Next Article in Journal
Fixed Point Results for Perov–Ćirić–Prešić-Type Θ-Contractions with Applications
Next Article in Special Issue
Quiescence Generates Moving Average in a Stochastic Epidemiological Model with One Host and Two Parasites
Previous Article in Journal
Total 2-Rainbow Domination in Graphs
Previous Article in Special Issue
Global Stability of a Humoral Immunity COVID-19 Model with Logistic Growth and Delays
 
 
Font Type:
Arial Georgia Verdana
Font Size:
Aa Aa Aa
Line Spacing:
Column Width:
Background:
Article

Some Contributions to the Class of Branching Processes with Several Mating and Reproduction Strategies

by
Manuel Molina-Fernández
and
Manuel Mota-Medina
*,†
Department of Mathematics, Institute of Advanced Scientific Computation, University of Extremadura, 06006 Badajoz, Spain
*
Author to whom correspondence should be addressed.
These authors contributed equally to this work.
Mathematics 2022, 10(12), 2061; https://doi.org/10.3390/math10122061
Submission received: 27 May 2022 / Revised: 10 June 2022 / Accepted: 13 June 2022 / Published: 14 June 2022

Abstract

This work deals with mathematical modeling of dynamical systems. We consider a class of two-sex branching processes with several mating and reproduction strategies. We provide some probabilistic and statistical contributions. We deduce general expressions for the probability generating functions underlying the probability model, we derive some properties concerning the behavior of the states of the process and we determine estimates for the offspring mean vectors governing the reproduction phase. Furthermore, we extend the two-sex model considering immigration of female and male individuals from external populations. The results are illustrated through simulated examples. The investigated two-sex models are of particular interest to mathematically describe the population dynamics of biological species with a single reproductive episode before dying (semalparous species).

1. Introduction

In this work, we continue the research line about the class of two-sex branching processes with several mating and reproductive strategies introduced in [1]. Branching processes are usually used as mathematical models to describe the population dynamics of biological species, see, e.g., [2,3,4]. In particular, a fairly rich literature has emerged concerning discrete-time two-sex branching processes, see the surveys by [5,6], and discussions therein. Most of these stochastic models assume that all the couples female-male have identical reproductive behavior (they produce new female and male individuals according to the same offspring probability distribution) and also that mating and reproduction depend on the number of progenitor couples in the population, see, e.g., [7,8,9,10,11]. In many biological species, due to environmental factors, reproduction occurs in a non-predictable environment where both phases, mating and reproduction, usually are influenced by the current numbers of females and males in the population, see, e.g., [12]. In order to describe the probabilistic evolution of such species, branching processes had not been sufficiently investigated. To this purpose, in [1], a class of two-sex branching models was introduced. Several results about such a class of models have been derived in [13,14]. We continue this research line providing new probabilistic and statistical contributions.
The paper is organized as follows. In Section 2, we mathematically describe the probability model and we derive some theoretical contributions. In Section 3, we extend the probability model and the previous contributions incorporating immigration of females and males from external populations. We include illustrative examples. In Section 4, we present the concluding remarks and some questions for research.

2. Probability Model

In [1], on a probability space ( Ω , A , P ) , we introduced a two-sex branching process { X n } n = 0 , X n = ( F n , M n ) representing the number of female and male individuals at generation n. The probability model assumes n m 1 and n r 1 mating and reproduction strategies, respectively. It is described as follows, where N and N + denote the non-negative and positive integers, respectively:
1.
Mating phase is represented by a sequence of n m two arguments integer-valued functions { L l } l N m , N m : = { 1 , , n m } . Each L l is assumed to be non-decreasing and such that L l ( f , m ) f m , f , m N . At generation n, according to the l-th mating strategy, L l ( F n , M n ) couples female-male are formed.
2.
Reproduction phase is modeled by a sequence of n r probability distributions (offspring distributions) { P h } h N r , N r : = { 1 , , n r } , P h : = { p ( f , m ) h } ( f , m ) S h , S h N 2 , p ( f , m ) h being the probability that a given couple produces exactly f females and m males when P h is the underlying reproductive strategy.
3.
In each generation, the mating and reproduction strategies are determined through functions φ m and φ r , both defined on N 2 and taking values on N m and N r , respectively.
We start with X 0 = ( F 0 , M 0 ) N + 2 . Then, given that at generation n, X n = x N 2 , we obtain that L φ m ( x ) and P φ r ( x ) are the mating and reproductive strategies, respectively. Hence,
X n + 1 = ( F n + 1 , M n + 1 ) : = i = 1 L φ m ( x ) ( x ) ( F n , i φ r ( x ) , M n , i φ r ( x ) ) , n N
with F n , i φ r ( x ) and M n , i φ r ( x ) denoting, respectively, the number of female and male individuals originated by the i-th couple at generation n. For each h N r , independently of n, the random vectors ( F n , i h , M n , i h ) , i = 1 , , L φ m ( x ) ( x ) , defined on ( Ω , A , P ) , are assumed to be i.i.d. with P h being the offspring distribution,
P ( F n , 1 h = f , M n , 1 h = m ) = p ( f , m ) h , ( f , m ) S h
Given x 0 , , x n , x n + 1 N 2 , by considering that independently of the generation n, the random vectors ( F n , i h , M n , i h ) are i.i.d., it is derived from (1),
P ( X n + 1 = x n + 1 X 0 = x 0 , , X n = x n ) = P i = 1 L φ m ( x n ) ( x n ) ( F n , i φ r ( x n ) , M n , i φ r ( x n ) ) = x n + 1 = P ( X n + 1 = x n + 1 X n = x n )
Note that, the corresponding transition probabilities are independent of the generation n considered. In fact, for x , z N 2 ,
P ( X n + 1 = z X n = x ) = P i = 1 L φ m ( x ) ( x ) ( F n , i φ r ( x ) , M n , i φ r ( x ) ) = z = z 1 , , z d Δ z i = 1 d p z i φ r ( x )
where d = L φ m ( x ) ( x ) and Δ z : = { z 1 , , z d N 2 : i = 1 d z i = z } . Hence, { X n } n = 0 is a homogeneous Markov chain with state space N 2 . Clearly, if for some n, X n = ( 0 , 0 ) then X n + j = ( 0 , 0 ) , j 1 . Thus, ( 0 , 0 ) is an absorbent state.
Remark 1.
Two-sex Model (1) is particularly appropriate to mathematically describe the population dynamics of semalparous species, namely, biological species with a single reproductive episode before dying. Functions L l , φ m , and φ r , should be flexible enough in order to fit the main features of the species we pretend to describe. Usually, such functions will depend of biological/ethological parameters of interest in the demographic dynamics of the species.
Let f h ( s , t ) : = E [ s F 0 , 1 h t M 0 , 1 h ] and g n ( s , t ) : = E [ s F n t M n ] , s , t [ 0 , 1 ] , be the probability generating functions (p.g.f.) of ( F 0 , 1 h , M 0 , 1 h ) and ( F n , M n ) , h N r , n N , respectively. Clearly, g 0 ( s , t ) = s F 0 t M 0 . Next result determines the general expression for g n , n N + .
Proposition 1.
For n N ,
g n + 1 ( s , t ) = E ( f φ r ( X n ) ( s , t ) ) L φ m ( X n ) ( X n ) , s , t [ 0 , 1 ]
Proof. 
Given n N ,
g n + 1 ( s , t ) = E [ s F n + 1 t M n + 1 ] = E E [ s F n + 1 t M n + 1 X n ] = x N 2 E s i = 1 L φ m ( x ) ( x ) F n , i φ r ( x ) t i = 1 L φ m ( x ) ( x ) M n , i φ r ( x ) P ( X n = x ) = x N 2 E [ s F 0 , 1 φ r ( x ) t M 0 , 1 φ r ( x ) ] L φ m ( x ) ( x ) P ( X n = x ) = x N 2 f φ r ( x ) ( s , t ) L φ m ( x ) ( x ) P ( X n = x ) = E ( f φ r ( X n ) ( s , t ) ) L φ m ( X n ) ( X n ) , s , t [ 0 , 1 ]
We now provide some properties about the behavior of the states of { X n } n = 0 . To this purpose, we assume that L l , l N m , are superadditive functions, i.e., given n N + ,
L l i = 1 n x i i = 1 n L l ( x i ) , x i N 2 , l N m
Superadditivity is a classical and logical requirement in two-sex branching process literature.
Furthermore, for x N 2 , independently of n, let
C x : = { y N 2 : P ( X n + m = y X n = x ) > 0 f o r s o m e m 1 }
be the set of states which can be reached from x.
Proposition 2.
Assume x 0 N + 2 such that p x 0 h > 0 , L l ( x 0 ) > 1 , h N r , l N m . Given x N 2 :
(a) 
There exists x N 2 with L φ m ( x ) ( x ) > L φ m ( x ) ( x ) verifying that x C x 0 .
(b) 
If p ( 0 , 0 ) h > 0 , h N r , then ( 0 , 0 ) C x .
Proof. 
(a)
Let us introduce the sequence { x n } n = 0 , where
x n + 1 : = x 0 L φ m ( x n ) ( x n ) , n N
By using (2) and the fact that L l ( x 0 ) > 1 , l N m ,
L φ m ( x n + 1 ) ( x n + 1 ) = L φ m ( x n + 1 ) x 0 L φ m ( x n ) ( x n ) = L φ m ( x n + 1 ) i = 1 L φ m ( x n ) ( x n ) x 0 i = 1 L φ m ( x n ) ( x n ) L φ m ( x n + 1 ) ( x 0 ) = L φ m ( x n ) ( x n ) L φ m ( x n + 1 ) ( x 0 ) > L φ m ( x n ) ( x n )
Hence { L φ m ( x n ) ( x n ) } n = 0 . Consequently, given x N 2 , there exists x n such that L φ m ( x n ) ( x n ) > L φ m ( x ) ( x ) . Thus, it is sufficient to check that x n C x 0 . In fact, if for some l N + , X l = x 0 , then:
P ( X l + n = x n X l = x 0 ) i = 0 n 1 P ( X l + i + 1 = x i + 1 X l + i = x i ) = i = 0 n 1 P ( X l + 1 = x i + 1 X l = x i )
Now, using that x i + 1 = x 0 L φ m ( x i ) ( x i ) and p x 0 h > 0 , h N r ,
P ( X l + 1 = x i + 1 X l = x i ) = P j = 1 L φ m ( x i ) ( x i ) ( F l , j φ r ( x i ) , M l , j φ r ( x i ) ) = x i + 1 ( p x 0 φ r ( x i ) ) L φ m ( x i ) ( x i ) > 0
Therefore, from (3),
P ( X l + n = x n X l = x 0 ) p x 0 φ r ( x i ) i = 0 n 1 L φ m ( x i ) ( x i ) > 0
(b)
If for some n N , X n = x , then:
P ( X n + 1 = ( 0 , 0 ) X n = x ) = P j = 1 L φ m ( x ) ( x ) ( F n , j φ r ( x ) , M n , j φ r ( x ) ) = ( 0 , 0 ) = p ( 0 , 0 ) φ r ( x ) L φ m ( x ) ( x ) > 0
Let μ h : = ( μ 1 h , μ 2 h ) and Δ h : = ( σ i j h ) i , j = 1 , 2 be, respectively, the mean vector and the covariance matrix of ( F 0 , 1 h , M 0 , 1 h ) , h N r ,
μ i h : = ( k 1 , k 2 ) S h k i p ( k 1 , k 2 ) h , σ i j h : = ( k 1 , k 2 ) S h ( k i μ i h ) ( k j μ j h ) p ( k 1 , k 2 ) h , i , j = 1 , 2 .
For n N and x N 2 , let us denote by μ n + 1 x and Δ n + 1 x the mean vector and the covariance matrix, respectively, of X n + 1 given that X n = x . From Proposition 1, it can be verified that, independently of n:
E [ s F n + 1 t M n + 1 X n = x ] = ( f φ r ( x ) ( s , t ) ) L φ m ( x ) ( x ) , s , t [ 0 , 1 ]
μ n + 1 x = L φ m ( x ) ( x ) μ φ r ( x ) , Δ n + 1 x = L φ m ( x ) ( x ) Δ φ r ( x )
Next, we consider the estimation of μ h , h N r . To this end, we will assume that, for some n N + , we know the observations of the variables:
X 0 , L φ m ( X k ) ( X k ) , X k + 1 , k = 0 , , n
For each h N r , let T h : = { k { 0 , , n } : φ r ( X k ) = h } , i.e., the set of generations (until generation n) where P h has been the reproductive strategy.
Proposition 3.
Given h N r such that T h and k T h L φ m ( X k ) ( X k ) > 0 , a conditional moment-based estimator for μ h using the data sample (5), is given by:
μ h ^ = k T h L φ m ( X k ) ( X k ) 1 k T h X k + 1
Proof. 
From (4),
E [ X k + 1 X k ] = L φ m ( X k ) ( X k ) μ φ r ( X k ) a . s .
Hence, by using the moment estimation procedure, we can propose as estimate for μ φ r ( X k ) , based on the observations of L φ m ( X k ) ( X k ) and X k + 1 ,
μ ( k ) φ r ( X k ) ¯ : = ( L φ m ( X k ) ( X k ) ) 1 X k + 1 , k = 0 , , n
It is verified that,
E μ ( k ) φ r ( X k ) ¯ L φ m ( X k ) ( X k ) > 0 = μ φ r ( X k )
In fact,
E μ ( k ) φ r ( X k ) ¯ L φ m ( X k ) ( X k ) > 0 = z N + z 1 E [ X k + 1 L φ m ( X k ) ( X k ) = z ] P ( L φ m ( X k ) ( X k ) = z ) P ( L φ m ( X k ) ( X k ) > 0 ) = z N + z 1 E [ i = 1 z ( F k , i φ k ( X k ) , M k , i φ k ( X k ) ) ] P ( L φ m ( X k ) ( X k ) = z ) P ( L φ m ( X k ) ( X k ) > 0 ) = μ φ r ( X k ) z N + P ( L φ m ( X k ) ( X k ) = z ) P ( L φ m ( X k ) ( X k ) > 0 ) = μ φ r ( X k )
Thus, by considering (7), we propose as appropriate estimator for μ h :
μ h ^ : = k T h β k h μ ( k ) h ¯
where k T h β k h = 1 . Taking β k h L φ m ( X k ) ( X k ) , we deduce,
β k h = k T h L φ m ( X k ) ( X k ) 1 L φ m ( X k ) ( X k )
Consequently, from (7) and (8), we derive the Expression (6). □
Example 1.
Let us consider a two-sex model (1) where, given ( f , m ) N 2 ,
1. 
Females and males form couples through the n m = 2 mating strategies:
L 1 ( f , m ) = K 1 f min { 1 , m } , L 2 ( f , m ) = K 1 m min { f , 1 }
· denoting integer part and K 1 ( 0 , 1 ) representing the estimated proportion of individuals in the population which disappears due to environmental factors.
2. 
The couples produce new female and male individuals according to the n r = 2 reproductive strategies P h = { p ( f , m ) h } , h = 1 , 2 , where:
p ( f , m ) 1 : = P ( F 0 , 1 1 = f , M 0 , 1 1 = m ) = e 2.5 ( 1.3 ) f ( 1.2 ) m ( f ! m ! ) 1
p ( f , m ) 2 : = P ( F 0 , 1 2 = f , M 0 , 1 2 = m ) = e 2.4 ( 1.1 ) f ( 1.3 ) m ( f ! m ! ) 1
Thus, we are considering two bivariate Poisson laws as offspring distributions. In fact, Poisson probability distribution is very used to describe the probabilistic evolution of biological species. From (9) and (10) we deduce,
μ 1 = ( 1.3 , 1.2 ) , Δ 1 = 1.3 0 0 1.2
μ 2 = ( 1.1 , 1.3 ) , Δ 2 = 1.1 0 0 1.3
Offspring distribution P 1 favors the birth of females, with a ratio females/males of the means equal to 1.083 . This ratio has a value of 0.847 for the offspring distribution P 2 that consequently favors the birth of males.
3. 
In each generation, we assume the following functions φ m and φ r :
φ m ( f , m ) = 1 I { f m 1 > K 2 } ( f , m ) + 2 I { f m 1 K 2 } ( f , m )
φ r ( f , m ) = 1 I { f m } ( f , m ) + 2 I { f > m } ( f , m )
I A being the indicator function of the set A and K 2 representing a suitable threshold for the ratio females/males.
As illustration, taking, e.g., X 0 = ( 300 , 80 ) , K 1 = 0.75 and K 2 = 1.05 , applying the computing programs we have implemented through the statistical software R, ([15]), we have simulated data for a total number of 30 generations, see Table 1.
From Table 1, we have that:
  • T 1 = { 1 , 3 , 5 , 8 , 10 , 11 , 13 , 14 , 15 , 17 , 19 , 22 , 24 , 25 , 27 , 29 , 30 } ,
  • T 2 = { 0 , 2 , 4 , 6 , 7 , 9 , 12 , 16 , 18 , 20 , 21 , 23 , 26 , 28 }
Hence, by (6), we determine the following estimates for μ h , h = 1 , 2 ,
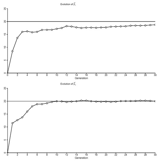
μ 1 ^ = ( 1.266 , 1.203 ) , μ 2 ^ = ( 1.070 , 1.291 )
From (11),
max h = 1 , 2 max i = 1 , 2 { | μ i h ^ μ i h | } = 0.034
This value indicates good accuracy for the obtained estimates. See also Figure 1.

3. Probability Model with Immigration

In this section, the previous two-sex probability model is extended including immigration of females and males from external populations. On the probability space ( Ω , A , P ) we now introduce the sequence { Y n } n = 0 , Y n = ( F n , M n ) representing the number of female and male individuals in the population at generation n. Initially we assume Y 0 = ( F 0 , M 0 ) N + 2 . As in model (1), given that Y n = y N 2 , then L l n and P h n with l n : = φ m ( y ) and h n : = φ r ( y ) are the mating and reproductive strategies at the n-th generation, respectively. At generation n + 1 ,
Y n + 1 = ( F n + 1 , M n + 1 ) : = i = 1 L φ m ( y ) ( y ) ( F n , i φ r ( y ) , M n , i φ r ( y ) ) + ( F n + 1 I , M n + 1 I ) , n N
where F n + 1 I ( M n + 1 I ) represents the number of immigrant females (males). It is assumed that, { ( F n I , M n I ) } n = 1 is a sequence of i.i.d non-negative variables (defined on ( Ω , A , P ) ) independent of ( F 0 , 1 h , M 0 , 1 h ) , h N r . The probability distribution (immigration distribution) of ( F 1 I , M 1 I ) will be denoted by { q ( f , m ) } ( f , m ) N , q ( f , m ) : = P ( F 1 I = f , M 1 I = m ) .
From (12), given y 0 , , y n , y n + 1 N 2 , using that { ( F n I , M n I ) } n = 1 is a sequence of i.i.d random vectors independent of ( F 0 , 1 h , M 0 , 1 h ) , h N r ,
P ( Y n + 1 = y n + 1 Y 0 = y 0 , , Y n = y n ) = P i = 1 L φ m ( y n ) ( y n ) ( F n , i φ r ( y n ) , M n , i φ r ( y n ) ) + ( F n + 1 I , M n + 1 I ) = y n + 1 = P ( Y n + 1 = y n + 1 Y n = y n )
Again, the transition probabilities are independent of the generation n considered. In fact, for y , z N 2 ,
P ( Y n + 1 = z Y n = y ) = P i = 1 L φ m ( y ) ( y ) ( F n , i φ r ( y ) , M n , i φ r ( y ) ) + ( F n + 1 I , M n + 1 I ) = z = z 1 , , z d , w Δ z * i = 1 d p z i φ r ( y ) q w
where d = L φ m ( y ) ( y ) and Δ z * : = { z 1 , , z d , w N 2 : i = 1 d z i + w = z } . Thus, { Y n } n = 0 is a homogeneous Markov chain with state space N 2 .
In what follows, we provide analogous results to Propositions 1–3 for this new class of two-sex branching processes with immigration of females and males.
For s , t [ 0 , 1 ] , let ϕ ( s , t ) : = E [ s F 1 I t M 1 I ] , h n ( s , t ) : = E [ s F n t M n ] , n N , be the p.g.f. of ( F 1 I , M 1 I ) and Y n = ( F n , M n ) , respectively. We have that h 0 ( s , t ) = s F 0 t M 0 . The general expression for h n , n N + , is given in the following result.
Proposition 4.
For n N ,
h n + 1 ( s , t ) = ϕ ( s , t ) E ( f φ r ( Y n ) ( s , t ) ) L φ m ( Y n ) ( Y n ) , s , t [ 0 , 1 ]
Proof. 
Given n N ,
h n + 1 ( s , t ) = E [ s F n + 1 t M n + 1 ] = E E [ s F n + 1 t M n + 1 Y n ] = y N 2 E s i = 1 L φ m ( y ) ( y ) F n , i φ r ( y ) + F n + 1 I t i = 1 L φ m ( y ) ( y ) M n , i φ r ( y ) + M n + 1 I P ( Y n = y ) = y N 2 E s F 1 I t M 1 I E s F 0 , 1 φ r ( y ) t M 0 , 1 φ r ( y ) L φ m ( y ) ( y ) P ( X n = y ) = ϕ ( s , t ) E ( f φ r ( Y n ) ( s , t ) ) L φ m ( Y n ) ( Y n ) , s , t [ 0 , 1 ] .
For the next result, we assume again that L l , l N m , are superadditive functions.
Proposition 5.
Assume y 0 , z 0 N + 2 such that p y 0 h > 0 , q z 0 > 0 , L l ( y 0 ) > 1 , h N r , l N m . Given y N 2 :
(a) 
There exists y N 2 , with L φ m ( y ) ( y ) > L φ m ( y ) ( y ) , verifying that y C y 0 .
(b) 
z 0 C y .
Proof. 
(a)
Let us consider the sequence { y n } n = 0 , where
y n + 1 : = y 0 L φ m ( y n ) ( y n ) + z 0 , n N
By the superadditivity of L l , l N m ,
L φ m ( y n + 1 ) ( y n + 1 ) = L φ m ( y n + 1 ) ( y 0 L φ m ( y n ) ( y n ) + z 0 ) = L φ m ( y n + 1 ) i = 1 L φ m ( y n ) ( y n ) y 0 + z 0 i = 1 L φ m ( y n ) ( y n ) L φ m ( y n + 1 ) ( y 0 ) + L φ m ( y n + 1 ) ( z 0 ) = L φ m ( y n ) ( y n ) L φ m ( y n + 1 ) ( y 0 ) + L φ m ( y n + 1 ) ( z 0 ) > L φ m ( y n ) ( y n )
Hence { L φ m ( y n ) ( y n ) } n = 0 . Thus, given y N 2 , there exists y n such that l φ m ( y n ) ( y n ) > L φ m ( y ) ( y ) . If for some l N + , Y l = y 0 , then:
P ( Y l + n = y n Y l = y 0 ) i = 0 n 1 P ( Y l + i + 1 = y i + 1 Y l + i = y i ) = i = 0 n 1 P ( Y l + 1 = y i + 1 Y l = y i )
Now, using that y i + 1 = y 0 L φ m ( y i ) ( y i ) + z 0 ,
P ( Y l + 1 = y i + 1 Y l = y i ) = P j = 1 L φ m ( y i ) ( y i ) ( F l , j φ r ( y i ) , M l , j φ r ( y i ) + ( F l + 1 I , M l + 1 I ) = y i + 1 ) p y 0 φ r ( y i ) L φ m ( y i ) ( y i ) q z 0 > 0
Therefore, from (13),
P ( Y l + n = y n Y l = y 0 ) p y 0 φ r ( y i ) i = 0 n 1 L φ m ( y i ) ( y i ) ( q z 0 ) n 1 > 0
We deduce that y n C y 0 and the result is proved.
(b)
If for some n N , Y n = y , then
P ( Y n + 1 = z 0 Y n = y ) = P j = 1 L φ m ( y ) ( y ) ( F n , j φ r ( y ) , M n , j φ r ( y ) ) + ( F n + 1 I , M n + 1 I ) = z 0 p ( 0 , 0 ) φ r ( y ) L φ m ( y ) ( y ) q z 0 > 0
Let us denote by μ I and Δ I the mean vector and the covariance matrix of ( F 1 I , M 1 I ) , respectively. Furthermore, for n N and y N 2 , let η n + 1 y and Γ n + 1 y the mean vector and covariance matrix, respectively, of Y n + 1 given that Y n = y . From Proposition 4, it can be checked that, independently of n:
E [ s F n + 1 t M n + 1 Y n = y ] = ϕ ( s , t ) ( f φ r ( y ) ( s , t ) ) L φ m ( y ) ( y ) , s , t [ 0 , 1 ]
η n + 1 y = L φ m ( y ) ( y ) μ φ r ( y ) + μ I , Γ n + 1 y = L φ m ( y ) ( y ) Δ φ r ( y ) + Δ I
We now consider the estimation of μ h , h N r and μ I . We will assume that, for some n N + , we know the observations of the variables:
Y 0 , L φ m ( Y k ) ( Y k ) , Y k + 1 , Y k + 1 I k = 0 , , n
where, by simplicity Y k + 1 I : = ( F k + 1 I , M k + 1 I ) . Clearly, we can propose as estimator for μ I , based on the data sample (15),
μ I ^ = ( n + 1 ) 1 k = 0 n Y k + 1 I
For each h N r , let T h * : = { k { 0 , , n } : φ r ( Y k ) = h } be the set of generations (until the generation n) where P h has been the underlying reproductive strategy.
Proposition 6.
Given h N r such that T h * and k T h * L φ m ( Y k ) ( Y k ) > 0 , a conditional moment-based estimator for μ h using the data sample (15), is given by:
μ h ^ = k T h * L φ m ( Y k ) ( Y k ) 1 k T h * ( Y k + 1 Y k + 1 I )
Proof. 
From (14),
E [ Y k + 1 Y k ] = L φ m ( Y k ) ( Y k ) μ φ r ( Y k ) + μ I a . s .
Hence, by moment estimation procedure, we propose as estimate for μ φ r ( Y k ) , based on the observations of L φ m ( Y k ) ( Y k ) (assumed positive), Y k + 1 and Y k + 1 I ,
μ ( k ) φ r ( Y k ) ¯ = ( L φ m ( Y k ) ( Y k ) ) 1 ( Y k + 1 Y k + 1 I ) , k = 0 , , n
It can be verified that,
E μ ( k ) φ r ( Y k ) ¯ L φ m ( Y k ) ( Y k ) > 0 = μ φ r ( Y k )
Taking into account (18), an appropriate estimator for μ h , based on the data sample (15), is given by:
μ h ^ = k T h * γ k h μ ( k ) h ¯
where k T h * γ k h = 1 . Taking γ k h L φ m ( Y k ) ( Y k ) , we deduce,
γ k h = k T h * ( L φ m ( Y k ) ( Y k ) ) 1 L φ m ( Y k ) ( Y k )
Hence, from (18) and (19), we obtain Expression (17). □
Example 2.
Let the two-sex probability model (1) considered in Example 1. We now assume that, in each generation, immigrant females and males enter the population from other populations according to a certain probability distribution, for example, the trinomial distribution:
q ( f , m ) = ( 50 ! ) ( f ! m ! ( 50 f m ) ! ) 1 ( 0.4 ) f ( 0.4 ) m ( 0.2 ) 50 f m
f , m { 0 , 1 , , 50 } , f + m 50
We deduce that,
μ I = ( 20 , 20 ) , Δ I = 12 8 8 12
As illustration, taking Y 0 = ( 300 , 80 ) , K 1 = 0.75 and K 2 = 1.05 , we have simulated data for a total number of 30 generations, see Table 2.
From Table 2, we have that:
  • T 1 * = { 1 , 3 , 5 , 7 , 9 , 13 , 15 , 17 , 19 , 21 , 23 , 25 , 27 , 28 , 29 , 30 } ,
  • T 2 * = { 0 , 2 , 4 , 6 , 8 , 10 , 11 , 12 , 14 , 16 , 18 , 20 , 22 , 24 , 26 }
Hence, by (16) and (17),
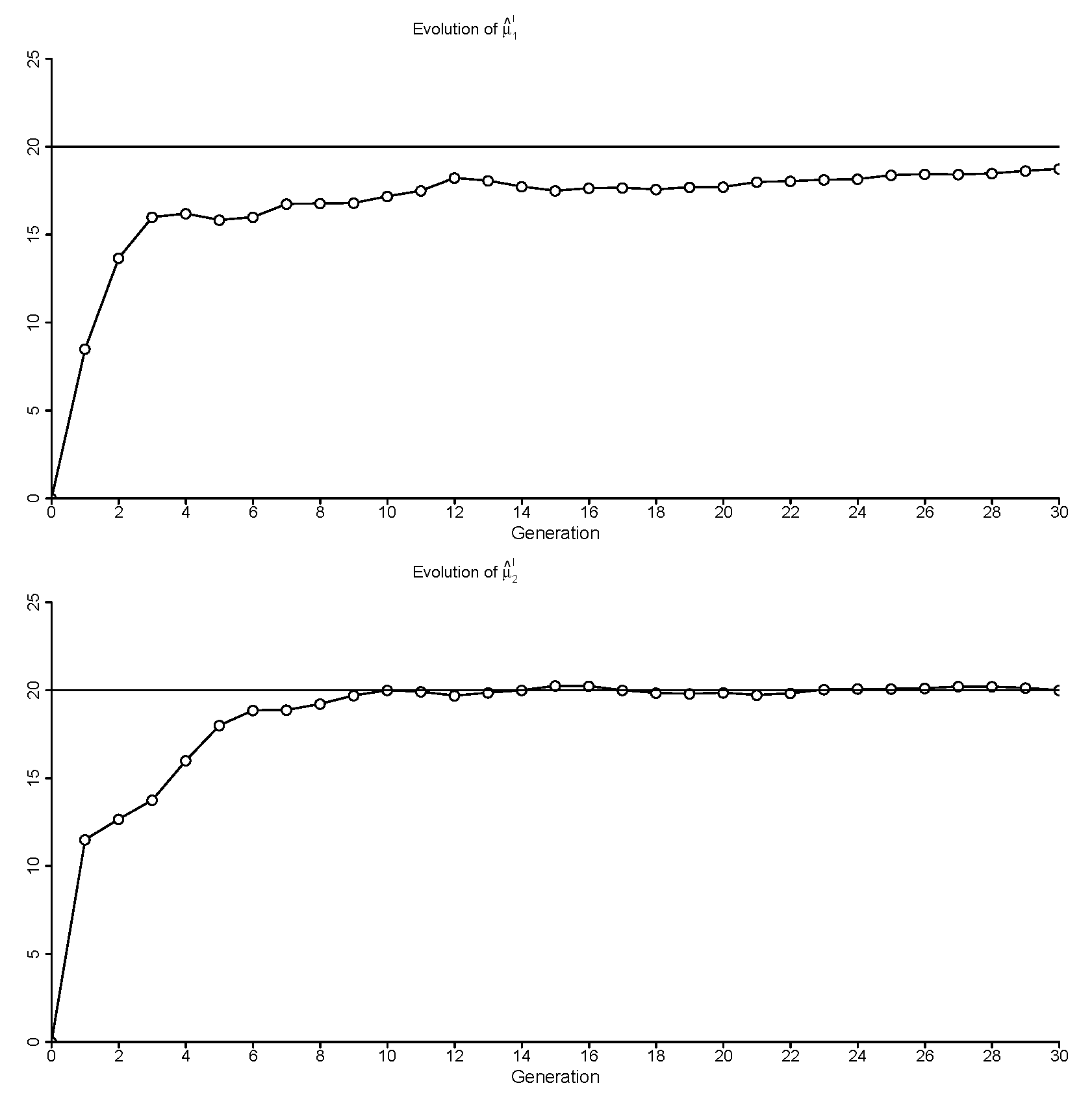
μ I ^ = ( 18.633 , 20.133 ) , μ 1 ^ = ( 1.313 , 1.198 ) , μ 2 ^ = ( 1.115 , 1.272 )
We obtain,
max i = 1 , 2 | μ i I ^ μ i I | = 1.367 , max h = 1 , 2 max i = 1 , 2 { | μ i h ^ μ i h | } = 0.028
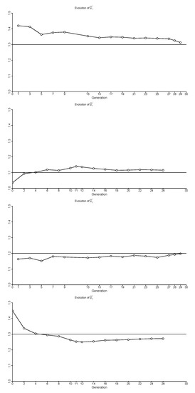
These values indicate good accuracy for the proposed estimates. See also Figure 2 and Figure 3.

4. Conclusions

In this research, we have focused attention to the mathematical modeling of the population dynamics in biological species with sexual reproduction. We have considered the possibility of multiple mating and reproductive strategies, thereby continuing the research line initiated in previous papers. Several probabilistic and statistical contributions have been derived. In particular, general expressions for the probability generating functions associated with the variables of interest in the underlying probability model have been deduced (Proposition 1), some properties about the behavior of the states of the process have been studied (Proposition 2) and estimates for the mean vectors of the offspring distributions have been proposed (Proposition 3). This class of two-sex branching models has been generalized by considering immigration of females and males from external populations. The previous results have been then extended to this new class of models with immigration (Propositions 4–6). As illustration, for both classes of two-sex models, simulated examples have been presented.
Some questions for future research are, e.g., consider alternative inferential procedures in order to estimate the main parameters governing the reproduction phase; determine the probability distribution associated with the number of generations elapsed before the possible extinction of the population; or explore potential applications of the investigated two-sex models in phenomena of ecological and environmental interest, for example, in mathematical modeling of the phenomenon concerning populating or re-populating a certain habitat with some semelparous species.

Author Contributions

Conceptualization, M.M.-F. and M.M.-M.; methodology, M.M.-F. and M.M.-M.; software, M.M.-F. and M.M.-M.; validation, M.M.-F. and M.M.-M.; formal analysis, M.M.-F. and M.M.-M.; investigation, M.M.-F. and M.M.-M.; resources, M.M.-F. and M.M.-M.; data curation, M.M.-F. and M.M.-M.; writing original draft preparation, M.M.-F. and M.M.-M.; writing review and editing, M.M.-F. and M.M.-M.; visualization, M.M.-F. and M.M.-M.; supervision, M.M.-F. and M.M.-M.; project administration, M.M.-F. and M.M.-M.; funding acquisition, M.M.-F. and M.M.-M. All authors have read and agreed to the published version of the manuscript.

Funding

The authors thank the support by the Junta de Extremadura (Grant GR21050) and the Fondo Europeo de Desarrollo Regional.

Institutional Review Board Statement

Not applicable.

Informed Consent Statement

Not applicable.

Data Availability Statement

Not applicable.

Acknowledgments

The authors also thank the support by the Ministerio de Ciencia e Innovación of Spain (Grant PID2019-108211GB-I00/AEI/10.13039/501100011033).

Conflicts of Interest

The authors declare they have no conflict of interest.

References

  1. Molina, M.; Mota, M.; Ramos, A. Stochastic modeling in biological populations with sexual reproduction through branching models: Application to Coho salmon populations. Math. Biosci. 2014, 258, 182–188. [Google Scholar] [CrossRef]
  2. Athreya, K.B.; Ney, P.E. Branching Processes; Dover Publications Inc.: Mineola, NY, USA, 2004. [Google Scholar]
  3. Guttorp, P. Statistical Inference for Branching Processes; Wiley: New York, NY, USA, 1991. [Google Scholar]
  4. Haccou, P.; Jagers, P.; Vatutin, V. Branching Processes: Variation, Growth, and Extinction of Populations; Cambridge University Press: Cambridge, UK, 2005. [Google Scholar]
  5. Hull, D.M. A survey of the literature associated with the bisexual Galton-Watson branching process. Extr. Math. 2003, 18, 321–343. [Google Scholar]
  6. Molina, M. Two–sex branching process literature. In Lectures Notes in Statistics; Springer: Berlin/Heidelberg, Germany, 2010; Volume 197, pp. 279–293. [Google Scholar]
  7. Cornell, S.; Isham, V. Ultimate extinction of the promiscuous bisexual Galton–Watson metapopulation. Aust. N. Z. J. Stat. 2004, 46, 87–98. [Google Scholar] [CrossRef]
  8. Daley, D.J.; Hull, D.M.; Taylor, J.M. Bisexual Galton–Watson branching processes with superadditive mating functions. J. Appl. Prob. 1986, 23, 585–600. [Google Scholar] [CrossRef]
  9. Hull, D.M. A reconsideration of Lotka’s extinction probability using a bisexual branching process. J. Appl. Prob. 2001, 38, 776–780. [Google Scholar] [CrossRef]
  10. Ma, S. Bisexual Galton-Watson branching processes in random environments. Acta Math. Appl. Sin. Engl. Ser. 2006, 22, 419–428. [Google Scholar] [CrossRef]
  11. Xing, Y.; Wang, Y. On the extinction of one class of population-size dependent bisexual branching processes. J. Appl. Prob. 2005, 42, 175–184. [Google Scholar] [CrossRef][Green Version]
  12. Fleming, I.A. Reproductive strategies of Atlantic salmon: Ecology and evolution. Rev. Fish Biol. Fish. 1996, 6, 379–416. [Google Scholar] [CrossRef]
  13. Molina, M.; Mota, M.; Ramos, A. Two-sex branching processes with several mating and reproduction strategies: Extinction versus survival. In Branching Processes and Their Applications; Springer: Cham, Switzerland, 2016; Volume 219, pp. 307–317. [Google Scholar]
  14. Molina, M.; Mota, M.; Ramos, A. Estimation of parameters in biological species with several mating and reproduction alternatives. Math. Biosci. 2020, 329, 108471. [Google Scholar] [CrossRef]
  15. R Development Core Team. A Language and Environment for Statistical Computing; R Foundation for Statistical Computing: Vienna, Austria, 2009; Available online: http://www.r-project.org (accessed on 15 May 2022).
Figure 1. Evolution of the estimates μ i 1 ^ and μ i 2 ^ , i = 1 , 2 , in the successive generations belonging to T 1 and T 2 , respectively.
Figure 1. Evolution of the estimates μ i 1 ^ and μ i 2 ^ , i = 1 , 2 , in the successive generations belonging to T 1 and T 2 , respectively.
Mathematics 10 02061 g001
Figure 2. Evolution of the estimates μ i I ^ , i = 1 , 2 , in the successive generations.
Figure 2. Evolution of the estimates μ i I ^ , i = 1 , 2 , in the successive generations.
Mathematics 10 02061 g002
Figure 3. Evolution of the estimates μ i 1 ^ and μ i 2 ^ , i = 1 , 2 , in the successive generations belonging to T 1 * and T 2 * , respectively.
Figure 3. Evolution of the estimates μ i 1 ^ and μ i 2 ^ , i = 1 , 2 , in the successive generations belonging to T 1 * and T 2 * , respectively.
Mathematics 10 02061 g003
Table 1. Females and males ( X n ), mating strategy ( l n ), couples ( Z n = L φ m ( X n ) ( X n ) ) and reproductive strategy ( h n ) in the successive generations.
Table 1. Females and males ( X n ), mating strategy ( l n ), couples ( Z n = L φ m ( X n ) ( X n ) ) and reproductive strategy ( h n ) in the successive generations.
Generation X n l n Z n h n Generation X n l n Z n h n
0(300, 80)1225216(154, 124)11152
1(236, 302)2226117(130, 134)21001
2(308, 275)1231218(124, 105)1932
3(238, 298)2223119(104, 135)21011
4(307, 269)1230220(128, 117)1962
5(229, 301)2225121(122, 106)1912
6(288, 271)1216222(86, 131)2981
7(244, 240)2180223(125, 106)1932
8(182, 239)2179124(106, 130)2971
9(223, 218)2163225(122, 148)21111
10(191, 214)2160126(131, 125)2932
11(197, 205)2153127(89, 115)2861
12(190, 169)1142228(119, 111)1892
13(148, 195)2146129(96, 116)2871
14(172, 183)2137130(112, 118)2881
15(162, 175)21311
Table 2. Females and males ( Y n ), mating strategy ( l n ), couples ( Z n = L φ m ( Y n ) ( Y n ) ), immigrant females and males ( Y n I ) and reproductive strategy ( h n ) in the successive generations.
Table 2. Females and males ( Y n ), mating strategy ( l n ), couples ( Z n = L φ m ( Y n ) ( Y n ) ), immigrant females and males ( Y n I ) and reproductive strategy ( h n ) in the successive generations.
Generation Y n l n Z n Y n I h n Generation Y n l n Z n Y n I h n
0(300, 80)1225(0, 0)216(379, 356)1284(20, 20)2
1(250, 343)2257(17, 23)117(320, 396)2297(18, 16)1
2(389, 314)1291(24, 15)218(427, 384)1320(16, 17)2
3(354, 387)2290(23, 17)119(358, 428)2321(20, 19)1
4(425, 366)1318(17, 25)220(446, 386)1334(18, 21)2
5(369, 411)2308(14, 28)121(401, 455)2341(24, 17)1
6(410, 369)1307(17, 24)222(459, 452)2339(19, 22)2
7(379, 412)2309(22, 19)123(408, 465)2348(20, 25)1
8(453, 411)1339(17, 22)224(491, 419)1368(19, 21)2
9(389, 444)2333(17, 24)125(432, 501)2375(24, 20)1
10(484, 410)1363(21, 23)226(514, 433)1385(20, 21)2
11(453, 445)2333(21, 19)227(437, 509)2381(18, 23)1
12(426, 425)2318(27, 17)228(520, 524)2393(20, 20)1
13(369, 408)2306(16, 22)129(497, 509)2381(23, 18)1
14(389, 374)2280(13, 22)230(464, 496)2372(22, 16)1
15(306, 375)2281(14, 24)1
Publisher’s Note: MDPI stays neutral with regard to jurisdictional claims in published maps and institutional affiliations.

Share and Cite

MDPI and ACS Style

Molina-Fernández, M.; Mota-Medina, M. Some Contributions to the Class of Branching Processes with Several Mating and Reproduction Strategies. Mathematics 2022, 10, 2061. https://doi.org/10.3390/math10122061

AMA Style

Molina-Fernández M, Mota-Medina M. Some Contributions to the Class of Branching Processes with Several Mating and Reproduction Strategies. Mathematics. 2022; 10(12):2061. https://doi.org/10.3390/math10122061

Chicago/Turabian Style

Molina-Fernández, Manuel, and Manuel Mota-Medina. 2022. "Some Contributions to the Class of Branching Processes with Several Mating and Reproduction Strategies" Mathematics 10, no. 12: 2061. https://doi.org/10.3390/math10122061

APA Style

Molina-Fernández, M., & Mota-Medina, M. (2022). Some Contributions to the Class of Branching Processes with Several Mating and Reproduction Strategies. Mathematics, 10(12), 2061. https://doi.org/10.3390/math10122061

Note that from the first issue of 2016, this journal uses article numbers instead of page numbers. See further details here.

Article Metrics

Back to TopTop