Well-Balanced High-Order Discontinuous Galerkin Methods for Systems of Balance Laws
Abstract
:1. Introduction
2. Discontinuous Galerking Method
2.1. Runge–Kutta Time Discretization
2.2. ADER Time Discretization
3. Well-Balanced Technique
3.1. Well-Balanced Runge–Kutta DG Methods
- Seek for the stationary solution of the minimization problem inThe previous problem is in general difficult. Nevertheless if depends on a set of parameters, problem (12) reduces, in general, to a non-linear system of equations if the integrals in (12b) are approximated by quadrature formulas defined in terms of the Gaussian nodal points of the DG polynomials. Moreover, in some situations, like the ones considered below, (12a) and (12b) are enough to determine uniquely the local stationary solution. For instance, if is of the formthen the integration of (12b) by using quadrature rules leads towhere are the Gaussian quadrature rule weights and nodes respectively. This quadrature rule must be of the same order of the DG space approximation at the element Similarly, for stationary solutions of the formthe constant can be simply computed from (12b) and yields
- Compute the fluctuation DG polynomial:where is the projection of into . Note that (12c) guarantees that is minimal in -norm.
- To preserve stationary solutions, the numerical method (4) is modified as follows:where are the coordinates of the projection of into , andis the usual first-order consistent numerical flux evaluated at the stateswhere and are the stationary solutions computed at the step 1 at cells and , respectively, and and are the extrapolated values of the fluctuation computed at step 2 onto the left and right cell interfaces respectively. Finally, denotes the evaluation of the physical flux function at the stationary solution at the intercells:
3.2. Well-Balanced ADER DG Methods
- First, we seek for the discrete stationary solution of the Cauchy problem in , as in the first step of the previous Section 3.1.
- Then, we define the fluctuation DG polynomialand the local space-time predictor given in (9) is modified as follows:Once the nonlinear system for the unknown has been solved via a fixed point algorithm, the space-time predictor is recovered as
- Finally, the one-step ADER-DG method described in (10) is modified as follows:whereis the usual first order consistent numerical flux evaluated at the reconstructed predictor stateswhere and are the stationary solutions computed at the step 1 at cells and , respectively, and and are the extrapolated values of the fluctuation computed at step 2 onto the left and right cell interfaces, respectively.Additionally, denotes the evaluation of the physical flux at the local stationary solution at the inter-cells:
4. A Well-Balanced WENO Limiting Procedure
4.1. Detector of Troubled Cells
4.2. Limiting Procedure
4.3. Double-Loop Limiting Procedure
- First, the procedure (35)–(38) with the value is used to produce a candidate solution This candidate solution is evaluated once more by the detector described in Section 4.1.
- Then, if the element is once again considered as troubled, the limiting strategy (35)–(38) will be repeated changing the projector operator. Now, the fluctuation is projected into a constant value given byAdditionally, the parameter r will be set to . This strategy will ensure a smoother discrete solution for highly oscillating regions near strong discontinuities.
5. Numerical Test
5.1. Burgers’ Equation
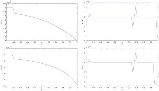
5.1.1. Preservation of a Stationary Solution
5.1.2. Perturbed Stationary Solutions
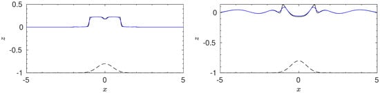
5.1.3. Limited Simulation
5.1.4. Well-Balanced and Non-Well-Balanced Schemes Comparison
5.2. Shallow Water Equations
5.2.1. Order of Accuracy Test
5.2.2. Preserving Stationary Solutions
5.2.3. Perturbed Stationary Solutions
5.2.4. Limited Simulation
5.3. Compressible Euler Equations with Gravitational Force
5.3.1. Preserving Stationary Solutions
5.3.2. Limited Simulation
5.4. Dispersive Gavrilyuk–Favrie Equations
5.4.1. Preserving Stationary Solutions
5.4.2. Limited Simulation
6. Conclusions
Author Contributions
Funding
Institutional Review Board Statement
Informed Consent Statement
Data Availability Statement
Conflicts of Interest
References
- Bermúdez, A.; Vázquez, M.E. Upwind methods for hyperbolic conservation laws with source terms. Comput. Fluids 1994, 23, 1049–1071. [Google Scholar] [CrossRef]
- Audusse, E.; Bouchut, F.; Bristeau, M.O.; Klein, R.; Perthame, B. A fast and stable well-balanced scheme with hydrostatic reconstruction for shallow water flows. SIAM J. Sci. Comput. 2004, 25, 2050–2065. [Google Scholar] [CrossRef]
- Berberich, J.P.; Chandrashekar, P.; Klingenberg, C. High order well-balanced finite volume methods for multi-dimensional systems of hyperbolic balance laws. Comput. Fluids 2021, 219, 104858. [Google Scholar] [CrossRef]
- Guerrero Fernández, E.; Castro-Díaz, M.J.; Luna, T.M.d. A Second-Order Well-Balanced Finite Volume Scheme for the Multilayer Shallow Water Model with Variable Density. Mathematics 2020, 8, 848. [Google Scholar] [CrossRef]
- Bermúdez, A.; López, X.; Vázquez-Cendón, M.E. Finite volume methods for multi-component Euler equations with source terms. Comput. Fluids 2017, 156, 113–134. [Google Scholar] [CrossRef]
- Bouchut, F. Nonlinear Stability of Finite Volume Methods for Hyperbolic Conservation Laws: And Well-Balanced Schemes for Sources; Springer Science & Business Media: Berlin/Heidelberg, Germany, 2004. [Google Scholar]
- Brufau, P.; Vázquez-Cendón, M.; García-Navarro, P. A numerical model for the flooding and drying of irregular domains. Int. J. Numer. Methods Fluids 2002, 39, 247–275. [Google Scholar] [CrossRef]
- Canestrelli, A.; Siviglia, A.; Dumbser, M.; Toro, E.F. Well-balanced high-order centred schemes for non-conservative hyperbolic systems. Applications to shallow water equations with fixed and mobile bed. Adv. Water Resour. 2009, 32, 834–844. [Google Scholar] [CrossRef]
- Castro Díaz, M.J.; Chacón Rebollo, T.; Fernández-Nieto, E.D.; Parés, C. On Well-Balanced Finite Volume Methods for Nonconservative Nonhomogeneous Hyperbolic Systems. SIAM J. Sci. Comput. 2007, 29, 1093–1126. [Google Scholar] [CrossRef] [Green Version]
- Chacón Rebollo, T.; Domínguez Delgado, A.; Fernández Nieto, E.D. A family of stable numerical solvers for the shallow water equations with source terms. Comput. Methods Appl. Mech. Eng. 2003, 192, 203–225. [Google Scholar] [CrossRef]
- Chacón Rebollo, T.; Delgado, A.; Fernández-Nieto, E. Asymptotically balanced schemes for non-homogeneous hyperbolic systems—Application to the Shallow Water equations. Comptes Rendus Math. 2004, 338, 85–90. [Google Scholar] [CrossRef]
- Chandrashekar, P.; Zenk, M. Well-balanced nodal discontinuous Galerkin method for Euler equations with gravity. J. Sci. Comput. 2017, 71, 1062–1093. [Google Scholar] [CrossRef] [Green Version]
- Desveaux, V.; Zenk, M.; Berthon, C.; Klingenberg, C. A well-balanced scheme to capture non-explicit steady states in the Euler equations with gravity. Int. J. Numer. Methods Fluids 2016, 81, 104–127. [Google Scholar] [CrossRef]
- Desveaux, V.; Zenk, M.; Berthon, C.; Klingenberg, C. Well-balanced schemes to capture non-explicit steady states: Ripa model. Math. Comput. 2016, 85, 1571–1602. [Google Scholar] [CrossRef]
- Gaburro, E.; Castro, M.J.; Dumbser, M. Well-balanced Arbitrary-Lagrangian-Eulerian finite volume schemes on moving nonconforming meshes for the Euler equations of gas dynamics with gravity. Mon. Not. R. Astron. Soc. 2018, 477, 2251–2275. [Google Scholar] [CrossRef] [Green Version]
- Gaburro, E.; Castro, M.J.; Dumbser, M. A well balanced diffuse interface method for complex nonhydrostatic free surface flows. Comput. Fluids 2018, 175, 180–198. [Google Scholar] [CrossRef] [Green Version]
- Gaburro, E.; Dumbser, M.; Castro, M.J. Direct Arbitrary-Lagrangian-Eulerian finite volume schemes on moving nonconforming unstructured meshes. Comput. Fluids 2017, 159, 254–275. [Google Scholar] [CrossRef] [Green Version]
- Gosse, L. A well-balanced flux-vector splitting scheme designed for hyperbolic systems of conservation laws with source terms. Comput. Math. Appl. 2000, 39, 135–159. [Google Scholar] [CrossRef] [Green Version]
- Gosse, L. A well-balanced scheme using non-conservative products designed for hyperbolic systems of conservation laws with source terms. Math. Model. Methods Appl. Sci. 2001, 11, 339–365. [Google Scholar] [CrossRef] [Green Version]
- Gosse, L. Localization effects and measure source terms in numerical schemes for balance laws. Math. Comput. 2002, 71, 553–582. [Google Scholar] [CrossRef] [Green Version]
- Greenberg, J.; Leroux, A.; Baraille, R.; Noussair, A. Analysis and approximation of conservation laws with source terms. SIAM J. Numer. Anal. 1997, 34, 1980–2007. [Google Scholar] [CrossRef]
- Greenberg, J.M.; LeRoux, A.Y. A well-balanced scheme for the numerical processing of source terms in hyperbolic equations. SIAM J. Numer. Anal. 1996, 33, 1–16. [Google Scholar] [CrossRef]
- Grosheintz-Laval, L.; Käppeli, R. High-order well-balanced finite volume schemes for the Euler equations with gravitation. J. Comput. Phys. 2019, 378, 324–343. [Google Scholar] [CrossRef] [Green Version]
- Käppeli, R.; Mishra, S. Well-balanced schemes for the Euler equations with gravitation. J. Comput. Phys. 2014, 259, 199–219. [Google Scholar] [CrossRef]
- LeVeque, R.J. Balancing Source Terms and Flux Gradients in High-Resolution Godunov Methods: The Quasi-Steady Wave-Propagation Algorithm. J. Comput. Phys. 1998, 146, 346–365. [Google Scholar] [CrossRef] [Green Version]
- Noelle, S.; Pankratz, N.; Puppo, G.; Natvig, J.R. Well-balanced finite volume schemes of arbitrary order of accuracy for shallow water flows. J. Comput. Phys. 2006, 213, 474–499. [Google Scholar] [CrossRef]
- Noelle, S.; Xing, Y.; Shu, C.W. High-order well-balanced finite volume WENO schemes for shallow water equation with moving water. J. Comput. Phys. 2007, 226, 29–58. [Google Scholar] [CrossRef]
- Pelanti, M.; Bouchut, F.; Mangeney, A. A Roe-type scheme for two-phase shallow granular flows over variable topography. ESAIM Math. Model. Numer. Anal. Modélisation Mathématique Anal. Numérique 2008, 42, 851–885. [Google Scholar] [CrossRef] [Green Version]
- Perthame, B.; Simeoni, C. A kinetic scheme for the Saint-Venant system with a source term. Calcolo 2001, 38, 201–231. [Google Scholar] [CrossRef]
- Perthame, B.; Simeoni, C. Convergence of the upwind interface source method for hyperbolic conservation laws. In Hyperbolic Problems: Theory, Numerics, Applications; Springer: Berlin/Heidelberg, Germany, 2003; pp. 61–78. [Google Scholar]
- Gómez-Bueno, I.; Castro, M.J.; Parés, C. High-order well-balanced methods for systems of balance laws: A control-based approach. Appl. Math. Comput. 2021, 394, 125820. [Google Scholar] [CrossRef]
- Tang, H.; Tang, T.; Xu, K. A gas-kinetic scheme for shallow-water equations with source terms. Z. Angew. Math. Phys. ZAMP 2004, 55, 365–382. [Google Scholar] [CrossRef]
- Touma, R.; Koley, U.; Klingenberg, C. Well-balanced unstaggered central schemes for the Euler equations with gravitation. SIAM J. Sci. Comput. 2016, 38, B773–B807. [Google Scholar] [CrossRef]
- Müller, L.O.; Parés, C.; Toro, E.F. Well-balanced high-order numerical schemes for one-dimensional blood flow in vessels with varying mechanical properties. J. Comput. Phys. 2013, 242, 53–85. [Google Scholar] [CrossRef]
- Castro, M.J.; Parés, C. Well-balanced high-order finite volume methods for systems of balance laws. J. Sci. Comput. 2020, 82, 48. [Google Scholar] [CrossRef]
- Parés, C.; Parés-Pulido, C. Well-balanced high-order finite difference methods for systems of balance laws. J. Comput. Phys. 2021, 425, 109880. [Google Scholar] [CrossRef]
- Reed, W.H.; Hill, T. Triangular Mesh Methods for the Neutron Transport Equation; Technical Report; Los Alamos Scientific Lab.: Los Alamos, NM, USA, 1973. [Google Scholar]
- Cockburn, B.; Hou, S.; Shu, C.W. The Runge-Kutta Local Projection Discontinuous Galerkin Finite Element Method for Conservation Laws. IV: The Multidimensional Case. Math. Comput. 1990, 54, 545–581. [Google Scholar]
- Cockburn, B.; Lin, S.Y.; Shu, C.W. TVB Runge-Kutta local projection discontinuous Galerkin finite element method for conservation laws III: One-dimensional systems. J. Comput. Phys. 1989, 84, 90–113. [Google Scholar] [CrossRef] [Green Version]
- Cockburn, B.; Shu, C.W. TVB Runge-Kutta Local Projection Discontinuous Galerkin Finite Element Method for Conservation Laws II: General Framework. Math. Comput. 1989, 52, 411–435. [Google Scholar]
- Cockburn, B.; Shu, C.-W. The Runge-Kutta local projection P1-discontinuous-Galerkin finite element method for scalar conservation laws. ESAIM: M2AN 1991, 25, 337–361. [Google Scholar] [CrossRef]
- Xing, Y.; Zhang, X.; Shu, C.W. Positivity-preserving high order well-balanced discontinuous Galerkin methods for the shallow water equations. Adv. Water Resour. 2010, 33, 1476–1493. [Google Scholar] [CrossRef]
- Xing, Y. Exactly well-balanced discontinuous Galerkin methods for the shallow water equations with moving water equilibrium. J. Comput. Phys. 2014, 257, 536–553. [Google Scholar] [CrossRef]
- Xing, Y.; Shu, C.W. High order finite difference WENO schemes with the exact conservation property for the shallow water equations. J. Comput. Phys. 2005, 208, 206–227. [Google Scholar] [CrossRef]
- Xing, Y.; Shu, C.W. High Order Well-Balanced Finite Volume WENO Schemes and Discontinuous Galerkin Methods for a Class of Hyperbolic Systems with Source Terms. J. Comput. Phys. 2006, 214, 567–598. [Google Scholar] [CrossRef]
- Xing, Y.; Shu, C.W.; Noelle, S. On the Advantage of Well-Balanced Schemes for Moving-Water Equilibria of the Shallow Water Equations. J. Sci. Comput. 2011, 48, 339–349. [Google Scholar] [CrossRef] [Green Version]
- Bollermann, A.; Noelle, S.; Lukacova-Medvidova, M. Finite volume evolution Galerkin methods for the shallow water equations with dry beds. Commun. Comput. Phys. 2010, 10. [Google Scholar] [CrossRef] [Green Version]
- Xing, Y.; Zhang, X. Positivity-preserving well-balanced discontinuous Galerkin methods for the shallow water equations on unstructured triangular meshes. J. Sci. Comput. 2013, 57, 19–41. [Google Scholar] [CrossRef]
- Li, G.; Xing, Y. Well-balanced discontinuous Galerkin methods for the Euler equations under gravitational fields. J. Sci. Comput. 2016, 67, 493–513. [Google Scholar] [CrossRef]
- Li, G.; Xing, Y. Well-balanced discontinuous Galerkin methods with hydrostatic reconstruction for the Euler equations with gravitation. J. Comput. Phys. 2018, 352, 445–462. [Google Scholar] [CrossRef]
- Ern, A.; Piperno, S.; Djadel, K. A well-balanced Runge–Kutta discontinuous Galerkin method for the shallow-water equations with flooding and drying. Int. J. Numer. Methods Fluids 2008, 58, 1–25. [Google Scholar] [CrossRef] [Green Version]
- Vater, S.; Beisiegel, N.; Behrens, J. A limiter-based well-balanced discontinuous Galerkin method for shallow-water flows with wetting and drying: One-dimensional case. Adv. Water Resour. 2015, 85, 1–13. [Google Scholar] [CrossRef]
- Gassner, G.J.; Winters, A.R.; Kopriva, D.A. A well balanced and entropy conservative discontinuous Galerkin spectral element method for the shallow water equations. Appl. Math. Comput. 2016, 272, 291–308. [Google Scholar] [CrossRef] [Green Version]
- Taube, A.; Dumbser, M.; Balsara, D.S.; Munz, C.D. Arbitrary high-order discontinuous Galerkin schemes for the magnetohydrodynamic equations. J. Sci. Comput. 2007, 30, 441–464. [Google Scholar] [CrossRef]
- Dumbser, M.; Munz, C.D. Building blocks for arbitrary high order discontinuous Galerkin schemes. J. Sci. Comput. 2006, 27, 215–230. [Google Scholar] [CrossRef]
- Qiu, J.; Dumbser, M.; Shu, C.W. The discontinuous Galerkin method with Lax–Wendroff type time discretizations. Comput. Methods Appl. Mech. Eng. 2005, 194, 4528–4543. [Google Scholar] [CrossRef]
- Tumolo, G.; Bonaventura, L.; Restelli, M. A semi-implicit, semi-Lagrangian, p-adaptive discontinuous Galerkin method for the shallow water equations. J. Comput. Phys. 2013, 232, 46–67. [Google Scholar] [CrossRef]
- Dumbser, M.; Casulli, V. A staggered semi-implicit spectral discontinuous Galerkin scheme for the shallow water equations. Appl. Math. Comput. 2013, 219, 8057–8077. [Google Scholar] [CrossRef]
- Tavelli, M.; Dumbser, M. A high order semi-implicit discontinuous Galerkin method for the two dimensional shallow water equations on staggered unstructured meshes. Appl. Math. Comput. 2014, 234, 623–644. [Google Scholar] [CrossRef]
- Busto, S.; Tavelli, M.; Boscheri, W.; Dumbser, M. Efficient high order accurate staggered semi-implicit discontinuous Galerkin methods for natural convection problems. Comput. Fluids 2020, 198, 104399. [Google Scholar] [CrossRef] [Green Version]
- Titarev, V.; Toro, E. ADER: Arbitrary high order godunov approach. J. Sci. Comput. 2002, 17, 609–618. [Google Scholar] [CrossRef]
- Toro, E.; Titarev, V. Solution of the generalized Riemann problem for advection-reaction equations. Proc. R. Soc. A Math. Phys. Eng. Sci. 2002, 458, 271–281. [Google Scholar] [CrossRef]
- Titarev, V.; Toro, E. ADER schemes for three-dimensional non-linear hyperbolic systems. J. Comput. Phys. 2005, 204, 715–736. [Google Scholar] [CrossRef]
- Toro, E.; Titarev, V. Derivative Riemann solvers for systems of conservation laws and ADER methods. J. Comput. Phys. 2006, 212, 150–165. [Google Scholar] [CrossRef]
- Dumbser, M.; Enaux, C.; Toro, E.F. Finite volume schemes of very high order of accuracy for stiff hyperbolic balance laws. J. Comput. Phys. 2008, 227, 3971–4001. [Google Scholar] [CrossRef]
- Dumbser, M.; Balsara, D.S.; Toro, E.F.; Munz, C.D. A unified framework for the construction of one-step finite volume and discontinuous Galerkin schemes on unstructured meshes. J. Comput. Phys. 2008, 227, 8209–8253. [Google Scholar] [CrossRef]
- Escalante, C.; de Luna, T.M.; Castro, M. Non-hydrostatic pressure shallow flows: GPU implementation using finite volume and finite difference scheme. Appl. Math. Comput. 2018, 338, 631–659. [Google Scholar] [CrossRef] [Green Version]
- Li, G.; Song, L.; Gao, J. High order well-balanced discontinuous Galerkin methods based on hydrostatic reconstruction for shallow water equations. J. Comput. Appl. Math. 2018, 340, 546–560. [Google Scholar] [CrossRef]
- Li, G.; Li, J.; Qian, S.; Gao, J. A well-balanced ADER discontinuous Galerkin method based on differential transformation procedure for shallow water equations. Appl. Math. Comput. 2021, 395, 125848. [Google Scholar] [CrossRef]
- Wu, X.; Kubatko, E.J.; Chan, J. High-order entropy stable discontinuous Galerkin methods for the shallow water equations: Curved triangular meshes and GPU acceleration. Comput. Math. Appl. 2021, 82, 179–199. [Google Scholar] [CrossRef]
- Dumbser, M.; Castro, M.; Parés, C.; Toro, E.F. ADER schemes on unstructured meshes for nonconservative hyperbolic systems: Applications to geophysical flows. Comput. Fluids 2009, 38, 1731–1748. [Google Scholar] [CrossRef]
- Izem, N.; Seaid, M.; Wakrim, M. A discontinuous Galerkin method for two-layer shallow water equations. Math. Comput. Simul. 2016, 120, 12–23. [Google Scholar] [CrossRef]
- Wintermeyer, N.; Winters, A.R.; Gassner, G.J.; Warburton, T. An entropy stable discontinuous Galerkin method for the shallow water equations on curvilinear meshes with wet/dry fronts accelerated by GPUs. J. Comput. Phys. 2018, 375, 447–480. [Google Scholar] [CrossRef] [Green Version]
- Higdon, R.L. Discontinuous Galerkin methods for multi-layer ocean modeling: Viscosity and thin layers. J. Comput. Phys. 2020, 401, 109018. [Google Scholar] [CrossRef]
- Fernández, E.G.; Díaz, M.J.C.; Dumbser, M.; de Luna, T.M. An Arbitrary High Order Well-Balanced ADER-DG Numerical Scheme for the Multilayer Shallow-Water Model with Variable Density. J. Sci. Comput. 2021, 90, 52. [Google Scholar] [CrossRef]
- Escalante, C.; Dumbser, M.; Castro, M. An efficient hyperbolic relaxation system for dispersive non-hydrostatic water waves and its solution with high order discontinuous Galerkin schemes. J. Comput. Phys. 2019, 394, 385–416. [Google Scholar] [CrossRef]
- Bassi, C.; Bonaventura, L.; Busto, S.; Dumbser, M. A hyperbolic reformulation of the Serre-Green-Naghdi model for general bottom topographies. Comput. Fluids 2020, 212, 104716. [Google Scholar] [CrossRef]
- Busto Ulloa, S.; Dumbser, M.; Escalante, C.; Favrie, N.; Gavrilyuk, S. On high order ADER discontinuous galerkin schemes for first order hyperbolic reformulations of nonlinear dispersive systems. J. Sci. Comput. 2021, 87. [Google Scholar] [CrossRef]
- Dumbser, M.; Zanotti, O.; Loubère, R.; Diot, S. A posteriori subcell limiting of the discontinuous Galerkin finite element method for hyperbolic conservation laws. J. Comput. Phys. 2014, 278, 47–75. [Google Scholar] [CrossRef] [Green Version]
- Cockburn, B.; Shu, C.W. The Runge–Kutta Discontinuous Galerkin Method for Conservation Laws V: Multidimensional Systems. J. Comput. Phys. 1998, 141, 199–224. [Google Scholar] [CrossRef]
- Biswas, R.; Devine, K.D.; Flaherty, J.E. Parallel, adaptive finite element methods for conservation laws. Appl. Numer. Math. 1994, 14, 255–283. [Google Scholar] [CrossRef]
- Burbeau, A.; Sagaut, P.; Bruneau, C.H. A Problem-Independent Limiter for High-Order Runge–Kutta Discontinuous Galerkin Methods. J. Comput. Phys. 2001, 169, 111–150. [Google Scholar] [CrossRef]
- Zhong, X.; Shu, C.W. A simple weighted essentially nonoscillatory limiter for Runge–Kutta discontinuous Galerkin methods. J. Comput. Phys. 2013, 232, 397–415. [Google Scholar] [CrossRef]
- Qiu, J.; Shu, C.W. Runge–Kutta discontinuous Galerkin method using WENO limiters. SIAM J. Sci. Comput. 2005, 26, 907–929. [Google Scholar] [CrossRef]
- Shi, J.; Hu, C.; Shu, C.W. A technique of treating negative weights in WENO schemes. J. Comput. Phys. 2002, 175, 108–127. [Google Scholar] [CrossRef] [Green Version]
- Castro, M.; Fernández-Nieto, E. A Class of Computationally Fast First Order Finite Volume Solvers: PVM Methods. SIAM J. Sci. Comput. 2012, 34. [Google Scholar] [CrossRef] [Green Version]
- Castro, M.J.; de Luna, T.M.; Parés, C. Well-balanced schemes and path-conservative numerical methods. In Handbook of Numerical Analysis; Elsevier: Amsterdam, The Netherlands, 2017; Volume 18, pp. 131–175. [Google Scholar]
- Gallardo, J.M.; Schneider, K.A.; Castro, M.J. On a class of two-dimensional incomplete Riemann solvers. J. Comput. Phys. 2019, 386, 541–567. [Google Scholar] [CrossRef] [Green Version]
- Castro, M.J.; Gallardo, J.M.; Marquina, A. A class of incomplete Riemann solvers based on uniform rational approximations to the absolute value function. J. Sci. Comput. 2014, 60, 363–389. [Google Scholar] [CrossRef]
- Shu, C.W.; Osher, S. Efficient implementation of essentially non-oscillatory shock-capturing schemes. J. Comput. Phys. 1988, 77, 439–471. [Google Scholar] [CrossRef] [Green Version]
- Hidalgo, A.; Dumbser, M. ADER schemes for nonlinear systems of stiff advection–diffusion–reaction equations. J. Sci. Comput. 2011, 48, 173–189. [Google Scholar] [CrossRef]
- Jackson, H. On the eigenvalues of the ADER-WENO Galerkin predictor. J. Comput. Phys. 2017, 333, 409–413. [Google Scholar] [CrossRef]
- Castro Díaz, M.; López-García, J.; Parés, C. High order exactly well-balanced numerical methods for shallow water systems. J. Comput. Phys. 2013, 246, 242–264. [Google Scholar] [CrossRef]
- Sod, G.A. A survey of several finite difference methods for systems of nonlinear hyperbolic conservation laws. J. Comput. Phys. 1978, 27, 1–31. [Google Scholar] [CrossRef] [Green Version]
- Lax, P.D. Weak solutions of nonlinear hyperbolic equations and their numerical computation. Commun. Pure Appl. Math. 1954, 7, 159–193. [Google Scholar] [CrossRef]
- Favrie, N.; Gavrilyuk, S. A rapid numerical method for solving Serre–Green–Naghdi equations describing long free surface gravity waves. Nonlinearity 2017, 30, 2718. [Google Scholar] [CrossRef] [Green Version]
- Green, A.E.; Naghdi, P.M. A derivation of equations for wave propagation in water of variable depth. J. Fluid Mech. 1976, 78, 237–246. [Google Scholar] [CrossRef]















| Non Well-Balanced | Well-Balanced | ||||
|---|---|---|---|---|---|
| N | Runge-Kutta | ADER | Runge-Kutta | ADER | |
| 0 | 25 | 0 | 0 | ||
| 50 | 0 | ||||
| 100 | 0 | ||||
| 200 | 0 | 0 | |||
| 1 | 25 | 0 | |||
| 50 | 0 | 0 | |||
| 100 | |||||
| 200 | |||||
| 2 | 25 | 0 | |||
| 50 | 0 | ||||
| 100 | 0 | ||||
| 200 | |||||
| 3 | 25 | ||||
| 50 | |||||
| 100 | |||||
| 200 | |||||
| Runge-Kutta | ADER | ||||||||
|---|---|---|---|---|---|---|---|---|---|
| Error | Order | Error | Order | Error | Order | Error | Order | ||
| 1 | 25 | - | - | - | |||||
| 50 | |||||||||
| 100 | |||||||||
| 200 | |||||||||
| 2 | 25 | - | - | - | - | ||||
| 50 | |||||||||
| 100 | |||||||||
| 200 | |||||||||
| 3 | 25 | - | - | - | - | ||||
| 50 | 3.94 | ||||||||
| 100 | 3.96 | ||||||||
| 200 | 3.98 | ||||||||
| Non-Well-Balanced | Well-Balanced | ||||
|---|---|---|---|---|---|
| N | Runge–Kutta | ADER | Runge-Kutta | ADER | |
| 0 | 25 | ||||
| 50 | |||||
| 100 | |||||
| 200 | |||||
| 1 | 25 | ||||
| 50 | |||||
| 100 | |||||
| 200 | |||||
| 2 | 25 | ||||
| 50 | |||||
| 100 | |||||
| 200 | |||||
| 3 | 25 | ||||
| 50 | |||||
| 100 | |||||
| 200 | |||||
| Non-Well-Balanced | Well-Balanced | ||||
|---|---|---|---|---|---|
| N | Runge–Kutta | ADER | Runge–Kutta | ADER | |
| 0 | 25 | ||||
| 50 | |||||
| 100 | |||||
| 200 | |||||
| 1 | 25 | ||||
| 50 | |||||
| 100 | |||||
| 200 | |||||
| 2 | 25 | ||||
| 50 | |||||
| 100 | |||||
| 200 | |||||
| 3 | 25 | ||||
| 50 | |||||
| 100 | |||||
| 200 | |||||
| Non-Well-Balanced | Well-Balanced | ||||
|---|---|---|---|---|---|
| N | Runge–Kutta | ADER | Runge–Kutta | ADER | |
| 0 | 25 | ||||
| 50 | |||||
| 100 | |||||
| 200 | |||||
| 1 | 25 | ||||
| 50 | |||||
| 100 | |||||
| 200 | |||||
| 2 | 25 | ||||
| 50 | |||||
| 100 | |||||
| 200 | |||||
| 3 | 25 | ||||
| 50 | |||||
| 100 | |||||
| 200 | |||||
| Non-Well-Balanced | Well-Balanced | ||||
|---|---|---|---|---|---|
| N | Runge–Kutta | ADER | Runge–Kutta | ADER | |
| 0 | 20 × 20 | 0 | 0 | ||
| 30 × 30 | 0 | 0 | |||
| 40 × 40 | 0 | 0 | |||
| 50 × 50 | 0 | 0 | |||
| 1 | 20 × 20 | 0 | 0 | ||
| 30 × 30 | |||||
| 40 × 40 | 0 | 0 | |||
| 50 × 50 | |||||
| 2 | 20 × 20 | 0 | 0 | ||
| 30 × 30 | |||||
| 40 × 40 | 0 | 0 | |||
| 50 × 50 | |||||
| 3 | 20 × 20 | 0 | 0 | ||
| 30 × 30 | |||||
| 40 × 40 | |||||
| 50 × 50 | |||||
Publisher’s Note: MDPI stays neutral with regard to jurisdictional claims in published maps and institutional affiliations. |
© 2021 by the authors. Licensee MDPI, Basel, Switzerland. This article is an open access article distributed under the terms and conditions of the Creative Commons Attribution (CC BY) license (https://creativecommons.org/licenses/by/4.0/).
Share and Cite
Guerrero Fernández, E.; Escalante, C.; Castro Díaz, M.J. Well-Balanced High-Order Discontinuous Galerkin Methods for Systems of Balance Laws. Mathematics 2022, 10, 15. https://doi.org/10.3390/math10010015
Guerrero Fernández E, Escalante C, Castro Díaz MJ. Well-Balanced High-Order Discontinuous Galerkin Methods for Systems of Balance Laws. Mathematics. 2022; 10(1):15. https://doi.org/10.3390/math10010015
Chicago/Turabian StyleGuerrero Fernández, Ernesto, Cipriano Escalante, and Manuel J. Castro Díaz. 2022. "Well-Balanced High-Order Discontinuous Galerkin Methods for Systems of Balance Laws" Mathematics 10, no. 1: 15. https://doi.org/10.3390/math10010015
APA StyleGuerrero Fernández, E., Escalante, C., & Castro Díaz, M. J. (2022). Well-Balanced High-Order Discontinuous Galerkin Methods for Systems of Balance Laws. Mathematics, 10(1), 15. https://doi.org/10.3390/math10010015

