Abstract
A total k-rainbow dominating function on a graph is a function such that (i) for every vertex v with , (ii) for . The weight of a total 2-rainbow dominating function is denoted by . The total k-rainbow domination number of G is the minimum weight of a total k-rainbow dominating function of G. The minimum total 2-rainbow domination problem (MT2RDP) is to find the total 2-rainbow domination number of the input graph. In this paper, we study the total 2-rainbow domination number of graphs. We prove that the MT2RDP is NP-complete for planar bipartite graphs, chordal bipartite graphs, undirected path graphs and split graphs. Then, a linear-time algorithm is proposed for computing the total k-rainbow domination number of trees. Finally, we study the difference in complexity between MT2RDP and the minimum 2-rainbow domination problem.
Keywords:
total 2-rainbow domination; total 2-rainbow domination number; NP-complete; linear-time algorithm MSC:
05C69
1. Introduction
In this paper, only graphs without multiple edges or loops are considered. Let be an undirected graph with and . The open neighborhood and closed neighborhood of a vertex v in G are denoted by and , respectively. The degree of a vertex v is denoted by . A graph is called k-regular if for . For a positive integer n, we write .
Let , be a finite family of subsets of a non-empty set, if there is a correspondence between and such that if and only if , where and are the corresponding sets of vertices u and v, respectively, then G is an intersection graph. A graph G is chordal if every cycle with in G has a chord, i.e., an edge joining two non-consecutive vertices of the cycle, and a chordal graph is also an intersection graph with which is a finite family of subtrees of a tree, see [1]. If G is a chordal graph and is a finite family of paths of a tree, then G is an undirected path graph [2]. A chordal bipartite graph is a bipartite graph and every cycle in G of length has a chord [3].
In a graph , a subset is called a dominating set if for . The domination number is the minimum cardinality of a dominating set of G [4]. The problems of finding a minimum cardinality dominating set in graphs [5], split graphs and bipartite graphs [6], chordal bipartite graphs [7], planar bipartite graphs [8] and undirected path graphs [9] are NP-complete. For relevant papers on dominating set in graphs, see [10,11,12,13,14].
One of the most famous open problem involving domination in graphs is that for any graphs G and H, called Vizing’s conjecture [15], where denotes the Cartesian product of graphs G and H [16]. To investigate a similar problem for paired domination, Brešar et al. proposed k-rainbow domination [17]. A k-rainbow dominating function on a graph G is a function such that every vertex u for which , then . The weight of a k-rainbow dominating function f is denoted by . The k-rainbow domination number of G is the minimum weight over all k-rainbow dominating functions on the graph G. A k-rainbow dominating function f of G with is called a -function of G.
The minimum k-rainbow domination problem (MkRDP) is to finda minimum weight of a k-rainbow dominating function in graphs. et al. proved that M2RDP is NP-complete for chordal graphs and bipartite graphs [18]. Later, Chang et al. showed that the MkRDP for chordal graphs and bipartite graphs are NP-complete [19]. The linear-time algorithms for computing 2-rainbow domination number [20] and k-rainbow domination number [19] of trees are proposed. For a more detailed discussion of k-rainbow domination number in graphs, see [21,22,23,24,25,26,27].
Ahangar et al. [28] proposed a new dominating function named total k-rainbow dominating function for protecting the Empire under a more complex situation where the Empire is guarded by different types of guards, and where every location without guards needs all types of guards in its neighborhood and every location with guards needs at least one guard in its neighborhood. A total k-rainbow dominating function on a graph is a k-rainbow dominating function f such that for . The weight of a total k-rainbow dominating function is denoted by . The total k-rainbow domination number of G is the minimum weight of a total k-rainbow dominating function on the graph G, denoted by . A total k-rainbow dominating function f of G with is called a -function of G.
The properties of total k-rainbow dominating function in graphs was studied [28,29]. Ahangar et al. characterized all graphs G, where [30]. The problems of finding a minimum weight of a total 2-rainbow dominating function (MT2RDP) in chordal graphs and bipartite graphs are NP-complete [29].
In this paper, we study the total 2-rainbow domination number of graphs. Then, we prove that MT2RDP is NP-complete even when restricted to planar bipartite graphs, chordal bipartite graphs, undirected path graphs and split graphs. Next, a linear-time algorithm is proposed for computing the total k-rainbow domination number of trees. Finally, we study the difference in complexity between MT2RDP and the minimum 2-rainbow domination problem.
2. Results
Lemma 1.
If the graph G is k-regular with order n, then .
Proof.
Let f be a -function of G. To prove the lower bound, we define an initial charge function s corresponding to f, such that . Then, we apply the following two discharging rules to lead to the final charge function corresponding to s of G, such that .
Rule 1: For the vertex , , suppose that . Then, transmits charge to .
Rule 2: For each , , suppose that . Then, transmits charge to .
Thus, for , we have by Rule 1.
For , then by Rule 2.
For , since v is adjacent to at least one vertex u such that or two vertices and , then v will receive charge form u or by Rules 2 and 1, then .
Therefore, . □
To show that is sharp for k-regular graphs with order when , , we investigate the total 2-rainbow domination number of double generalized Petersen graphs.
The double generalized Petersen graphs was introduced by Kutnar and Petecki [31], and , with vertex set:
where , , , , and its edge set is the union:
where , , , and the subscripts are reduced modulo n (see, e.g., in Figure 1 and Figure 2).
Figure 1.
The graph .
Figure 2.
(a) The graph ; (b) The graph .
Let
Let be a function of with , such that , , , , , , , , where , , .
Lemma 2.
, where and (mod 4).
Proof.
Let f be a-function of , , , , . Suppose that , that is, .
Then, . Otherwise, , according to the proof of Lemma 1, contradicting with .
Similarly, for every vertex , and , for every vertex .
Let , , , , , , , , , where .
Case 1: for some .
In this case, , , , . Then, . To dominate , we have , , , . Since for every vertex , thus . To dominate , then , , , . Therefore, , , , , , , , , , where and the subscripts are reduced modulo n. Thus, (mod 4), a contradiction.
Case 2: for some .
Suppose that , , , . Then . To dominate , without loss of gravity, we assume that , . Then for dominating , contradicting with .
Now we consider that , , , . Then . To dominate , wl.o.g we assume that , . Thus, for dominating , contradicting with .
Case 3: for some .
Suppose that , . To dominate we have , , . Therefore, or . The result is entirely consistent with Case 2, then contradicting with .
Now we consider that , . To dominate , we have , , . Therefore, or . The result is entirely consistent with Case 2, then contradicting with .
Case 4: for some .
In this case, it is sufficient to consider the following three subcases.
Subcase 4.1: , , .
In this case, . To dominate , we have , . To dominate , then . However, for dominating , a contradiction.
Subcase 4.2: , , .
To dominate , we may assume and . Since for every vertex , assume that . Then, , , . To dominate , then . Therefore, , , , , , , , , , , , , , , , , where and the subscripts are reduced modulo n. Thus, (mod 4), a contradiction.
Now we consider , then , , . To dominate , then . Therefore, , , , , , , , , , , , , , , , , where and the subscripts are reduced modulo n. Thus, (mod 4), a contradiction.
Subcase 4.3: , , (or , , ).
In this case, we have , , , , , , , , , , , , , , , , where and the subscripts are reduced modulo n. Thus, (mod 4), a contradiction. □
Theorem 1.
where .
Proof.
Case 1: (mod 4).
Let:
Then is a total 2-rainbow dominating function of with , and for (mod 4).
Case 2: (mod 4).
Let:
Then is a total 2-rainbow dominating function of with , and for (mod 4).
Case 3: (mod 4).
Let:
Then is a total 2-rainbow dominating function of with , and for (mod 4).
Case 4: (mod 4).
Let:
Then is a total 2-rainbow dominating function of with , and for (mod 4).
Furthermore, by Lemmas 1 and 2, this theorem holds. □
Therefore, is sharp when (mod 4).
2.1. Complexity
In this section, we show that the problems of finding a minimum weight of a total 2-rainbow dominating function in planar bipartite graphs, chordal bipartite graphs, undirected path graphs and split graphs are NP-complete, by giving two polynomial time reductions from two NP-complete problems, MINIMUM DOMINATION PROBLEM and 3-SAT, which are defined as follows.
| MINIMUM DOMINATION PROBLEM(MDP) INSTANCE: A simple and undirected graph and a positive integer . QUESTION: Does G have a dominating set with cardinality at most k? |
| 3-SAT INSTANCE: A collection of clauses over a finite set U of variables such that for QUESTION: Is there a truth assignment for U that satisfies all the clauses in ? |
| MINIMUM TOTAL 2-RAINBOW DOMINATION PROBLEM(MT2RDP) INSTANCE: A simple and undirected graph and a positive integer . QUESTION: Does G have a total 2-rainbow dominating function of weight at most k? |
Theorem 2.
The MT2RDP is NP-complete for planar bipartite graphs, chordal bipartite graphs and undirected path graphs.
Proof.
Given a graph , then let each vertex be the tree , where , . Let be the set of disjoint trees corresponding to the graph G. If , then add an edges between the trees and . Therefore, we obtain a graph , see Figure 3.
Figure 3.
(a) The graph G. (b) The graph obtained from G.
Claim 1.
The graph G has a dominating set with cardinality at most k if and only if there is a total 2-rainbow dominating function f of the graph such that .
Proof.
Suppose G has a dominating set D and . We define a function such that ,, for every tree , and if , , if , .
Thus, f is a total 2-rainbow dominating function of G and .
Conversely, suppose the graph has a total 2-rainbow dominating function f such that . It is immediate that with equality if and only if . If , let , then v is dominated. If and , v is total 2-rainbow dominated by and , that is, . Let , then v is dominated by u. If and , let , then v is dominated by u.
Since every vertex is dominated, D is a dominating set of G with cardinality at most k. □
If the graph G is a chordal bipartite graph or planar bipartite graph, so is . Recall that the MDP is NP-complete for chordal bipartite graphs [7], planar bipartite graphs [8] and undirected path graphs [9]; thus, it can be immediately concluded that the MT2RDP is NP-complete for chordal bipartite graphs and planar bipartite graphs.
Now we show that if the graph G is an undirected path graph, so is . Suppose G is an undirected path graph. Then, there exists a finite family of paths of a tree T. Let be the one of the end points of path , be a tree with , , where . Construct from T by adding edges between and , where . Now let , where , . Thus, there is a 1-1 correspondence f between and such that , , , , , and if and only if . Therefore, is an undirected path graph.
The proof is completed. □
Theorem 3.
The MT2RDP is NP-complete for split graphs.
Proof.
Let , = be an arbitrary instance F of 3-SAT .
Let be a graph, , , where , , , , (or (or , , , see Figure 4.
Figure 4.
The graph constructed from the instance F, where , , .
It is immediate that the graph is a split graph with a partitioning into a clique and a stable set .
If is satisfiable, then we define a function , such that . If is true, then , ; otherwise, , . Thus, f is a total 2-rainbow dominating function of and 2n.
Conversely, suppose the graph has a total 2-rainbow dominating function f such that . Let , , . To dominate for , if (or ), then with equality if and only if (or ). Thus, with equality if and only if . Note that , then =2, , , where , .
Since is dominated by one vertex or two vertices , where then let x be true for . Therefore, the clause is satisfied for . Note that , so is the true assignment for U that satisfies all the clauses in . □
2.2. A Linear-Time Algorithm for Trees
In this section, we propose a linear-time algorithm for computing the total k-rainbow domination number of trees. Let f be a total k-rainbow dominating function of G. If V(G), .
If , an H-trk function of is a function , such that g is a total k-rainbow dominating function of , that is, every vertex is dominated by the vertices in , the weight of g is denoted by .
Denote g is an H-trk function of }:
}, ,
}, ,
, .
Lemma 3.
Let , then: .
Lemma 4.
Let G be a graph and . If f is an H-trk function of such that , , then for any , , , there exists an H-trk function of with , , .
Proof.
Assume that where , . Let , , then . Assume that , , . Let be a function of G obtained by changing into , changing into for , , . Then, and is an H-trk function of and , . For example, G is a graph with , and f is a total 5-rainbow dominating function of G such that , , . Then, we try to obtain a total 5-rainbow dominating function such that . Thus, let , . Then, for , change 3 into 5, 4 into 2, 2 into 4, so . For , change 2 into 4, . For , change 4 into 2, change 5 into 3, so , as desired). □
Lemma 5.
Let P and Q be disjoint graphs and u and v be the vertices of P and Q, respectively. Suppose that is a new graph with , . Then, the following statements hold:
(a) , ;
(b) , ;
(c) , ;
(d) .
Proof.
If is a function of P, is a function of Q, f is a function of G such that for , for , then we write .
(a) Let be an H-trk function of with minimum weight such that , , be an H-trk function of with minimum weight such that , . Then, assume that , .
If , there exists a function such that , and , where for by Lemma 4.
If , let , where , . Then, there exists a function such that , and by Lemma 4. Therefore, is an H-trk function of such that , . Thus, .
If f is an H-trk function of with minimum weight such that , , then , where is an H-trk function of such that , , is an H-trk function of such that , . Thus, .
(b) Using similar strategies used in the proof of (a), we obtain the equation from the fact that f is an H-trk function of with and if and only if , where is an H-trk function of with and and is a total k-rainbow dominating function (TkRDF) of Q, such that , or is a TkRDF of Q, such that , , or is an H-trk function of with and and is a TkRDF of Q such that .
(c) Using similar strategies used in the proof of (a), we obtain the equation from the fact that f is an H-trk function of with and if and only if , where is an H-trk function of with and and is a TkRDF of Q, such that and , or is an H-trk function of with and and is a TkRDF of Q such that and .
(d) We obtain the equation from the fact that f is an H-trk function of , with and if and only if , where is an H-trk function of , with and and is a TkRDF of Q. □
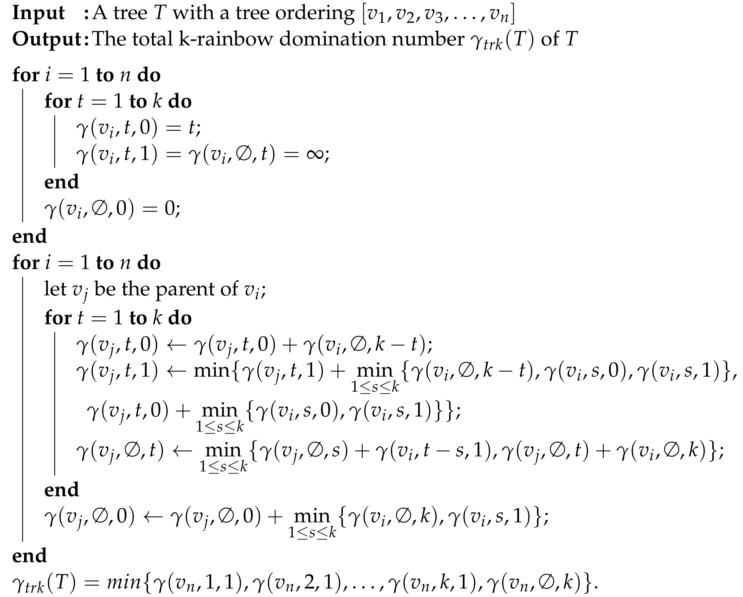
By Lemmas 3 and 5, we propose the following linear-time algorithm, Algorithm 1, with time-complexity for computing the total k-rainbow domination number of the tree T.
| Algorithm 1:. |
![]() |
2.3. Complexity Difference between Total 2-Rainbow Domination and 2-Rainbow Domination
In this section, we define two classes of graphs for which the complexities of total 2-rainbow domination is different from 2-rainbow domination.
CONSTRUCTION 1: Let be a graph with , then let each vertex be the tree , where , , . Let be the set of disjoint trees corresponding to the graph G. If , then add an edge between the trees and . Therefore, we obtain a graph . An example is shown in the Figure 5a,b. Let be the set of obtained from graphs by CONSTRUCTION 1.
Figure 5.
(a) The graph G, (b) the graph obtained from G by CONSTRUCTION 1, (c) the graph obtained from G by CONSTRUCTION 2.
CONSTRUCTION 2: Let be a graph with , then let each vertex be the graph , where , , . Let be the set of disjoint graphs corresponding to the graph G. If , then add an edge between the graphs and . Therefore, we obtain a graph . An example is shown in the Figure 5a,c. Let be the set of obtained from graphs by CONSTRUCTION 2.
Lemma 6.
Let be a graph constructed from by CONSTRUCTION 1, then .
Proof.
First, we define a total 2-rainbow dominating function f of , , such that , , where . Clearly, f is a total 2-rainbow dominating function of and .
Suppose f is a -function of . To dominate , it is clear that , where . Since need to be dominated, we have , . Thus, .
Therefore, . □
Lemma 7.
Let be a graph constructed from G by CONSTRUCTION 1, then .
Proof.
Let f be a 2-rainbow dominating function with minimum weight of G and let g be a function of , such that , , , , where . It is clear that g is the 2-rainbow dominating function of , and . Therefore, .
Conversely, let h be a -function of . To dominate , , and , where . Then, we define a function l of G, such that if and , if and , if , where . Thence, l is a 2-rainbow dominating function of G with . That is . This completes the proof of the lemma. □
Lemma 8.
Let be a graph constructed from by CONSTRUCTION 2, then .
Proof.
Let f be a total 2-rainbow dominating function with minimum weight of G and let g be a function of , such that , , , , , where . It is clear that g is total 2-rainbow dominating function of , and . Therefore, .
Conversely, let h be a -function of , . To dominate , we have . To dominate , . Similarly, , , , . Therefore, with equality if and only if .
Then we define a function l of G, , such that
(1) if , then , (2) if and , then , for one vertex , (3) if and , then , (4) if and , then , for one vertex , where .
Hence, l is a total 2-rainbow dominating function of G with . That is . This completes the proof of the lemma. □
Lemma 9.
Let be a graph constructed from G by CONSTRUCTION 2, then .
Proof.
First, we define a 2-rainbow dominating function f of , , such that , , , , where . Clearly, f is a 2-rainbow dominating function of and .
Suppose h is a -function of . It is immediate that . , , To dominate , . Similarly, . Since need to be dominated, . Thus, .
Therefore, . □
By Lemmas 6 and 7, Lemmas 8 and 9, and the fact that the M2RDP and MT2RDP are NP-complete, the following results are immediate.
Theorem 4.
For a graph , the minimum 2-rainbow domination problem is NP-complete and the minimum total 2-rainbow domination problem is solvable in polynomial time.
Theorem 5.
For a graph , the minimum 2-rainbow domination problem is solvable in polynomial time and the minimum total 2-rainbow domination problem is NP-complete.
3. Conclusions
In this paper, we study the total 2-rainbow domination numbers of k-regular graphs and prove that the lower bound of total 2-rainbow domination numbers of 3-regular graphs is sharp for the double generalized Petersen graph when . It will be interesting to characterize the 3-regular graphs with order n, such that . Then, we prove that the decision problem of minimum total 2-rainbow dominating function is NP-complete for planar bipartite graphs, chordal bipartite graphs, undirected path graphs and split graphs, prove the complexity difference between minimum total 2-rainbow domination problem and minimum 2-rainbow domination problem and show a linear-time algorithm for total k-rainbow domination problem on trees. For the algorithm and hardness aspects of the total 2-rainbow domination problem, designing approximation algorithms on general graphs, or polynomial algorithms on some special classes graphs such as interval graphs, deserves further research.
Author Contributions
Investigation, H.J. and Y.R.; Methodology, H.J. and Y.R.; Supervision, Y.R.; Writing—original draft, H.J.; Writing—review & editing, H.J. and Y.R. All authors have read and agreed to the published version of the manuscript.
Funding
This work was supported by the National Natural Science Foundation of China (No. 62172116) and the Guangzhou Academician and Expert Workstation (No. 20200115-9).
Institutional Review Board Statement
Not applicable.
Informed Consent Statement
Not applicable.
Data Availability Statement
Not applicable.
Conflicts of Interest
The authors declare no conflict of interest.
References
- Gavril, F. The intersection graphs of subtrees in trees are exactly the chordal graphs. J. Comb. Theory Ser. B 1974, 16, 47–56. [Google Scholar] [CrossRef]
- Gavril, F. A recognition algorithm for the intersection graphs of paths in trees. Discret. Math. 1978, 23, 211–227. [Google Scholar] [CrossRef][Green Version]
- Golumbic, M.C.; Goss, C.F. Perfect elimination and chordal bipartite graphs. J. Graph Theory 1978, 2, 155–163. [Google Scholar] [CrossRef]
- Cockayne, E.J.; Hedetniemi, S.T. Towards a theory of domination in graphs. Networks 1977, 7, 247–261. [Google Scholar] [CrossRef]
- Garey, M.R.; Johnson, D.S. Computers, and Intractability: A Guide to the Theory of NP-Completeness; Bell Telephone Laboratories, Inc.: New York, NY, USA, 1979. [Google Scholar]
- Bertossi, A.A. Dominating sets for split and bipartite graphs. Inf. Process. Lett. 1984, 19, 37–40. [Google Scholar] [CrossRef]
- M<i>u</i>¨ller, H.; Andreas, B. The NP-completeness of steiner tree and dominating set for chordal bipartite graphs. Theor. Comput. Sci. 1987, 53, 257–265. [Google Scholar]
- Lee, C.M.; Chang, M.S. Variations of Y-dominating functions on graphs. Discret. Math. 2008, 308, 4185–4204. [Google Scholar] [CrossRef][Green Version]
- Booth, K.S.; Johnson, J.H. Dominating sets in chordal graphs. SIAM J. Comput. 1982, 11, 191–199. [Google Scholar] [CrossRef]
- Haynes, T.; Hedetniemi, S.; Slater, P. Fundamentals of Domination in Graphs; Marcel Dekker, Inc.: New York, NY, USA, 1998. [Google Scholar]
- Chang, G.J. Algorithmic aspects of domination in graphs. In Handbook of Combinatorial Optimization; Springer: Boston, MA, USA, 1998; pp. 1811–1877. [Google Scholar]
- Cockayne, E.J.; Goodman, S.; Hedetniemi, S.T. A linear algorithm for the domination number of a tree. Inf. Process. Lett. 1975, 4, 41–44. [Google Scholar] [CrossRef]
- Gonçalves, D.; Pinlou, A.; Rao, M.; Thomassé, S. The Domination Number of Grids. SIAM J. Discret. Math. 2011, 25, 1443–1453. [Google Scholar] [CrossRef]
- Papadimitriou, C.H.; Yannakakis, M. Optimization, approximation, and complexity classes. J. Comput. Syst. Sci. 1991, 43, 425–440. [Google Scholar] [CrossRef]
- Vizing, V.G. Some unsolved problems in graph theory. Russ. Math. Surv. 1968, 23, 125. [Google Scholar] [CrossRef]
- Imrich, W.; Klavzar, S.; Rall, D.F. Topics in Graph Theory: Graphs and Their Cartesian Product; CRC Press: Boca Raton, FL, USA, 2008. [Google Scholar]
- Brešar, B.; Henning, M.A.; Rall, D.F. Paired-domination of Cartesian products of graphs and rainbow domination. Electron. Notes Discret. Math. 2005, 22, 233–237. [Google Scholar] [CrossRef]
- Brešar, B.; Šumenjak, T.K. On the 2-rainbow domination in graphs. Discret. Appl. Math. 2007, 155, 2394–2400. [Google Scholar]
- Chang, G.J.; Wu, J.; Zhu, X. Rainbow domination on trees. Discret. Appl. Math. 2010, 158, 8–12. [Google Scholar] [CrossRef]
- Brešar, B.; Henning, M.A.; Rall, D.F. Rainbow domination in graphs. Taiwan. J. Math. 2008, 12, 213–225. [Google Scholar] [CrossRef]
- Shao, Z.; Liang, M.; Yin, C.; Xu, X.; Pavlič, P.; Žerovnik, J. On rainbow domination numbers of graphs. Inf. Sci. 2014, 254, 225–234. [Google Scholar] [CrossRef]
- Wu, Y.; Rad, N.J. Bounds on the 2-rainbow domination number of graphs. Graphs Comb. 2013, 29, 1125–1133. [Google Scholar] [CrossRef]
- Wu, Y.; Xing, H. Note on 2-rainbow domination and Roman domination in graphs. Appl. Math. Lett. 2010, 23, 706–709. [Google Scholar] [CrossRef][Green Version]
- Šumenjak, T.K.; Rall, D.F.; Tepeh, A. Rainbow domination in the lexicographic product of graphs. Discret. Appl. Math. 2013, 161, 2133–2141. [Google Scholar] [CrossRef]
- Chellali, M.; Haynes, T.W.; Hedetniemi, S.T. Bounds on weak Roman and 2-rainbow domination numbers. Discret. Appl. Math. 2014, 178, 27–32. [Google Scholar] [CrossRef]
- Fujita, S.; Furuya, M.; Magnant, C. General bounds on rainbow domination numbers. Graphs Comb. 2015, 31, 601–613. [Google Scholar] [CrossRef]
- Shao, Z.; Jiang, H.; Wu, P.; Wang, S.; Žerovnik, J.; Zhang, X.; Liu, J.B. On 2-rainbow domination of generalized Petersen graphs. Discret. Appl. Math. 2019, 257, 370–384. [Google Scholar] [CrossRef]
- Ahangar, H.A.; Amjadi, J.; Rad, N.J.; Samodivkin, V. Total k-Rainbow domination numbers in graphs. Commun. Comb. Optim. 2018, 3, 37–50. [Google Scholar]
- Ahangar, H.A.; Amjadi, J.; Chellali, M.; Nazari-Moghaddam, S.; Sheikholeslami, S.M. Total 2-Rainbow Domination Numbers of Trees. Discuss. Math. Graph Theory 2021, 41, 345–360. [Google Scholar] [CrossRef]
- Ahangar, H.A.; Khaibari, M.; Rad, N.J.; Sheikholeslami, S. Graphs with large total 2-rainbow domination number. Iran. J. Sci. Technol. Trans. A Sci. 2018, 42, 841–846. [Google Scholar] [CrossRef]
- Kutnar, K.; Petecki, P. On automorphisms and structural properties of double generalized Petersen graphs. Discret. Math. 2016, 339, 2861–2870. [Google Scholar] [CrossRef]
Publisher’s Note: MDPI stays neutral with regard to jurisdictional claims in published maps and institutional affiliations. |
© 2022 by the authors. Licensee MDPI, Basel, Switzerland. This article is an open access article distributed under the terms and conditions of the Creative Commons Attribution (CC BY) license (https://creativecommons.org/licenses/by/4.0/).
