenko, N.; Bou-Harb, E.; Crichigno, J.; Kaddoum, G.; Ghani, N. Demystifying IoT security: An exhaustive survey on IoT vulnerabilities and a first empirical look on Internet-scale IoT exploitations. IEEE Commun. Surv. Tutor. 2019, 21, 2702–2733. [Google Scholar] [CrossRef]
- Zhou, W.; Jia, Y.; Peng, A.; Zhang, Y.; Liu, P. The effect of iot new features on security and privacy: New threats, existing solutions, and challenges yet to be solved. IEEE Internet Things J. 2018, 6, 1606–1616. [Google Scholar] [CrossRef] [Green Version]
- Panchal, A.C.; Khadse, V.M.; Mahalle, P.N. Security issues in IIoT: A comprehensive survey of attacks on IIoT and its countermeasures. In Proceedings of the 2018 IEEE Global Conference on Wireless Computing and Networking (GCWCN), Lonavala, India, 23–24 November 2018; IEEE: Piscataway, NJ, USA, 2018; pp. 124–130. [Google Scholar]
- Tushir, B.; Sehgal, H.; Nair, R.; Dezfouli, B.; Liu, Y. The impact of dos attacks onresource-constrained iot devices: A study on the mirai attack. arXiv 2021, arXiv:2104.09041. [Google Scholar]
- Waqas, M.; Kumar, K.; Laghari, A.A.; Saeed, U.; Rind, M.M.; Shaikh, A.A.; Hussain, F.; Rai, A.; Qazi, A.Q. Botnet attack detection in Internet of Things devices over cloud environment via machine learning. Concurr. Comput. Pract. Exp. 2022, 34, e6662. [Google Scholar] [CrossRef]
- Thom, J.; Thom, N.; Sengupta, S.; Hand, E. Smart Recon: Network Traffic Fingerprinting for IoT Device Identification. In Proceedings of the 2022 IEEE 12th Annual Computing and Communication Workshop and Conference (CCWC), Las Vegas, NV, USA, 26–29 January 2022; IEEE: Piscataway, NJ, USA, 2022; pp. 72–79. [Google Scholar]
- Li, B.; Wu, Y.; Song, J.; Lu, R.; Li, T.; Zhao, L. DeepFed: Federated deep learning for intrusion detection in industrial cyber–physical systems. IEEE Trans. Ind. Inform. 2020, 17, 5615–5624. [Google Scholar] [CrossRef]
- Chen, Z.; Lv, N.; Liu, P.; Fang, Y.; Chen, K.; Pan, W. Intrusion detection for wireless edge networks based on federated learning. IEEE Access 2020, 8, 217463–217472. [Google Scholar] [CrossRef]
- Cetin, B.; Lazar, A.; Kim, J.; Sim, A.; Wu, K. Federated wireless network intrusion detection. In Proceedings of the 2019 IEEE International Conference on Big Data (Big Data), Los Angeles, CA, USA, 9–12 December 2019; IEEE: Piscataway, NJ, USA, 2019; pp. 6004–6006. [Google Scholar]
- Al-Marri, N.A.A.A.; Ciftler, B.S.; Abdallah, M.M. Federated mimic learning for privacy preserving intrusion detection. In Proceedings of the 2020 IEEE International Black Sea Conference on Communications and Networking (BlackSeaCom), Odessa, Ukraine, 26–29 May 2020; IEEE: Piscataway, NJ, USA, 2020; pp. 1–6. [Google Scholar]
- Rahman, S.A.; Tout, H.; Talhi, C.; Mourad, A. Internet of things intrusion detection: Centralized, on-device, or federated learning? IEEE Netw. 2020, 34, 310–317. [Google Scholar] [CrossRef]
- Rouzbahani, H.M.; Dehghantanha, A.; Choo, K.K.R. Big Data Analytics and Forensics: An Overview. In Handbook of Big Data Analytics and Forensics; Springer: Berlin/Heidelberg, Germany, 2022; pp. 1–5. [Google Scholar]
- Breux, V.; Boutet, J.; Goret, A.; Cattin, V. Anomaly Detection in a Data Center with a Reconstruction Method Using a Multi-Autoencoders Model. Int. J. Mech. Ind. Eng. 2022, 16, 46–53. [Google Scholar]
- Ryffel, T.; Trask, A.; Dahl, M.; Wagner, B.; Mancuso, J.; Rueckert, D.; Passerat-Palmbach, J. A generic framework for privacy preserving deep learning. arXiv 2018, arXiv:1811.04017. [Google Scholar]
- Mothukuri, V.; Khare, P.; Parizi, R.M.; Pouriyeh, S.; Dehghantanha, A.; Srivastava, G. Federated learning-based anomaly detection for IoT security attacks. IEEE Internet Things J. 2021, 9, 2545–2554. [Google Scholar] [CrossRef]
- Li, B.; Ma, S.; Deng, R.; Choo, K.K.R.; Yang, J. Federated Anomaly Detection on System Logs for the Internet of Things: A Customizable and Communication-Efficient Approach. IEEE Trans. Netw. Serv. Manag. 2022, 19, 1705–1716. [Google Scholar] [CrossRef]
- Campos, E.M.; Saura, P.F.; González-Vidal, A.; Hernández-Ramos, J.L.; Bernabe, J.B.; Baldini, G.; Skarmeta, A. Evaluating Federated Learning for intrusion detection in Internet of Things: Review and challenges. In Computer Networks; Elsevier: Amsterdam, The Netherlands, 2021; p. 108661. [Google Scholar]
- Gonzalez-Dominguez, J.; Lopez-Moreno, I.; Sak, H. Automatic language identification using long short-term memory recurrent neural networks. 2014. [Google Scholar]
- Sun, T.; Li, D.; Wang, B. Decentralized federated averaging. arXiv 2021, arXiv:2104.11375. [Google Scholar]
- Wang, L.; Xu, S.; Wang, X.; Zhu, Q. Addressing class imbalance in federated learning. In Proceedings of the AAAI Conference on Artificial Intelligence, Virtual Conference, 2–9 February 2021; Volume 35, pp. 10165–10173. [Google Scholar]
- Niu, C.; Wu, F.; Tang, S.; Hua, L.; Jia, R.; Lv, C.; Wu, Z.; Chen, G. Billion-scale federated learning on mobile clients: A submodel design with tunable privacy. In Proceedings of the 26th Annual International Conference on Mobile Computing and Networking, London, UK, 21–25 September 2020; pp. 1–14. [Google Scholar]
- Zhou, X.; He, J.; Yang, C. An ensemble learning method based on deep neural network and group decision making. Knowl. Based Syst. 2022, 239, 107801. [Google Scholar] [CrossRef]
- Ferrag, M.A.; Friha, O.; Maglaras, L.; Janicke, H.; Shu, L. Federated deep learning for cyber security in the internet of things: Concepts, applications, and experimental analysis. IEEE Access 2021, 9, 138509–138542. [Google Scholar] [CrossRef]
- Friha, O.; Ferrag, M.A.; Shu, L.; Maglaras, L.; Choo, K.K.R.; Nafaa, M. FELIDS: Federated learning-based intrusion detection system for agricultural Internet of Things. J. Parallel Distrib. Comput. 2022, 165, 17–31. [Google Scholar] [CrossRef]
- Moustafa, N. ToN-IoT Datasets; IEEE: Piscataway, NJ, USA, 2019. [Google Scholar] [CrossRef]
- Jaloudi, S. Communication protocols of an industrial internet of things environment: A comparative study. Future Internet 2019, 11, 66. [Google Scholar] [CrossRef] [Green Version]










| References | [14] | [18] | [12] | [11] | [16] | [17] | [10] | Proposed |
|---|---|---|---|---|---|---|---|---|
| Security | Yes | Yes | Yes | Yes | Yes | Yes | Yes | Yes |
| IoT | – | Yes | Yes | – | Yes | No | – | Yes |
| Quantification | Yes | Yes | Yes | Yes | Yes | – | Yes | Yes |
| Data Repository | Yes | Yes | Yes | Yes | – | – | Yes | Yes |
| Energy Efficiency | – | – | – | – | – | Yes | Yes | Yes |
| Federated Learning | – | Yes | Yes | – | Yes | – | – | Yes |
| Anomaly Prediction | – | Yes | – | – | – | – | – | Yes |
| GRU Model | Layer | Dropout (in %) | Inter-Layer Size |
|---|---|---|---|
| 1 | 3 | 2 | 128 |
| 2 | 1 | 1 | 256 |
| Algorithms | Recall (%) | Precision (%) | Accuracy (%) | Specificity (%) | F1 Measure (%) | Log Loss (%) |
|---|---|---|---|---|---|---|
| Proposed | 96 | 96 | 95.65 | 97.25 | 97.25 | 2.15 |
| RNN | 92 | 89 | 94 | 92 | 92 | 4.78 |
| DNN | 95 | 92 | 92 | 87 | 94.45 | 4.99 |
| LR | 96 | 95 | 95 | 96 | 95 | 3.54 |
| Algorithms | Recall (%) | Precision (%) | Accuracy (%) | Specificity (%) | F1 Measure (%) | Log Loss (%) |
|---|---|---|---|---|---|---|
| Proposed | 95 | 94.23 | 94.65 | 95.25 | 95.25 | 3.15 |
| RNN | 90 | 88 | 84 | 85 | 88 | 5.78 |
| DNN | 91 | 93 | 92.2 | 89 | 92.45 | 4.89 |
| LR | 94 | 93 | 93 | 92 | 94 | 4.54 |
| Algorithms | Recall (%) | Precision (%) | Accuracy (%) | Specificity (%) | F1 Measure (%) | Log Loss (%) |
|---|---|---|---|---|---|---|
| Proposed | 94.45 | 94.98 | 94.35 | 96.25 | 96.25 | 2.67 |
| RNN | 92 | 86 | 92 | 91 | 91 | 4.34 |
| DNN | 92 | 91 | 91 | 83 | 92.45 | 5.89 |
| LR | 92 | 92 | 91 | 91 | 92 | 5.54 |
| Algorithms | Recall (%) | Precision (%) | Accuracy (%) | Specificity (%) | F1 Measure (%) | Log Loss (%) |
|---|---|---|---|---|---|---|
| Proposed | 95 | 94 | 93.65 | 94.25 | 93.25 | 2.90 |
| RNN | 90 | 86 | 90 | 90 | 93 | 5.34 |
| DNN | 91 | 90 | 87 | 89 | 90.45 | 5.15 |
| LR | 92 | 92 | 92 | 93 | 92 | 3.98 |
| True | 0 (No-Attack) | Attack 1 | Attack 2 | Attack 3 | Attack 4 |
|---|---|---|---|---|---|
| Attack 0 (no-Attack) | 50 | 10 | 10 | 30 | 10 |
| Attack 1 | 20 | 1142 | 10 | 10 | 10 |
| Attack 2 | 10 | 10 | 44,541 | 30 | 30 |
| Attack 3 | 10 | 10 | 20 | 55,785 | 40 |
| Attack 4 | 10 | 10 | 10 | 145 | 57,688 |
Publisher’s Note: MDPI stays neutral with regard to jurisdictional claims in published maps and institutional affiliations. |
© 2022 by the authors. Licensee MDPI, Basel, Switzerland. This article is an open access article distributed under the terms and conditions of the Creative Commons Attribution (CC BY) license (https://creativecommons.org/licenses/by/4.0/).
Share and Cite
Ahanger, T.A.; Aldaej, A.; Atiquzzaman, M.; Ullah, I.; Yousufudin, M. Federated Learning-Inspired Technique for Attack Classification in IoT Networks. Mathematics 2022, 10, 2141. https://doi.org/10.3390/math10122141
Ahanger TA, Aldaej A, Atiquzzaman M, Ullah I, Yousufudin M. Federated Learning-Inspired Technique for Attack Classification in IoT Networks. Mathematics. 2022; 10(12):2141. https://doi.org/10.3390/math10122141
Chicago/Turabian StyleAhanger, Tariq Ahamed, Abdulaziz Aldaej, Mohammed Atiquzzaman, Imdad Ullah, and Muhammad Yousufudin. 2022. "Federated Learning-Inspired Technique for Attack Classification in IoT Networks" Mathematics 10, no. 12: 2141. https://doi.org/10.3390/math10122141
APA StyleAhanger, T. A., Aldaej, A., Atiquzzaman, M., Ullah, I., & Yousufudin, M. (2022). Federated Learning-Inspired Technique for Attack Classification in IoT Networks. Mathematics, 10(12), 2141. https://doi.org/10.3390/math10122141

