Markovian Demands on Two Commodity Inventory System with Queue-Dependent Services and an Optional Retrial Facility
Abstract
:1. Introduction
Related Works
2. System Description
3. Analysis of the Model
3.1. Construction of Infinitesimal Generator Matrix
3.2. Matrix Geometric Approximation
Steady State Analysis
3.3. Limiting Probability Distribution
4. Waiting Time Analysis
Waiting Time of a Demand in Queue
- is the time until chosen demand become satisfied.
- LST of is , and we denote by .
- LST of unconditional waiting time (UWT).
- LST of conditional waiting time (CWT).
5. System Characteristics
5.1. Mean Inventory Level for First Commodity
5.2. Mean Inventory Level for Second Commodity
5.3. Mean Reorder Rate for First Commodity
5.4. Mean Reorder Rate for Second Commodity
5.5. Mean Perishable Rate for First Commodity
5.6. Mean Perishable Rate for Second Commodity
5.7. Mean Number of Primary Customer Lost
5.8. Overall Rate of Retrial
5.9. Successful Rate of Retrial
5.10. Fraction of Successful Rate of Retrial
6. Cost Analysis and Numerical Illustrations
- = The holding cost of commodity-I per unit item per unit time t.
- = The holding cost of commodity-II per unit item per unit time t.
- = Set up cost of commodity-I per run.
- = Set up cost of commodity-II per run.
- = Perishable cost of commodity-I per unit item per unit time.
- = Perishable cost of commodity-II per unit item per unit time.
- = Waiting cost of a customer in the queue per unit time t.
- = Waiting cost of a orbiting customer per unit time t.
- = Cost due to loss of customers per unit time.
Numerical Illustrations
- When we increase λ, the number of arrival in the system as well as sales of first commodity are increased. So the number of customer and number of sold commodity are directly proportional to each other, the commodity-I reaches the reorder point as soon. Therefore, the mean reorder rate increases according to the increase of λ. Likewise, the queue size N also cause the increase of the mean reorder rate of the commodity-I. It is shown in Figure 2.
- As the increase of arrival rate, we observe that the number of customer in the waiting hall will increase from the Figure 3. The expansion of queue size N also cause the increase of number of customer in the waiting hall. monotonically increases as both N and λ increase.
- However, as we predicted, the customer lost rate will increase when λ increases due to the restriction of finite waiting hall size. Once the waiting hall starts overflow, the new arrivals at that moment either goes to an orbit or they considered as lost under the Bernoulli’s schedule. It is shown in Figure 4. However, this can be controlled when we expand the queue size.
- As λ increases, the mean successful rate of retrial decrease. This is because the primary customer occupies the places in the waiting hall. When the orbit customer tries to enter into the waiting hall and finds that there will be very less seats available, the number of customer enters into the waiting hall will decrease. Similarly the same situation will happen when the queue size is expanded. This can be seen from Figure 5.
- According to occurrence of the arrival rate, the total cost of the system changed with the direct proportion. Since every customer requires an item, we should maintain the sufficient stock level according to the occurrence of customer in the waiting hall. So that the holding cost of the required items also increased accordingly. Thus the mean total cost value of the system increased as we increase both λ and N. It can be seen in Figure 6.
- Basically the lead time of any receiving order depends upon the ordering quantity. Normally the lead time of an order decreases with increasing the order quantity. In addition, the set up cost per order may increase if the transportation cost increases with Q.
- But as β increases, decreases due to high sensitive nature of lead time. β increases means that the average time of an ordered item to reach the system will be reduced. According to this fact the unnecessary delay of receiving the ordered items can be avoided. Relaxation of this delay time helps to reduce the MTC.
- As increases, has both decreasing and increasing property under the given random environmental conditions. It possess the optimal MTC. As per the changes due to , the will play the same role as on MTC.
- If we increase q, then the customer decides to leave the system without entering into the orbit. This leads to increase of mean customer lost. At the same time, it helps to reduce the mean total cost whenever it increases.
- As μ increases, and increases. This is because the average service time per customer is reduced. So the overflowing of a customer in the waiting hall has been controlled by the server. Thus the attempt of an retrial customer to enter into the waiting hall becomes successful. In the mean time the customer lost is also controlled.
- At any given rate of primary arrival and retrial, the total cost curve is either decreased or convex under the given range of μ with non-queue dependent service time but it is lower at any given μ with queue dependent service time. Since the queue dependent service rate will reduce the average service time per customer, the optimal MTC of the proposed model is attained in the queue dependent service time cases only.
- As we expected and all increases as λ increases. The number of incoming arrival into the system generally increases the expected waiting time of a primary as well as retrial customer, MTC and customer lost when it increases.
- Further all these measures are much lower at queue dependent service time except .
- As μ increases, and decreases and and decreases. This is due to the decreases of the mean service while increasing μ which reduces the number of customers in the waiting hall.
- We can notice that decreases and others decrease on increasing the parameter vale of λ. Because the number of customers in the waiting hall increases if λ is increased.
- On comparing, the measures and under the parameter variation, Queue dependent service time is more effective than the non-queue dependent service time. For the others, non-queue dependent service time is effective.
7. Conclusions
Author Contributions
Funding
Institutional Review Board Statement
Informed Consent Statement
Data Availability Statement
Acknowledgments
Conflicts of Interest
Abbreviations
| 0 | Null matrix of an appropriate order |
| e | A column vector of the each entries are one with an appropriate dimension |
| I | An identity matrix of an appropriate order |
References
- Abolnikov, L.; Dshalalow, J.H.; Dukhovny, A. On stochastic processes in a multilevel control bulk queueing system. Stoch. Anal. Appl. 1992, 10, 155–179. [Google Scholar] [CrossRef]
- Dshalalow, J.H. Queueing systems with state-dependent parameters. In Frontiers in Queueing: Models and Applications in Science and Engineering; CRC Press: Boca Raton, FL, USA, 1995; pp. 61–116. [Google Scholar]
- Fakinos, D. The G/G/1 (LCFS/P) queue with service depending on queue size. Eur. J. Oper. Res. 1992, 59, 303–307. [Google Scholar] [CrossRef]
- Harris, C.M. Some results for bulk-arrival queue with state-dependent service times. Manag. Sci. 1970, 16, 313–326. [Google Scholar] [CrossRef]
- Ivnitskiy, V.A. A stationary regime of a queueing system with parameters dependent on the queue length and with non-ordinary flow. Eng. Cyb. 1974, 13, 85–90. [Google Scholar]
- Sigman, K.; Simchi-Lev, D. Light traffic heuristic for an M/G/1 queue with limited inventory. Ann. Oper. Res. 1992, 40, 371–380. [Google Scholar] [CrossRef]
- Schwarz, M.; Sauer, C.; Daduna, H.; Kulik, R.; Szekli, R. M/M/1 queueing systems with inventory. Queueing Syst. 2006, 54, 55–78. [Google Scholar] [CrossRef]
- Berman, O.; Kaplan, E.H.; Shimshak, D.G. Deterministic Approximations for Inventory Management at Service Facilities. IIE Trans. 1993, 25, 98–104. [Google Scholar] [CrossRef]
- Jeganathan, K.; Reiyas, M.A.; Lakshmi, K.P.; Saravanan, S. Two server Markovian inventory systems with server interruptions: Heterogeneous vs. homogeneous servers. Math. Comput. Simul. 2019, 155, 177–200. [Google Scholar] [CrossRef]
- Gebhard, R.F. A queueing process with bilevel hysteretic service-rate control. Naval Res. Logist. Quart 1967, 14, 55–68. [Google Scholar] [CrossRef]
- Sangeetha, N.; Sivakumar, B. Optimal service rates of a perishable inventory system with service facility. Int. J. Math. Oper. Res. 2020, 16, 515–550. [Google Scholar] [CrossRef]
- Choi, D.I.; Knessl, C.; Tier, C. A queueing system with queue length dependent service times, with applications to cell discarding in ATM networks. J. Appl. Math. Stoch. Anal. 1999, 12, 35–62. [Google Scholar] [CrossRef] [Green Version]
- Jeganathan, K.; Reiyas, M.A.; Padmasekaran, S.; Lakshmanan, K. An M/Ek/1/N Queueing-Inventory System with Two Service Rates Based on Queue Lengths. Int. J. Appl. Comput. Math. 2017, 3, 357–386. [Google Scholar] [CrossRef]
- Keerthana, M.; Sivakumar, B.; Manuel, P. An Inventory system with postponed and renewal demands. Int. J. Syst. Sci. Oper. Logist. 2021, 9, 180–198. [Google Scholar] [CrossRef]
- Krishnamoorthy, A.; Jose, K.P. Comparison of inventory systems with service, positive lead-time, loss, and retrial of demands. J. Appl. Math. Stoch. Anal. 2007, 2007, 037848. [Google Scholar] [CrossRef] [Green Version]
- Amirthakodi, M.; Sivakumar, B. An inventory system with service facility and feedback customers. Int. J. Ind. Syst. Eng. 2019, 33, 374–411. [Google Scholar]
- Shajin, D.; Krishnamoorthy, A. On a queueing-inventory system with impatient customers, advanced reservation, cancellation, overbooking and common life time. Oper. Res. 2021, 21, 1229–1253. [Google Scholar] [CrossRef]
- Anilkumar, M.P.; Jose, K.P. A Geo/Geo/1 inventory priority queue with self induced interruption. Int. J. Appl. Comput. Math. 2020, 6, 1–14. [Google Scholar] [CrossRef]
- Jose, K.P.; Anilkumar, M.P. Stochastic Optimization of Local Purchase Quantities in a Geo/Geo/1 Production Inventory System. Int. Conf. Distrib. Comput. Commun. Netw. 2020, 1337, 206–220. [Google Scholar]
- Jose, K.P.; Reshmi, P.S. A production inventory model with deteriorating items and retrial demands. OPSEARCH 2020, 58, 71–82. [Google Scholar] [CrossRef]
- Reshmi, P.S.; Jose, K.P. A MAP/PH/1 Perishable Inventory System with Dependent Retrial Loss. Int. J. Appl. Comput. Math. 2020, 6, 1–11. [Google Scholar] [CrossRef]
- Manuel, P.; Sivakumar, B.; Arivarignan, G. A perishable inventory system with service facilities, MAP arrivals and PH-service times. J. Syst. Sci. Syst. Eng. 2007, 16, 62–73. [Google Scholar] [CrossRef]
- Manuel, P.; Sivakumar, B.; Arivarignan, G. A perishable inventory system with service facilities and retrial customers. Comput. Ind. Eng. 2008, 54, 484–501. [Google Scholar] [CrossRef]
- Kathiresan, J.; Kokila, M.; Anbazhagan, N. Markovian Inventory System with Different Types of Service and Negative Customers. Int. J. Pure Appl. Math. 2018, 120, 7685–7699. [Google Scholar]
- Artalejo, J.R.; Krishnamoorthy, A.; Lopez-Herrero, M.J. Numerical analysis of (s,S) inventory systems with repeated attempts. Ann. Oper. Res. 2006, 141, 67–83. [Google Scholar] [CrossRef]
- Ushakumari, P.V. On (s,S) inventory system with random lead time and repeated demands. J. Appl. Math. Stoch. Anal. 2006, 2006, 081508. [Google Scholar] [CrossRef] [Green Version]
- Veinott, F.V.; Wagner, H.M. Computing optimal (s, S) in inventory policies. Manag. Sci. 1965, 11, 525–552. [Google Scholar] [CrossRef]
- Wagner, H.M.; Hagan, M.O.; Lundh, B. An empirical study of exactly and approximately optimal inventory policies. Manag. Sci. 1965, 11, 690–723. [Google Scholar] [CrossRef]
- Alscher, T.; Schneider, H. Resolving a multi-item inventory problem with unknown costs. Eng. Costs Prod. Econ. 1982, 6, 9–15. [Google Scholar] [CrossRef]
- Kalpakam, S.; Arivarignan, G. A coordinated multi commodity (s, S) inventory system. Math. Comput. Model. 1993, 18, 69–73. [Google Scholar] [CrossRef]
- Anbazhagan, N.; Arivarignan, G. Analysis of two-commodity Markovian inventory system with lead time. Korean J. Comput. Appl. Math. 2001, 8, 427–438. [Google Scholar] [CrossRef]
- Anbazhagan, N.; Arivarignan, G. Two-Commodity Inventory system with Individual and Joint Ordering Policies. Int. J. Manag. Syst. 2003, 19, 129–144. [Google Scholar]
- Anbazhagan, N.; Arivarignan, G. Two-Commodity continuous review inventory system with coordinated reorder policy. Int. J. Inf. Manag. Sci. 2000, 11, 19–30. [Google Scholar]
- Sivakumar, B.; Anbazhagan, N.; Arivarignan, G. A two-commodity perishable inventory system. ORiON 2005, 21, 157–172. [Google Scholar] [CrossRef]
- Sivakumar, B. Two-commodity inventory system (TCIS) with retrial demand. Eur. J. Oper. Res. 2008, 18, 70–83. [Google Scholar] [CrossRef]
- Yadavalli, V.S.S.; Adetunji, O.; Sivakumar, B.; Arivarignan, G. Two-commodity perishable inventory system with bulk demand for one commodity. South Afr. J. Ind. Eng. 2010, 21, 137–155. [Google Scholar] [CrossRef]
- Anbazhagan, N.; Elango, C.; Kumaresan, V. Analysis of two-commodity inventory system with compliment for bulk demand. Math. Model. Appl. Comput. 2011, 2, 155–168. [Google Scholar]
- Gomathi, D.; Jeganathan, K.; Anbazhagan, N. Two-Commodity Inventory System for Base-Stock Policy with Service Facility. Glob. J. Sci. Front. Res. Math. Decis. Sci. 2012, 12, 69–79. [Google Scholar]
- Anbazhagan, N.; Jeganathan, K. Two-Commodity Markovian Inventory System with Compliment and Retrial Demand. Br. J. Math. Comput. Sci. 2013, 3, 115–134. [Google Scholar] [CrossRef]






| / | 5 | 6 | 7 | 8 | 9 |
|---|---|---|---|---|---|
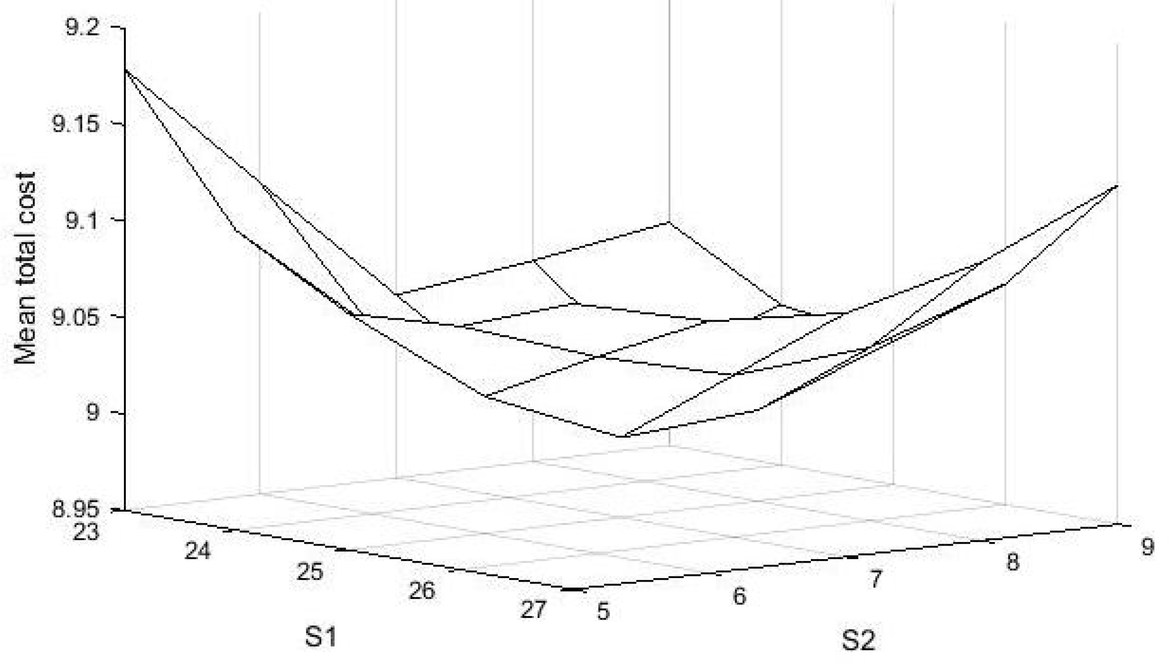
| 23 | 9.179124 | 9.105358 | 9.072545 | 9.076211 | 9.098163 |
| 24 | 9.111433 | 9.046548 | 9.021119 | 9.051946 | 9.080716 |
| 25 | 9.044719 | 9.008342 | 8.991429 | 9.033913 | 9.076386 |
| 26 | 9.054109 | 9.008624 | 8.996934 | 9.039765 | 9.094405 |
| 27 | 9.065483 | 9.032995 | 9.024460 | 9.064498 | 9.126085 |
| N | ||||||||||
|---|---|---|---|---|---|---|---|---|---|---|
| 2 | 2 | 3 | 8.7536 | 1.5519 | 7.5094 | 0.7532 | 9.0950 | 1.5882 | 8.0698 | 0.7743 |
| 3 | 3.5 | 8.6646 | 1.5519 | 7.1303 | 0.7532 | 8.7645 | 1.5882 | 7.3157 | 0.7743 | |
| 4 | 4 | 8.7541 | 1.5519 | 7.0804 | 0.7532 | 8.7776 | 1.5882 | 7.1392 | 0.7743 | |
| 4 | 2 | 3 | 10.3059 | 1.5886 | 9.9867 | 0.7724 | 12.5089 | 1.6150 | 13.0528 | 0.7870 |
| 3 | 3.5 | 9.2156 | 1.5886 | 8.1644 | 0.7724 | 10.0960 | 1.6150 | 9.5449 | 0.7870 | |
| 4 | 4 | 9.1308 | 1.5886 | 7.8589 | 0.7724 | 9.7125 | 1.6150 | 8.7821 | 0.7870 | |
| Queue Dependent Service Time | Non Queue Dependent Service Time | |||||||||||
|---|---|---|---|---|---|---|---|---|---|---|---|---|
| 3.2 | 2.2 | 5 | 0.0325 | 0.0545 | 0.9283 | 7.7969 | 1.2069 | 0.0785 | 0.2167 | 0.8799 | 11.2858 | 0.7562 |
| 10 | 0.0269 | 0.0431 | 0.9569 | 8.1573 | 1.2751 | 0.0349 | 0.0656 | 0.8950 | 8.9257 | 1.0759 | ||
| 15 | 0.0256 | 0.0404 | 0.9689 | 8.6277 | 1.2930 | 0.0288 | 0.0497 | 0.9171 | 8.9840 | 1.1803 | ||
| 20 | 0.0250 | 0.0393 | 0.9756 | 9.1269 | 1.3008 | 0.0268 | 0.0447 | 0.9326 | 9.3530 | 1.2259 | ||
| 3.2 | 5 | 0.0224 | 0.0356 | 0.9273 | 7.6068 | 1.2671 | 0.0549 | 0.1433 | 0.8766 | 10.7980 | 0.7821 | |
| 10 | 0.0185 | 0.0280 | 0.9564 | 7.7515 | 1.3431 | 0.0241 | 0.0433 | 0.8925 | 8.4550 | 1.1201 | ||
| 15 | 0.0176 | 0.0263 | 0.9685 | 7.9831 | 1.3634 | 0.0198 | 0.0326 | 0.9151 | 8.314 | 1.2347 | ||
| 20 | 0.0172 | 0.0255 | 0.9753 | 8.2393 | 1.3722 | 0.0185 | 0.0292 | 0.9308 | 8.4485 | 1.2862 | ||
| 4.2 | 5 | 0.0171 | 0.0263 | 0.9272 | 7.5383 | 1.3009 | 0.0422 | 0.1066 | 0.8749 | 10.5441 | 0.7975 | |
| 10 | 0.0141 | 0.0207 | 0.9564 | 7.6030 | 1.3823 | 0.0184 | 0.0323 | 0.8916 | 8.2765 | 1.1440 | ||
| 15 | 0.0134 | 0.0194 | 0.9685 | 7.7398 | 1.4044 | 0.0151 | 0.0242 | 0.9144 | 8.0709 | 1.2644 | ||
| 20 | 0.0131 | 0.0188 | 0.9752 | 7.8979 | 1.4140 | 0.0141 | 0.0217 | 0.9301 | 8.1125 | 1.3198 | ||
| 3.6 | 2.2 | 5 | 0.0398 | 0.0716 | 0.9291 | 8.5298 | 1.3357 | 0.1020 | 0.3253 | 0.8859 | 12.8286 | 0.8124 |
| 10 | 0.0324 | 0.0557 | 0.9572 | 9.0293 | 1.4180 | 0.0435 | 0.0889 | 0.8972 | 10.0259 | 1.1803 | ||
| 15 | 0.0308 | 0.0521 | 0.9690 | 9.6480 | 1.4392 | 0.0351 | 0.0653 | 0.9181 | 10.0798 | 1.3060 | ||
| 20 | 0.0301 | 0.0505 | 0.9756 | 10.2973 | 1.4484 | 0.0325 | 0.0581 | 0.9331 | 10.5559 | 1.3608 | ||
| 3.2 | 5 | 0.0275 | 0.0467 | 0.9279 | 8.3045 | 1.4044 | 0.0718 | 0.2146 | 0.8828 | 12.2445 | 0.8386 | |
| 10 | 0.0224 | 0.0362 | 0.9566 | 8.5384 | 1.4962 | 0.0302 | 0.0586 | 0.8946 | 9.4455 | 1.2293 | ||
| 15 | 0.0212 | 0.0338 | 0.9686 | 8.8598 | 1.5204 | 0.0243 | 0.0429 | 0.9159 | 9.2578 | 1.3674 | ||
| 20 | 0.0207 | 0.0328 | 0.9753 | 9.2066 | 1.5308 | 0.0224 | 0.0380 | 0.9312 | 9.4438 | 1.4295 | ||
| 4.2 | 5 | 0.0210 | 0.0345 | 0.9276 | 8.2237 | 1.4435 | 0.0554 | 0.1594 | 0.8810 | 11.9324 | 0.8546 | |
| 10 | 0.0170 | 0.0267 | 0.9565 | 8.3560 | 1.5418 | 0.0231 | 0.0437 | 0.8935 | 9.2145 | 1.2560 | ||
| 15 | 0.0162 | 0.0249 | 0.9686 | 8.5547 | 1.5683 | 0.0185 | 0.0318 | 0.9150 | 8.9471 | 1.4011 | ||
| 20 | 0.0158 | 0.0241 | 0.9752 | 8.7743 | 1.5796 | 0.0171 | 0.0281 | 0.9304 | 9.0161 | 1.4680 | ||
Publisher’s Note: MDPI stays neutral with regard to jurisdictional claims in published maps and institutional affiliations. |
© 2022 by the authors. Licensee MDPI, Basel, Switzerland. This article is an open access article distributed under the terms and conditions of the Creative Commons Attribution (CC BY) license (https://creativecommons.org/licenses/by/4.0/).
Share and Cite
Jeganathan, K.; Reiyas, M.A.; Selvakumar, S.; Anbazhagan, N.; Amutha, S.; Joshi, G.P.; Jeon, D.; Seo, C. Markovian Demands on Two Commodity Inventory System with Queue-Dependent Services and an Optional Retrial Facility. Mathematics 2022, 10, 2046. https://doi.org/10.3390/math10122046
Jeganathan K, Reiyas MA, Selvakumar S, Anbazhagan N, Amutha S, Joshi GP, Jeon D, Seo C. Markovian Demands on Two Commodity Inventory System with Queue-Dependent Services and an Optional Retrial Facility. Mathematics. 2022; 10(12):2046. https://doi.org/10.3390/math10122046
Chicago/Turabian StyleJeganathan, K., M. Abdul Reiyas, S. Selvakumar, N. Anbazhagan, S. Amutha, Gyanendra Prasad Joshi, Duckjoong Jeon, and Changho Seo. 2022. "Markovian Demands on Two Commodity Inventory System with Queue-Dependent Services and an Optional Retrial Facility" Mathematics 10, no. 12: 2046. https://doi.org/10.3390/math10122046
APA StyleJeganathan, K., Reiyas, M. A., Selvakumar, S., Anbazhagan, N., Amutha, S., Joshi, G. P., Jeon, D., & Seo, C. (2022). Markovian Demands on Two Commodity Inventory System with Queue-Dependent Services and an Optional Retrial Facility. Mathematics, 10(12), 2046. https://doi.org/10.3390/math10122046

